Реферат: Ссудный процент 5
|
Название: Ссудный процент 5 Раздел: Рефераты по финансам Тип: реферат |
Ссудный процент - объективная экономическая категория, представ╜ляющая собой своеобразную цену ссуженной во временное пользова╜ние стоимости. Его возникновен 515b16ff ;ие обусловлено наличием товарно-де╜нежных отношений, которые, в свою очередь, определяются отноше╜ниями собствен 515b16ff ;ности. Ссудный процент возникает там, где отдельный собствен 515b16ff ;ник передает другому определенную стоимость во временное пользование с целью ее производительного потребления. Эта стоимость обладает чертами товара. Ее потребительная стоимость (полезность) со╜стоит в производстве прибыли, которая, с одной стороны, составляет до╜ход производителя; с другой - кредитора (в форме процента). Движение ссужаемой стоимости таково: Д-Д', т.е.Д'-Д=∆Д, где Д═ - ссужаемая стоимость; Д' - наращенная сумма долга; ∆Д - приращение к ссуде, выступающее в виде платы за кредит. Для кредитора цель сделки состоит в получении определенного дохо╜да на ссуженную стоимость; предприниматель привлекает средства так╜же с целью увеличения прибыли. Ее размер зависит от цены продукции и затрат на ее производство, т.е. от себестоимости продукции, пред╜ставляющей затраты живого и овеществленного труда. Когда предпри╜ниматель привлекает заемные средства, то из прибыли он должен упла╜тить проценты. Если исходить из принципа равного дохода на вложенные средства, то на один рубль заемных средств приходится ве╜личина прибыли, соответствующая доходности собствен 515b16ff ;ных вложений. Столкновен 515b16ff ;ие интересов собствен 515b16ff ;ника средств и предпринимателя, пус╜кающего их в оборот, приводит к разделению прибыли на вложенные средства между заемщиком и кредитором. Доля последнего выступает в форме ссудного процента. В экономической литературе советского периода (особенно 20-30-е гг.) ссудный процент чаще всего воспринимался как средство сни╜жения себестоимости продукции. Действительно, ссудный процент включался в себестоимость продукции. Поэтому его трактовка как эле╜мента себестоимости не кажется противоестествен 515b16ff ;ной. Тем не менее при данной характеристике ссудного процента теряется его специфика. В основу себестоимости продукции входит не только ссудный процент, но и другие компоненты. Более того, стоимость живого и овеществлен╜ного труда имеет более высокий удельный вес, поэтому экономия именно данных издержек представляла бы наиболее ощутимое средство сниже╜ния себестоимости товаров. Вряд ли убедительно и определение процента как средства возме╜щения расходов банка, поскольку оно не характеризует сущности ссуд╜ного процента, а сведено лишь к определению результатов одного из участников кредитных отношений. В 80-х гг. в советской экономической литературе главен 515b16ff ;ствующее место заняли теории, определяющие ссудный процент в качестве ирра╜циональной цены кредита. Развитие рыночных отношений в экономике России определило ус╜ловия для трансформации функций ссудного процента, присущих ему в системе административного управления: стимулирующей и распреде╜ления прибыли в более широкую регулирующую функцию, которая содержит элементы стимулирования и распределения. Вместе с тем еще не созданы предпосылки, которые позволили бы проценту в полном объеме реализовать функцию регулятора производ╜ства, соответствующую рыночным условиям. Если уровен 515b16ff ;ь ссудного процента складывается на основе соотношения спроса и предложения кредита, как это характерно для рыночного хозяйства, он должен чет╜ко отражать изменение экономической конъюнктуры. Стимулы к до╜полнительным инвестициям с привлечением кредита будут сохранять╜ся до тех пор, пока ожидаемая рентабельность превышает текущую норму процента или равна ей. Однако данная схема на сегодняшний день не соответствует реальным экономическим условиям. Несмотря на рыночное формирование уровня ссудного процента, ряд процессов (инфляция, экономический кризис, особенности валютного регулиро╜вания, неразвитость денежного рынка, монопольное владение государ╜ством отдельными отраслями производства) не позволяет проценту выступать эффективным регулятором производства. Тем не менее отдельные направления экономического регулирова╜ния присущи и современному функционированию ссудного процента. Так, посредством нормы процента уравновешивается соотношение спро╜са и предложения кредита. Он содействует рациональному сочетанию собствен 515b16ff ;ных и заемных средств. В условиях рыночного формирования уровня ссудного процента привлечение в оборот заемных средств явля╜ется выгодным только при покрытии кредитом временных и необходи╜мых дополнительных потребностей. Всякое излишнее использование кредита снижает общий уровен 515b16ff ;ь рентабельности вложений. Посредством процента осуществляется регулирование объема привле╜каемых банком депозитов. Рост потребностей хозяйства в кредитах дол╜жен быть покрыт соответствующим приростом банковских депозитов как источников кредитования. Это ведет к повышению ставок депозит╜ного процента до размера, уравновешивающего предложение депози╜тов и спрос на них со стороны банка. Напротив, при сокращении по╜требностей хозяйства в кредитах снизятся доходы банка от предостав╜ляемых ссуд. Увеличить прибыль он сможет при сокращении пассивных операций. Таким образом, уменьшение притока ресурсов в кредитную систему выступает реакцией на снижение потребностей хозяйства в за╜емных средствах. Процентная политика коммерческого банка уже сегодня направлена на соответствующее управление ликвидностью его баланса. Дифференциация уровня ссудного процента по активным операци╜ям в зависимости от ликвидности вложений приводит к соответствию спроса на рисковый кредит со стороны заемщиков требованиям лик╜видности баланса банков. Аналогично прослеживается роль процента по депозитным операциям как стимула привлечения наиболее устойчи╜вых средств в оборот кредитного учреждения. Устанавливаемая Центральным банком РФ ставка платы за ресур╜сы наряду с нормой обязательных резервов и условиями выпуска и об╜ращения государствен 515b16ff ;ных ценных бумаг постепенно становится эффек╜тивным средством управления коммерческими банками. Не прибегая к прямому регулированию процентной политики последних, Централь╜ный банк РФ определяет единство процентной политики в масштабах хозяйства, стимулируя повышение или понижение процентных ставок. В целом усиление роли банковского процента в экономике и пре╜вращение его в действен 515b16ff ;ный элемент экономического регулирования непосредствен 515b16ff ;но связаны с состоянием экономической ситуации в стране и ходом реформ. Для современных экономических отношений харак╜терно усиление роли банковского процента как результат проявления его регулирующей функции. Существуют различные формы ссудного процента, их классифика╜ция определяется рядом признаков, в том числе: ∙ формами кредита; ∙ видами кредитных учреждений; ∙ видами инвестиций с привлечением кредита; ∙ сроками кредитования; ∙ видами операций кредитного учреждения (табл. 13.1). Таблица 13.1
Для ссудного процента во всех его формах характерен следующий механизм использования: ∙ Уровен 515b16ff ;ь ссудного процента определяется макроэкономическими факторами: соотношением спроса и предложения средств, степенью доходности на других сегментах финансового рынка, регулирующей направленностью процентной политики Центрального банка РФ, а так╜же зависит от конкретных условий сделок как по привлечению, так и размещению средств. ∙ Центральный банк РФ переходит от прямого административного управления нормой ссудного процента к экономическим методам регулирования уровня платы за кредит: посредством изменения платы за кредит на рефинансирование кредитных учреждений, путем маневри╜рования нормой обязательных резервов, депонируемых в Центральном банке РФ от суммы привлеченных вкладов, через изменение уровня до╜ходности по операциям с государствен 515b16ff ;ными ценными бумагами. ∙ Порядок начисления и взимания процентов определяется догово╜ром сторон. Как правило, применяется ежемесячное либо ежекварталь╜ное начисление процентов. ∙ Источник уплаты процента различается в зависимости от характера операции. Так, платежи по краткосрочным ссудам включаются в себес╜тоимость продукции; расходы по долгосрочным и по просроченным кре╜дитам относятся на прибыль предприятия после ее налогообложения. 13.2. Экономическая основа формирования уровня ссудного процентаСуществующие теории ссудного процента исходят из наличия не╜разрывной взаимосвязи между спросом и предложением средств, объе╜мом сбережений и инвестиций, процентом и доходом как элементами единой системы. Причем ее макроэкономический анализ возможен толь╜ко с учетом одновременного рассмотрения всех выделенных составля╜ющих. Этот подход может быть выражен через систему функций [1]: M=L(y,i);══════════ (1) S(y,i)=I(y,i),══════ (2) где М - предложение денежных средств; L - функция спроса денежных средств; S - функция сбережений; I - функция объема инвестиций; i - норма процента; у - уровен 515b16ff ;ь дохода. Уравнение (1) определяет взаимосвязь между спросом и предложе╜нием средств, а уравнение (2) - между объемом сбережений и инвести╜ций. С учетом заданного количества денег единовременное решение системы указанных уравнений позволяет, по мнению автора, опреде╜лить норму ссудного процента и уровен 515b16ff ;ь дохода на инвестиции. Иными словами, при сложившемся уровне дохода на инвестиции норма процента на денежном рынке формируется соотношением спро╜са и предложения денежных средств. Одновременно при неизменной норме процента уровен 515b16ff ;ь дохода в ╚реальном╩ секторе определяется объемом сбережений и инвестиций. Денежная сфера и реальный (про╜изводствен 515b16ff ;ный) сектор тесно взаимосвязаны. Изменения в соотноше╜нии спроса и предложения денежных средств ведут к колебанию про╜цента, который, в свою очередь, действует на формирование спроса на инвестиции и в конечном счете - на уровен 515b16ff ;ь дохода. Увеличение или уменьшение доходности осуществляемых вложений, напротив, оп╜ределяет размер денежного спроса и, следовательно, уровен 515b16ff ;ь ссудного процента. Рассмотренный механизм формирования уровня ссудного процента базируется на разработках ряда направлений, которые внесли весомый вклад в развитие теории данной проблемы. Основными из них выступа╜ют: реальная, или классическая, теория ссудного процента, теория ссуд╜ных фондов и кейнсианская теория предпочтения ликвидности. Классическая, реальная, теория предполагает, что единствен 515b16ff ;ными переменными, которые воздействуют на норму процента даже в крат╜косрочном аспекте, являются инвестиции и сбережения [2]. Простая реальная модель рынка облигаций (рис. 13.1) включает функцию спроса и предложения облигаций и равновесную норму про╜цента, которая устанавливается в точке их равен 515b16ff ;ства (Вd - BS , iм - рав╜новесная норма процента). Предполагается, что спрос и предложение облигаций равны сбережениям и инвестициям, и, следовательно, усло╜вие равновесия можно также представить в виде S (i) = (i ), т.е. норма процента определяется равновесием планируемых сбережений и инвес╜тиций. Рассмотренная классическая теория процента абстрагируется от влияния ряда факторов. Прежде всего теория не учитывает воздействие других рынков на спрос и предложение облигаций, предполагается, что облигации - единствен 515b16ff ;ный вид активов, которыми располагает потре╜битель, делается ряд прочих допущений. Неоклассическая теория ссудных фондов, разработанная экономи╜стами стокгольмской и кембриджской школ, расширяет понятие спро╜са и предложения капитала, дополняя его спросом на кассовую наличность и приростом денежной массы. В этом случае поток спроса на об╜лигации приравнивается к сумме планируемых сбережений и некото╜рому приросту денежной массы за период, или
Рис. 13.1. Простая реальная модель рынка облигаций: BS - функция предложений облигаций; ВD - функция спроса облигаций; S (i) - функция сбережений; I (i) - функция инвестиций BD =S(i)+MS , ═ где МS - прирост денежной массы за определенный период времени. Признается, что спрос на заемные фонды (или поток предложения облигаций) вызывается потребностью финансирования производствен 515b16ff ;╜ных инвестиций, а также спросом на кредит со стороны тех, кто стре╜мится увеличить свою кассовую наличность. Что можно выразить сле╜дующей функцией: BS = I(i) +МD , ═где МD - денежный спрос с целью увеличения кассовой наличности. Условие равновесия рынка при этом получит следующее выражение: S(i)+MD =I(i)+ MS В интерпретации этой теории норма процента выступает в значи╜тельной степени денежным феноменом. Она определяется как реальны╜ми факторами (сбережениями и инвестициями), так и денежными (спро╜сом на деньги и их предложением), причем уровен 515b16ff ;ь процента может быть изменен непосредствен 515b16ff ;но за счет влияния последних. В теории, разработанной Дж. М. Кейнсом, норма процента опреде╜ляется в качестве вознаграждения за расставание с ликвидностью. Дж.М. Кейнс отмечал, что процент - это ╚цена, которая уравновеши╜вает желание держать богатство в форме наличных денег с имеющимся количеством наличных денег╩ [3], т.е. количество денег в обращении - еще один фактор, который наряду с предпочтением ликвидности при дан╜ных обстоятельствах определяет действительную норму процента. Таким образом, уровен 515b16ff ;ь процента с учетом заданного дохода изме╜няется, по словам автора, в прямом отношении к степени предпочтения ликвидности и в обратном - к количеству денег в обращении: М' = L' (у, i), где М' - количество денег; L' - функция предпочтения ликвидности. Следует отметить, что предпочтение ликвидности Дж. М. Кейнс ста╜вит в зависимость от следующих основных причин: соображения обра╜щения, предосторожности и спекулятивных соображений. Дж.М. Кейнс определил, что график предпочтения ликвидности L = L'(у0 , i), отражающий связь количества денег с нормой процента, представляет плавную кривую, которая падает по мере роста объема денежной массы. В точке пересечения функции с заданным предложе╜нием денежных средств (M ) будет получена равновесная для настояще╜го момента норма процента (i0 ). Таким образом, особенность кейнсианской теории состоит в пред╜положении, что норма процента складывается в результате взаимодей╜ствия спроса и предложения денежных средств. Причем процент рас╜сматривается как ╚в высшей степени психологический феномен╩. Между тем уровен 515b16ff ;ь ссудного процента в условиях свободных ры╜ночных отношений складывается не только на основе соотношения между совокупным спросом и предложением денежных средств, но и является результатом сложного взаимодействия ряда факторов не толь╜ко финансовой сферы, но и производствен 515b16ff ;ной. К их числу относятся цикличность производства, достигнутый в стране уровен 515b16ff ;ь накопления денежного капитала и сбережений, общий уровен 515b16ff ;ь развития денежных рынков и рынков ценных бумаг, международная миграция капиталов, состояние национальных валют. Большое значение для участников кредитных отношений имеет так╜же сочетание двух начал формирования процентных ставок: рыночных сил и государствен 515b16ff ;ного регулирования, которое проводится с целью: ∙ поддержания развития отдельных отраслей экономики; ∙ создания единообразных условий функционирования для элемен╜тов национальной кредитной системы; ∙ проведения антиинфляционной политики. В последние годы во многих странах процесс ╚дерегулирования╩ затронул и сферу процентных ставок, когда политика государствен 515b16ff ;но╜го регулирования, широко используемая в предыдущие годы, постепен╜но потеряла свое значение: все большую роль в нормировании цены кре╜дита принимают рыночные силы, хотя данный процесс не всегда однозначен. Западными экономистами признается положение о том, что на мак╜роуровне рыночная норма процента испытывает непосредствен 515b16ff ;ное вли╜яние инфляционных процессов. Причем данный подход поддерживает╜ся сторонниками различных теорий ссудного процента. Это положение впервые было выдвинуто И. Фишером, который определял номиналь╜ную ставку процента как функцию реальной нормы процента и ожида╜емого темпа инфляции: i = r + е, где i - номинальная, или рыночная, ставка процента; r - реальная; е - темп инфляции. Только в особых случаях, когда на денежном рынке не происходит повышения цен (е = 0), реальная и номинальная процентные ставки со╜впадают. Данная формула может служить для приближенного определения номинальной процентной ставки и дает приемлемые результаты толь╜ко при небольших значениях r и е. В противном случае применяется другой подход, учитывающий необходимость компенсации и по начис╜ляемой сумме платы за кредит. Номинальная процентная ставка опре╜деляется по формуле i = (1 + r) (1 + е) - 1 = r + е + r ∙ е, и соответствен 515b16ff ;но уровен 515b16ff ;ь реального процента выражается как
В условиях развития рыночных начал в экономике России в сфере кредитных отношений уровен 515b16ff ;ь ссудного процента стремится к средней норме прибыли в хозяйстве. При условии свободного перелива капита╜ла последний будет устремляться в ту отрасль, ту сферу приложения средств, которая обеспечит получение наибольшей прибыли. Если уро╜вен 515b16ff ;ь дохода в производствен 515b16ff ;ном секторе экономики будет выше ссуд╜ного процента, то произойдет перемещение средств из денежной сферы в производствен 515b16ff ;ную и наоборот. Примером такого влияния в 1993-1996 гг. стало воздействие доход╜ности рынка государствен 515b16ff ;ных ценных бумаг на отток банковских средств из сферы краткосрочного кредитования в сферу операций с го╜сударствен 515b16ff ;ными краткосрочными бескупонными облигациями. С кон╜ца 1996 г. при падении доходности отмеченного сегмента рынка бан╜ковский капитал устремился в другие сферы. При формировании рыночного уровня ссудного процента на отклоне╜ние его величины от средней нормы прибыли влияют как общие факто╜ры, действующие на макроуровне, так и частные, лежащие в основе про╜ведения процентной политики отдельных кредиторов. К числу общих факторов относятся: ∙ соотношение спроса и предложения заемных средств; ∙ регулирующая направленность политики Центрального банка РФ; ∙ степень инфляционного обесценения денег. Последний из назван╜ных факторов оказывает особое влияние на уровен 515b16ff ;ь ссудного процен╜та. Об этом свидетельствует практика всех стран, прошедших по пути перехода от плановой экономики к рыночным отношениям, к числу которых соответствен 515b16ff ;но относится и Россия. Частные факторы определяются конкретными условиями деятель╜ности кредитора, его положением на рынке кредитных ресурсов, харак╜тером операций и степенью риска. Кроме того, имеются особенности при формировании отдельных форм ссудного процента. 13.3. Банковский процентБанковский процент - одна из наиболее развитых в России форм ссуд╜ного процента. Он возникает в том случае, когда одним из субъектов кредитных отношений выступает банк. Банк, как и любое кредитное учреждение, размещает в ссуду прежде всего не собствен 515b16ff ;ные, а привлеченные средства. Доля дохода, получае╜мая банком, представляет собой компенсацию за посредничество, ╚рисковое объединение╩ и кредитную оценку. Риск невыполнения обяза╜тельств перед банком по его активам превышает риск невыполнений обязательств перед вкладчиком по пассивам. Таким образом, он принимает на себя риск неплатежей по ссудам. Кроме того, вкладчики допускают более низкую процентную ставку по средствам, передаваемый в банк, с тем чтобы не заниматься поиском клиентов и оценкой их кредитоспособности. Уровен 515b16ff ;ь банковского процента по пассивным операциям, помимо общих факторов, рассмотренных в ╖13.2, зависит от: ∙ срока и размера привлекаемых ресурсов; ∙ надежности коммерческого банка; ∙ прочности взаимоотношений с клиентом. Уровен 515b16ff ;ь процента на межбанковском денежном рынке при прочих равных условиях, как правило, превышает норму депозитного процента, так как учитывает затраты и интересы кредитного учреждения, предоставляющего ссуду. К частным факторам, лежащим в основе определения уровня процента по активным операциям банка, относятся: ∙ себестоимость ссудного капитала; ∙ кредитоспособность заемщика; ∙ цель ссуды; ∙ характер обеспечения; ∙ срок и объем предоставляемого кредита. Верхняя граница процента за кредит определяется рыночными условиями. Нижний предел складывается с учетом затрат банка по привлечению средств и обеспечению функционирования кредитного учреждения. При расчете нормы процента в каждой конкретной сделке коммерческий банк учитывает: ∙ уровен 515b16ff ;ь базовой процентной ставки; ∙ надбавку за риск с учетом условий кредитного договора. Базовая процентная ставка (Пбаз) определяется исходя из ориентировочной себестоимости кредитных вложений и заложенного уровней прибыльности ссудных операций банка на предстоящий период: Пбаз = С1 +С2 +Пм , где С1 - средняя реальная цена всех кредитных ресурсов на планируе╜мый период; С2 - отношение планируемых расходов по обеспечению функциони╜рования банка к ожидаемому объему продуктивно размещен╜ных средств; Пм - планируемый уровен 515b16ff ;ь прибыльности ссудных операций банка с минимальным риском. Средняя реальная цена кредитных ресурсов (C1 ) определяется по формуле средневзвешенной арифметической исходя из цены отдельно╜го вида ресурсов и его удельного веса в общей сумме мобилизуемых банком (платных и бесплатных) средств. Средняя реальная цена отдельных видов ресурсов определяется на основе рыночной номинальной цены указанных ресурсов и корректи╜ровки на норму обязательного резерва, депонируемого в Центральном банке РФ. В частности,
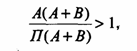
где С∂ - средняя реальная цена привлекаемых банком срочных депозитов; П∂ - средний рыночный уровен 515b16ff ;ь депозитного процента. Аналогично определяется средняя реальная цена по другим источ╜никам средств, по которым предусмотрено отчисление средств в фонд обязательных резервов. Надбавка за риск дифференцируется в зависимости от следующих критериев: ∙ кредитоспособности заемщика; ∙ наличия обеспечения по ссуде; ∙ срока кредита; ∙ прочности взаимоотношений клиента с банком. Учитывая, что процент по активным операциям банка играет важ╜ную роль в формировании доходов, а платаза привлеченные ресурсы занимает существен 515b16ff ;ное место в составе его расходов, актуальное значе╜ние имеет проблема определения процентной маржи (Мфакт), т.е. раз╜ницы между средними ставками по активным (Па ) и пассивным опера╜циям банка (Пп ): Мфакт = Па - Пп Основными факторами, влияющими на размер процентной маржи, являются объем и состав кредитных вложений и их источников, сроки платежей, характер применяемых процентных ставок и их движение. При действующей практике кредитования в нашей стране, как пра╜вило, применяются фиксированные ставки процента, не подлежащие пересмотру до окончания кредитной сделки. Однако, продвигаясь по пути создания рыночного механизма, нельзя не учитывать опыт запад╜ных стран, где одновременно существует набор процентных ставок, ко╜торые, в большинстве случаев, пересматриваются в зависимости от рыночной конъюнктуры и приспосабливаются к ней. В этих условиях все активы и пассивы принято делить на четыре категории в соответствии с быстротой регулирования процентных пла╜тежей и перехода на новый уровен 515b16ff ;ь ставок. Существует следующая клас╜сификация: А. Активы и пассивы, по которым применяется немедленный и пол╜ный пересмотр процентных ставок при изменении рыночных условий. В. Полное регулирование в течение трех месяцев. С. Активы и пассивы, по которым ставки пересматриваются в пери╜од, превышающий три месяца. D. Активы и пассивы с полностью финансированными ставками. Взаимодействие этих факторов определяется путем сопоставления первых двух категорий активов (А+В) с аналогичными пассивами с уче╜том сложившейся рыночной ситуации. В период, когда процентные ставки растут, для банка более благо╜приятно соотношение, когда
т.е. число активов с подвижными процентными ставками превышает соответствующую величину пассивов, в связи с чем увеличивается раз╜рыв в ставках по активным и пассивным операциям - растет процент╜ная маржа. Напротив, при падении рыночного уровня процента желательно придерживаться следующего соотношения, когда
и подкреплять активы с фиксированными ставками за счет пассивов, характеризующихся срочностью пересмотра платежей по процентам. Для эффективного управления доходом от ссудных операций опре╜деляется и анализируется минимальная процентная маржа, характери╜зующая сложившуюся величину затрат, не покрытых полученными ко╜миссиями и прочими доходами, на каждый рубль продуктивно размещенных средств:
где Pб - расходы по обеспечению функционирования банка (все расхо╜ды, кроме сумм начисленных процентов); Дп ══ - прочие доходы кредитного учреждения (доходы, за исключени╜ем поступлений по активным операциям банка); возмещение клиентами почтовых и телеграфных расходов, поступившая плата за услуги, оказанные предприятиям, проценты и комис╜сии, дополученные за прошлые годы, и востребованные процен╜ты и комиссии, излишне уплаченные клиентам в прошлые годы, прочие доходы; А∂ - актив баланса банка, приносящий доход на вложенные сред╜ства: кредитные вложения, приобретенные ценные бумаги, средства, перечисленные предприятиям для участия в их хозяй╜ствен 515b16ff ;ной деятельности, и др. Приведенные выше подходы используются коммерческими банка╜ми при проведении процентной политики по активным и пассивным операциям. Вопросы для самоконтр |




