Реферат: Кривые второго порядка эллипс, окружность, парабола, гипербола
|
Название: Кривые второго порядка эллипс, окружность, парабола, гипербола Раздел: Рефераты по математике Тип: реферат |
Федеральное агентство по образованию Российской Федерации Государственное образовательное учреждение высшего профессионального образования Южно-Уральский государственный университет. Факультет Коммерции Кафедра «Товароведение и экспертиза потребительских товаров» «Кривые второго порядка: эллипс, окружность, парабола, гипербола» РЕФЕРАТ По дисциплине Высшая математика. Проверила Пермина Александра Николаевна Автор работы студент группы 131 Кравченко Ольга Владимировна Реферат защищен с оценкой________________ Челябинск 2009 Кривые второго порядка: эллипс, окружность, парабола, гипербола. Кривыми второго порядка на плоскости называются линии пересечения кругового конуса с плоскостями, не проходящими через его вершину. Если такая плоскость пересекает все образующие одной полости конуса, то в сечении получается эллипс , при пересечении образующих обеих полостей – гипербола , а если секущая плоскость параллельна какой-либо образующей, то сечением конуса является парабола . Кривая второго порядка
на плоскости в прямоугольной системе координат описывается уравнением: Эллипс. Множество всех точек на плоскости, для которых сумма расстояний до двух фиксированных точек F 1 и F 2 есть заданная постоянная величина, называется эллипсом .
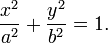
Каноническое уравнение эллипса. Для любого эллипса можно найти декартову систему координат такую, что эллипс будет описываться уравнением (каноническое уравнение эллипса):
Оно описывает эллипс с центром в начале координат, оси которого совпадают с осями координат. Число a называют большой полуосью эллипса , а число b – его малой полуосью . Свойства эллипса:
Эллипс также можно описать как
Окружность.
Каноническое уравнение окружности. Общее уравнение окружности записывается как:
или
Точка Уравнение окружности радиуса R с центром в начале координат:
Свойства окружности:
Парабола. Параболой называется множество точек плоскости, каждая из которых находится на одинаковом расстоянии от данной точки, называемой фокусом, и от данной прямой, называемой директрисой и не проходящей через фокус.
где р
(фокальный параметр) - расстояние от фокуса до директрисы Свойства параболы:
· Прямая пересекает параболу не более чем в двух точках. · Эксцентриситет параболы е =1. Гипербола. Геометрическое место точек плоскости, для которых разность расстояний до двух фиксированных точек есть величина постоянная, называют гиперболой .
Числа Свойства гиперболы: · Гипербола имеет две оси симметрии (главные оси гиперболы) и центр симметрии (центр гиперболы). При этом одна из этих осей пересекается с гиперболой в двух точках, называемых вершинами гиперболы. Она называется действительной осью гиперболы (ось Ох для канонического выбора координатной системы). Другая ось не имеет общих точек с гиперболой и называется ее мнимой осью (в канонических координатах – ось Оу ). По обе стороны от нее расположены правая и левая ветви гиперболы. Фокусы гиперболы располагаются на ее действительной оси. · Каждая гипербола имеет пару асимптот: · Расстояние от начала координат до одного из фокусов гиперболы называют фокусным расстоянием
гиперболы · Эксцентриситетом гиперболы называется величина е = с / а. Эксцентриситет гиперболы e > 1 · Расстояние от вершины гиперболы до асимптоты вдоль направления параллельного оси ординат называется малой
или мнимой полуосью
гиперболы · Расстояние от фокуса до гиперболы вдоль прямой, параллельной оси ординат называется фокальным параметром
Список литературы: Канатиков А.Н., Крищенко А.П. Аналитическая геометрия: Учеб. для вузов. 2-е изд. / Под ред. В.С. Зарубина, А.П. Крищенко. – М.: Изд-во МГТУ им. Н.Э. Баумана, 2000 – 388с.(Сер. Математика в техническом университете; Вып. III ). http :// www . Wikipedia . ru |

. Эксцентриситет характеризует вытянутость эллипса. Чем эксцентриситет ближе к нулю, тем эллипс больше напоминает окружность и наоборот, чем эксцентриситет ближе к единице, тем он более вытянут.
Окружность
— геометрическое место точек плоскости, равноудалённых от заданной точки, называемой её центром, на заданное ненулевое расстояние, называемое её радиусом.
Каноническое уравнение
параболы в прямоугольной системе координат:
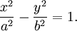
Для любой гиперболы можно найти декартову систему координат такую, что гипербола будет описываться уравнением
: