Реферат: Анализ численности населения 2
|
Название: Анализ численности населения 2 Раздел: Рефераты по маркетингу Тип: реферат | |||||||||||||||||||||||||||||||||||||||||||||||||||||||||||||||||||||
Содержание: Введение……………………………………………………………….3 Глава 1. Изучение численности и размещения населения 1.1 Система источников данных о населении………………………..4 Глава 2 Статистический анализ состава населения…………………..8 2.1 Статистика естественного движения населения…………………11 2.2 Статистика миграции……………………………………………...13 Глава 3. Методы прогнозирования в статистике населения 3.1 Моделирование временного тренда среднегодовой численности занятого населения Санкт – Петербурга………………………………16 3.2 Множественный регрессионный анализ………………………….21 Заключение………………………………………………………….28 Список используемой литературы………………………………….30 Введение Население – как объект изучения в статистике представляет собой совокупность людей, проживающих на определенной территории и непрерывно возобновляющихся за счет рождений и смертей» Единицей наблюдения в статистике населения является отдельный человек, семья или домохозяйство в зависимости от целей и задач наблюдения [2]. · Основные задачи статистики населения: o определение численности населения и его размещения по территории; o анализ состава населения; o изучение естественного движения населения; o изучение миграции населения. В статистике населения объектом статистического наблюдения могут быть самые разные совокупности: население в целом (постоянное или наличное), отдельные группы населения (трудоспособное население, безработные, пенсионеры, городское население или сельское, мужчины или женщины и т.д.), молодые семьи (или, наоборот, пожилые), родившиеся за год (или иной период) или умершие и т.д. Целью данной курсовой работы является изучение среднегодовой численности занятого населения на конкретном примере, в данном случае на примере города Санкт-Петербурга. А также будут проведены анализы численности и состава населения для получения статистических результатов о численности населения и выявления различных факторов, влияющих на его развитие. Глава 1 Система источников данных о населении. 1.1 Изучение численности и размещения населения . Основными источниками данных о населении являются переписи населения, текущий статистический учет естественного и механического движения, выборочные социально-демографические и специальные обследования, списки (учеты) и регистры населения. Эти источники не заменяют, а взаимодополняют друг друга и образуют единую систему информации о населении. Обеспечивается единство на основе согласованности программы наблюдения и методов учета. Всеобщие переписи населения представляют собой сплошное наблюдение, являются первоисточником информации, дают наиболее полные и разносторонние сведения о населении на критический момент времени. Этот источник информации наиболее трудоемкий и дорогостоящий. Переписи проводятся в среднем через 10 лет. Программы всех переписей имеют некоторые различия, которые обусловлены конкретными социально-экономическими условиями и потребностями в знании тех или иных характеристик населения страны. Имеют место и различия в организации переписей [4]. В некоторых случаях, когда необходимо получить более подробные сведения о населении отдельных территорий или группах населения, применяются специальные обследования по более детальной программе наблюдения [1]. Текущий статистический учет движения населения представляет собой сбор сведений о рождениях, смертях, заключении браков и разводах, прибывших на постоянное жительство из других населенных пунктов и выбывших на постоянное жительство в другие населенные пункты. Особенностью текущего учета является то, что факты движения населения будут учтены статистикой, только если они юридически оформлены. Учет естественного движения основан на регистрации актов гражданского состояния в ЗАГСах, механического движения (миграции) – на регистрации (прописке) в органах внутренних дел. Дополнительные сведения о населении содержатся в списках и картотеках учета различных категорий населения, ведущихся теми или иными организациями. Например, списки избирателей, в которых имеются сведения о гражданах страны в возрасте 18 лет и старше. В сельской местности ведутся хозяйственные книги, в которых наряду со сведениями о хозяйстве содержится информация о численности и составе населения по полу, возрасту и другие характеристики . В настоящее время в нашей стране стоит задача формирования регистров населения. Регистр населения представляет собой поименный и регулярно актуализируемый перечень жителей, служащий целям административного учета населения. Создание регистров населения требует значительных материальных и трудовых затрат. Правила ведения регистров основываются на ряде принципов, среди которых принцип персонификации и конфиденциальности информации, что требует обеспечения высокой степени защиты информации, и законодательной защиты интересов граждан. Ведение регистров населения эффективно в странах с небольшой численностью населения, небольшой территорией и достаточно высокой культурой населения. Точное определение численности населения на определенный момент времени осуществляется при помощи переписи населения. В межпереписной период численность населения определяется балансовым методом на основе данных последней переписи и сведений текущего статистического учета движения населения. Существующая практика учета предполагает определение численности населения на начало и конец года. Sк = Sн + N – M + П – В, где Sк,н – численность населения соответственно на конец и начало года; N – число родившихся за год; М – число умерших за год; П – число прибывших за год; В – число выбывших за год. N – M = Dест П – В = Dмех Dест + Dмех = Dобщ , где Dест – естественный прирост населения; Dмех – механический прирост населения или сальдо миграции; Dобщ – общий прирост населения. В статистике ведется учет различных категорий населения: постоянного и наличного. Постоянное население – совокупность людей, для которых данный населенный пункт или территория представляют место обычного (постоянного) проживания в данное время [3]. Наличное население – совокупность людей, находящихся в данном населенном пункте или на данной территории на критический момент времени. Для анализа населения, а также в практике управления и планирования требуется характеристика численности населения не только на определенные даты, на и за весь период. Такой характеристикой является средняя численность населения ( Средняя численность населения может быть рассчитана разными методами: 1) 2) При наличии сведений о численности населения на даты равноотстоящие друг от друга, применяется средняя хронологическая:
Si – численность населения на каждую дату. При этом S1 –численность населения на начало года (периода); Sn – численность на конец года (периода); n – число значений численности. 3) Если интервалы между датами не равные, то применяется средняя арифметическая взвешенная: 4) Если данные о численности населения имеются на начало и конец длительного периода, то можно среднюю численность населения определить как среднее значение показательной функции, так как изменение численности населения близко к геометрической прогрессии: ln S – натуральный логарифм [6]. В соответствии с принятым делением населенных пунктов на городские и сельские, все население подразделяется на городское и сельское. Городскими поселениями считаются населенные пункты, утвержденные законодательными актами в качестве городов, поселков городского типа, рабочих поселков, курортных поселков; остальные населенные пункты считаются сельскими [5]. Сведения о численности населения разрабатываются по территориям: республикам, экономическим районам, краям, областям, округам, административным районам и др. По территориям определяется показатель плотности населения, который характеризует, сколько человек приходится на 1 км2 площади: Р – показатель плотности населения; R – площадь территории, км2. Глава 2. Статистический анализ состава населения В практической и научно-исследовательской деятельности требуются сведения о составе населения, т.е. по отдельным группам населения, выделенным по тем или иным признакам, так как эти группы различаются по своей роли, значению в обществе, экономике, в демографических процессах. Статистика изучает состав населения по признакам демографическим (пол, возраст, семейно-брачное состояние и др.), этническим (национальность, родной язык и др.), социально-экономическим (образование, занятие, профессия, источники средств существования, отношения собственности, общественно-политическая активность и т.д.) Выделяются следующие основные группы населения: 1. По полу определяется численность мужчин и женщин. Группировка по полу проводится в комбинации с другими признаками (возраст, образование, занятие и др.) 2. По возрасту определяется численность населения с одногодичным интервалом и укрупненным интервалом, как правило, 5 и 10 лет. Кроме того, выделяются группы детей всего и в том числе младенцев, ясельного, дошкольного и школьного возраста; определяется численность населения трудоспособного возраста, численность женщин фертильного (детородного) возраста (15-44 года), численность избирателей (возраст 18 лет и старше), численность старого населения (возраст 65 лет и старше) и др. Распределение по возрасту осуществляется всего населения и в сочетании с другими признаками, в первую очередь с полом. 3. По состоянию в браке определяется число лиц, состоящих и не состоящих в браке, в том числе никогда не состоявших в браке, овдовевших, и одной группой разведенных и разошедшихся. 4. По этническим признакам определяется численность лиц каждой национальности, проводится группировка по родному языку в сочетании с национальностью. 5. По категории населенного пункта постоянного места жительства определяется численность городского и сельского населения. 6. По образованию в настоящее время выделяются группы населения, имеющие начальное общее, основное общее, среднее (полное) общее, среднее профессиональное, неполное высшее, высшее профессиональное образование. В соответствии с программой предстоящей переписи населения России в 2002 г. предполагается выделить группу лиц с начальным профессиональным образованием и внести следующие редакционные поправки в существующую группировку: начальное общее (начальное), основное общее (неполное среднее), среднее (полное) общее, начальное профессиональное (профессионально-техническое), среднее профессиональное (среднее специальное), неполное высшее профессиональное [7]. 7. По источникам средств существования выделяются группы: 1) Работающие по найму: а) на предприятии, в организации, учреждении, крестьянском (фермерском) хозяйстве; б) по обслуживанию домохозяйства; в) у отдельных граждан. 2) Работающие не по найму в том числе: а) в собственном крестьянском (фермерском) хозяйстве; б) на собственном предприятии; в) на индивидуальной основе, на семейном предприятии, в крестьянском (фермерском) хозяйстве; 3) Получающие государственное обеспечение: а) пенсии; б) стипендии; в) пособия (кроме пособия по безработице); г) пособия по безработице; д) другой вид государственного обеспечения; 4) Имеющие доход от собственности; 5) Находящиеся на иждивении; 6) Имеющие иной источник дохода. 8. По положению в занятии выделяются группы: 1) работающие по найму; 2) члены производственного кооператива; 3) работодатели; 4) работающие на индивидуальной основе; 5) неоплачиваемые работники семейного предприятия. В этой группировке программой переписи населения 2002 г. также предусмотрены изменения. Выделяются следующие группы: а) работающие в качестве наемного работника; б) работающие на собственном предприятии или в собственном деле: - привлекая наемных работников на постоянной основе; - без наемных работников или привлекая их от случая к случаю; в) работающие в качестве члена производственного кооператива (артели) г) помогающие без оплаты на принадлежащем родственнику(ам) предприятии или крестьянском (фермерском) хозяйстве. Группировки населения проводятся и по другим признакам, например, профессии, отрасли экономики и т.д. На основе данных о составе определяется структура населения, показатели соотношения (координации) разных групп населения. Например, удельный вес мужчин и женщин в общей численности населения, доля городского и сельского населения; сколько женщин приходится на 1000 мужчин, сколько человек нетрудоспособного возраста приходится на 1000 человек трудоспособного возраста и др. 2.1 Статистика естественного движения населения Численность населения постоянно меняется. Происходит это в результате движения населения: рождений и смертей. Рождения, смерти, а также браки и разводы называют естественным движением населения. Для характеристики естественного движения населения определяется абсолютное число родившихся ( N) , умерших ( М ), естественный прирост ( Dест ) как разница между число родившихся и умерших ( Dест = N – М ), число заключенных браков и число расторгнутых браков (разводов) за период. Сложившаяся практика учета движения населения подводит итоги за разные периоды времени, но обязательно за год, и показатели рассчитываются, как правило, за год. Интенсивность движения населения характеризуют относительные показатели: общие и специальные коэффициенты, которые рассчитываются на 1000 человек населения, т.е. в промилле (‰): 1. Общий коэффициент рождаемости ( Кр ):
2. Общий коэффициент смертности ( Ксм ):
7. Общий коэффициент разводов ( Кразв ):
8. Коэффициент соотношения браков и разводов ( Кр/б ):
9. Специальный коэффициент рождаемости или показатель фертильности ( Кф ):
10. Коэффициент младенческой смертности ( Кмл.см .) можно определить несколькими способами в зависимости от наличия данных и необходимой тщательности расчета: а) N1 – число родившихся в рассматриваемом году. б) в) m1/0 – число умерших детей в возрасте до 1 года в рассматриваемом году из число родившихся в предыдущем году. Уровень младенческой смертности имеет значение не только как демографическая характеристика, но и является показателем уровня жизни населения. Такую же функцию выполняет и показатель ожидаемой продолжительности жизни при рождении. Ожидаемая продолжительность жизни – интервал между рождениями и смертью. 2.2 Статистика миграции На изменение численности населения отдельного населенного пункта территории влияют так же перемещения населения из одного населенного пункта в другой со сменой постоянного места жительства. Такое движение называется механическим или миграцией населения. Перемещения населения внутри страны называются внутренней миграцией, а перемещение из одной страны в другую – внешней миграцией. На основе текущего учета населения статистика разрабатывает сведения о составе мигрантов (по полу, возрасту, национальности), о направлениях миграции (в пределах России: с выделением экономических районов, республик, краев, областей; международная миграция: с указанием стран входа – выхода мигрантов), о причинах миграции: в связи с учебой; в связи с работой; возврат в прежнему месту жительства; из-за обострения межнациональных отношений; обострение криминогенной обстановки; экономическое неблагополучие; несоответствие природно-климатическим условиям; причины личные, семейные; иные причины [8]. Особое значение имеет анализ вынужденных переселенцев и беженцев.К вынужденным переселенцам относятся граждане Российской Федерации, «вынужденные или намеревающиеся покинуть место своего постоянного жительства на территории другого государства либо на территории Российской Федерации вследствие совершенного в отношении них или членов их семей насилия или преследования в иных формах, либо реальной опасности подвергнуться преследованию в связи с обстоятельствами, существенно ущемляющими права человека» Беженцы – лица не граждане России, вынужденные «оставить место жительства (уходить, уезжать, спасаясь бегством) вследствие различных угрожающих обстоятельств» В России ведется ведомственный учет вынужденных переселенцев и беженцев с 1 июля 1992 года со времени создания Федеральной миграционной службы. В текущем статистическом учете эта категория мигрантов отражается в общей численности без выделения отдельной группой. Абсолютные показатели миграции: - число прибывших на постоянное жительство из других населенных пунктов ( П ); - число выбывших на постоянное жительство в другие населенные пункты ( В ); - сальдо миграции или механической прирост ( Dмех = П – В ). Интенсивность миграции характеризуют коэффициенты: 11. Коэффициент прибытия ( КП ):
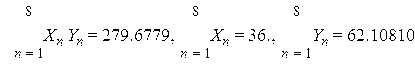
На основе данных о естественном и механическом приросте определяется общий прирост населения ( Dобщ = Dест + Dмех ). Глава 3. Методы прогнозирования в статистике населения. 3.1 Моделирование временного тренда среднегодовой численности занятого населения Санкт-Петербурга Приведем данные среднегодовой численности занятого населения
Построим показательный тренд Приведем массив данных
Обозначим ln(f)=y, ln(a)=alpha, ln(b)=beta Получим
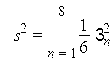
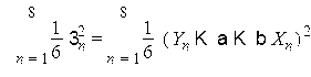
Для регрессии вида
Вычислим
Тогда
Откуда Параметры показательной регрессии
Нарисуем точки и показательную регрессию:
Дисперсионный анализ для линейной регрессии Среднее Y Остаточная вариация (RSS)
Общая вариация (TSS) Объясняемая вариация (ESS)
Правило сложения дисперсий выполняется Подсчитаем оценку дисперсии ошибки, т.е. Среднее X
Получим Доверительные интервалы для оцененных параметров
уровень доверия Доверительный интервал для beta
равен Не можем на данном уровне значимости принять гипотезу beta=0 т.к. не попадает в доверительный интервал. Доверительный интервал для alpha
равен Коэффициент корреляции где
показывает, что связь сильна. Коэффициент детерминации показывает, что регрессия объясняет 99,65 процентов вариации признака. Убедимся в значимости модели с помощью статистики Фишера
Следовательно, регрессия значима. Проверим значимость коэффициента корреляции. поэтому выборочный коэффициент корреляции значимо отличается от нуля. Средняя ошибка аппроксимации
Колеблемость - это отклонения уровней динамического ряда от тренда, т.е. остатки регрессии. Найдем остатки регрессии (т.е. очищаем признак от тренда)
Нарисуем график остатков
Среднее линейное отклонение уровней ряда от тренда описывается показателем т.е. среднее абсолютное отклонение от тренда равно Амплитуда колебаний есть разность максимального и минимального отклонения и показывает максимальный разброс отклонений.
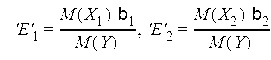
3.2 Множественный регрессионный анализ Будем моделировать среднегодовую численность занятого населения с помощью показателей общей численности населения и миграционного прироста
Для регрессии вида
Найдем обратную матрицу Дополнительные миноры
Их определители
Союзная матрица
Союзная транспонированная матрица
Делим каждый элемент на определитель, получаем
β=
Уравнение регрессии имеет вид нарисуем график
Коэффициенты эластичности
равны Стандартизованные коэффициенты
Тогда Парные коэффициенты корреляции
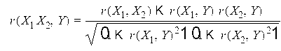
Частные коэффициенты корреляции
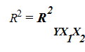
Множественный коэффициент корреляции
или Ошибка множественного коэффициента корреляции
Найдем коэффициент детерминации
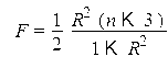
Проведем F-тест. Регрессия значима. На основании проведенных анализов в данной курсовой работе можно сделать ряд выводов и предложить решения проблем, возникших при анализировании данной темы. Основными источниками данных о населении являются переписи населения, текущий статистический учет естественного и механического движения, выборочные социально-демографические и специальные обследования, списки (учеты) и регистры населения. Эти источники не заменяют, а взаимодополняют друг друга и образуют единую систему информации о населении. Также в данной курсовой работе было выявлено, что на основе данных о составе определяется структура населения, показатели соотношения (координации) разных групп населения. Например, удельный вес мужчин и женщин в общей численности населения, доля городского и сельского населения; сколько женщин приходится на 1000 мужчин, сколько человек нетрудоспособного возраста приходится на 1000 человек трудоспособного возраста и др. Сравнив построенные модели пронозироания в статистике, результат можно отобразить в следующей таблице:
Показательная модель самая лучшая по всем критериям: у нее самый высокий R ^2 и F -статисика, а показатели ошибок самые малые. Поэтому для прогнозирования следует использовать показательную модель. Как видим, зависимость только от времени является наиболее качественной среди рассмотренных моделей. Список используемой литературы: 1. Елисеева И.И . Общая теория статистики: Учебник для ВУЗов. – М.: Финансы и статистика, 2000. 2. Ефимова М.Р . Общая теория статистики: Учебник.- М.: Финансы и статистика, 2002. 3. Ефимова М.Р . Практикум по общей теории статистики: Учебн. пособие.- М.: Финансы и статистика, 2006. 4. Козлов В.С., Эрлих Я.М., Долгушевский Ф.Г . Общая теория статистики: Учебник.- М.: Статистика, 2001. 5. Общая теория статистики: Статистическая методология в изучении коммерческой деятельности. Учебник для ВУЗов.- М.: Финансы и статистика, 2004. 6. Общая теория статистики: Учебник/ Под ред. А.А. Спирина, О.Э. Башиной .- М.: Финансы и статистика, 2006. 7. Общая теория статистики: Учебник/ Под ред. А.М. Гольдберга, В.С. Козлова.- М. : Финансы и статистика, 2005. 8. Ряузов Н.Н. Общий курс статистики.- М.: Статистика, 2007. 9. Региональная статистика / Под редакцией Рябиева В.М., Чудилина Г.И.- М.:»МИД»,2001. 10. Статистический ежегодник. – Санкт-Петербург, 2006. 11. Голуб Л.А. Социально-экономическая статистика. – М.: Гуманитарный издательский центр ВЛАДОС, 2003 12.Статистический анализ состава населения г. Санкт-Петербурга – Под редацией Аралбаева .И А., Анютин Н.В.,2007. 13. Города и районы Санкт-Петербургской области: Статистический сборник / облкомстат – Санкт-Петербрг,2004. |
Этот расчет грубый. Он тем точнее, чем равномернее происходило изменение численности населения в течение года (периода)
t
– величина интервалов.

































































