Реферат: Экономика и география Казахстана
|
Название: Экономика и география Казахстана Раздел: Рефераты по географии Тип: реферат | |||||||||||||||||||||||||||||||||||||||||||||||||||||||||||||||||||||||||||||||||||||||||||||||||||||||||||||||||||||||||||||
| Кафедра Мировой Экономики Реферат на тему: «Экономика и география Казахстана» Москва 2009 План Введение………………………………………………………………… I Географическаяхарактеристика……………………………………… 1. Географическое положение. 2. Рельеф…………………………………………………………………. 3. Климат……………………………………………………………… 4. Почвы……………………………………………………………… II Характеристика экономики……………………………………… 1. Население. 2. Природные ресурсы…………………………………………………… 3. Промышленность……………………………………………………… 4. Сельское хозяйство…………………………………………………… 5. Обзор макроэкономических показателей роста экономики республики Казахстан III Роль в мире……………………………………………………… 1. Перспективы развития. Заключение………………………………………………………… Список использованной литературы……………………………
Введение. Респу́блика Казахста́н (каз. Қазақстан Республикасы) или Казахста́н (каз. Қазақстан [Kazakstan]) — государство, находящееся в Центральной Азии и Восточной Европе.Граничит на севере и западе с Россией, на востоке — с Китаем, на юге — с Киргизией, Узбекистаном и Туркменией. Омывается водами внутриконтинентальных Каспийского и Аральского морей. В настоящее время Республика Казахстан - одна из быстро развивающихся стран Азии. Экономика Республики Казахстан в течение длительного периода времени, более чем 10 лет, развивается устойчивыми темпами, благодаря росту экономического потенциала ряда отраслей промышленности, развитию сферы услуг, строительства и торговли. Тенденция макроэкономической устойчивости сохраняется, несмотря на неустойчивость глобальных рынков развития. Приоритеты развития государства остаются неизменными -это ускоренное продвижение в число пятидесяти конкурентоспособных стан мира, на основе всесторонней модернизации Казахстана в ближайшие 10 лет. Однако системный анализ индикаторов определяющих конкурентоспособность экономки и социальной жизни страны за период 2006-2007 показывает значительное ухудшение важнейших индексов конкурентоспособности страны. Результаты обзора изменений рейтинга Казахстана в глобальном индексе конкурентоспособности страны показали падение рейтинга страны практически по всем позициям. Место Казахстана в мировом рейтинге конкурентоспособности экономик в текущем году ухудшилась на пять позиций, по сравнению с прошлым годом она опустилась с 56-го на 61-е место. До существования в рамках СССР Казахстан уже был в прошлом столетии под гнетом Царской России. То есть политические и экономические отношения Казахстана зависели сначала от России, а затем от СССР. Полученная в 1991 г. независимость де-юре дала ему суверенный статус, приведший на начальной стадии к беспорядку и недостатку стабильности. Страны должны пересмотреть фактический результат их ухода из бывшего Советского Союза. В этой работе я рассматриваю общее географическое положение и экономическое развитие Республики Казахстан. I Географическая характеристика. 1. Географическое положение.
Казахстан расположен на стыке двух континентов - Европы и Азии, между 45 и 87 градусами восточной долготы, 40 и 55 градусами северной широты. Географический центр европейско-азиатского субконтинента находится именно в Казахстане (на пересечении 78 меридиана с 50 параллелью) - в эпицентре бывшего Семипалатинского атомного полигона. Казахстан занимает площадь, равную 2724,9 тыс. кв. км. (1048,3 тыс. кв. миль) и раскинулся к востоку от Каспийского моря и приволжских равнин до горного Алтая от предгорий Тянь-Шаня на юге и юго-востоке до Западно-Сибирской низменности на севере. Протяженность его территории с запада на восток превышает 3000 км (1150 миль), с юга на север - 1700 км (650 миль). Казахстан по занимаемой площади находится на девятом месте в мире, т.е. входит в первую десятку крупнейших по территории государств мира - после России, Канады, Китая, США, Бразилии, Австралии, Индии и Аргентины. На востоке, севере и северо-западе Казахстан граничит с Россией (протяженность границы 6477 км), на юге - с государствами Центральной Азии - Узбекистаном (2300 км), Кыргызстаном (980 км) и Туркменистаном (380 км), а на юго-востоке - с Китаем (1460 км). Общая протяженность границ Казахстана составляет почти 12,2 тыс. км, в том числе 600 км по Каспийскому морю (на западе). Казахстан находится в центре Евразийского материка, на почти равном расстоянии от Атлантического и Тихого океанов, а также значительно удален от Индийского океана. Такое глубокое материковое расположение в значительной мере определяет его природные условия. 2. Рельеф. Более четверти территории Казахстана занимают степи, половину - пустыни и полупустыни, остальную четверть - горы, моря, озера и реки. В Казахстане почти на 22 млн. гектаров расположились леса и насаждения, имеются 11 тыс. рек и речушек, более 7 тыс. озер и водохранилищ; растительный фонд превышает 6 тыс. видов, разнообразен животный мир. Рельеф местности поднимается от обширных низменностей, расположенных ниже уровня океана, до высочайших горных хребтов, достигающих 5000 м. Территория его с севера на юг делится на следующие природно-климатические зоны: лесостепь, степь, полупустыня, пустыня, затем предгорная и горная зона. На юге и юго-востоке Казахстана пески подходят к горам Тянь-шаньской горной системы, растянувшейся на 2400 км, из которых значительная часть находится на нашей территории. Это - хребты Барлыкский, Джунгарский Ала-Тау, Заилийский Ала-Тау, Таласский Ала-Тау и Кетменский (самая высокая точка этих хребтов - пик Хан-Тенгри, достигающий 6992 м над уровнем моря). К востоку Казахстана примыкает южный Алтай. Вся горная система Казахстана богата минеральными источниками, что позволит в будущем широко развивать курортно-санаторное дело. Многочисленные ледники гор дают начало большинству рек Казахстана. В Казахстане имеются обширные водоемы и множество рек. 3. Климат. На территории Казахстана, расположенного между двумя весьма различными по своей природе регионами Евразии - Средней Азией и Сибирью, скрещиваются влияния воздушных масс холодного севера и знойного юга. Вот почему основными свойствами климата Казахстана являются его резкая континентальность и неравномерное распределение природных осадков. По его огромной территории весна в отдельные годы движется с юга на север 1,5 - 2 месяца (когда на юге идет весенний сев, на севере земля бывает все еще скованной льдом и зачастую бушуют снежные метели). 4. Почвы. Земли Казахстана представлены также разнообразными почвами: большую часть лесостепной зоны занимают черноземы, южнее их расположены темно-каштановые, светло-каштановые и бурые почвы. Почвы пустынь и полупустынь представлены в виде сероземов. Далее следуют горные почвы. Пересекая территорию Казахстана с севера на юг, вы попадаете не только в различные климатические зоны, но и в такие же разнообразные территории, имеющие каждая свою флору и фауну (здесь можно встретить представительницу севера - русскую березу, растение пустыни - саксаул и дерево южных стран - грецкий орех). Пустыни Казахстана - это край безводья. Климат здесь характеризуется чрезвычайно редкими дождями и высокой температурой воздуха летом, жестокими морозами зимой, частыми ветрами, вызывающими песчаные бури, крайне сухим воздухом, резкими колебаниями температуры летом даже в течение суток. II Характеристика экономики. 1.население. По переписи, проведенной в Казахстане в 1999, население уменьшилось до 14,95 млн. человек, из которых казахи составляли почти 8 млн. человек, русские — около 4 млн. человек. Доля неказахского населения страны неуклонно сокращается с момента провозглашения независимости. Тому есть несколько причин: Высокая рождаемость среди сельских казахов (естественный прирост составляет более 300 тыс. в год) По специальной программе репатриаций в страну ежегодно прибывает более 100 тыс. казахов, всего в сопредельных странах проживает 5,5 млн. казахов (каждый третий казах остался за пределами казахстанской границы). С 2010 года правительство намерено ввозить и размещать в стране ежегодно 200 тыс. казахов. В целом за 30 лет по программе репатриации в страну должны прибыть 5 млн. казахов.Низкая рождаемость других этносов и их эмиграция из страны на историческую родину. В следующей таблице указана численность всех национальностей, насчитывавших не менее 200 тыс. человек, по состоянию на 1989 г., 1999 г., и 2009 г. (в тыс. человек): Таблица 1.[1]
Численность населения Республики Казахстан по состоянию на 1 мая 2009 года официально составила 15 млн. 847 тыс. 952 человек (Агентство по статистике РК, 2009). Темпы прироста населения составляют:0.9-1% в год В период с 25 февраля по 6 марта 2009 года в Казахстане прошла Вторая Национальная перепись населения. Справка по расхождению численности населения по переписи и расчетной За 10 дней переписи заполнено 16 млн. 304 тыс. 840 бланков. На 01.02.2009 г. расчетная численность населения республики составила 15 млн. 797 тыс. человек. Расчетная численность населения республики рассчитывается на базе прошлой переписи населения 1999 года, когда численность населения составила 14 млн. 925 тыс. человек. Агентство по статистике ежемесячно актуализирует данные переписи на основе корректировки естественного и механического движения населения, т. е добавлением ежемесячного количества родившихся и прибывших мигрантов, а также вычитанием количества умерших и выехавших мигрантов. Увеличение численности населения по обходу счетчиками происходит за счет нерегулируемой внешней миграции, в результате безвизового режима с некоторыми странами, а также по причине дублирования населения при переписи по месту постоянного и временного проживания (последнее будет исключено при сканировании) 2. Природные ресурсы. Одно из главных богатств Казахстана - это его полезные ископаемые. По оценке ученых ведущих стран мира Казахстан занимает шестое место в мире по запасам природных ресурсов, хотя еще не может использовать это преимущество с наибольшим для себя эффектом. По подсчетам некоторых ученых разведанные недра Казахстана оцениваются примерно в 10 триллионов долларов США.Казахстан располагает богатыми природными ресурсами, о чем свидетельствует то, что из 110 элементов таблицы Менделеева в его недрах выявлены 99, разведаны 70, но пока извлекаются и используются 60 элементов. По оценке доктора Даниеля Фаина, специалиста по природным ресурсам и энергетике из Массачусетского технологического института (США), в год распада СССР (1991 год) 90% хромовой руды, 26% меди, 33% свинца и цинка, 38% вольфрама, которыми располагал в том году бывший СССР, оказались в Казахстане. Сюда следует добавить, что в бывшем СССР на долю нашей республики приходилось запасов баритов - 82%, фосфоритов - 65%, молибдена - 29%, бокситов - 22%, асбеста - 20%, марганца - 13%, угля - 12% и т.д. Казахстан - одна из богатейших стран мира по запасам нефти, газа, титана, магния, олова, урана, золота и других цветных металлов. В мировом масштабе Казахстан уже сейчас является крупнейшим производителем вольфрама, а по его запасам занимает первое место в мире, второе - по запасам хромовых и фосфорных руд, четвертое - свинца и молибдена, восьмое - по общим запасам железной руды (16,6 млрд. т.) после Бразилии, Австралии, Канады, США, Индии, России и Украины. Сегодня ни для кого не секрет, что к Казахстану повышенный интерес проявляют США и страны Западной Европы, а также Турция, Иран, Пакистан, Япония и Китай. Это прежде всего объясняется высоким потенциалом республики в стратегических сырьевых ресурсах, в первую очередь нефти и газа. В Казахстане сегодня известно 14 перспективных бассейнов, расположенных практически по всей его территории, где пока разведаны только 160 месторождений нефти и газа, а извлекаемые запасы нефти составляют 2,7 млрд. т.. Однако далеко не все эти месторождения, не говоря о целых бассейнах, эксплуатируются, а в случае их умелого использования и эксплуатации Казахстан по своему нефтяному потенциалу не уступал бы Саудовской Аравии, Кувейту, Объединенным Арабским Эмиратам. Съемки последних лет из космоса, а также наземные исследования позволяют предположить, что главные действующие в Западном Казахстане нефтяные месторождения у берегов Каспийского моря - Тенгиз, Прорва, Каламкас, Каражанбас - всего лишь "окраина" мощной нефтяной залежи, ядро которой находится в северной части Каспийского моря, где общие запасы оцениваются очень внушительными размерами - 3-3,5 млрд. т. нефти и 2-2,5 трлн. куб. м. газа. Таким образом, с учетом разведанных и предполагаемых запасов на суше, экспертные запасы нефти в стране составляют более 6,1 млрд. т., запасы газа - 6 трлн. куб. м., из которых самая большая ежегодная добыча составила лишь 26,6 млн. т. нефти и 8,2 млрд. куб. м. газа (в 1991 г.). А собственные потребности республики пока находятся лишь на уровне 18 - 20 млн. т. нефти и 500 тыс. т. в год смазочных масел, 16 -18 млрд. куб. м. газа. В Казахстане сейчас имеются только три нефтеперерабатывающих завода и то небольших мощностей: в Атырау (построен в 1945 году) на 5,2 млн. т. в год и построенные в 70-х годах в Павлодаре (8 млн. т.) и Шымкенте (6,2 млн. т.). При этом Павлодарский завод полностью, Шымкентский - более половины выработки своих нефтепродуктов берет от сибирской (Россия) сырой нефти, которая транспортируется сюда по единому нефтепроводу. Значительная часть сырой нефти, производимой в Казахстане, пока уходит в Россию. К тому же на указанных заводах, хотя они и производят высокооктановые бензины, электродный кокс, нефтебитум, серу, выход светлых нефтепродуктов составляет 36-37%, а глубина переработки нефти – лишь 48-50%. "Шеврон" первой из Западных компаний еще в 1992 году появилась в Северном Прикаспии, где создала совместное с Казахстаном предприятие "Тенгизшевронойл", которое намерено вложить под свои гигантские инвестиционные проекты 20 млрд. дол. США, чтобы к 2010 году добывать только на одном Тенгизском месторождении 36 млн. тонн сырой нефти в год. Подобные широкомасштабные проекты, намечаемые совместно с такими всемирно известными крупными инвесторами, как "Бритиш газ", "Аджип", "Элаф" и др., по строительству и расширению производственной инфраструктуры, в частности, новых трубопроводов, железнодорожных магистралей, расширение пропускной способности каспийских портов, позволят Казахстану в недалеком будущем добывать ежегодно не менее 70 млн. т. нефти (с учетом ее извлечения как на суше, так и с шельфа Каспийского моря). В Казахстане находится значительная часть мировых запасов медных и полиметаллических руд, никеля, вольфрама, молибдена и многих других редких и редкоземельных металлов. Исключительно важное и мировое значение имеют залежи железных, марганцевых и хромитовых руд, по запасам которых Казахстан находится на одном из ведущих мест в мире. В сегодняшнем Казахстане прогнозируются около 300 значительных месторождений золота, из которых 173 детально разведаны. Среди них есть такие, которые дадут и алмазы ювелирного качества. При серьезных инвестициях Казахстан буквально через несколько лет в состоянии добывать 100 т. золота в год, а сегодня добывает лишь 1% своих подземных запасов и это дает ему право быть на 6-м месте в мире. На его территории разведаны более 100 угольных месторождений, крупнейшими из которых является Экибастузское месторождение, отличающееся большой мощностью буроугольных пластов, и Карагандинский угольный бассейн с запасами свыше 50 млрд. т. коксующихся углей. В самые лучшие годы работы указанные бассейны добывали лишь 131 млн. т. каменного угля. Богат Казахстан и запасами химического сырья: есть богатейшие залежи калийных и других солей, боратов, соединений брома, сульфатов, фосфоритов, самого разнообразного сырья для лакокрасочной промышленности. Колоссальные запасы серного колчедана в составе полиметаллических руд позволяют широко организовать производство серной кислоты и других химических продуктов, крайне важных для экономики. Неограниченные возможности имеются по производству почти всех видов продуктов нефтехимического синтеза (особенно этилена, полипропилена, каучука), синтетических моющих средств и мыла, кормового микробиологического белка, химических волокон и нитей, синтетических смол и пластических масс, цемента. Казахстан располагает богатейшими сырьевыми ресурсами для стекольной и фарфорофаянсовой промышленности. Наиболее редкие драгоценные камни, самые разнообразные строительные и облицовочные материалы содержат в себе его недра и горы. Другими несметными богатствами Земли Казахской можно назвать минеральные, лечебные, промышленные и термальные воды, которые пока не находят широкого применения.
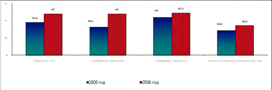
3. Промышленность. Цветная металлургия Удельный вес цветной металлургии в общем объеме промышленного производства превышает 12%. Из извлекаемых руд производятся медь, свинец, цинк, титан, магний, редкие и редкоземельные металлы, прокат на основе меди, свинца и т.д. По уровню производства Казахстан входит в число крупных в мире производителей и экспортеров рафинированной меди. Доля республики в мировом производстве меди составляет 2,3%. При этом, практически вся производимая в стране медь экспортируется за рубеж. Основными импортерами казахстанской меди являются Италия, Германия и другие страны. Казахстан является третьим среди новых независимых государств, производителем золота, добыча и производство которого увеличивается с каждым годом. В стране зарегистрировано свыше 170 золотоносных месторождений. Черная металлургия По запасам железной руды Казахстан занимает восьмое место в мире. Его доля в мировых запасах составляет 6%. Кроме значительных запасов, другим преимуществом казахстанской железной руды является ее довольно высокое качество. Из 8,7 млрд. тонн железной руды 73,3% запасов являются легко добываемыми. Более 70% добываемой в стране железной руды уходит на экспорт. Доля руд черных металлов, включая хромовые и марганцевые руды, в общем экспорте страны в 1999 году составила около 4%. Черная металлургия Казахстана производит более 12,5 % республиканского объема промышленной продукции. Флагманом индустрии республики является Карагандинский металлургический комбинат "Испат-Кармет". Предприятие имеет полный металлургический цикл и специализируется на выпуске различных видов проката черных металлов - листового, сортового, белой жести, труб и т.д. Металл этого комбината экспортируется в станы СНГ и дальнего зарубежья. В Казахстане имеются большие запасы хромитовых руд, на базе которых работают ферросплавные заводы республики. Химическая, нефтеперерабатывающая и нефтехимическая промышленность В ассортименте предприятий химической и нефтехимической промышленности республики - пластмассы, химические волокна и нити, шины для автомобилей и сельхозмашин, широкий ассортимент резинотехнических изделий, хромовые соединения, карбид кальция, каустическая сода и др. продукция. В республике действуют три нефтеперерабатывающих завода, производящие автобензин, дизельное, котельное топливо, авиационный керосин, нефтебитумы и другие нефтепродукты. Действует крупный комплекс по переработке фосфоритной руды с получением желтого фосфора (более 90 % от общего производства бывшего СССР), минеральных удобрений, синтетических моющих средств Перспектива развития этой отрасли связана с комплексной переработкой нефти Западного Казахстана и организацией новых видов продукции на основе фосфоритных месторождений. Машиностроительный комплекс Продукция машиностроительного комплекса в общем объеме промышленного производства республики составляет около 8%. Машиностроительные предприятия Республики выпускают: кузнечно-прессовое оборудование (г.Шымкент), металлорежущие станки (г.Алматы), аккумуляторы (г.Талды-Корган), центробежные насосы (г.Астана), рентгеновское оборудование (г.Актобе) и т.д. В настоящее время в развитие машиностроения привлекаются иностранные инвестиции для организации в республике новых производств, в том числе медицинского оборудования, сельскохозяйственной техники, дизельных двигателей, оборудования для пищевой промышленности, электродвигателей и других изделий производственно-технического назначения. Промышленность строительных материалов Продукция промышленности строительных материалов в общем объеме промышленного производства Республики занимает более 4 %. На предприятиях отрасли производится цемент, шифер, асбестоцементные трубы, мягкие кровельные материалы, линолеум, санитарно-строительный фаянс, облицовочные керамические плитки для полов и отделки зданий, панели и другие конструкции для крупнопанельного домостроения, каолин для бумажной промышленности, радиаторы, конвекторы и ряд других видов строительных материалов и конструкций. Республика располагает достаточными запасами разнообразного сырья для выпуска строительных материалов. Кроме того, в их производстве широкое применение находят отходы промышленности: шлаки металлургических и химических производств, зола теплоэлектростанций и другие вторичные ресурсы. Ниже представлены показатели промышленности за 2005-207 гг.
4. Сельское хозяйство. На сегодняшний день, анализ статистики объемов производства основных видов пищевой продукции и их импорта (по данным таможенной статистики) позволяет заключить, что не соблюдается какой либо баланс между производством и потреблением важнейших видов продовольственных товаров, не говоря уже о других товарах массового потребления. Результат несоблюдения баланса производства и потребления на рынке товаров и услуг выражается неконтролируемым ростом цен на большинство товаров потребления и услуг, то есть в дисбалансе экономики производства, торговли и услуг. Например, по данным статистической отчетности импорт мяса в физическом объеме составил в 2007 году 170,7 тыс. тонн, а произведено в республике - 43,6 тыс. тонн ,что почти в четыре раза меньше объемов импорта. Сахара произведено в республике 390,1 тыс. тонн, ввоз составил 468,8 тыс. тонн. Масла растительного и жиров произведено 132,3 тыс. тонн, ввоз - 81,7 тонн. Ввоз молока и сливок жидких в таможенной статистике не отражен (см. таблица №1). Таблица №1. Объемы производства и импорта отдельных видов продовольственных товаров в 2007 году
Импорт мяса со стран СНГ возрос относительно 2006 года в 30 раз, в ос-новном из России- 367,5% роста против 2006 года. По отдельным странам мира рост импорта мяса в 2007 году относительно 2006 года составляет: из Новой Зеландии - 688,5%, Китая -485,4% По маслам и жирам растительным в 2007 году не наблюдался резкий рост импорта - 81,7 тыс.тонн, или 96,0%, а в стоимостном выражении относительно 2006 года индекс роста составил 142,7%. По данным таможенной статистики рост импорта масел и жиров растительных из Беларуси составил 549, 9% против 2006 года, Италии - на 368,2 % и т.д. Если сравнивать процент роста импорта по объему и стоимости, то по от-дельным товарам в стоимостном выражении рост превышает объемы ввоза в несколько раз. Например, в целом, ввоз масла и жиров растительных в республику,в прошлом году , из Бельгии по объему возрос в 28 раз, а по стоимости в 122 раза. Из стран СНГ ввоз этой продукции относительно 2006 года возрос на 5,7%, а по стоимости рост на 64, 5%. В физическом объеме произведено данной продукции в 2007 году 43,7 тыс. тонн, что в два раза меньше объемов импорта данной продукции. Аналогичное соотношение производства и импорта по алкогольным напиткам, импорт которого составляет 147% против 2006 года, или на 147,7 млн. долларов, тогда как объемы производства спиртоводочных изделий составили в 2007 году 91,4% , кроме пива. Долгосрочные цели государства, направленные на реализацию стратегии вступления Казахстана в 50 конкурентоспособных стран мира и ВТО предполагают рост объемов производства товаров с высокой добавленной стоимостью, развитие обрабатывающего сектора экономики, последовательное развитие секторов малого и среднего бизнеса, способных производить товары на основе инновационных технологий. Главным производителем ВВП должен тать частный сектор, ориентированный на производство конкурентоспособных товаров и услуг. Но цели технологических и инновационных преобразований явно недостижимы, при финансировании науки ниже 1% процента от ВВП. При таких условиях экономика Казахстана всегда навсегда останется импортозависимой, сырьевым придатком развитых стран. 5. Обзор макроэкономических показателей роста экономики республики Казахстан. В 2006 году, как и в предыдущие годы, сохранялись достаточно высокие и устойчивые темпы роста экономики. Причем в 2006 году экономика развивалась более ускоренными темпами, чем в 2005 году. Нет сомнений, в последние годы в Казахстане сложились исключительно хорошие экономические условия. Республику признают одним из лидеров по макроэкономическим параметрам роста не только среди государств СНГ, но и среди стран, в которых осуществляется системная трансформация экономических систем. Действительно, ВВП в 2006 году по сравнению с 2005 годом увеличился на 9,4%, а кумулятивный экономический рост, произошедший после финансового кризиса 1998 года, составил 63,9% (дигр. 1, табл. 1).
Диаграмма 1. Динамика ВВП в Казахстане, 1990-2006 гг. По оценке Министерства экономики и бюджетного планирования Республики Казахстан, в 2006 году производство валового внутреннего продукта (ВВП) по сравнению с 2005 годом увеличилось на 10,6%.Таблица 1. Макроэкономические параметры развития Казахстана, 2002-2006 гг.
В 2006 году наблюдалась положительная динамика во всех сферах экономики. Рост объемов промышленного производства в 2006 году по сравнению с 2005 годом составил 7%. Наиболее ускоренные темпы развития в реальном секторе демонстрировала обрабатывающая промышленность, где рост производства составил 7,3%. Объем производства в горнодобывающей промышленности вырос на 7%. Прирост объема валовой продукции сельского хозяйства в 2006 году к 2005 году составил 7%. Существенный вклад в рост экономики внесли строительство и услуги. За 2006 год объем строительных работ увеличился по сравнению с 2005 годом в 1,2 раза. Услуги транспорта в 2006 году возросли по сравнению с 2005 годом на 5%, услуги связи - на 20,4%. Наблюдалась высокая динамика инвестиций в основной капитал. В 2006 году относительно 2005 года объем инвестиций в основной капитал увеличился на 10,6%. Существенно выросли показатели внешней торговли. За январь-декабрь 2006 года экспорт товаров достиг 38,3 млрд.долл. США и увеличился по сравнению с январем-декабрем 2005 года на 37,3%, импорт составил 23,7 млрд.долл.США и возрос на 36,4%. Положительное сальдо торгового баланса составило 14,6 млрд.долл.США.
Диаграмма 2. Индексы физического объема по отраслям экономики в 2005-2006 гг. (в % к соответствующему периоду прошлого года) Источник: Агентство Республики Казахстан по статистике. Уровень инфляции в среднем за 2006 год сложился на уровне 8,6%, что на 1,0% превысило среднегодовой показатель 2005 года (7,6%) и незначительно (на 0,1%) - верхнюю границу запланированного на 2006 год коридора 6,9–8,5% в соответствии с прогнозом Среднесрочного плана социально-экономического развития страны на 2007-2009 годы. Росту инфляции в 2006 году способствовали избыточная ликвидность банковской системы, сопровождающаяся ускоренными темпами роста кредитования экономики, рост потребительского спроса со стороны населения, импорт инфляции, рост тарифов на услуги жилищно-коммунальной сферы, низкая развитость конкуренции на рынках, несбалансированность отдельных товарных рынков. В целом для сдерживания роста инфляции Правительством совместно с Национальным Банком проводилась комплексная антиинфляционная политика в соответствии с Планом мероприятий по регулированию инфляционных процессов в Республике Казахстан на 2005-2006 годы. Цены предприятий-производителей промышленной продукции в 2006 году повысились по сравнению с 2005 годом на 18,4%. Одним из наиболее динамично развивающихся секторов экономики являлся финансовый сектор, обеспечивающий эффективное перераспределение потоков капитала в соответствии с предложением и спросом отраслей и субъектов экономики. Кредитный рынок в 2006 году оставался одним из самых динамично развивающихся сегментов финансового рынка и характеризовался ускоренным ростом банковского кредитования экономики. Общий объем основного долга по кредитам банков экономике за 12 месяцев 2006 года увеличился на 82,7% и составил 4735,7 млрд. тенге. Кредиты в национальной валюте за 12 месяцев 2006 года выросли на 95,9% и составили 2460 млрд. тенге, а кредиты в иностранной валюте - на 70,3%, составив 2275,6 млрд. тенге. В результате удельный вес тенговых кредитов по сравнению с декабрем 2005 года повысился с 48,5% до 51,9%. Наблюдается тенденция роста долгосрочных кредитов. Так, долгосрочные кредиты за январь-декабрь выросли более чем 2 раза до 3448,9 млрд. тенге, удельный вес долгосрочных кредитов повысился с 66,5% до 72,8%. Кредиты банков субъектам малого предпринимательства за январь-декабрь 2006 года увеличились на 83,3%,составив 861,7 млрд. тенге. Развитие депозитного рынка также характеризовалось ростом объема депозитов. Депозиты в депозитных организациях на 1 января 2007 года составили 3115,2 млрд. тенге, превысив уровень 1 января 2006 года на 88,4%. Вклады населения (с учетом нерезидентов) в банках за 12 месяцев 2006 года увеличились на 76,8% до 1055,2 млрд. тенге. Средневзвешенный биржевой обменный курс тенге к доллару США в среднем за 2006 год составил 126,0 тенге, укрепившись за год в номинальном выражении на 5,06%. Активы Национального фонда на конец 2006 года составили более 14,1 млрд. долл. США, увеличившись с начала 2006 года на 74,5%. Ситуация на рынке труда республики характеризуется стабильным снижением уровня безработицы за счет роста числа трудоустроенных граждан на вновь создаваемых рабочих местах, увеличения экономической активности населения, обусловленных экономическим ростом. В 2006 году в экономике республики было занято 7,4 млн. человек (предварительные данные), что на 2% больше, чем в 2005 году. Численность безработных в 2006 году по сравнению с 2005 годом снизилась на 2,4%. Уровень безработицы в 2006 году сложился на уровне 7,8% (в 2005 году – 8,1%). Реальные денежные доходы населения в январе-ноябре 2006 года к аналогичному периоду 2005 года выросли на 10,8%, реальная заработная плата – на 10,6%. В целом, совместными действиями Правительства и Национального Банка удается обеспечить стабильную макроэкономическую ситуацию в стране, с учетом накопленных в Национальном фонде средств наблюдается профицит бюджета, платежный баланс сбалансирован, уровень безработицы имеет тенденцию постепенного снижения, инфляция находится на контролируемом уровне. Кроме того, об этом свидетельствует улучшение субиндекса Казахстана в 2006 году по сравнению с 2005 годом по макроэкономическим параметрам в системе показателей по глобальному индексу конкурентоспособности, а именно перемещение с 26 на 10 место. В июне 2006 года международным рейтинговым агентством Moody’s Investors Service инвестиционный кредитный рейтинг Республики Казахстан был повышен с уровня «Ваа3» по долгосрочным государственным облигациям в иностранной валюте до «Ваа2», с уровня «Ваа1» до «А2» по долгосрочным облигациям и нотам в иностранной валюте. По краткосрочным облигациям и нотам в иностранной валюте уровень кредитного рейтинга поднят с «P-2» до «P-1», в связи с чем, Казахстан достиг максимально возможного уровня по данному рейтингу. Был подтвержден уровень «Ваа1» по долгосрочным государственным облигациям в национальной валюте, а также уровень «Ва1/NP» по долгосрочным и краткосрочным банковским депозитам в иностранной валюте соответственно. По всем рейтингам прогноз «стабильный». В ноябре 2006 года международное рейтинговое агентство Standard&Poor’s повысило долгосрочный суверенный рейтинг Республики Казахстан по обязательствам в иностранной валюте с «ВВВ-» до «ВВВ», долгосрочный суверенный рейтинг по обязательствам в национальной валюте с «ВВВ» до «ВВВ+» и краткосрочный суверенный рейтинг Республики Казахстан по обязательствам в национальной валюте с «А-3» до «А-2». Краткосрочный суверенный кредитный рейтинг по обязательствам в иностранной валюте «А-3» и суверенный рейтинг «kzAAA» по национальной шкале были подтверждены. Прогноз всех рейтингов - «Стабильный».
Диаграмма 3. Индексы физического объема промышленной продукции в 2005 - 2006 гг. (в % к соответствующему периоду прошлого года) В декабре 2006 г. Fitch Rating’s Ltd информировало о повышении прогноза суверенного кредитного рейтинга Республики Казахстан в иностранной и местной валютах со «стабильного» до «позитивного» и подтвердило инвестиционный кредитный рейтинг страны на уровне «ВВВ» по долгосрочным облигациям в иностранной валюте, «ВВВ+» по долгосрочным облигациям в национальной валюте, «F3» по краткосрочным облигациям в иностранной валюте. Объем промышленного производства в январе-декабре 2006 г. возрос на 7% по сравнению с соответствующим периодом 2005 г. В горнодобывающей промышленности в январе-декабре 2006г. произведено продукции на 3726,9 млрд. тенге, что на 7% выше уровня января-декабря 2005г. за счет увеличения добычи руд железной агломерированной (на 24,5%), свинцово-цинковой (на 18,2%) и марганцевой (на 13%); окатышей железорудных (на 13,1%); угля каменного (на 11,5%); нефти сырой (на 6,8%); лигнита (на 6,1%); газа природного (естественного) (на 2,8%); конденсата газового (на 0,4%). Вместе с тем, сокращена добыча руд медно-цинковой (на 17,5%), золотосодержащей (на 14,9%), железной неагломерированной (на 8%), хромовой (на 6%) и медной (на 0,8%). Нефтегазовая промышленность. В целом по республике в 2006 г. добыто 64,8 млн. тонн нефти и газового конденсата (105,5% - к 2005 году). Экспортировано 57,1 млн. тонн нефти, в т.ч. по нефтепроводу КТК– 24,4 млн.тонн, по нефтепроводу Атырау-Самара – 15,6 млн. тонн в дальнее зарубежье; по нефтепроводу Атасу-Алашанькоу - 2,2 млн. тонн; порт Актау – 9,9 млн. тонн; Оренбург – 2,4 млн. тонн, поставка на ПНХЗ – 3.9 млн.тонн. Нефтеперерабатывающими заводами республики в 2006 году переработано 11,7 млн. тонн нефти (104,6% к 2005 году). В сентябре 2006 г. завершена реконструкция Атырауского нефтеперерабатывающего завода, которая позволила производить автобензин и дизельное топливо, соответствующие современным европейским стандартам ЕВРО-3 по бензину, ЕВРО-4 по дизельному топливу. Газовая промышленность. Деятельность в этой сфере осуществляется в соответствии с Программой развития газовой отрасли Республики Казахстан на 2004-2010 гг. В республике действует три газоперерабатывающих завода с общей проектной мощностью переработки порядка 8 млрд. куб. м. газа в год, газотранспортная система протяженностью более 10 тыс. км с годовой пропускной способностью порядка 150 млрд. куб. м., три подземных хранилища газа (ПХГ) с общей мощностью порядка 4 млрд. куб. м. газа. В обрабатывающей промышленности в январе-декабре 2006 года к соответствующему уровню 2005 года объем промышленного производства возрос на 7,3%.
III Роль в мире. 1. Перспективы экономического развития Казахстана. В части обеспечения устойчивого экономического роста Казахстана предстоит решить ряд задач путем реформирования системы государственного планирования, бюджетно-налоговой и денежно-кредитной политики, развития финансового сектора, регулирования деятельности естественных монополий, развития конкуренции и предпринимательства, а также внедрения принципов корпоративного управления. Повышение эффективности экономической политики будет осуществляться через внедрение системы управления, ориентированной на результаты. Правительство разработает и внедрит целевые индикаторы результативности и эффективности государственных, отраслевых (секторальных), региональных и бюджетных программ, а также каждого государственного органа. На это будет направлена система планирования, координации и контроля. Будут приняты нормативные правовые акты, которые позволят эффективно функционировать системе государственного планирования в условиях рыночных отношений, повысить качество государственных услуг, ориентировать деятельность государственных органов на достижение стратегических целей. Правительство обеспечит условия создания благоприятного налогового и инвестиционного климата, развития бизнеса, активизирует работу по снижению административных барьеров, повышению производительности экономики. Будут совершенствоваться методы государственного регулирования экономики с акцентом на уменьшение бюрократического вмешательства в вопросы развития бизнеса. Отношения с предпринимательством будут выстроены на принципах партнерства, честности и прозрачности. Наряду с этим, планируется принять меры по укреплению института частной собственности как основы гарантий прав и свобод граждан. Государственное планирование будет направлено на сопровождение и управление процессами по обеспечению роста конкурентоспособности страны. В связи с этим будут разработаны Стратегия устойчивого роста конкурентоспособности Республики Казахстан, а также ряд нормативных правовых актов по государственному планированию, регламентирующих вопросы стратегического, среднесрочного и бюджетного планирования, мониторинга, контроля и ответственности всех субъектов планирования, направления деятельности органов государственного управления на конечные результаты. Будут изменены требования к содержанию, процедурам разработки и утверждения, реализации государственных, отраслевых (секторальных), региональных и бюджетных программ. Будут приняты нормативные правовые акты по: 1)внедрению стратегического планирования в государственных органах; 2)оценке деятельности государственных органов на предмет достижения конечных результатов; 3) совершенствованию системы государственной статистики, позволяющей осуществлять мониторинг эффективности выполнения государственных, отраслевых (секторальных), региональных, бюджетных программ и прогресс в достижении стратегических целей государства, исключению дублирования государственной статистической отчетности[2] . Будет усовершенствована методология разработки экономических прогнозов. Предстоит разработать специальный механизм оценки влияния предлагаемых государственными органами решений на уровень конкурентоспособности экономики. Правительством будет продолжена работа по совершенствованию бюджетного планирования. Главной целью этой работы станет внедрение системы бюджетного планирования, ориентированной на результаты. Такая система позволит оценивать качество предоставления государственных услуг, степень достижения стратегических целей и задач, а также будет использована как инструмент повышения производительности работы государственных органов. Это предполагает поэтапный переход к бюджету, ориентированному на результаты, а также внедрение контрактных обязательств по модели «заказчик-исполнитель», в первую очередь, с администраторами бюджетных программ. Будут приняты меры по предоставлению большей самостоятельности администраторам бюджетных программ в использовании бюджетных средств. Будет внедрена система отчетности, открытая для общества, а также налажена система внутреннего и внешнего контроля. Направления расходования бюджетных средств будут взаимоувязаны со стратегическими (программными) документами страны и иметь четкие приоритеты по диверсификации и повышению конкурентоспособности экономики. Неэффективные расходы будут сокращены. Будет внедрена методика оценки и мониторинга инвестиционных проектов, финансируемых за счет бюджетных средств, усилены требования к их подготовке. Для проведения взвешенной фискальной и денежно-кредитной политики темпы роста расходов государственного бюджета будут взаимоувязаны с темпами роста экономики. В целях снижения зависимости экономики от сырьевого сектора и сокращения ненефтяного дефицита бюджета предстоит усовершенствовать механизм формирования и использования средств Национального фонда. При определении объемов бюджетных средств на планируемый период будут учитываться степень достижения установленных индикаторов и эффективность исполнения бюджетных программ. Внимание будет уделено также совершенствованию межбюджетных отношений. Основными положениями проекта новой системы межбюджетных отношений в среднесрочном периоде станет определение показателей, позволяющих рассчитать объективные потребности регионов в финансировании с учетом предоставления равнозначного объема и качества услуг по всей стране. Фискальной политикой предусмотрено эффективное применение налогово-бюджетных инструментов в условиях повышения конкурентоспособности экономики страны, прежде всего, для решения приоритетных задач социально-экономического развития. Правительство продолжит работу по совершенствованию налогового администрирования. Налоговая политика будет направлена на стимулирование индустриально-инновационного развития страны, повышение конкурентоспособности, сокращение доли теневой экономики и создание рационального баланса налоговой нагрузки в экономике. Предстоит провести глубокий анализ по налоговым льготам, оценить степень их влияния на эффективность экономики. Поэтапно будет решаться задача перераспределения налогового бремени с доходов юридических лиц на доходы физических лиц, а также изучен вопрос внедрения всеобщего декларирования доходов и расходов населения. Проводимая в целом взвешенная фискальная политика направлена на обеспечение стабильности бюджета, эффективное выполнение финансовых обязательств государства и ориентацию расходов на приоритетные направления государственной политики. В сфере государственных закупок будет сформирована система, учитывающая интересы государства и бизнеса и способствующая эффективности и гибкости расходования государственных средств. В области денежно-кредитной политики и развития финансового сектора основные усилия Правительства, Национального Банка и Агентства по регулированию и надзору финансового рынка и финансовых организаций будут направлены на повышение эффективности регулирования инфляционных процессов и обеспечение стабильности развития финансового сектора. Денежно-кредитная политика сориентирована на решение таких задач, как повышение эффективности мер денежно-кредитной политики для поддержания прогнозируемого уровня инфляции, обеспечение валютного регулирования и контроля, функционирование платежных систем на высоком технологическом уровне, содействие обеспечению стабильности финансовой системы в целом. Продолжится работа по дальнейшему усилению влияния принимаемых мер на состояние денежного рынка, согласованию ставок по различным видам инструментов денежно-кредитной политики. При этом основными инструментами регулирования ставок вознаграждения на финансовом рынке, а также стерилизации избыточной ликвидности банков останутся краткосрочные ноты и депозиты банков второго уровня в Национальном Банке. В условиях полной конвертируемости тенге по текущим и капитальным операциям будет значительно расширен мониторинг ситуации на валютном и финансовом рынках, а также продолжены работы по совершенствованию информационной базы по внешнеэкономическим операциям. С целью поддержания эффективного функционирования платежных систем особое внимание будет уделено развитию Национальной системы платежных карточек и созданию нового Резервного центра для платежных систем. Стратегия индустриально-инновационного развития Республики Казахстан на 2003-2015 годы
В Послании народу Казахстана в 2006 году Президент определил семь основных приоритетов продвижения Казахстана в число наиболее конкурентоспособных и динамично развивающихся государств мира. Важнейшими приоритетами в области развития экономики определены успешная интеграция Казахстана в мировую экономику как основа качественного прорыва в экономическом развитии страны; дальнейшая модернизация и диверсификация отечественной экономики как фундамент устойчивого экономического роста. В связи с этим возрастают роль и значение реализации Стратегии индустриально-инновационного развития Республики Казахстан на 2003-2015 годы, утвержденной Указом Президента Республики Казахстан от 17 мая 2003 года № 1096. Первый этап (2003-2005 годы) Стратегии был направлен, в основном, на реализацию мероприятий подготовительного характера. В целях успешной реализации Стратегии предполагалось внесение изменений и дополнений в действующее законодательство Республики Казахстан, выработка новых законов, создание государственных институтов, обеспечивающих участие государства в инвестиционных и инновационных проектах, подготовка специалистов, выбор эффективных проектов, реализуемых с участием государства. В этот период планировалось существенно снизить налоговое бремя, сформировать и увеличить капитал фондов развития, значительно усовершенствовать государственную систему инвестирования проектов. Предполагалось начать реформы в области развития науки, образования и подготовки профессиональных кадров, сориентировав их на индустриально-инновационное развитие, совершенствовать стандартизацию и сертификацию, завершить процесс вступления Казахстана в ВТО. Развитие экономики на этом этапе реализации Стратегии планировалось осуществлять в соответствии с прогнозом индикативного плана, достижением стратегической цели удвоения ВВП. К числу основных мероприятий, предусмотренных Планом мероприятий на 2003–2005 годы по реализации Стратегии индустриально-инновационного развития Республики Казахстан на 2003 2015 годы, утвержденным Постановлением Правительства Республики Казахстан от 17 июля 2003 года за № 712 – 1, относятся: 1. Институциональное развитие научной и инновационной сферы; 3. 5. В области создания условий для инвестиций частных инвесторов
Доля несырьевых товаров в общем объеме экспорта снизилась с 6% в 2000 году до 5% в 2005 году. Товарная структура экспорта изменилась за счет увеличения доли минеральных продуктов и снижением доли химической продукции и продовольственных товаров. Товарная структура импорта изменилась за счет увеличения импорта неблагородных металлов, минеральных продуктов и продукции машиностроения. IV. Кластерная программа также требует уточнений и соответствующих изменений. В развитие кластерных идей перспективным представляется использование такого инструмента государственного стимулирования реального производства как создание индустриальных зон. После реализации проектов, планируется распространить опыт на все регионы, имеющие промышленный потенциал. Президент Казахстана Нурсултан Назарбаев поручил правительству к 2007 году в основном завершить процесс формирования перспективных кластеров. Однако создание кластеров находится на начальном этапе. Правительство инициировало создание социально-предпринимательских корпораций (СПК) для ускорения их формирования. СПК будет представлять собой региональный институт развития, управляющий переданными государственными активами и выполнять роль генератора проектов, привлекающий инвестиции на их реализацию и осуществляющий продвижение имиджа экономического развития региона на рынки. В них будут сконцентрированы финансовые, технические и управленческие ресурсы для реализации проектов в регионе. Однако, как видно из перечня, число экспортно-ориентированных проектов незначительно и большая часть из них ориентировано на потребности внутреннего рынка. При реализации Стратегии мало внимания уделено мероприятиям по продвижению казахстанских товаров на экспорт – их позиционированию, рекламе и упаковке, что снижает конкурентоспособность казахстанских товаров. Таким образом, в Казахстане отсутствует Национальная экспортная Программа, которая объединила бы все мероприятия, направленные на создание и продвижение на зарубежные рынки экспортно-ориентированной продукции. Состояние науки. Развитие науки находится в удручающем состоянии. Проблемными вопросам инновационного развития являются низкие расходы на науку, слабая коммерциализация научных разработок, отсутствие достаточного государственного стимулирования. Несмотря на то, что за 2003-2005 годы внутренние затраты на исследования и разработки выросли в 2,2 раза, их доля в ВВП осталась почти на прежнем уровне (увеличилась только в 2005 году до 0,029% с 0,25 % в 2004 году).
Только сейчас началась разработка Государственной программы развития науки на 2007-2012 годы. В настоящее время выявлено значительное количество инновационных разработок, которые могут быть коммерциализированы. Однако все эти разработки, в основном, являются результатом исследований, разработанных в советские годы. Время на создание новых заделов в фундаментальной науке было упущено. Выбор только пяти приоритетных направлений программ фундаментальных исследований может стать в дальнейшем препятствием для развития других направлений фундаментальной науки в Казахстане.
Заключение. На сегодняшний день, Республика Казахстан является развивающейся страной, имеющий колоссальные запасы природных ископаемых. Правительство Казахстана строит рыночную модель экономики. Переход к социально ориентированной рыночной экономике предполагает необходимость широкомасштабного государственного регулирования экономики, то есть наличие регулируемого рынка во всех сферах общественного производства. Такое регулирование осуществляется как экономическими, так и административными методами. Их следует не противопоставлять, а органично сочетать, исходя из того, в какой мере административное регулирование отвечает требованиям объективного развития, нынешнего состояния экономики и др. В итоге вырисовываются такие контуры модели рыночной экономики Казахстана. Казахстанский рынок должен опираться с одной стороны, на смешанную экономику с ее сильной государственной распределительной политикой, обеспечивающей достаточную поддержку социально уязвимых слоев населения, а с другой стороны - на принципы социального рыночного хозяйства, с их отчетливо выраженной антитоталитарной направленностью. Достичь таких целей возможно лишь в том случае, если удачно скомбинировать черты наиболее подходящих нам экономических моделей.
Список использованной литературы. 1.Аубакиров Я.Н. Экономические проблемы стратегии Казахстана.- Алматы, 1997. 2. Елемесов К.И. Экономическое моделирование и реальная политика // Казахстан: экономика и жизнь - № 3 - 4, 1995 3. Казахстан: в цифрах и фактах.- Алматы: Статистика, 1998 4. Материалы сайта «Межрегиональный центр делового сотрудничества»www.mcds.ru 5. Материалы сервера www.cvi.kz 6. Модели перехода от административной экономики к рыночной. Под ред. Байзакова С.Б. - Алматы: Рауан, 1997 7. Морозов Т.Р., Победина М.П., Поляк Г.Б. Региональная экономика:учебное пособие. - М.: Банки и биржа, ЮНИТИ, 1995 8. Назарбаев Н.А. Долгосрочная стратегия развития Республики Казахстан: "Казахстан - 2030" - Алматы: Рауан, 1998 9. Тонкопий М.С.Экономика природопользования» - Алма-ата, 2000 10. Послание Президента Республики Казахстан Н.Назарбаева народу Казахстана. Стратегия вхождения Казахстана в число 50-ти наиболее конкурентоспособных стран мира. Казахстан на пороге нового рывка вперед в своем развитии // Казахстанская правда, 1 марта 2006 года.11.Послание Президента Республики Казахстан Н.Назарбаева народу Казахстана: Стратегия "Казахстан-2030" на Новом этапе развития Казахстана. 30 важнейших направлений нашей внутренней и внешней политики (Астана, 28 февраля 2007 года) 12. Федеральное агенство статистики Республики Казахстан.
[1] Агентство по статистике РК, 2009 [2] Концепция перехода Республики Казахстан к устойчивому развитию на 2007-2024 годы. |
|||||||||||||||||||||||||||||||||||||||||||||||||||||||||||||||||||||||||||||||||||||||||||||||||||||||||||||||||||||||||||||
Флаг Республики Казахстан.
Герб Республики Казахстан.





