Реферат: Финансовый анализ предприятия ОАО УралАТИ

Название: Финансовый анализ предприятия ОАО УралАТИ
Раздел: Рефераты по финансам
Тип: реферат

Оглавление

Введение. 2

1. ТЕОРЕТИЧЕСКИЕ ОСНОВЫ АНАЛИЗА, ФИНАНСОВОГО АНАЛИЗА.. 4

1.1.Финансовый анализ как база принятия управленческих решений. 4

1.2. Понятие, значения и задачи анализа финансовой деятельности предприятия. 6

1.3. Основные источники информации о финансовой деятельности предприятия. 9

1.4. Методики анализа финансового состояния. 11

2. АНАЛИЗ ФИНАНСОВОЙ ДЕЯТЕЛЬНОСТИ ПРЕДПРИЯТИЯ.. 20

2.1. Общая оценка финансовой деятельности предприятия. 20

2.2. Оценка основных фондов предприятия. 25

2.3. Оценка оборотных средств предприятия. 28

2.4. Анализ себестоимости продукции. 30

2.5. Анализ ликвидности баланса. 33

2.6. Анализ финансовой устойчивости ОАО «УралАТИ». 39

2.6.1. Расчет показателей финансовой устойчивости. 39

2.7. Анализ деловой активности предприятия. 41

2.8. Анализ рентабельности ОАО «УралАТИ». 44

Заключение. 46

Литература. 48


Введение

Российская экономика характеризуется в последние годы некоторым оживлением. Прежде всего, это проявляется в росте объемов производства промышленных предприятий, росте объемов продаж предприятий торговли и обусловлено как благоприятной внешнеэкономической ситуацией, так и изменившейся политикой государства в области налогообложения и в социальной сфере. На сегодняшний день, российские предприятия имеют высокий потенциал в развитии производства, реализация которого невозможна без поддержки со стороны государства с одной стороны и без реализации внутренних резервов производства с другой.

В настоящее время тип развития современных промышленных предприятий России носит преимущественно экстенсивный характер, т.е. рост объемов выпуска осуществляется в основном за счет вовлечения в процесс производства не задействованных ранее трудовых, материальных, производственных ресурсов и денежных средств, направляемых на привлечение этих ресурсов. Определенный рост эффективности может быть обеспечен и при этом типе воспроизводства, но возможность обеспечить неуклонный рост с достаточно высокими темпами экономической эффективности производства дает только переход к преимущественно интенсивному типу развития. Интенсификация экономики состоит прежде всего в том, чтобы результаты производства росли быстрее чем затраты на него.

При высоких темпах экстенсивного развития экономическая эффективность производства достигается за счет сокращения доли постоянных затрат в стоимости единицы продукции. Но при стабилизации экономики, а все предпосылки для этого уже созданы, при достижении определенных объемов производства интенсивный тип развития дает больший эффект.

Общепринято, что базой интенсивного развития является научно-технический прогресс. Но при одинаковом уровне техники различные предприятия при прочих равных условиях могут добиться разных результатов вследствие различной степени эффективности управления наличными ресурсами. Для российских предприятий при дефиците денежных средств возможности технического перевооружения производства ограничены и эффективное управление - один из факторов и источников роста благосостояния предприятия и возможности перехода к техническому перевооружению производства.

Исходя из вышеизложенного, в последнее время для российских предприятий наибольшее значение приобретает анализ степени финансово-хозяйственной деятельности производства в целях поиска возможных к реализации резервов роста объемов производства, качества продукции и, прежде всего, качества управления ресурсами.

В курсовой работе проанализирована деятельность ОАО «УралАТИ».

В современных условиях предприятие как объект товарно-денежных отношений, обладающий экономической самостоятельностью и полностью отвечающий за результаты своей хозяйственной деятельности, должно сформировать у себя систему управления (менеджмента), которая обеспечила бы ему высокую эффективность работы, конкурентоспособность и устойчивость положения на рынке.

В рыночных условиях в значительной степени усиливается жесткость финансовых ограничений хозяйственной деятельности предприятий. Современная финансовая система исключает практику централизорованного изъятия средств предприятий, помимо расчетов с государственным бюджетом и внебюджетными фондами. А также изменена кредитная система, в рамках которой теперь возможность получения предприятием кредита обусловлено степенью его финансовой устойчивости.

Финансовая стабильность предприятия становится вопросом его выживания, поскольку банкротство предприятия в условиях рынка выступает вероятным результатом хозяйственной деятельности наряду с другими возможностями. В современных условиях возрастает роль и значение анализа финансового состояния, как для предприятия, так и для его разнообразных партнеров, собственников, для финансовых органов.

1. ТЕОРЕТИЧЕСКИЕ ОСНОВЫ АНАЛИЗА, ФИНАНСОВОГО АНАЛИЗА

1.1.Финансовый анализ как база принятия управленческих решений

Финансовый анализ является существенным элементом финансового менеджмента и аудита. Практически все пользователи финансовых отчетов предприятий применяют методы финансового анализа для принятия решений.

Собственники анализируют финансовые отчеты с целью повышения доходности капитала, обеспечения стабильности фирмы. Кредиторы и инвесторы анализируют финансовые отчеты, чтобы минимизировать свои риски по займам и вкладам. Качество принимаемых решений в значительной степени зависят от качества их аналитического обоснования.

Приведение форм бухгалтерского учета и отчетности к большему соответствию требованиям международных стандартов вызывает необходимость использования новой методики финансового анализа, соответствующей условиям рыночной экономики. Такая методика нужна для обоснованного выбора делового партнера, определения степени финансовой устойчивости предприятия, оценки деловой активности и эффективности предпринимательской деятельности. Основными источниками информации о финансовой деятельности делового партнера служит бухгалтерская отчетность, которая стала публичной. Отчетность предприятия в условиях рыночной экономики базируется на обобщении данных финансового учета и является информационным звеном, связующим предприятие с обществом и деловыми партнерами – пользователями информации о его деятельности.

Пользователи финансовой информацией делятся на основные и не основные партнерские группы.

Основные партнерские группы заинтересованы в успехах предприятия, так как их благополучие находится в прямой зависимости от результатов его деятельности.

К не основным партнерским группам относятся группы, опосредованно заинтересованные в успехах предприятия: страховые компании, аудиторские и консалтинговые фирмы, фондовые биржи, юридические фирмы, ассоциации, пресса, профсоюзы, регулирующие органы.

Основная цель финансового анализа – получение небольшого числа ключевых параметров, дающих объективную и точную картину финансового состояния предприятия, его прибылей и убытков, изменений в структуре активов и пассивов, в расчетах с дебиторами и кредиторами. При этом пользователей финансовой информации может интересовать как текущее финансовое состояние предприятия, так и прогноз на ближайшую перспективу.

Методика финансового анализа включает три взаимосвязанных блока:

1. Анализ финансовых результатов деятельности предприятия;

2. Анализ финансового состояния предприятия;

3. Анализ эффективности финансово-хозяйственной деятельности предприятия.

Основными функциями финансового анализа являются:

- объективная оценка финансового состояния, финансовых результатов, эффективности и деловой активности объекта анализа;

- выявление факторов и причин достигнутого состояния и полученных результатов;

- подготовка и обоснование принимаемых управленческих решений в области финансов;

- выявление и мобилизация результатов улучшения финансового состояния и финансовых результатов, повышения эффективности всей хозяйственной деятельности.


1.2. Понятие, значения и задачи анализа финансовой деятельности предприятия

Финансовое состояние предприятия – это экономическая категория, отражающая состояние капитала в процессе его кругооборота и способность субъекта хозяйствования к саморазвитию на фиксированный момент времени.

В процессе снабженческой, производственной, сбытовой и финансовой деятельности происходит непрерывный процесс кругооборота капитала, изменяются структура средств и источников и формирования, наличие и потребность финансовых ресурсов и как следствие финансовое состояние предприятия, внешним проявлением которого выступает платежеспособность.

Финансовое состояние может быть устойчивым, неустойчивым и кризисным. Способность предприятия своевременно производить платежи, финансировать свою деятельность на расширенной основе, переносить непредвиденные потрясения и поддерживать свою платежеспособность в неблагоприятных обстоятельствах свидетельствует о его устойчивом финансовом состоянии, и наоборот.

Финансовое состояние предприятия, его устойчивость и стабильность зависят от результатов его производственной, коммерческой и финансовой деятельности. Если производственный и финансовый план успешно выполняются, то это положительно влияет на финансовое положение предприятия. И, наоборот, в результате недовыполнения плана по производству и реализации продукции происходит повышение ее себестоимости, уменьшение выручки и суммы прибыли и как следствие ухудшение финансового состояния предприятия и его платежеспособности. Следовательно, устойчивое финансовое состояние не является счастливой случайностью, а итогом грамотного, умелого управления всем комплексом, факторов, определяющих результаты хозяйственной деятельности предприятия.

Главная цель финансовой деятельности сводится к одной стратегической задаче – увеличению активов предприятия. Для этого оно должно постоянно поддерживать платежеспособность и рентабельность, а также оптимальную структуру активов и пассивов баланса.

Основные задачи анализа.

1. Своевременное выявление и устранение недостатков в финансовой деятельности, и поиск резервов улучшения финансового состояния предприятия и его платежеспособности.

2. Прогнозирование возможных финансовых результатов, экономической рентабельности исходя из реальных условий хозяйственной деятельности и наличия собственных и заемных ресурсов, разработка моделей финансового состояния при разнообразных вариантах использования ресурсов.

3. Разработка конкретных мероприятий, направленных на более эффективное использование финансовых ресурсов и укрепление финансового состояния предприятия .

Для оценки финансового состояния предприятия, его устойчивости используется целая система показателей, характеризующих:

а) оптимальность структуры активов и пассивов предприятия, степень его финансового и производственного риска;

б) оптимальность структуры источников формирования;

в) наличие и размещение капитала, эффективность и интенсивность его использования;

г) ликвидность баланса и платежеспособность предприятия, его инвестиционную привлекательность;

д) рентабельность, деловую активность и эффективность деятельности предприятия;

е) риск банкротства (несостоятельности) субъекта хозяйствования.

Анализ финансового состояния предприятия основывается главным образом на относительных показателях, так как абсолютные показатели баланса в условиях инфляции очень трудно привести в сопоставимый вид.

Относительные показатели анализируемого предприятия можно сравнить:

- с общепринятыми «нормами» для оценки степени риска и прогнозирования банкротства;

- с аналогичными данными других предприятий, что позволяет выявить

сильные и слабые стороны предприятия и его возможности;

- с аналогичными данными за предыдущие годы для изучения тенденций улучшений или ухудшений финансового состояния предприятия.

Анализом финансового состояния занимаются не только руководители и соответствующие службы предприятия, но и его учредители, инвесторы с целью изучения эффективности использования ресурсов, банки – для оценки условий кредитования и определения степени риска, поставщики – для своевременного получения платежей, налоговые инспекции – для выполнения плана поступления средств в бюджет и т.д. В соответствии с этим анализ делится на внешний и внутренний.

Внутренний анализ проводится службами предприятия, и его результаты используются для планирования, контроля и прогнозирования финансового состояния предприятия. Его цель – обеспечить планомерное поступление денежных средств и разместить собственные и заемные средства таким образом, чтобы создать условия для нормального функционирования предприятия, получения максимума прибыли и исключения риска банкротства.

Внешний анализ осуществляется инвесторами, поставщиками материальных и финансовых ресурсов, контролирующими органами на основе публикуемой отчетности. Его цель – установить возможность выгодно вложить средства, чтобы обеспечить максимум прибыли и исключить риск потери.

Основными источниками информации для анализа финансового состояния служат бухгалтерский баланс, отчет о прибылях о убытках, о движении капитала, о движении денежных средств и другие формы отчетности, данные первичного и аналитического бухгалтерского учета, которые расшифровывают и детализируют отдельные статьи баланса.


1.3. Основные источники информации о финансовой деятельности предприятия

Основные показатели, отражающие финансовое положение предприятия, представлены в балансе. Баланс характеризует финансовое положение предприятия на определенную дату и отражает ресурсы предприятия в единой денежной оценке по их направлениям использования, с одной стороны (актив), и по источникам их финансирования – с другой стороны (пассив).

В актив баланса включаются статьи, в которые объединены определенные элементы имущества предприятия по функциональному признаку. Актив баланса состоит из двух разделов.

В разделе I «Внеоборотные активы» отражаются: земельные участки, здания, сооружения, машины, оборудование, незавершенное строительство; долгосрочные финансовые вложения; нематериальные активы.

Раздел II актива баланса «Оборотные активы» отражает величину материальных оборотных средств: производственных запасов, незавершенного производства, готовой продукции и т.д.; наличие у предприятия свободных денежных средств, краткосрочных финансовых вложений, величину дебиторской задолженности и прочих оборотных активов.

В пассиве баланса группировка статей дана по источникам формирования ресурсов. Вся совокупность обязательств предприятия за полученные ценности и ресурсы, прежде всего, разделения по субъектам: перед собственниками и перед третьими лицами (кредиторами, банками, бюджетом, внебюджетными фондами и другими).

В разделе III «Капитал и резервы» отражаются показатели собственных средств (капитала) предприятия. Собственный капитал показывает величину стоимости средств, принадлежащих акционерам (собственникам предприятия).

В разделе IV «Долгосрочные пассивы» отражается: величина долгосрочных кредитов банка, используемые для капитальных вложений на длительный срок. Также долгосрочные займы, отражающие долгосрочные кредиты (кроме банковских) и другие привлеченные средства на срок более одного года.

Раздел V - «Краткосрочные обязательства», к ним относятся обязательства, которые покрываются за оборотными средствами или погашаются в результате новых краткосрочных обязательств. Эти обязательства погашаются в течение сравнительно короткого периода времени (обычно в течение одного года). В краткосрочные обязательства включаются такие статьи, как счета и векселя к оплате, долговые свидетельства о получении краткосрочных кредитов и займов, задолженность по заработной плате и налогам, различного рода авансы и прочее.

Форма № 2 содержит сведения о текущих финансовых результатах деятельности предприятия за отчетный период. Здесь показаны величины бухгалтерской прибыли или убытка и слагаемые этого показателя:

- прибыли или убыток от реализации продукции;

- финансовый результат от прочей реализации (основных средств и нематериальных активов) и других финансовых операций;

- доходы и расходы от прочих внереализационных операций (штрафы, убытки от безнадежных долгов и т. п.).

1.4. Методики анализа финансового состояния.

Основной целью проведения анализа финансового состояния организаций является получение объективной оценки их платежеспособности, финансовой устойчивости, деловой и инвестиционной активности, эффективности деятельности.

Оптимальный перечень показателей, наиболее объективно отражающих тенденции финансового состояния, формируется каждым предприятием самостоятельно.

Однако при всем возможном многообразии показателей все они, как правило, распределяются по четырем группам:

• показатели финансовой устойчивости;

• показатели ликвидности;

• показатели рентабельности;

• показатели деловой активности.

Разные авторы предлагают разные методики финансового анализа. Детализация процедурной стороны методики финансового анализа зависит от поставленных целей, а также различных факторов информационного, временного, методического и технического обеспечения.

Например, Ковалев А.И. и Привалов В.П. предлагают организовать аналитическую работу в виде двухмодульной структуры:

- экспресс-анализ финансового состояния,

- детализированный анализ финансового состояния.

Экспресс-анализ финансового состояния.

Его целью является наглядная и простая оценка финансового благополучия и динамики развития хозяйствующего субъекта. В процессе анализа предлагается рассчитать различные показатели и дополнить их методами, основанными на опыте и квалификации специалиста. Автор считает, что экспресс-анализ целесообразно выполнять в три этапа: подготовительный этап, предварительный обзор финансовой отчетности, экономическое чтение и анализ отчетности.

Цель первого этапа - принять решение о целесообразности анализа финансовой отчетности и убедиться в ее готовности к чтению. Здесь проводится визуальная и простейшая счетная проверка отчетности по формальным признакам и по существу: определяется наличие всех необходимых форм и приложений, реквизитов и подписей, проверяется правильность и ясность всех отчетных форм; проверяются валюта баланса и все промежуточные итоги.

Цель второго этапа - ознакомление с пояснительной запиской к балансу. Это необходимо для того, чтобы оценить условия работы в отчетном периоде, определить тенденции основных показателей деятельности, а также качественные изменения в имущественном и финансовом положении хозяйствующего субъекта.

Третий этап - основной в экспресс-анализе; его цель - обобщенная оценка результатов хозяйственной деятельности и финансового состояния объекта. Такой анализ проводится с той или иной степенью детализации в интересах различных пользователей.

Экспресс-анализ может завершаться выводом о целесообразности или необходимости более углубленного и детального анализа финансовых результатов и финансового положения.

Детализированный анализ финансового состояния.

Его цель - более подробная характеристика имущественного и финансового положения хозяйствующего субъекта, результатов его деятельности в истекающем отчетном периоде, а также возможностей развития субъекта на перспективу. Он конкретизирует, дополняет и расширяет отдельные процедуры экспресс-анализа. При этом степень детализации зависит от желания аналитика.

1. Предварительный обзор экономического и финансового положения субъекта хозяйствования.

- Характеристика общей направленности финансово-хозяйственной деятельности.

- Выявление «больных» статей отчетности.

2. Оценка и анализ экономического потенциала субъект хозяйствования.

- Оценка имущественного положения.

- Построение аналитического баланса-нетто.

- Вертикальный анализ баланса.

- Горизонтальный анализ баланса.

- Анализ качественных сдвигов в имущественном положении.

- Оценка финансового положения.

- Оценка ликвидности.

- Оценка финансовой устойчивости.

3. Оценка и анализ результативности финансово-хозяйственной деятельности субъекта хозяйствования.

- Оценка основной деятельности.

- Анализ рентабельности.

- Оценка положения на рынке ценных бумаг.

Методика анализа финансового состояния, предлагаемая И.Т. Балабановым.

Движение любых ТМЦ, трудовых и материальных ресурсов сопровождается образованием и расходованием денежных средств, поэтому финансовое состояние хозяйствующего субъекта отражает все стороны его производственно-торговой деятельности. Характеристику финансового состояния предлагается провести по следующей схеме:

- анализ доходности (рентабельности);

- анализ финансовой устойчивости;

- анализ кредитоспособности;

- анализ использования капитала;

- анализ уровня самофинансирования;

- анализ валютной самоокупаемости.

Анализ доходности хозяйствующего субъекта характеризуется абсолютными и относительными показателями. Абсолютный показатель доходности - это сумма прибыли, или доходов.

Относительный показатель - уровень рентабельности. Рентабельность представляет собой доходность, или прибыльность производственно-торгового процесса. Ее величина измеряется уровнем рентабельности. Уровень рентабельности хозяйствующих субъектов, связанных с производством продукции (товаров, работ, услуг), определяется процентным отношением прибыли от реализации продукции к себестоимости продукции.

В процессе анализа изучают динамику изменения объема чистой прибыли, уровня рентабельности и факторы, их определяющие.

Финансово устойчивым считается такое предприятие, которое за счет собственных средств покрывает средства, вложенные в активы (основные фонды, НМА, оборотные средства), не допускает неоправданной дебиторской и кредиторской задолженности. Главным в финансовой деятельности являются правильная организация и использование оборотных средств. Поэтому в процессе анализа финансового состояния вопросам рационального использования оборотных средств уделяет основное внимание.

Характеристика финансовой устойчивости включает в себя анализ:

- состав и размещение активов хозяйствующего субъекта;

- динамики и структуры источников финансовых ресурсов;

- наличия собственных оборотных средств;

- кредиторской задолженности;

- наличия и структуры оборотных средств;

- дебиторской задолженности; платежеспособности.

Под кредитоспособностью хозяйствующего субъекта понимается наличие у него предпосылок для получения кредита и способность возвратить его в срок. Кредитоспособность заемщика характеризуется его аккуратностью при расчетах по ранее полученным кредитам, его текущим финансовым состоянием и перспективами изменения, способностью при необходимости мобилизовать денежные средства из различных источников.

При анализе кредитоспособности используется целый ряд показателей. Наиболее важными из них являются, норма прибыли на вложенный капитал и ликвидность. Норма прибыли на вложенный капитал определяется отношением суммы прибыли к общей сумме пассива по балансу. Ликвидность хозяйствующего субъекта - это способность его быстро погашать свою задолженность. Она определяется соотношением величины задолженности и ликвидных средств.

Вложение капитала должно быть эффективным. Под эффективностью использования капитала понимается величина прибыли, приходящаяся на один рубль вложенного капитала. Эффективность капитала - комплексное понятие, включающее в себя использование оборотных средств, основных фондов и НМА. Поэтому анализ эффективности капитала проводится по отдельным частям.

Капитал в целом представляет собой сумму оборотных средств, основных фондов и НМА. Эффективность использования капитала лучше всего измеряется его рентабельностью. Уровень рентабельности капитала измеряется процентным отношением балансовой прибыли к величине капитала.

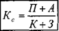
Самофинансирование означает финансирование за счет собственных источников: амортизационных отчислений и прибыли. Эффективность самофинансирования и его уровень зависят от удельного веса собственных источников. Уровень самофинансирования можно определить с помощью коэффициента самофинансирования (Кс):

(1.1)

где П - прибыль, направляемая в фонд накопления;

А - амортизационные отчисления;

К - заемные средства;

3 - кредиторская задолженность и др. привлеченные средства.

Однако хозяйствующий субъект не всегда может полностью обеспечить себя собственными финансовыми ресурсами и поэтому широко использует заемные и привлеченные денежные средства.

Важнейшими коэффициентами отчетности, использующимися в финансовом управлении по Е. С. Стояновой, являются :

1. Коэффициенты ликвидности (коэффициент текущей ликвидности, срочной ликвидности и чистый оборотный капитал);

2. Коэффициенты деловой активности или эффективности использования ресурсов (оборачиваемость активов, оборачиваемость дебиторской задолженности, оборачиваемость материально - производственных запасов и длительность операционного цикла);

3. Коэффициенты рентабельности (рентабельность всех активов предприятия, рентабельность реализации, рентабельность собственного капитала);

4. Коэффициенты структуры капитала (коэффициент собственности, коэффициент финансовой зависимости, коэффициент защищенности кредиторов);

5. Коэффициенты рыночной активности (прибыль на одну акцию, балансовая стоимость одной акции, соотношение рыночной цены акции и ее балансовой стоимости, доходность акции и доля выплаченных дивидендов).

Важным инструментом финансового менеджмента является не только анализ уровня и динамики основных коэффициентов в сравнении с определенной базой, но и определения оптимальных пропорций между ними с целью разработки наиболее конкурентоспособной финансовой стратегии.

Эффект финансового рычага - это приращение к рентабельности собственных средств, получаемое благодаря использованию кредита, несмотря на платность последнего. Предприятие, использующее только собственные средства, ограничивает их рентабельность примерно двумя третями экономической рентабельности. Предприятие, использующие кредит, увеличивает либо уменьшает рентабельность собственных средств, в зависимости от соотношения собственных и заемных средств в пассиве и от величины процентной ставки. Тогда и возникает эффект финансового рычага (ЭФР):

ЭФР=2/3(ЭР-СРСП)хЗС/СС, (1.2.)
где ЭР, экономическая рентабельность, равная отношению прибыли до выплаты процентов и налогов к активам;

СРСП - среднерасчетная ставка процента;

ЗС - заемные средства;

СС - собственные средства.

То есть для того, чтобы повысить рентабельность собственных средств, предприятие должно регулировать соотношение собственных и заемных средств.

Большое внимание уделяется операционному анализу, называемому также анализом "издержки-объем-прибыль ", - отражающим зависимость финансовых результатов бизнеса от издержек и объемов производства и сбыта.

Ключевыми элементами операционного анализа служит: операционный рычаг, порог рентабельности и запас финансовой прочности.

Действие операционного рычага проявляется в том, что любое изменение выручки от реализации всегда порождает более сильное изменение прибыли. В практических расчетах для определения силы воздействия операционного рычага применяют отношение валовой маржи (результата от реализации после возмещения переменных затрат) к прибыли.

Порог рентабельности - эта такая выручка от реализации, при которой предприятие уже не имеет убытков, но еще не имеет и прибыли. Вычислив порог рентабельности, получаем пороговое (критическое) значение объема производства - ниже этого количества производство не выгодно. Пройдя порог рентабельности, фирма имеет дополнительную сумму валовой маржи на каждую очередную единицу товара. Наращивается и масса прибыли.

Разница между достигнутой фактической выручкой от реализации и порогом рентабельности составляет запас финансовой прочности .

Анализируя традиционные методические подходы к расчету показателей, можно отметить две позиции, которые нарушают объективную оценку финансово-экономического состояния предприятия.

Первая позиция. Коэффициенты ликвидности и финансовой устойчивости рассчитываются на дату составления бухгалтерской отчетности, то есть на начало и конец отчетного периода. Таким образом, они фиксируют лишь моментное финансовое состояние предприятия и не дают представления о финансовом состоянии предприятия в целом. Более объективным и предпочтительным представляется метод расчета коэффициентов на основании средних (среднегодовых, средних за полугодие, средне квартальных) значений строк бухгалтерского баланса.

При использовании средних расчетных значений достигается не только единообразие подходов в расчете всех четырех групп финансовых показателей, но и большая значимость и объективность итоговых результатов при рейтинговой оценке финансово-экономического состояния предприятия.

В любом варианте анализ тенденций изменения финансовых результатов хозяйственной деятельности предприятия по средним расчетным коэффициентам будет более объективным по сравнению с традиционной практикой использования моментных показателей бухгалтерского баланса.

Вторая позиция. Коэффициенты ликвидности и финансовой устойчивости - показатели первого класса - имеют качественное отличие от показателей второго класса - коэффициентов рентабельности и деловой активности.

К первому классу относятся показатели, для которых определены нормативные (рекомендуемые) значения. Во второй класс входят ненормируемые показатели, значения которых непосредственно не могут быть использованы для оценки эффективности функционирования предприятия. Рассматривая показатели второго класса в динамике, можно лишь констатировать их состояние как «улучшение», «стабильность», «ухудшение».

Таким образом, в целях получения более объективной оценки финансово-экономического состояния предприятия целесообразно определить нормативные (рекомендуемые) значения коэффициентов рентабельности и деловой активности непосредственно для каждого предприятия с учетом специфики его производственно-хозяйственной деятельности.

Данная методика включает следующие блоки анализа:

- анализ и оценка состава и динамики имущества и источников его формирования;

- анализ финансовой устойчивости предприятия;

- анализ ликвидности баланса и платежеспособности;

- анализ рентабельности;

- анализ деловой активности.

Оценка финансового состояния и его изменения за отчетный период по сравнительному аналитическому балансу, а также анализ показателей финансовой устойчивости составляют исходный пункт, из которого должен логически развиваться заключительный блок анализа финансового состояния. Анализ ликвидности баланса должен оценивать текущую платежеспособность и давать заключение о возможности сохранения финансового равновесия и платежеспособности в будущем. Сравнительный аналитический баланс и показатели финансовой устойчивости отражают сущность финансового состояния. Ликвидность баланса характеризует внешние проявления финансового состояния, которые обусловлены его сущностью.

В ходе анализа для характеристики различных аспектов финансового состояния применяются как абсолютные показатели, так и финансовые коэффициенты, представляющие собой относительные показатели финансового состояния.

Анализ финансовых коэффициентов заключается в сравнении их значений с базисными величинами, а также в изучении их динамики. В качестве базисных величин используются усредненные по временному ряду значения показателей данного предприятия, относящиеся к прошлым, благоприятным с точки зрения финансового состояния, периодам; среднеотраслевые значения показателей; значения показателей, рассчитанные по данным отчетности наиболее удачливого конкурента. Кроме того, базой сравнения могут служить теоретически обоснованные или полученные в результате экспертных опросов величины, характеризующие оптимальные или критические с точки зрения устойчивости финансового состояния значения относительных показателей. Такие величины фактически выполняют роль нормативов для финансовых коэффициентов, хотя методики их расчета в зависимости, например, от отрасли производства, пока не создано, поскольку в настоящее время не устоялся и поэтому лишен полноценной системной упорядоченности набор относительных показателей. Для анализа финансового состояния предприятия и тенденции его изменения достаточно сравнительно небольшого количества финансовых коэффициентов. Важно лишь, чтобы каждый из этих показателей отражал наиболее существенные стороны финансового состояния.

2. АНАЛИЗ ФИНАНСОВОЙ ДЕЯТЕЛЬНОСТИ ПРЕДПРИЯТИЯ

2.1. Общая оценка финансовой деятельности предприятия.

Устойчивость финансового положения предприятия в значительной степени зависит от целесообразности и правильности вложения финансовых ресурсов в активы. Активы динамичны по своей природе. В процессе функционирования предприятия и величина активов, и их структура претерпевают постоянные изменения. Наиболее общее представление об имевших место качественных изменениях в структуре средств и их источников, а также динамике этих изменений можно получить с помощью вертикального и горизонтального анализа отчетности.

Вертикальный анализ показывает структуру средств предприятия и их источников. Можно выделить две основные черты, обуславливающие необходимость и целесообразность проведения вертикального анализа:

- относительные показатели в определенной степени сглаживают негативное влияние инфляционных процессов, которые могут существенно искажать абсолютные показатели финансовой отчетности и тем самым затруднять их сопоставление в динамике;

- переход к относительным показателям позволяет проводить межхозяйственные сравнения экономического потенциала и результатов деятельности предприятий, различающихся по величине используемых ресурсов и другим объемным показателям.

Вертикальному анализу можно подвергать либо исходную отчетность, либо модифицированную отчетность (с укрупненной или трансформированной номенклатурой статей).

Таблица 1

Вертикальный анализ баланса ОАО «УралАТИ»

Показатель

На 31. 12. 07

На 31.12.08

На начало

года

На начало

года

На конец

года

Тыс. р.

%

Тыс. р.

%

Тыс. р.

%

АКТИВ

1. Внеоборотные активы

Основные средства

132935

26,67

141132

24,11

165890

24,90

Незавершенное строительство

15468

3,10

34047

5,82

39048

5,86

Долгосрочные финансовые

вложения

3362

0,67

3362

0,57

3000

0,45

Итого:

151765

30,44

178541

30,50

207938

31,21

2. Оборотные активы

Запасы и затраты

В том числе

Сырье, материалы и др. ценности

Затраты в незавершенном производстве

Готовая продукция и товары для перепродажи

Расходы будущих периодов

171797

112329

1231

50429

7808

34,46

22,53

0,25

10,11

1,57

238314

139185

754

89965

8410

40,71

23,77

0,13

15,37

1,44

193703

84356

926

99129

9292

29,08

12,66

0,14

14,88

1,40

НДС по приобретенным ценностям

3495

0,70

3527

0,60

6078

0,91

Дебиторская задолженность (платежи ожидаются более чем через 12 мес.)

84

0,02

544

0,09

0

0

Дебиторская задолженность (платежи ожидаются в течение 12 мес.)

В том числе покупатели и заказчики

154910

137789

31,07

27,64

157972

109362

26,98

18,68

242158

139004

36,35

20,87

Краткосрочные финансовые вложения

10000

2,01

1880

0,32

0

0

Денежные средства

6557

1,32

4663

0,80

16271

2,44

Итого:

346843

69,56

406900

69,50

458210

68,79

Баланс

498608

100,00

585441

100,00

666148

100,00

ПАССИВ

3. Капитал и резервы

2229

0,45

2229

0,38

2229

0,34

Добавочный капитал

132312

26,54

132312

22,60

132312

19,86

Резервный капитал

334

0,07

334

0,06

334

0,05

Нераспределенная прибыли (непокрытый убыток)

137684

27,61

163399

27,91

155951

23,41

Итого:

272559

54,66

298274

50,95

290826

43,66

2. Долгосрочные пассивы

Отложенные налоговые обязательства

1329

0,27

1791

0,31

2885

0,43

Итого:

1329

0,27

1791

0,31

2885

0,43

5. Краткосрочные пассивы

Займы и кредиты

кредиторская задолженность

в том числе:

поставщики и подрядчики

задолженность перед персоналом организации

задолженность перед гос. внебюдж. Фондами

задолженность по налогам и сборам

прочие кредиторы

165344

59376

39550

7601

1559

4079

6587

33,16

11,91

7,93

1,52

0,31

0,82

1,32

215508

69868

40015

10667

2862

4179

12145

36,81

11,93

6,84

1,82

0,49

0,71

2,07

250555

121882

77378

7644

2373

15987

18500

37,61

18,30

11,62

1,15

0,36

2,40

2,78

Итого:

224720

45,07

285376

48,75

372437

55,91

Баланс

498608

100,00

585441

100,00

666148

100,00

Анализируя таблицу 1 можно сделать следующие выводы. В структуре баланса произошли изменения в пользу уменьшения доли оборотных средств на 0,77% (68,79 – 69,56), это обусловлено тем, что сумма сырья и материалов уменьшилась на 27973тыс. рублей.

Возросли расчеты с дебиторами на 87248 тыс. руб., это может быть связано с тем, что продукцию отгрузили, но срок оплаты не наступил.

В пассиве баланса увеличилась кредиторская задолженность на 62506 тыс. руб. (6,39%).

Наряду с вертикальным балансом проведем горизонтальный анализ баланса.

Горизонтальный анализ отчетности заключается в построении одной или нескольких аналитических таблиц, в которых абсолютные показатели дополняются относительными темпами роста (снижения).

В таблице 2 приведен горизонтальный анализ баланса ОАО «УралАТИ» по укрупненной номенклатуре статей.

Таблица 2

Горизонтальный анализ баланса ОАО «УралАТИ»

Показатель

На 31. 12. 07

На 31.12.08

На начало

года

На начало

года

На конец

года

Тыс. р.

%

Тыс. р.

%

Тыс. р.

%

АКТИВ

1. Внеоборотные активы

Основные средства

132935

100

141132

106.17

165890

124.79

Незавершенное строительство

15468

100

34047

220.11

39048

252.44

Долгосрочные финансовые

вложения

3362

100

3362

100

3000

89.23

Итого:

151765

100

178541

117.64

207938

137.01

2. Оборотные активы

Запасы и затраты

В том числе

Сырье, материалы и др. ценности

Затраты в незавершенном производстве

Готовая продукция и товары для перепродажи

Расходы будущих периодов

171797

112329

1231

50429

7808

100

100

100

100

100

238314

139185

754

89965

8410

138.72

123.91

61.25

178.40

107.71

193703

84356

926

99129

9292

112.75

75.10

75.22

196.57

119.01

НДС по приобретенным ценностям

3495

100

3527

100.92

6078

173.91

Дебиторская задолженность (платежи ожидаются более чем через 12 мес.)

84

100

544

647.62

0

-

Дебиторская задолженность (платежи ожидаются в течение 12 мес.)

В том числе покупатели и заказчики

154910

137789

100

100

157972

109362

101.98

79.37

242158

139004

156.32

100.88

Краткосрочные финансовые вложения

10000

100

1880

18.80

0

-

Денежные средства

6557

100

4663

71.11

16271

248.15

Итого:

346843

100

406900

117.32

458210

132.12

Баланс

498608

100

585441

117.42

666148

133.60

ПАССИВ

3. Капитал и резервы

2229

100

2229

100

2229

100

Добавочный капитал

132312

100

132312

100

132312

100

Резервный капитал

334

100

334

100

334

100

Нераспределенная прибыли (непокрытый убыток)

137684

100

163399

118.68

155951

113.27

Итого:

272559

100

298274

118.68

290826

106.70

3. Долгосрочные пассивы

Отложенные налоговые обязательства

1329

100

1791

134.76

2885

217.08

Итого:

1329

100

1791

134.76

2885

217.08

5. Краткосрочные пассивы

Займы и кредиты

кредиторская задолженность

в том числе:

поставщики и подрядчики

задолженность перед персоналом организации

задолженность перед гос. внебюдж. Фондами

задолженность по налогам и сборам

прочие кредиторы

165344

59376

39550

7601

1559

4079

6587

100

100

100

100

100

100

100

215508

69868

40015

10667

2862

4179

12145

130.34

117.67

101.18

140.34

183.58

102.45

184.38

250555

121882

77378

7644

2373

15987

18500

151.54

205.27

195.65

100.57

152.21

391.93

280.86

Итого:

224720

100

285376

126.99

372437

165.73

Баланс

498608

100

585441

117.42

666148

133.60

Из данных таблицы следует, что за последние два года валюта баланса выросла на 34 %, в том числе величина внеоборотных активов на 56153 тыс. руб. или 37,01 %, а оборотных активов на 111367 тыс. руб. или 32,12 %.

Позитивными аспектами в деятельности акционерного общества являются: увеличение основных средств на32955 тыс. руб. или 24,79 %; раздела III «Капитал и резервы» на 18267 тыс. руб. или 6,70 %.

Негативные моменты в работе общества: рост остатков незавершенного строительства на 23580 тыс. руб. или 152,44 %; дебиторской задолженности на 87248 тыс. или 56,32 %; кредиторской задолженности на 62506 тыс. руб. или 105,27%.

Финансовые результаты отчетного года в определенной степени характеризуются данными отчета о прибылях и убытках (форма № 2 отчетности). Исследуя отчет о прибылях и убытках за 2008 год, можно сделать следующий вывод: за 2008 год выручка от реализации составила 1056275 тыс. руб., что в сравнении с предыдущим годом уменьшилось на 99660 тыс. руб.; себестоимость реализованной продукции – 896098 тыс. руб.; чистая прибыль ОАО «УралАТИ» за 2007 год составила 25715 тыс. руб., в 2008 же году произошел убыток – 7448 тыс. руб. Это говорит об убыточности предприятия. Несмотря на рост производственной эффективности, у предприятия недостаточно средств для того, чтобы одновременно обслуживать производство и приносить прибыль своим владельцам. Для повышения коммерческой эффективности целесообразно проводить политику по уменьшению расходов при дальнейшем повышении эффективности производства.

2.2. Оценка основных фондов предприятия

Для осуществления производственной деятельности предприятие использует ограниченные экономические ресурсы, которые в наиболее общей классификации распределяются на:

а) Материальные ресурсы (земля и капитал);

б) Трудовые ресурсы (труд и предпринимательские способности);

Вместо термина «экономические ресурсы» в микроэкономике используется термин «фактор производства» (производственные факторы).

К фактору «земля» относятся все естественные ресурсы, используемые в производственной деятельности предприятия: земля, недра, водные и лесные ресурсы.

При составлении бухгалтерского баланса предприятия его хозяйственные средства называются активами, а источники их финансирования – пассивами.

Важнейшей составляющей хозяйственно – производственной деятельности предприятия являются основные фонды.

Основные фонды предприятия представляют собой совокупность произведенных общественным трудом материально – вещественных ценностей, используемых в неизменной натуральной форме в течение длительного периода и утрачивающих стоимость по частям. В зависимости от характера участия основных фондов в процессе расширенного воспроизводства они подразделяются на производственные и непроизводственные.

Производственные основные фонды неоднократно участвуют в процессе производства, изнашиваются постепенно и переносят свою стоимость на создаваемый продукт частями. Непроизводственные основные фонды не участвуют в процессе производства и предназначены для непроизводственного потребления (удовлетворение культурно – бытовых потребностей работающих: жилые дома, поликлиники, клубы и др.). В этом процессе они также изнашиваются постепенно и утрачивают свою стоимость по частям.

Основные фонды предприятия в денежном выражении представляют собой основные средства .

Остаточная стоимость основных средств определяется вычитанием из первоначальной стоимости амортизации основных средств.

Соотношение различных групп основных фондов в общей стоимости, выраженное в процентах, составляет структуру основных производственных фондов. В таблице 3 приведены состав и структура основных фондов ОАО «УралАТИ». Для построения таблицы использованы приложения к бухгалтерскому балансу.

Таблица 3

Состав и структура основных фондов

ОАО «УралАТИ»

Объекты

На 1.01.2007 г.

на 1.01.2008 г.

Балансовая

стоимость

Уд. вес

%

Балансовая

стоимость

Уд. вес

%

1. Здания

125,9

41,5

125,3

39,5

2. Сооружения

27,8

9,2

29,1

9,2

3. Машины и оборудование

107,5

35,5

114,7

36,1

4. Транспортные средства

8,4

2,8

9,3

2,9

5. Оснастка, инвентарь и другие виды ОС

26,9

8,9

32,8

10,3

6. Земля

6,5

2,1

6,5

2,0

Всего ОС

303

100

317,7

100

Всего остаточной стоимости

132,9

141,1

Коэффициент износа

56,1

55,6

Рассчитаем показатели использования основных фондов предприятия в 2008 году.

Коэффициент обновления основных фондов (К обн) определяется по формуле:

ОФ введ

К обн = --------------; (2.1)

ОФ кон

где: ОФ введ – стоимость вновь введенных ОФ за определенный период;

ОФ кон – стоимость основных фондов к началу того же периода;

45767

К обн = ------------ х 100 % = 12,98%

352645

Коэффициент выбытия основных фондов (Квыб):

ОФ выб

К выб = ------------- ; (2.2)

ОФ нач

где : ОФ выб – стоимость выбывших основных фондов за определенный период;

ОФ нач – стоимость основных фондов на начало того же периода;

10814

К выб = ------------ х 100 % = 3,40%

317692

Коэффициент прироста основных фондов (К рост) отражает относительное увеличение основных фондов за счет их обновления.

ОФ введ – ОФ выб

К рост = --------------------------; (2.3)

ОФ кон

45767 - 10814

К рост = ------------------------ х 100 % = 9,91%

352645

Коэффициент годности основных фондов (К г) характеризует их состояние на определенную дату:

ОФ п – ОФ изн

К г = ---------------------------; (2.4)

ОФ п

где: ОФ п – первоначальная стоимость всех или отдельных видов основных фондов;

ОФ изн – стоимость износа тех же основных фондов;

На 1 Января 2003 года коэффициент годности составил:

317692 - 178225

К г = ----------------------- х 100 % = 43,90%

317692

Коэффициент годности основных средств на 1 Января 2003 года составил 43,90 %, что указывает на достаточно высокую степень их износа.

2.3. Оценка оборотных средств предприятия

Другой важнейшей составляющей хозяйственно – производственной деятельности предприятия является оборотные средства. Оборотными средствами (оборотным капиталом) называют активы предприятия, которые в результате его хозяйственной деятельности полностью переносят свою стоимость на готовый продукт, принимают однократное участие в процессе производства, изменяя при этом натурально – вещественную форму.

Оборотные средства представляют собой более подвижную часть активов. В каждом кругообороте оборотные средства проходят три стадии: денежную, производственную и товарную. На первой стадии денежные средства предприятий используются для приобретения сырья, материалов, топлива, комплектующих изделий и т.д., необходимых для осуществления производственной деятельности. На второй стадии производственные запасы превращаются в готовую продукцию. На третьей стадии происходит процесс реализации продукции.

готовая

продукция

Деньги

Движение оборотных средств

сырье

материал

топливо

незавершенное

производ-

ство


Оборотные средства по составу подразделяются на две составляющие: оборотные фонды и фонды обращения .

Объединение оборотных фондов и фондов обращения в единую систему оборотных средств вытекает из непрерывности авансированной стоимости по трем названным стадиям их кругооборота.

В состав производственных оборотных фондов входят :

- производственные запасы – запасы сырья, материалов, комплектующих

изделий, топлива, тары, малоценного и быстроизнашиваемого инструмента

и хозяйственного инвентаря.

- незавершенное производство и полуфабрикаты собственного изготовления – это детали, узлы и изделия, не прошедшие всех стадий обработки, сборки и испытаний, укомплектования и приемки, а также предметы труда, изготовление которых полностью закончено в одном цехе и подлежит дальнейшей обработке в других цехах того же предприятия.

- расходы будущих периодов – затраты на подготовку и освоение новых видов продукции, производимые в данный период но подлежащие погашению в будущем.

Величина оборотных средств, находящихся в составе оборотных производственных фондов, определяется в первую очередь организованно-техническим уровнем производства и длительностью производственного цикла изготовляемой продукции.

В состав фондов обращения входят :

- готовая продукция на складах предприятия;

- отгруженная и неоплаченная продукция;

- дебиторская задолженность;

- денежные средства на расчетных счетах в кассе.

Фонды обращения не участвуют в образовании стоимости, но являются носителями уже созданной стоимости. Основное назначение фондов обращения – обеспечить денежными средствами ритмичность процесса обращения.

Величина оборотных средств, занятых в сфере обращения, зависит от условий реализации продукции, системы товародвижения, уровня организации маркетинга и сбыта продукции.

В таблице 4 приведены состав оборотных средств ОАО «УралАТИ», их структура, и динамика за 2008 год. Используются данные бухгалтерского баланса.

Таблица 4

Состав и структура оборотных средств ОАО «УралАТИ» в 2008 году

Элементы оборотных средств

На 01.01.2007

На 01.01.2008

Изменения

Т. р.

%

Т. р.

%

Т. р.

%

1. Средства в сфере производства – всего

121368

36,42

94574

20,92

-26794

-22,54

в том числе:

Производственные запасы (в том числе МБП)

112329

33,71

84356

18,66

-27973

-23,53

Незавершенное производство

1231

16,71

926

0,21

-305

-0,26

Расходы будущих периодов

7808

2,34

9292

2,06

+1484

+1,25

2. Средства в сфере обращения – всего

211896

63,58

357558

79,08

+145662

+122,54

в том числе:

Готовая продукция

50429

15,13

99129

21,93

+48700

+40,97

Дебиторская задолженность

154910

46,48

242158

53,56

+87248

+73,40

Денежные средства и прочие оборотные активы

6557

1,97

16271

3,60

+9714

+8,17

Итого оборотных средств

333264

100,00

452132

100,00

+118868

+135,66

Анализируя данные таблицы, можно сделать следующий вывод. За анализируемый период оборотные активы предприятия возросли на 35,66% (118868). Это было вызвано увеличением количества готовой продукции на складе, не находящей сбыта, а также увеличением дебиторской задолженности (не оплачена отгруженная продукция). Наблюдается тенденция уменьшения доли оборотных производственных фондов в оборотных средствах, что является негативным фактором в деятельности предприятия. Считается, что чем больше доля средств в сфере производства, тем эффективнее используются оборотные средства на предприятии. Активная работа по стимулированию сбыта готовой продукции и инвестированию полученных средств в сферу производства является весомым резервом ускорения оборачиваемости оборотных средств предприятия.

2.4. Анализ себестоимости продукции.

Важным показателем, характеризующим работу предприятия, является себестоимость продукции.

Себестоимость продукции – выраженные в денежной форме затраты на ее производство и реализацию.

Основные задачи бухгалтерского учета затрат на производство и калькулирование себестоимости продукции – учет объема, ассортимента и качества произведенной продукции, выполненных работ и оказанных услуг и контроль за выполнением плана по этим показателям; учет фактических затрат на производство продукции и контроль за использованием сырья, материальных, трудовых и других ресурсов, за соблюдением установленных смет расходов по обслуживанию производства и управлению; калькулирование себестоимости продукции и контроль за выполнением плана по себестоимости; выявление результатов деятельности структурных подразделений предприятия по снижению себестоимости продукции; выявлению резервов снижения себестоимости продукции. От ее уровня зависят финансовые результаты деятельности, темпы расширенного воспроизводства, финансовое состояние предприятия.

В крупных и средних организациях для учета затрат на производство продукции применяют счета 20 «Основное производство», 23 «Вспомогательное производство», собирательно-распорядительные счета: 25 «Общепроизводственные расходы», 26 «Общехозяйственные расходы», 28 «Потери от брака», 97 «Расходы будущих периодов», 46 «Выполненные этапы по незавершенным работам», 40 «Выпуск продукции (работ, услуг)».

Анализ себестоимости продукции, работ и услуг имеет важное значение. Он позволяет выяснить тенденции изменения данного показателя, выполнения плана по его уровню, определить влияние факторов на его прирост и на этой основе дать оценку работы предприятия по использованию возможностей и установить резервы снижения себестоимости продукции.

Издержки предприятия – это денежное выражение использования производственных факторов для выпуска и реализации продукции.

Денежные расходы на оплату труда, приобретение сырья и материалов, амортизацию основных фондов и другие, необходимые для осуществления производства и реализации продукции, составляют явные издержки предприятия, поскольку они рассчитываются на основе финансовых отчетов, их называют еще бухгалтерскими. Совокупность всех явных издержек образует себестоимость продукции.

Для целей учета, анализа и планирования, затраты включаемые в себестоимость продукции, классифицируют по различным признакам. Классификация затрат позволяет более обосновано выявить резервы снижения себестоимости и спроектировать мероприятия по сокращению затрат на производство и реализацию продукции.

Планирование и учет себестоимости ведут по элементам затрат и калькуляционным статьям расходов. Наибольший практический интерес представляет группировка по экономическим элементам, называемым сметой затрат на производство . Смета затрат на производство позволяет определить затраты на общий объем потребляемых ресурсов для выполнения всей производственной программы предприятия независимо от того, на какой конкретный вид продукции они использованы.

Структура затрат на производство продукции на анализируемом предприятии приведена в таблице 5.

Таблица 5

Структура затрат на производство продукции

Элементы затрат

Структура затрат

2007 год

2008 год

Тыс. руб.

%

Тыс. руб.

%

Материальные затраты

731840

69,46

635141

64,97

Заработная плата

195329

18,54

216157

22,11

Отчисления

51776

4,91

55644

5,69

Амортизация

8938

0,85

10782

1,10

Прочие затраты

65673

6,23

59876

6,13

Итого:

1053556

100,00

977600

100,00

В 2008 г. по сравнению с 2007 г. у предприятия изменилась структура затрат на производство. Снизились материальные затраты в связи с уменьшением тарифов на тепло – энергию, цен на топливо, материалы. Произошло увеличение средней заработной платы. Общая же сумма затрат на производство продукции снизилась на 7,21 %.

Важный обобщающий показатель себестоимости продукции – затраты на рубль товарной продукции, который выгоден тем, что наглядно показывает прямую связь между себестоимостью и прибылью. Исчисляется он отношением общей суммы затрат на производство и реализации продукции и стоимости произведенной товарной продукции в действующих ценах.

Рассчитаем затраты на 1 рубль товарной продукции в 2008 году:

СБ тп 977600

З = ----------- = ------------ = 0,93 рубль. (2.5)

ТП 1056275

Таким образом затраты на 1 рубль товарной продукции составили 93 копеек.

Основными источниками резервов снижения себестоимости промышленной продукции являются:

- увеличение объема ее производства;

- сокращение затрат на ее производство за счет повышения уровня производительности труда, экономного использования сырья, материалов, электроэнергии, топлива, оборудования, сокращения непроизводительных расходов, производственного брака и т.д.

Резервы увеличения производства продукции выявляются в процессе анализа выполнения производственной программы. При увеличение объема производства продукции возрастает только переменные затраты (прямая заработная плата, прямые материальные расходы и т. д.), сумма же постоянных расходов, как правило, не изменяется, в результате снижения себестоимости изделий.

Резервы сокращения затрат выявляются по каждой статье расходов за счет конкретных организационно-технических мероприятий (внедрение новой более прогрессивной техники и технологии производства, улучшение организации труда и т. д.), которые будут способствовать экономии заработной платы, сырья, материалов, энергии и т д.

2.5. Анализ ликвидности баланса

Задача анализа ликвидности баланса возникает в условиях рынка в связи с усилением жесткости финансовых ограничений и необходимостью давать оценку кредитоспособности предприятия, то есть его способности своевременно и полностью рассчитываться по своим обязательствам. Ликвидность баланса определяется как степень покрытия обязательств предприятия его активами, которая определяется как величина, обратная времени, необходимому для превращения их в денежные средства. Чем меньше время, которое потребуется, чтобы данный вид активов превратился в деньги, тем выше его ликвидность.

Анализ ликвидности баланса может проводиться с использованием абсолютных и относительных показателей.

Проведем анализ ликвидности баланса ОАО «УралАТИ» через абсолютные показатели. Данный анализ заключается в сравнении средств по активу, сгруппированных по степени их ликвидности, с обязательствами по пассиву, сгруппированным по срокам их погашения и расположенными в порядке возрастания сроков.

В зависимости от степени ликвидности, то есть скорости превращения в денежные средства, активы предприятия разделяются на следующие группы:

1. Ликвидные активы (группа А1) – денежные средства предприятия и краткосрочные финансовые вложения.

А11 = 6543 тыс. руб. А12 = 16271 тыс. руб.

2. Быстро реализуемые активы (группа А2) – статьи раздела II актива баланса «Дебиторская задолженность» + «Прочие оборотные активы».

А21 = 157972 тыс. руб. А22 = 242158 тыс. руб.

3. Медленно реализуемые активы (группа А3) – статьи раздела II актива баланса «Запасы» за исключением «Расходов будущих периодов» + « НДС по приобретенным ценностям» + статья раздела I актива баланса « Долгосрочные финансовые вложения».

А31 = 236793 тыс. руб. А32 = 193489 тыс. руб.

4. Трудно реализуемые активы (группа А4) – статьи раздела I актива баланса « Внеоборотные активы» за исключением «Долгосрочных финансовых вложений».

А41 =175179 тыс. руб. А42 = 162890 тыс. руб.

Пассивы баланса группируются по степени срочности их оплаты.

5. Наиболее срочные обязательства (группа П1) – кредиторская задолженность.

П 11 = 69868 тыс. руб. П 12 = 121882 тыс. руб.

6. Краткосрочные обязательства (группа П2) – статьи раздела V пассива баланса «Краткосрочные заемные средства» + «Расчеты по дивидендам» + «Прочие краткосрочные обязательства».

П21 = 0 тыс. руб. П22 = 0 тыс. руб.

7. Долгосрочные обязательства (группа П3) – статьи раздела IV пассива баланса «Долгосрочные обязательства».

П31 = 1791 тыс. руб. П32 = 2885 тыс. руб.

8. Постоянные пассивы (группа П4) – статьи раздела III «Капитал и резервы» за минусом статьи раздела II актива « Расходы будущих периодов» + статьи раздела V пассива «Доходы будущих периодов», «Фонды потребления», «Резервы предстоящих расходов и платежей»

9. П41 = 289864 тыс. руб. П42 = 571398 тыс. руб.

Для определения ликвидности баланса следует сопоставить итоги приведенных групп по активу и пассиву. Баланс считается абсолютно ликвидным, если имеют место следующие соотношения:

А1 > П1; А2 > П2; А3 > П3; А4 < П4;

Выполнение первых трех неравенств с необходимостью влечет выполнение и четвертого неравенства, поэтому практически существенным является сопоставление итогов первых трех групп по активу и пассиву. Четвертое неравенство носит «балансирующий характер», и в то же время оно имеет глубокий экономический смысл: его выполнение свидетельствует о соблюдении минимального условия финансовой устойчивости – наличии у предприятия собственных средств. Для ОАО «УралАТИ» система неравенств будет выглядеть следующим образом:

На 1 января 2007 года:

6543 < 69868; 157972 > 0; 236793 > 1791; 175179 < 289864

На 1 Января 2008 года:

16271 < 121882; 242158 > 0; 193489> 2885; 162890 < 571398.

Как видно, первое неравенство имеет знак, противоположный зафиксированному. Сопоставление наиболее ликвидных средств и быстро реализуемых активов с наиболее срочными обязательствами и краткосрочными пассивами, то есть суммы А1 и А2 с суммой П1 и П2, позволяет охарактеризовать текущую ликвидность предприятия. Для ОАО « УралАТИ» на 1 Января 2008 года: 242158 > 121882

Данное неравенство свидетельствует о том, что на ближайшее к рассматриваемому периоду времени предприятие не будет иметь особых проблем с платежеспособностью.

Сравнение медленно реализуемых активов с долгосрочными пассивами, то есть группы А3 с группой П3, отражает перспективную ликвидность предприятия.

А3 > П3

Для ОАО «УралАТИ» данное неравенство на 1 Января 2008 года имеет вид: 193489> 2885

Сравнение медленно реализуемых активов с долгосрочными пассивами, то есть группы А3 с группой П3, отражает перспективную ликвидность предприятия. Медленно реализуемые активы превысили долгосрочные обязательства, но в силу низкой ликвидности этот излишек не может быть направлен на осуществление текущих платежей и в ближайшем будущем, что не может повлиять на свою платежеспособность.

На конец отчетного периода постоянные пассивы превысили на 408508 тыс. руб. трудно реализуемые активы.

Таким образом, предприятие платежеспособно, но недостаточно высокой платежеспособностью.

Коэффициенты ликвидности позволяют определить способность предприятия оплатить свои краткосрочные обязательства.

Коэффициент общей (текущей) ликвидности характеризует общую обеспеченность предприятия оборотными средствами для ведения хозяйственной деятельности и своевременного погашения срочных обязательств на 2 – 3 месяца вперед, дает общую оценку ликвидности активов, показывая, сколько рублей текущих активов предприятия на 1 рубль текущих обязательств.

ОбС

К1 = -------------; (2.6)

КрО

Где: ОбС – оборотные средства предприятия;

КрО – краткосрочные обязательства;

Рассчитаем коэффициенты текущей ликвидности ОАО «УралАТИ» на 1 января 2007 года и на 1 января 2008 года.

406900

К11 = --------------- = 1,43;

285376

458210

К12 = --------------- = 1,23;

372437

Согласно нормам считается, что этот коэффициент должен находиться в пределах больше 2. Нижняя граница обусловлена тем, что текущих активов должно быть по меньшей мере достаточно для погашения краткосрочных обязательств, иначе предприятие может оказаться неплатежеспособным по этому виду кредита. Превышение оборотных активов над краткосрочными обязательствами более чем в два раза считается также нежелательным, поскольку свидетельствует о нерациональном вложении средств и неэффективном их использовании.

Коэффициент текущей ликвидности понизился за отчетный период с 1,43 до 1,23, но остается ниже нормального значения как на начало, так и на конец отчетного периода. Это говорит о низких платежных возможностях предприятия.

Разновидностью коэффициента текущей ликвидности является коэффициент быстрой ликвидности (критической ликвидности). По смысловому значению показатель аналогичен коэффициенту текущей ликвидности, но он исчисляется по более узкому кругу текущих активов, когда из расчета исключена наименее ликвидная их часть – производственные запасы и затраты. Коэффициент быстрой ликвидности характеризует ликвидность предприятия на 1 – 2 месяца вперед и должен иметь значение не менее 0.8.

Подсчет этого показателя вызван тем, что ликвидность отдельных категорий оборотных средств далеко не одинакова, и если, например, денежные средства могут служить непосредственным источником выплаты текущих обязательств, то запасы могут быть использованы для этой цели лишь после их реализации, что предполагает не только наличие покупателя, но и наличие у покупателя денежных средств.

Коэффициент быстрой ликвидности определяется по формуле:

ДСА

К2 = ------------; (2.7)

КрО

где: ДСА – денежные средства, расчеты и прочие активы.

406900 - 238214

К21 = ----------- = 0,59;

285376

458210 - 193703

К22 = ----------- = 0,71;

372437

Коэффициент быстрой ликвидности увеличился с 0,59 до 0,71.

Наиболее ликвидными статьями оборотных средств являются денежные средства, которыми располагает предприятие на счетах в банке и в кассе, а также в виде ценных бумаг. Поэтому при анализе ликвидности баланса рассчитывается также коэффициент абсолютной ликвидности. Он является наиболее жестким критерием ликвидности предприятия и показывает, какая часть краткосрочных заемных обязательств может быть при необходимости погашена немедленно. Рекомендуемая нижняя граница показателя 0,2.

ДСФ

К3 = ---------------; (2.8)

КрО

где: ДСФ – сумма денежных средств и краткосрочных финансовых вложений.

6543

К31 = -------------- = 0,02;

285376

16271

К32 = -------------- = 0,04;

372437

Коэффициент абсолютной ликвидности за период с 1.01.07г. по1.01.08г. повысился с 0,02 до 0,04. У предприятия нет средств на расчетном счете, оно не способно расплатиться по долгам, не допуская обращения взыскания на свое имущество. Оно не может мгновенно погасить ни одного из своих обязательств.

Анализируя рассчитанные коэффициенты текущей, критической и абсолютной ликвидности, можно сделать следующий вывод. В целом коэффициенты ликвидности свидетельствуют о достаточно плохой платежеспособности предприятия. Оно не имеет в достаточном размере оборотных средств.

Таким образом, результаты анализа ликвидности баланса с использованием абсолютных и относительных показателей совпадают.

2.6. Анализ финансовой устойчивости ОАО «УралАТИ»

2.6.1. Расчет показателей финансовой устойчивости

Следующей важной задачей методики анализа финансового состояния является оценка финансовой устойчивости предприятия.

При возникновении договорных отношений между предприятиями, у них появляется обоюдный интерес к финансовой устойчивости друг друга.

Стабильность работы предприятия связана с общей его финансовой структурой, степенью его зависимости от внешних кредиторов и инвесторов. Так, многие предприятия в процессе своей деятельности помимо собственного капитала привлекают значительные средства, взятые в долг.

Финансовая устойчивость характеризуется соотношением собственных и заемных средств. Насколько оптимально соотношение собственного и заемного капитала во многом зависит финансовое положение предприятия. Выработка правильной финансовой стратегии помогает многим предприятиям повысить эффективность своей деятельности.

Показатели ликвидности и финансовой устойчивости взаимодополняют друг друга и в совокупности дают представление о благополучии финансового состояния предприятия: если у предприятия обнаруживаются плохие показатели ликвидности, но финансовая устойчивость им не потеряна, то у предприятия есть шансы выйти из затруднительного положения. Но если неудовлетворительны и показатели ликвидности, и показатели финансовой устойчивости, то такое предприятие – вероятный кандидат в банкроты.

Для оценки финансовой устойчивости определяют абсолютные и относительные показатели. Абсолютные показатели позволяют классифицировать финансовые ситуации по степени их устойчивости.

Определим следующие показатели:

1. Излишек (+) или недостаток (-) собственных оборотных средств предприятия. Характеризует обеспеченность запасов и затрат собственными оборотными средствами.

К4 = СОС – ЗЗ; (2.9)

где: СОС – сумма собственных оборотных средств предприятия.

ЗЗ – запасы и затраты.

К41 = 406900 – 1053556 = -646656; К42 = 458210 – 977600 = -519390;

2. Излишек (+) или недостаток (-) собственных и приравненных к ним долгосрочных заемных средств. Характеризует обеспеченность запасов и затрат собственными и приравненными к ним средствами.

К5 = СОС дз – ЗЗ; (2.10)

где: СОС дз – сумма собственных и приравненных к ним долгосрочных заемных средств.

К51 = 406900 – 1053556 = -646656; К52 = 458210 – 977600 = -519390; 3. Излишек (+) или недостаток (-) собственных и приравненных к ним долгосрочных и краткосрочных заемных средств. Характеризует обеспеченность запасов и затрат всеми источниками их формирования (собственными и заемными).

К6 = СОС дкз – ЗЗ; (2.11)

где: СОС дкз – сумма собственных, долгосрочных и краткосрочных заемных средств.

К41 = 622408 – 1053556 = -431148; К42 = 708765 – 977600 = -268835;

Полученные значения показателей свидетельствуют о стабилизируещемся финансовом состоянии предприятия.

Относительные показатели финансовой устойчивости используют для оценки доли запасов, сформированных за счет собственных средств. Рассчитаем относительные показатели финансовой устойчивости предприятия.

Коэффициент обеспеченности запасов и затрат собственными оборотными средствами показывает, в какой мере материальные запасы покрыты собственными источниками и не нуждаются в привлечении заемных. Рассчитывается по формуле:

СОС

К7 = ------------------; (2.12)

ЗЗ

где: СОС – сумма собственных оборотных средств;

ЗЗ – величина запасов и затрат предприятия средств.

Рекомендуемый критерий К об > 0,6.

406900

К71 = ---------------- = 0,39;

1053556

458210

К72 = ---------------- = 0,47;

977600

Полученные значения коэффициента обеспеченности запасов и затрат собственными средствами свидетельствуют о том, что запасы на предприятии финансируются не только за счет кредиторской задолженности, но и за счет собственных источников.

Коэффициент обеспеченности запасов и затрат собственными оборотными средствами . Характеризует обеспеченность оборотных средств собственными и приравненными к ним долгосрочными заемными средствами.

СОС дз

К8 = ------------------; (2.13)

ЗЗ

406900

К81 = ----------------- = 0,39;

1053556

458210

К82 = ----------------- = 0,47;

977600

Нормальное ограничение для К8 > 1. За отчетный период коэффициент обеспеченности запасов и затрат собственными оборотными средствами увеличивается.

2.7. Анализ деловой активности предприятия.

Коэффициенты деловой активности позволяют проанализировать, на сколько эффективно предприятие использует свои средства. Как правило, к этой группе относятся различные показатели оборачиваемости.

Показатели оборачиваемости имеют большое значение для оценки финансового положения предприятия, поскольку скорость оборота средств, то есть скорость превращения их в денежную форму, оказывает непосредственное влияние на платежеспособность предприятия. Кроме того, увеличение скорости оборота средств при прочих равных условиях отражает повышение производственно-технического потенциала предприятия.

Наиболее распространенным является коэффициент оборачиваемости активов (или коэффициент трансформации) – отношение выручки от реализации продукции ко всему итогу актива баланса, - характеризует эффективность использования предприятием всех имеющих ресурсов, независимо от источников их привлечения, то есть показывает, сколько раз за год (или другой отчетный период) совершается полный цикл производства и обращения, приносящий соответствующий эффект в виде прибыли, или сколько денежных единиц реализованной продукции принесла каждая денежная единица активов. Рассчитывается по формуле:

ВР

К9 = ----------, (2.14)

ВБср

Где: ВР – выручка (нетто) от реализации продукции, товаров, работ, услуг (за минусом налога на добавленную стоимость, акцизов и аналогичных обязательных платежей);

ВБср – сумма средней величины валюты баланса.

1155935

К91 = ---------------------- = 1,85;

625795

1037391

К92 = ---------------------- = 1,66;

625795

Оборачиваемость может считаться эффективной при получении значения больше единицы. В данном случае это условие выполняется.

Коэффициент оборачиваемости оборотных средств показывает скорость оборота всех оборотных средств организации (как материальных, так и денежных). Рассчитывается по формуле:

ВР

К10 = -------------, (2.15)

ОСср

где ОС ср. – сумма средней величины оборотных средств в виде затрат, денежных средств, дебиторской задолженности и прочих оборотных средств предприятия.

1155935

К101 = ------------------ = 2,67;

432555

1037391

К102 = ----------------- = 2,40;

432555

Оборачиваемость оборотного капитала может считаться эффективной при получении значения не менее трех оборотов в год. У анализируемого предприятия оборачиваемость оборотных средств низкая. За данный период оборачиваемость ниже нормы.

Коэффициент оборачиваемости основных средств (или фондоотдача ) характеризует оборачиваемость иммобилизированных средств, рассчитывается как частное от деления объема реализованной продукции на среднегодовую стоимость основных средств. Повышение фондоотдачи, помимо увеличения объема реализованной продукции, может быть достигнута как за счет относительно невысокого удельного веса основных средств, так и за счет их более высокого технического уровня. Разумеется, ее величина сильно колеблется в зависимости от особенностей отрасли и ее капиталоемкости. Однако общие закономерности здесь таковы, что чем выше фондоотдача, тем ниже издержки отчетного периода. Низкий уровень фондоотдачи свидетельствует либо о недостаточном объеме реализации, либо о слишком высоком уровне вложений в эти виды активов. Рассчитывается по формуле:

ВР

Ко оср = -------------; (2.16)

ОС ср

где: ОС ср – сумма средней величины основных средств предприятия.

1155935

Ко оср1 = ------------------ = 3,45;

335168,5

1037391

Ко оср2 = ------------------ = 3,10;

335168,5

Следует отметить, что, как уже было сказано, на складе предприятия находится количество продукции, не находящей сбыта. При реализации этой продукции фондоотдача, несомненно, возрастет. Ситуация на 1.01.200 года такова: на каждый рубль, вложенный в основные средства, приходится 3,10 рубля, полученных в результате реализации продукции.

2.8. Анализ рентабельности ОАО «УралАТИ»

Коэффициенты рентабельности показывают, насколько прибыльна деятельность предприятия. Эти коэффициенты рассчитываются как отношение полученной прибыли к затраченным средствам, либо как отношение полученной прибыли к объему реализованной продукции.

Наиболее часто используемыми показателями являются коэффициенты общей рентабельности предприятия, рентабельности реализованной продукции, расчетной рентабельности и рентабельности собственного капитала.

Коэффициент общей рентабельности предприятия рассчитывается делением балансовой прибыли на сумму основных и оборотных фондов предприятия. Он показывает, сколько денежных единиц прибыли (копеек) получено предприятием с единицы стоимости активов (1 рубля) независимо от источников привлечения средств. Этот показатель является одним из наиболее важных индикаторов конкурентоспособности предприятия. Рассчитывается по формуле:

ПБ

Р общ = ----------------- ; (2.17)

ОС + ОбС

402

Р общ = -------------- = 0,0005 (0,05%)

810855

Рентабельность реализованной продукции исчисляется путем отношения прибыли от реализации к сумме затрат по произведенной и реализованной продукции:

ПР

Рс = ------------; (2.18)

СБ

44874

Рс = ------------ = 0,05 ( или 5% )

896098

Полученное значение показывает, что предприятие имеет 1,21 копеек прибыли с каждого рубля, затраченного на производство и реализацию продукции.

Коэффициент расчетной рентабельности рассчитывается посредством

деления чистой прибыли на сумму основных и оборотных средств предприятия.

ЧП

Р расч = ------------ ; (2.19)

ОС + ОбС

-7448

Р расч = -------------- = -0,009 ( или -0,9% )

810855

Заключение

Эффективное производство - основной аспект достижения предприятием поставленных перед ним целей, реализации комплекса социально-экономических задач. Основа эффективного производства - рациональное использование всех, находящихся в распоряжении предприятия, ресурсов, главные из которых - материальные, трудовые ресурсы, основные производственные фонды и оборотные средства.

Цель курсовой работы заключается в проведении анализа финансово – хозяйственной деятельности ОАО «УралАТИ» и рекомендованы мероприятия по улучшению деятельности.

В первом разделе курсовой работы рассмотрены основные и оборотные фонды предприятия. Наблюдается тенденция уменьшения доли оборотных производственных фондов в оборотных средствах, что является негативным фактором в деятельности предприятия.

Причиной этому явилось увеличение остатков готовой продукции. Активная работа по стимулированию средств в сферу производства является одним из направлений совершенствования деятельности предприятия.

Также в первом разделе рассмотрена структура объема продукции. В 2008 году по сравнению с 2007 годом значительно сократился удельный вес продажи товаров и услуг, за счет увеличения удельного веса готовой продукции.

Чтобы «выжить» предприятию необходимо перепрофилироваться на другие изделия, рынок в которых не насыщен.

Анализ финансового состояния ОАО «УралАТИ» проведенный в третьем разделе курсовой работы показал, что:

- предприятие находится в состоянии абсолютной финансовой неустойчивости;

- кредиторская задолженность используется не по назначению – как источник формирования запасов. В случае одновременного востребования запасов может и не быть вовсе.

Также снизилась прибыль и это отрицательно сказывается на деятельности предприятия, это можно предположить о сокращении спроса на продукцию.

Предприятие ОАО «УралАТИ» является неплатежеспособным, так как соблюдается одно из условий неплатежеспособности предприятия – коэффициент текущей ликвидности на конец 2008 года составил 1,23. Предприятие оказалось неплатежеспособным в связи с задолженностью сторонних организаций за поставленную продукцию.

С целью улучшения финансового состояния предприятия предлагается следующее:

- расширенное действие службы бюро внешних связей, поиск рынков сбыта;

- следить за соотношением дебиторской и кредиторской задолженности;

- освоение новых видов продукции, как можно больше затрагивать рынки народного потребления.

Результатом проведения этих мероприятий будет пополнении оборотного капитала, повышение ликвидности баланса.

На сегодняшний день основой выживания ОАО «УралАТИ» в условиях рыночной экономики должны стать высокий уровень подготовки специалистов, организации производства и жестокий спрос за результаты производственно-хозяйственной деятельности со всех исполнителей.

Литература

1. О бухгалтерском учете: Федеральный закон от 21 ноября 1996 г. №129 – ФЗ (с изменениями и дополнениями от 23.07.98г.)

2. Об акционерных обществах: Федеральный закон от 26.12.95г. №208-ФЗ (в ред. 7.08. 2001г. №120 – ФЗ)

3. О несостоятельности (банкротстве) предприятий: Федеральный закон от 08 января 1998 г. №6-ФЗ

4. Абрютина М.С. Анализ финансово - экономической деятельности предприятия: Учебное пособие. - М.: Дело и Сервис, 2001.

5. Баканов М.И., Шеремет А.Д. Экономический анализ: ситуации, тесты, примеры, задачи, выбор оптимальных решений, финансовое прогнозирование. М.: Финансы и статистика, 2000.

6. Баканов М.И., Шеремет А.Д. Теория экономического анализа. - М: Финансы и статистика, 2001.

7. Богатко А.Н. Основы экономического анализа хозяйствующего субъекта. -М: Финансы и статистика, 1999.

8. Вакуленко Т.Г., Фомина Л.Ф. Анализ бухгалтерской (финансовой) отчетности для принятия управленческих решений. – СПб.: Издательский дом Герда», 2002.

9. Волков И.М. Проектный анализ. - М.: Проспект, 2000.

10. Ветрова Н.В. Расчет прибыли на предприятии // Финансы - 1997 - №12.

11. Ковалев В.В. Волкова О.Н. Анализ хозяйственной деятельности предприятия. - М: Проспект, 2000.

12. Любушин Н.Г. Анализ финансово- экономической деятельности предприятия. - М.: ЮНИТ - ДАНА, 2000.

13. Савицкая Г.В. Анализ хозяйственной деятельности предприятия. - Минск: 000 Новое знание, 1998, 498с.

14. Сергеев И.В. Экономика предприятия: Учебное пособие - М.: Финансы и статистика, 1997.