Статья: Квантовая модель тяготения
|
Название: Квантовая модель тяготения Раздел: Рефераты по математике Тип: статья |
|
Анатолий Иванович Гринчик Введение В квантовой электродинамике взаимодействие между заряженными частицами осуществляется путем обмена фотонами: одна из взаимодействующих частиц испускает фотон, который, перемещаясь в пространстве с конечной скоростью, достигает второй взаимодействующей частицы и изменяет состояние ее движения. Заряженная частица непрерывно испускает и поглощает фотоны, которые образуют, окружающее ее, электромагнитное поле. Энергия фотона W связана с частотой электромагнитного излучения ν: W = hν, где h - постоянная Планка. В свою очередь, частота электромагнитного излучения, регистрируемая приемником, зависит от относительного движения источника и приемника этого излучения. Следовательно, сила взаимодействия между заряженными частицами зависит от их относительной скорости. Схожесть законов Кулона и всемирного тяготения заставляет думать, что аналогичным механизмом обладает и гравитационное взаимодействие: массивные тела обмениваются квантами гравитационной энергии, вследствие чего происходит их взаимное сближение. При этом скорость, приобретаемая каждым телом в результате взаимодействия, напрямую зависит от количества гравитационной энергии, поглощаемой им за единицу времени. Рассмотрим систему, состоящую из двух одинаковых гравитационных источников, расположенных на некотором расстоянии друг от друга. Пробное тело, помещенное в середину отрезка, соединяющего данные источники, поглощает за единицу времени от каждого из них одно и то же количество гравитационной энергии
где Q - энергия, поглощаемая пробным телом от каждого источника за время t. Результирующая сила тяготения в рассматриваемой точке системы равна нулю. Пробное тело сохраняет состояние покоя. В случае движения пробного тела со скоростью v через рассматриваемую точку системы, в сторону одного из источников, возникает неуравновешенная сила тяготения, так как в направлении своего движения пробное тело поглощает за единицу времени гравитационную энергию в количестве
а с противоположной стороны -
где u - скорость распространения гравитационной энергии. Может ли эта, неуравновешенная сила тяготения, возникающая вследствие движения тел, являться причиной инерции? Допустим, наше предположение соответствует действительности. Тогда необходимо признать, что любое движение, в том числе и равномерное, возможно только при наличии некоторой силы, приложенной к движущемуся телу. В рассмотренном выше примере пробное тело, двигаясь с постоянной скоростью v, за равные промежутки времени поглощает равные порции неуравновешенной гравитационной энергии
Если эта энергия является единственной причиной движения тела, его скорость будет равна
где k - коэффициент пропорциональности. Из последней формулы вытекает условие равномерного движения пробного тела для рассмотренного примера: 2kE = u. Найденное условие может быть создано сразу для всех направлений в центре однородного по плотности шара. А если предположить, что радиус гравитационного взаимодействия имеет конечную величину R G, то любую точку пространства можно считать центром такого шара. В этом случае движущееся тело взаимодействует только с той частью вселенной, которая расположена внутри сферы с радиусом R G, окружающей данное тело. Многие попытки объяснить возникновение гравитационной силы механическим взаимодействием массивных тел с частицами эфира закончились неудачно. Основной недостаток подобного подхода - сопротивление эфира движущемуся телу, не наблюдаемое на опыте. Действительно, в направлении движения столкновения с частицами эфира всегда происходят чаще, чем в любом другом направлении, что и приводит к замедлению тела. Но если несколько иначе посмотреть на природу массивных тел, можно построить эфирную модель тяготения лишенную данного недостатка. Основные определения Наверное, всем приходилось видеть бегущие огни на елочной гирлянде. Последовательное включение и выключение лампочек создает полную иллюзию их перемещения. Представим, что движение массивных тел основано на том же принципе. То есть, массивные тела не движутся сквозь эфир, а они собственно и есть эфир, но в особом возбужденном состоянии. Проиллюстрируем сказанное (рис. 1). Окружающее нас пространство заполнено гравитационным эфиром - неподвижной средой, являющейся проводником гравитационного излучения. Гравитационный эфир состоит из отдельных элементов, взаимодействующих друг с другом. Взаимодействие происходит путем передачи порции энергии, или, другими словами, гравитационного импульса от возбужденного элемента гравитационного эфира к невозбужденному элементу. Невозбужденный элемент, поглотивший гравитационный импульс, переходит в возбужденное состояние, а затем, передав этот импульс следующему элементу, возвращается в первоначальное состояние. (На рисунке возбужденные и невозбужденные элементы гравитационного эфира изображены, соответственно, черными и белыми точками.) Возбужденный элемент гравитационного эфира, окруженный со всех сторон такими же возбужденными элементами, остается в этом состоянии как угодно долго, так как два возбужденных элемента не могут обменяться гравитационными импульсами. Именно такой механизм распространения гравитационной энергии соответствует принципу Гюйгенса.
Рис. 1 Сферическая область гравитационного эфира, состоящая исключительно из возбужденных элементов, является наименьшей частицей массивных тел - массоном. Масса тела определяется числом массонов, входящих в его состав. Расстояние l между двумя соседними элементами гравитационного эфира будем называть квантом пространства. Очевидно, что любое перемещение, совершаемое массоном, должно быть кратным l. Из рис. 2 видно, как оно происходит.
Рис. 2 С одной стороны массон поглощает гравитационную энергию, путем присоединения к себе новых возбужденных элементов гравитационного эфира, а с противоположной стороны излучает такое же количество энергии, за счет перехода элементов эфира, принадлежащих ранее массону, в невозбужденное состояние. Перемещение происходит в том направлении, в котором разность поглощаемой и излучаемой гравитационной энергии положительна. Например, если массон в течение некоторого времени поглощал и излучал гравитационную энергию в количестве указанном на рис. 3, то он переместится на расстояние
в направлении оси OX. (Здесь и в дальнейшем минимальное количество гравитационных импульсов, необходимых для перемещения массона на расстояние l, будем считать одним квантом гравитационной энергии.)
Рис. 3 Таким образом, массивные тела есть форма существования гравитационной энергии, а их движение является перераспределением этой энергии в пространстве. Анализ предложенного механизма перемещения показал, что от любого воздействия массивные тела практически мгновенно должны приобретать скорость равную скорости распространения гравитационной энергии. Для того чтобы этого не происходило, и наша модель точно описывала движение реальных тел, необходимо сделать еще одно допущение: гравитационная энергия, достигнувшая поверхности массона, поглощается им не сразу, а спустя определенный интервал времени T, который в дальнейшем будем называть квантом времени. То есть, массон перемещается на расстояние l через промежуток времени T, после того, как его поверхности достиг один квант гравитационной энергии. Гравитационные импульсы, испускаемые массоном во всех направлениях, образуют гравитационное поле массона. Гравитационные импульсы, поглощаемые массоном со всех направлений, образуют гравитационное поле вселенной. Направленный поток гравитационных импульсов представляет собой гравитационное излучение, скорость распространения которого u(r) зависит от пройденного им расстояния:
где u - скорость распространения гравитационного излучения в начальный момент испускания в непосредственной близости от гравитационного источника; r - расстояние, пройденное гравитационным излучением от точки испускания; H - постоянная, показывает на какую величину face=Verdana, Δu изменится скорость гравитационного излучения за единицу пройденного им пути Δr:
Найдем предельный радиус гравитационного взаимодействия R G, считая, что u(R G) = 0:
Напряженность гравитационного поля G в заданной точке пространства и в заданном направлении определяется следующей формулой:
где l - квант пространства; T - квант времени; n - число квантов гравитационной энергии, прошедшей за время T через площадку s, равную по площади проекции массона на плоскость; i - единичный вектор нормали к площадке s, начало и направление которого совпадают, соответственно, с заданной точкой пространства и с заданным направлением (рис. 4).
Рис. 4 Гравитационное поле одиночного источника Рассмотрим гравитационное поле, создаваемое частицей массой M. Расположим площадку s так, чтобы единичный вектор i был направлен в сторону центра частицы, а его начало совпало с рассматриваемой точкой поля (рис. 5). (В этом случае i = - r/r, где r - радиус - вектор, соединяющий центр частицы с рассматриваемой точкой поля.)
Рис. 5 Пусть один массон в течение кванта времени T испускает m квантов гравитационной энергии. Тогда частица, состоящая из M массонов, за то же время T будет испускать кванты гравитационной энергии в количестве mM. Через площадку s за один квант времени T будет проходить гравитационная энергия в количестве
где ε - объемная плотность гравитационной энергии в излучении на расстоянии r от источника:
Из формул (1), (2), (4) и (5) получим
Подставив полученное выражение для n в формулу (3), найдем напряженность гравитационного поля на расстоянии r от источника с массой M:
Полученную формулу можно упростить для расстояний uT << r << R G:
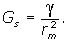
Введем гравитационную постоянную:
Формула (6) примет классический вид:
В случае движения площадки s со скоростью v, относительно гравитационного эфира, изменится число квантов гравитационной энергии, пересекающей площадку s за время T. Перепишем формулу (4) с учетом движения площадки s:
где color=#000000>θ - угол, образованный вектором скорости v с радиусом - вектором r. Полная формула для определения напряженности гравитационного поля на расстоянии r от источника с массой M, учитывающая абсолютное движение приемника гравитационного излучения, будет выглядеть следующим образом:
Гравитационное поле вселенной Определим напряженность гравитационного поля созданного совокупной массой вселенной, в заданной точке пространства O и в заданном направлении (рис. 6).
Рис. 6 Будем считать, что точка O расположена достаточно далеко от одиночных источников гравитационного излучения. Расположим площадку s таким образом, чтобы начало и направление единичного вектора i, нормали к площадке s, совпали, соответственно, с заданной точкой пространства O и с заданным направлением. Введем декартову систему координат так, чтобы ее начало совпало с заданной точкой O, а направление оси OZ совпало с заданным направлением. Ось OX зафиксируем в произвольном направлении. Искомую напряженность гравитационного поля создают только те источники гравитационного излучения, координаты которых удовлетворяют условию:
Область V, удовлетворяющая данному условию, есть полушарие. Разобьем область V на элементарные объемы V k, включающие в себя точки O k. Каждый элементарный объем V k вносит свой вклад в искомую напряженность гравитационного поля в виде
где ρ k - плотность вещества в элементарном объеме V k, а x k, y k, z k - координаты точки O k. Предположим, что вещество во вселенной распределено равномерно по всему объему, тогда, при V k → 0, получим суммарную напряженность гравитационного поля G s в заданной точке пространства и в заданном направлении:
где ρ s - средняя плотность вещества во вселенной. При переходе от декартовых координат x, y, z к сферическим координатам r, θ, φ, связанным с x, y, z соотношениями: x = rsinθcosφ, y = rsinθsinφ, z = rcosθ, якобиан преобразования J = r 2sinθ и формула (8) примет вид:
Сферические координаты изменяются в следующих пределах:
Вычислив интеграл, получим искомую напряженность гравитационного поля, созданного совокупной массой вселенной:
Напряженность гравитационного поля, созданного совокупной массой вселенной, можно найти другим способом. Из закона сохранения энергии следует, что массон в течение кванта времени T должен испускать и поглощать одно и то же количество квантов гравитационной энергии. То есть, внутри сферы с радиусом uT, окружающей заданную точку пространства, находятся m гравитационных квантов, испущенных совокупной массой вселенной, которые будут поглощены массоном в течение одного кванта времени T. Следовательно, через единицу площади поверхности массона за время T проходят гравитационные кванты в количестве
где r m - радиус массона. Через площадку s, равную по площади
расположенную в той же точке пространства, за время T будут проходить гравитационные кванты в количестве
Подставив значение n в формулу (3), найдем искомую напряженность гравитационного поля
Приравняем правые части формул (9) и (10):
Подставив значение face="Times New Roman, Times, serif" γ из формулы (7) в последнее уравнение, найдем среднюю плотность вещества во вселенной:
С учетом найденной плотности ρ s модуль напряженности гравитационного поля, созданного совокупной массой вселенной, будет равен
Формулы (9) и (10) справедливы для любой точки пространства, достаточно удаленной от одиночных источников гравитационного излучения, и для любого направления. Поэтому результирующая напряженность гравитационного поля в этих точках пространства равна нулю. Относительно приемника излучения, движущегося со скоростью v в абсолютной системе отсчета, симметрия гравитационного поля, созданного совокупной массой вселенной, будет нарушена:
где θ - угол, образованный вектором скорости v с радиусом - вектором r, соединяющим приемник и источник гравитационного излучения. (Направление единичного вектора i, нормали к площадке s, совпадает с направлением вектора скорости v.) Вычислив интеграл, получим:
Движение тела в гравитационном поле Исходя из предложенной модели, рассмотрим свободное падение пробного тела в гравитационном поле одиночного источника излучения. Пусть одиночный источник в месте нахождения пробного тела создает гравитационное поле с напряженностью
Будем считать, что некая сила удерживает пробное тело в неподвижном положении, относительно источника. В момент времени t 0 удерживающая сила исчезает. С момента времени t 0 до момента времени t 1 = t 0 + T пробное тело остается неподвижным. При этом со стороны одиночного источника излучения к поверхности каждого массона пробного тела, поступает на n 0 гравитационных квантов больше, чем с любой другой стороны. Поэтому, в течение следующего кванта времени T, с момента времени t 1 до момента времени t 2 = t 1 + T, пробное тело совершит n 0 перемещений l в направлении одиночного источника гравитационного излучения. Таким образом, если за промежуток времени T = t 1 - t 0 средняя скорость пробного тела была равна нулю: v 0 = 0, то в течение следующего кванта времени T = t 2 - t 1 она составила величину
(В дальнейшем скорость тела, измеренную в течение одного кванта времени T, будем называть мгновенной скоростью.) Результирующая напряженность гравитационного поля, измеренная относительно движущегося тела за промежуток времени T = t 2 - t 1, будет равна
Такой же будет мгновенная скорость пробного тела в течение следующего кванта времени T = t 3 - t 2:
Мгновенная скорость тела, измеренная в течение (k+1) - го кванта времени, равна результирующей напряженности гравитационного поля, измеренной, относительно движущегося тела, в течение k - го кванта времени:
где k = 0, 1, 2, 3, … Если пробное тело движется в гравитационном поле с напряженностью G в произвольном направлении, его мгновенная скорость v k +1 будет равна
где θ - угол, образованный вектором скорости v k с вектором напряженности гравитационного поля G. Если в момент времени t k = t 0 + kT прекратит поступать гравитационная энергия от одиночного источника, то, начиная с момента времени t k +1 = t 0 + (k+1)T, мгновенная скорость пробного тела будет равна
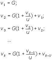
При условии 8Gs = 3u она останется такой же и в дальнейшем, то есть будет иметь место инерция. Запишем, с учетом инерции, ряд мгновенных скоростей, приобретаемых телом в гравитационном поле с напряженностью G, с первого по k - ый квант времени:
Подставив значение скорости v 1 в формулу для скорости v 2, затем, полученное выражение для скорости v 2, в формулу для скорости v 3 и так далее, найдем выражение для скорости v k:
Найдем мгновенное ускорение, приобретаемое телом в гравитационном поле с напряженностью G:
Путь, пройденный телом в гравитационном поле с напряженностью G с нулевого по k - ый квант времени включительно, будет равен
Допустим, что в течение кванта времени T тело переместилось из точки A в точку B со скоростью v k (рис. 7). В течение следующего кванта времени T рассматриваемое тело продолжило бы двигаться по прямой AC в силу инерции, если бы наличие источника гравитационного излучения в точке O не изменило направление его скорости.
Рис. 7 Найдем условие равномерного движения тела по окружности радиусом r. Значение скорости тела при таком движении остается постоянным: v k +1 = v k = v, а ее направление постоянно меняется:
Из подобия треугольников OBD и BCD следует
или
откуда находим искомое условие:
Заметим, что в классической механике
что приводит к результату
Заключение В заключение хотелось бы остановиться на некоторых следствиях, вытекающих из предложенной модели. Допустим, что в какой-либо части вселенной плотность вещества превысила величину ρ s. Тогда из формулы (11) следует, что v k +1 > v k, так как в этом случае
То есть, вместо инерции, без видимых внешних причин, тела будут испытывать ускорение и покидать область с повышенной плотностью вещества. И, наоборот, если в какой-либо части вселенной плотность вещества меньше величины ρ s - там происходит торможение тел и накапливание вещества до величины ρ s. Именно по этой причине вещество не собралось вместе под действием сил тяготения, а равномерно распределилось по всему объему вселенной. Согласно предложенной модели тяготения наша вселенная стационарна и бесконечна. Понятия инертной и гравитационной масс следует упразднить: все тела обладают единой массой, инертные свойства которой определяются поглощением энергии, а гравитационные - излучением. По другому должны интерпретироваться некоторые известные явления: "реликтовое" излучение есть ни что иное, как совокупная светимость вещества, заключенного в сфере с радиусом R E (предельным радиусом электромагнитного взаимодействия). Постоянная Хаббла показывает, на какую величину изменится скорость электромагнитного излучения за единицу пройденного им пути. Список литературы 1. Физический энциклопедический словарь. - Москва, "Большая российская энциклопедия", 1995. 2. Яворский Б.М., Детлаф А.А. Справочник по физике. - Москва, "Наука", 1990. 3. Гусак А.А., Гусак Г.М., Бричникова Е.А. Справочник по высшей математике. - Минск, "ТетраСистемс", 1999. |















