Реферат: Лекции по Математическому анализу 2
|
Название: Лекции по Математическому анализу 2 Раздел: Рефераты по математике Тип: реферат | ||
Аксиоматика вещественных чисел. Алгебраические свойства вещественных чисел. На множестве вещественных чисел определена операция сложения, удовлетворяющая следующим аксиомам: Введем операцию умножения: Дистрибутивность. Распределительный закон. Множество, элементы которого удовлетворяют a, b, c – числовое поле. Примеры: множество вещественных и рациональных чисел. Отношение порядка. На множестве вещественных чисел вводится отношение порядка
Из этих аксиом следует, что для любого а и b a <b (a =b) b<a Множество, на котором вводится отношение порядка, удовлетворяющее аксиомам 1-6, называется линейной упорядоченностью. И множество вещественных чисел, и множество рациональных чисел – линейно упорядоченное поле Аксиома непрерывности вещественных чисел Пусть Множеством вещественных чисел называется линейно упорядоченное непрерывное числовое поле. Замечание: Аксиома непрерывности гарантирует, что каждому вещественному числу соответствует единственный тип числовой прямой и, наоборот, каждой числовой прямой соответствует единственное вещественное число. Представление (модель) вещественного числа. Можно доказать, что аксиомам удовлетворяют десятичные дроби, причем конечные (периодические) соответствуют рациональным числам, а бесконечные (непериодические) – иррациональным числам. Т.к. бесконечные дроби нельзя использовать при вычислениях (не представимы в ЭВМ), то в реальных расчетах пользуются исключительно рациональными числами, но доказано, что любое вещественное число можно с любой степенью точности представить рациональным числом. Свойство числового множества (следует из свойства упорядоченности). Множество Число M – верхняя граница множества X. Любое число Итак, верхних границ бесконечно много. Наименьшая из всех верхних границ – верхняя грань множества Х (sup X – супремум икс)
Множество Число В – верхняя граница множества X. Любое число Наибольшая из всех нижних границ – нижняя грань множества Х (inf X).
Множество
Теорема: Любое непустое, ограниченное сверху (снизу) множество, имеет верхнюю (нижнюю) грань. Понятие абсолютной величины вещественного числа. На упорядоченном числовом множестве введем понятие модуля (абсолютной величины) вещественного числа:
Свойства:
Решение простейших неравенств с модулем. Эквивалентность неравенств:
геометрический смысл:
Понятие окрестности в точке х0 окрестности в точке х0 (U (x0)) – симметричный интервал радиуса с центром в точке х0 Приколотой окрестности в точке х0 называется окрестности этой точки без самой х0 Открытые и замкнутые множества Множество (a,b) – открытое множество: Точка x Точки a и b – граничные [a;b] или (a;b). Граничные точки могут и принадлежать, и не принадлежать множеству отрицательных. Множество своих границ не содержит. Точка x называется предельной точкой X, если любое (x-предельная для X) точки a,b являются предельными как для отрезка, так и для интервала ( [a;b] и (a;b) ) a,b a,b Граничных точек – 2 Предельных – целый отрезок (интервал) Точка изолирована – если найдётся Совокупность предельных и изолированных точек – называется точками соприкосновения множества X. Множество X замкнутое, если оно содержит все свои точки прикосновения. Замкнутым множеством является сегмент [a;b]. Открытость и замкнутость – не альтернативные понятия. Существуют множества, не являющиеся ни открытыми, ни замкнутыми. Например, [a;b) или (a;b]. Или одновременно открытые и замкнутые (). Принципы существования предельной точки (Вейерштрасс) Всякое ограниченное бесконечное множество определяет хотя бы одну предельную точку. Для неограниченных бесконечных множеств это утверждение неверно. (Множество целых чисел предельных точек не имеет, так как состоит их одних изолированных точек). _________________________ Для распространения принципа Вейерштрасса на неограниченное множество вводятся новые объекты: +бесконечность, -
Бессмысленно: Понятие функции. Основной объект - функция Основной предмет - предел. Функция – закон, по которому элементу в соответствии ед. элемент Д/з1: Область определения функции Д/з2: Область значения функции (Каждый элемент множества E имеет прообраз во множестве. Замечание 1: в определении не требуется, чтобы каждый элемент X имел прообраз в Y. Говорят, что функция множество Y. Всегда множестве E. Не требуется, чтобы элементы E имели единственный прообраз во множестве X. Д/з: Отображение, осуществляемых функций Д/з: Две функции равны, если:
совпадают законы соответствия. Пример: 1) Равны ли функции Нет, так как 2) Д/з: Две функции совпадают на множестве X1, с вкл. в пересечение областей определения функций Пример: Д/з: выписать определения чётных, нечётных, периодичных функций; их свойства и свойства симметрии графиков, сп. зад. функций с примерами. Общие свойства функций. 1) Ограниченность. Сводится к ограниченности множества значений. Функция ограничена, существует
2) Монотонность. Д/з: Функция Убывающей, если Замечание: если неравенства нестрогие, то говорят о неубывании в 1 случае и невозрастании (либо неизм., убыв.) во 2 случае. Невозрастающие и неубывающие функции – монотонные. При строгом неравенстве строгомонотонные. Пример: Докажем, что она убывающая на любом промежутке. Например: Пусть
Понятие монотонности только для промежутков. Промежуток – множество, обладающее свойством: наряду с любым 2-мя числами Понятие сложной функции. (композиции функции) Пусть даны отображения Тогда вводится новое отображение,
Пример:
Обратная функция: При взаимооднозн. отображении X на Y с пом. функции Д/з: Замечание: y взаимнообр. ф-й D(f) и E(f) мен. местами Замечание 2: если для обр. функций сделать замену переменных Пример:
Элементы теории пределов. Теория пределов формализует (перев. на мат. яз.) фразы: и Зн-я Д/з: Р/м Определение предела в терминах окресностей. Число А называется пределом
Конечный предел ф-ии (А-вещ. число)
Число А-конечный предел ф-ии в т. а, если
Частные случаи (геометрическая иллюстрация) Конечный предел в конечной т. а – вещественное число
Общие свойства конечного предела Если Если конечный предел сущ., то он единственный Для f(x), имеет конечный предел в т. а, сущ. такая прколотая окрестность этой т., в которой ф-ия ограничена.
Если ф-ия имеет в т. а, конечный предел, неравный нулю то найдется такая Если f(x), имеет в т. а отрицательный конечный предел, то найдется такое значение этой точки, в котором ф-ия отрицателная.
Бесконечно малые ф-ии и их свойства: Опр:
Свойства: Пусть
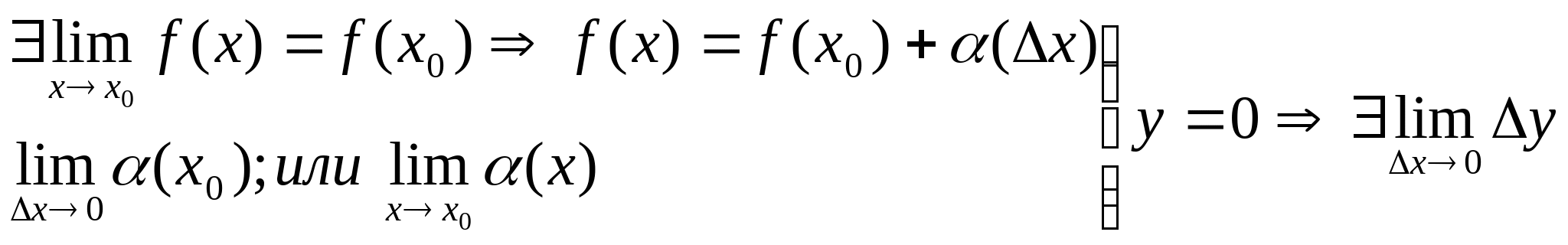
Представвление ф-ии, имеющей конечный предел. Теорема: Для того чтобы ф-ия
Доказательство:
Алгебраические свойства фунцций имеющих конечный предел в точке а. Пусть Существует предел алгебраической суммы этих ф-ий,равный алгебраической сумме этих пределов.
Существует предел произведения ф-ий произведение пределов
Если предел знаменателя неравен 0 и B неравно 0 то
Следствие. Из 1 и 2 следует, что константы можно выносить за знак предела
Бесконечно большие и их свойства Опр. Ф-ия
Свойства Пусть Ф-ия (х) имеет предел в точке а, отличный от 0 Ф-ия (х) и (ч) – бесконечно малые Тогда справедливы следующие утверждения: Произведение двух бесконечно больших ф-ий – бесконечно большая ф-ия.
Произведение бесконечно больших на ф-ию, имеющую отличный от нуля предел - бесконечно большая. Ф-ия, обратная величине бесконечно большой – есть бесконечно малая, и наоборот.
Доказательство 2):
Доказательство 3):
Односторонние пределы в конечной точке и их связь с пределом в этой точке. В определении предела окрестности точки а – симметричный интервал с центром в этой точке, т.е. требуется существование значений ф-ий как справа от точки а , так и слева от нее. Когда а – граничная точка D(f)- такая ситуация невозможна. В этом, случае вводится понятие одностороннего предела, в определении которого фигурирует левые и правые полуокрестности точки а
Аналогично дается определение правостороннего предела.
Теорема: Для того, чтобы в точке а существовал предел ф-ии, необходимо и достаточно существования и равенства левостороннего и правостороннего пределов Доказательство: Необходимость:
Достаточность:
Числовые последовательности Задача, по которой каждому N числу, ставится в соответствие единственное вещественное число – называется числовой последовательностью. Числовая последовательность – ф-ия натурального аргумента. Обозначается: Последовательность, множество значений которой состоит из одного числа – стационарная. Так как числовая последовательность – не симметричное множество, то для него не существует понятия четности, нечетности, периодичности. Зато сохраняются свойства, связанные с упорядоченностью. Свойства: Ограниченность. последовательность последовательность последовательность Монотонность. последовательность последовательность последовательность последовательность Предел последовательности Т.к. N числа имеет 1 т. бесконечности, то для числовой последовательности существует
Замечания: А может быть конечным или бесконечным Если последовательность имеет конечный предел, то она называется сходящейся, а если нет – расходящейся. Общие свойства сходящихся последовательностей аналогичны свойствам ф-ий, имеющих конечный предел. Арифметические свойства сходящихся последовательностей аналогичны свойствам ф-ий, имеют конечный предел Переход к пределам в неравенствах, для сходящихся последовательностей аналогичен ф-ям, имеющим конечный предел. Определение бесконечно малых и бесконечно больших последовательностей и их свойства аналогичны соответствующим определениям и свойствам ф-ии непрерывного аргумента. Критерии существования предела последовательности 1. Критерии Коши (произведения последовательностей) Для существования предела последовательностей
Последовательность, для которой выполняется признак Коши – фундаменталная 2. Критерий Вейерштрасса (монотонность последовательности) а) неубывающие последовательности, ограниченные сверху, имеют предел.
б) не возрастающие последовательности, ограниченные снизу, имеют предел. Доказательство(а):
Переход к пределу в неравенстве Теорема: Пусть f(х) и (х) имеют конечные пределы в т. y=a, тогда справедливо:
Доказательство: Пусть
а это противоречит 1 Замечание: Из утверждения №3 следует, что предел неотрицательной ф-ии является неотрицательным. При пределов к противоположным можно обе части умножать на (-1). Теорема 2(о двух миллиционерах ) Пусть в некоторой области Д выполняется система неравенств Пусть существуют равные пределы тогда существует Доказательство:
Первый замечательный предел
Д В силу четности входящих в неравенство ф-ий, докажем это неравенство на промежутке Из рисунка видно, что площадь кругового сектора
2. следовательно, что
Покажем, что
Докажем, что
Последнее утверждение: Второй замечательный предел Понятие касательной к прямой. П Предельное положение секущей, которое она занимает при стремлении т. М к т. М0 называется касательной к кривой в т. М0 Бесконечные пределы ф-ии. Если в общем определении предела через окрестности положить в качестве А бесконечно удаленную точку, то получим определение бесконечного предела. Так как различают три вида бесконечно удаленных точек, то существуют три определения: 1. 2. 3. Понятие непрерывности ф-ии. Непрерывность – такое свойство ф-ии, как отсутствие точек разрыва у графиков этой ф-ии. Т.е. строится единственной непрерывной линией.
График непрерывной ф-ии ; График ф-ии, разрывной в т. С; 1.Ф-ия
2. 3. Разность 4. Разность 5. Ф-ия Общие свойства ф-ии, непрерывной в точке. Представим ф-ию с помощью бесконечно малых 1. 2.Пусть ф-ия
sign(х)(сигнум) Доказательство: а) б) Из а) и б) следует:
Непрерывность и арифметические операции Пусть Сумма этих ф-ий непрерывна в т. х0 ; 2. Произведение этих ф-ий непрерывно в т. х0 3. Отношение этих функций непрерывно в тех точках, в которых знаменатель отличен от нуля, т.е. если знаменатель 0. Доказательство: Непрерывность сложной ф-ии. Пусть:
Доказательство: А). Б). из А) и Б) следует: Sl. Непрерывность ф-ии на множестве. Df. Ф-ия непрерывна на множестве Х , если она непрервна в каждой точке этого меожества. Непрерывность обратной ф-ии: Пусть ***** На промежутке Y существует непрерыная обратная ф-ия Характер монотонности обратной ф-ии такой же как и прямой. Непрерывность элементарной ф-ии: ********** Доказательство непрерывности основной элементарной ф-ии tg и ctg , следует из свойств непрерыности элементарных ф-ий. Непрерывность log, arcsin, arccos, arstg следует из определения непрерывности обратной ф-ии. Df Элементарные ф-ии, полученные из основных элементарных ф-ий с помощью арифметических операций, взятых в конечном числе,******** Характеристика точек разрыва ф-ии. 1. Точка устранимого разрыва. D(f) т. х0 называется точкой устранимого разрыва ф-ии Ф-ию можно сделать непрерывной в этой точке, доопределив ей значение в этой точке равным пределом. 2. Точка разрыва первого рода. D(f) х0 – точка разрыва первого рода, если существует конечный левосторонний и правосторонний предел не равные между собой. Разницу (b-a)называют скачком ф-ии в т. х0 3. Точка разрыва второго рода. ********************************* Односторонняя непрерывность ф-ии. Если в D(f)1 непрерывности предел заменить односторонним пределом, то получим определение односторонней непрерывности ф-ии. Ф-ия называется непрерывной в точке х0 справа, если правосторонний предел совпадает со значением ф-ии. Ф-ия называется непрерывной в точке х0 слева, есди левосторонний предел совпадает со значением ф-ии. Например: Для непрерывности в точке х0 необходимо и достаточно, чтобы она была непрерывна слева и справа в этой точке. Свойства ф-й, непрерывных на отрезке Ф-ия называется непрерывной на отрезке [a,b], если она непрерывна на интервале(a,b) и в т. а непрерывна справа а в т. b – слева. Т1: Ф-ия D(f) : число М называется наибольшим значением ф-ии на отрезке [a,b], если существует такое число D(f) :точка называется наименьшим значекнием ф-ии на [a,b], если Т2 : ф-ия Т3 : ************* Sl1 : (f) ф-ии, непрерывной на отрезке, является отрезок Sl2 (Т3): ф-ия, непрерывная на отрезке [a,b], имеющая различные по знаку значения, на его границах обязательно обращается в ноль, хотя-бы в одной точке этого отрезка. ******************************************* Дифференциальное счисление. Ф-ия одной переменной. 1. Задачи, приводящие к понятию производной. 3.1. Задача о вычислении скорости точки, движущейся вдоль прямой. Пусть точка движется вдоль прямой х. ****************************************** - l-единичный вектор, задающий направление вдоль прямой. 3.2 Построение касательной к кривой с уравнением ******************** Задачи, различные по смыслу, из разных областей науки, свелись к вычислению одного и того же предела. В таких случаях в математике абстрагируются от крнкретных задач и изучают отдельно предел ф-й. Определение призводной ф-ии в точке. Обозначение: Df1 Производной ф-ии Пример: Степень ф-ии с вещественным показателем. Справка: Геометрический смысл производной. Из второй задачи следует, что поизводная ф-ии Sl1 : Уравнение касательной к кривой. Его можно написать, зная точку, через которую она проходит, и угловой коэффициент Sl2 : Уравнение нормали. Его можно написать, зная точку, через которую она проходит и угловой коэффициент Механический смысл производной. ************ Дифференцируемость ф-ии. Df : Ф-ия Dh: Для дифференцирования ф-ии в т. х0 , необходимо и достаточно, чтобы в этой точке существовала производная. Доказательство: (необходимость) (достаточность): Производная суммы, произведения, частного. Dh:Пусть ф-ия Лемма: Ф-ия, дифференцируема в точке х0 , непрерывнна в этой точке. обратное утверждение неверно!!! Производная от const ф-ии =0. Если Доказательство:
Zm1: При вычислении производной, константу можно выносить за знак производной. Zm2: Данные формулы можно рассматривать на большее число слагаемых и сомножителей. Df: Линейным колебанем системы из т. ф-ий Zm: Свойство линейности производной. Из доказанных свойств, следует, что производная от линейных колебаний ф-й = линейные комбинации призводных.
Производная от обратной ф-ии. Dh: Пусть на промежутке, содержащем х0 , обратную ф-ию тогда в точке х0 существует Производная от обратной ф-ии. Dh: Пусть на промежутке, содержащем х0 , обратную ф-ию тогда в точке х0 существует Доказательство: 1. Пусть 2. Пусть 3. т.к. Производная от сложной ф-ии. Dh: Пусть: тогда сложная ф-ия Доказательство: 1. 2. 3. Односторонние производные. Заменим в определении производной предел – односторонним пределом, получится определение односторонней производной. Производная от параметрически заданной ф-ии. Df: Ф-ия Dh: Пусть ф-ия задана параметрически, где Доказательство: Предположим. что Производные высших порядков. Df: Пусть ф-ия Каждому значению Х соответствует единственное значение Если она окажется дифф. на Х, то мы можем вычислить следующую Df: Производной n-го порядка от ф-ии Пример: Теоремы о дифф. ф-ях. Теорема Ферма: Пусть ************************** Доказательство: Пусть Но из дифф Zm: Из доказательства т. Ферма следует: Пусть Теорема Ролля: Пусть ф-ия непрерывна на дифф. на Принимает на концах этого отрезка одинаковые значения. Тогда на ************* Доказательство: Из непрерывности ф-ии на отрезке следует, что имеет на этом отрезке свои наименьшее(m) и наибольшее(M) значения. Возьмем два случая: m=M ; наименьшее значение совпадает с х0 следовательно: Dh: Между двумя корнями ф-ии есть точка производной. Теорема Лагранжа: Пусть ф-ия Если ее переписать в виде ************************** Доказательство: Рассмотрим вспомогательную ф-ию Она непрерывна на F(x) – дифф. на F(а) = 0; F(b) = 0 Sl: Пусть ф-ия Действительно *************** Из дифф. ф-ии на Теорема Коши: Пусть Непрерывны на Дифф. на Тогда на Доказывается как теорема Лагранжа. Приложение производной к исследованию ф-ий. 1. Исследование на монотонность. Пусть Ф-ия возрастает на Ф-ия не убывает на Ф-ия постоянна на Ф-ия не возрастает на Ф-ия убывает на 2. Исследование на экстремум. Df: т. х0 называется точкой локального минимума, если ф-ия непрерывна в этой точке и существует такая окрестность х0 , что для любого х ************************** Исследование ф-ии на выпуклость графика. ************************** Df: График ф-ии Df2: Точка х0 , в которой Достаточные условия выпуклости ф-ии на интервале. Пусть ф-ия Асимптоты графика ф-ии. В некоторых случаях, когда график ф-ии имеет бесконечные ветви, оказывается, что при удалении точки вдоль ветви к бесконечности, она неограниченно стремится к некоторой прямой. Такие прямые называют асимптотами. .Вертикальные асимптоты – прямая Если ф-ия задана дробно-рациональным выражением, то вертикальная асимптота появляется в тех точках, когда знаменатель равен нулю, а числитель не равен нулю. ******************** Наклонная асимптота – прямая Необходимый и достаточный признак существования наклонной асимптоты: Для существования наклонной асимптоты Доказательство: Пусть: Пусть: Следовательно существует асимптота. Общая схема исследования ф-ий По ф-ии D(f) E(f) Непрерывность в области определения Четность, нечетность. Переодичность Асимптоты По первой производной Экстремумы Интервалы монотонности По второй производной Интервалы выпуклостей Точки перегиба Построение графика ф-ии. Приложение производной к вычислению пределов. (Правило Лопиталя). Пусть: Ф-ии то справедливо: Доказательство: 1. Доопределим ф-ии 2. Zm:Если производная ф-ии удовлетворяет правилу Лопиталя, то можно вычислять последнюю несколько раз (2,3,4…), пока она удовлетворяет условию.Правило Лопиталя применимо, когда x0 – бесконечно удаленная точка. Дифференциал ф-ии. Из Df дифференцируемости следует, что приращение дифф. ф-ии Из равенства нулю предела следует, что Поскольку Пусть **************
Zm1: Zm1: Свойства дифференциала: Дифференцирование сложных ф-ий. Инвариантность в форме дифференциала Интегрирование с помощью подстановки. Пусть подынтегральная ф-ия в интеграле непрерывна на Х и ф-ия Алгоритм интегрирования подстановкой. Для интеграла подынтегральная ф-ия Нах. обратную ф-ию Алгоритм: Часть подынтегрального выражения вводится под знак дифференциала и полученное выражение под знаком дифференциала обозначается как новая переменная. В подынтегральной ф-ии делается замена переменной на новую, находится В Интегрирование по частям. Интегрирую выражение любого дифференциала произведения, получим: Пример: Рекомендации: В интегралах с подынтегральным выражением вида: Pn принимается за u В интегралах с подынтегральным выражением вида: за u Интегрирование с подстановкой выражений вида Интегрирование дробно-рациональных выражений Df Дробно-рациональная ф-ия Рациональная дробь правильная, если степень числителя строго меньше степени знаменателя, обратно - неправильная. Zm Неправильная рациональная дробь путем выделения целой части приводится к сумме многочлена и правильной рациональной дроби; многочлен называется целой частью неправильной дроби. Простейшие (элементарные) рациональные дроби и их применение. К простым рациональным дробям относятся рациональные дроби типов: 2. 3. 4. Интегрирование 1го типа: Интегрирование 2го типа: Интегрирование 3го типа: проводится в два этапа: 1. В числителе выделяется дифференциал знаменателя: 2. Выделение полного квадрата в знаменателе второго интеграла. Интегрирование 4го типа: 1. Выделяем в числителе *** знаменателя: Выделяем в знаменателе 2го интеграла ф-лы квадрата: Рекуррентная формула для вычисления Jm (вычисление происходит путем подстановки в известную форму) Метод неопределенных коэффициентов. 1. Разложим знаменатель на множители: 2. Правильная дробь разлагается в сумму простейших и каждому множителю вида Каждому множителю вида с неопределенным коэф.B1 C1… 3. Неизвестный коэф. находится методом неопределенных коэф., основанном на: определении, что 2 многочлена тождественно совпадают, если у них равные коэффициенты при одинаковых степенях. 4. Приравнивая коэф. при одинаковых степенях в левой и правой частях, получим систему линейных уравнений относительно неизвестного уравнения. Определенный интеграл Задача, приводящая к понятию определенного интеграла. Вычисление площади криволинейной трапеции: Df. Криволинейная трапеция – фигура на площади, ограниченной линиями с уравнениями 1. Отрезок ********* Длина каждого отрезка 2. Т.к. 3. Впишем в трапецию мн-к, состоящий из пр-в с основаниями, совпадающими с частичными отрезками и высотой mi Суммируем площади пр-в – получаем площадь трапеции. 4. Опишем около трапеции многоугольник ********************************** Необходимое условие существование определенного интеграла. Df. Пусть существует интеграл Доказательство: Пусть Некоторые классы интегральных ф-ий. Df. Любая ф-ия, для которой существует определенный интеграл на Множество таких ф-ий обозначают К интегрируемым на Ф-ии, непрерывные на Монотонные на Имеющие на отрезке конечное или счетное мн-во точек разрыва 1-го рода. Свойства определенного интеграла. Df. Промежуток с гранич. т. A и B ориентированным, если указано направление перехода от т. A к т. B. 1. Пусть сущ. определенный интеграл 2. Док-во: 3. Свойство линейности определенного интеграла: 1. Пустьф-ии 2. Пусть 4. Аддитивность определенного интеграла: Пусть ф-ия Свойство монотонности. 1. Пусть ф-ия Док-во: В силу н-ва для ф-ий любая интегрируема ф-ия неотрицательна любая последовательность интегрируемых сумм будет иметь неотрицательный предел интеграл будет неотрицательным. 2. Пусть ф-ия Док-во: Из интегрируемости следует, что предел не зависит от выбора разбиения на Df Две ф-ии 3. Инт. от эквивалентных ф-ий совп. Пусть Д-во: 4. Пусть 5. Пусть 6. Пусть Интеграл как ф-ия переменного верх. предела. Пусть ф-ия Рассмотрим определенный интеграл Определенный интеграл с перемнного верх. предела – есть ф-ия своего предела 1 теорема Гульдена Ph Гульдена Пусть криволинейная трапеция вращ. вокруг оси oX. Тогда она опишет тело вращения с массой из формулы для центра масс знаем: Объем тела, полученного вращением крив. трапеции, равно произведению площади этой трапеции на длину окружности, описанную из центра масс. Однородная плоская дуга От точки с абсциссой х отложим дугу длины 2 теорема Гульдена Пусть плоская дуга вращается вокруг оси oX. Она опишет площадь: Площадь поверхности, полученная вращением дуги, равна произведению длины этой дуги на длину окр-ти, описыв-ю ц. масс. Несобств. интегралы. Для существования определенного интеграла должны выполняться два условия: Предел интегрирования конечный; Подынтегральная ф-ия ограничена. Нарушение этих двух условий приводит к несуществующему интегралу. В этом случае вводится обобщение определенного интеграла, который называется несобственным интегралом. 1. Несобственный интеграл с бесконечным пределом интегрирования. а) Если предел в правой части существует и конечен, говорят, что, инт. сходится; нет - расходятся. б) в) Zm: Инт. в левой части существует, если интеграл в правой части существует по отдельности, т.е. предел интегрирования в этих интервалах надо обозначать разными буквами. Признаки сходимости В некоторых случаях достаточно знать, сходится интеграл или нет, без его вычисления. Для этого применяется признак сравнения. 1). Пусть Обратное утверждение неверно!!! Rn ******* На арифм. эмерном пространстве метрика вводится по формуле: Арифм. эмерное пространство, сведенное с метрикой по формуле - евклидово пространство. Понятие окрестности в Rn Интегрирование с помощью подстановки. Пусть подынтегральная ф-ия в интеграле непрерывна на Х и ф-ия Алгоритм интегрирования подстановкой. Для интеграла подынтегральная ф-ия Нах. обратную ф-ию Алгоритм: Часть подынтегрального выражения вводится под знак дифференциала и полученное выражение под знаком дифференциала обозначается как новая переменная. В подынтегральной ф-ии делается замена переменной на новую, находится В Интегрирование по частям. Интегрирую выражение любого дифференциала произведения, получим: Пример: Рекомендации: В интегралах с подынтегральным выражением вида: Pn принимается за u В интегралах с подынтегральным выражением вида: за u Интегрирование с подстановкой выражений вида Интегрирование дробно-рациональных выражений Df Дробно-рациональная ф-ия Рациональная дробь правильная, если степень числителя строго меньше степени знаменателя, обратно - неправильная. Zm Неправильная рациональная дробь путем выделения целой части приводится к сумме многочлена и правильной рациональной дроби; многочлен называется целой частью неправильной дроби. Простейшие (элементарные) рациональные дроби и их применение. К простым рациональным дробям относятся рациональные дроби типов: 2. 3. 4. Интегрирование 1го типа: Интегрирование 2го типа: Интегрирование 3го типа: проводится в два этапа: 1. В числителе выделяется дифференциал знаменателя: 2. Выделение полного квадрата в знаменателе второго интеграла. Интегрирование 4го типа: 1. Выделяем в числителе *** знаменателя: Выделяем в знаменателе 2го интеграла ф-лы квадрата: Рекуррентная формула для вычисления Jm (вычисление происходит путем подстановки в известную форму) Разложение рациональной дроби на простейшие. В курсе алгебры доказываются утверждения |










, тогда: 













оказательство: докажем для 




рямая, проходящая через две точки кривой – секущая.












ф-ия непрепывна в точке х=0.







t- параметр.






(Pn –многочлен степени n )












(Pn –многочлен степени n )








