Контрольная работа: Математические уравнения и функции
|
Название: Математические уравнения и функции Раздел: Рефераты по математике Тип: контрольная работа | ||||||||||||||||||||||||||||||||||||||||||
| Варивант №2
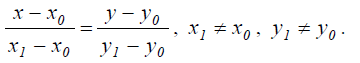
З адание 1 Дан треугольник ABC, где А(-3,2), В(3,-1), С(0,3). Найти: 1. Длину стороны АВ; 2. Внутренний угол А с точностью до градуса; 3. Уравнение и длину высоты, опущенной из вершины С; 4. Точку пересечения высот; 5. Уравнение медианы, опущенной из вершины С; 6. Систему неравенств, определяющих треугольник АВС; 7. Сделать чертеж; Решение: 1. Найдем координаты вектора АВ:
Длина стороны АВ равна:
2. Угол А будем искать как угол между векторами АВ и АС(-3,1)
Тогда 3. Прямая СК перпендикулярна АВ проходит через точку С(0,3) и имеет нормалью вектор По формуле получим уравнение высоты:
Сокращаем на 3 получим уравнение высоты:
4. Координаты основания медианы будут:
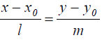
Уравнение медианы найдем, пользуясь данной формулой, как уранение прямой, проходящей через 2 точки: С и М
Так как знаменатель левой части равен нулю, то уравнение медианы будет иметь такой вид х=0 5. Известно что высоты треугольника пересекаются в одной точке Р. Уравнение высоты СК найдено, выведем аналогично высоту BD проходящую через точку В перпендикулярно вектору
Координаты точки Р найдем как решение системы уравнений:
х=11 у=23 6. Длину высоты hc будем ее искать как расстояние от точки С до прямой АВ. Эта прямая проходит через точку А и имеет направляющий вектор
Теперь воспользовавшись формулой
Подставляя в нее координаты точки С(0,3)
Задание 2 Даны векторы
Решение: 1. Докажем, что подсистема
Из четвертого уравнения имеем , что Докажем, что векторы Очевидно,
Найдем представление
Из четвертого уравнения находим
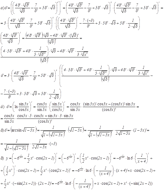
Получили , что данная система векторов не может называться базисом! Задание 3 Найти производные функций:
Задание 4. Исследовать функцию и построить ее график
1. Область определения:
2. Кривая
Находим наклонные асимптоты. 3. Функция общего вида, так как 4. Функция периодичностью не обладает 5. Находим производную функции
Получаем 3 критические точки х=-1 х=1, и х=5. Результаты исследования на монотонность и экстремумы оформляется в виде таблицы
6. Находим вторую производную функции
Получаем критические точки х=-1; х=0,22; х=6,11 Результаты исследований на выпуклость и точки перегиба оформляем в виде таблицы.
7. Находим точки пересечения графика с осями координат Ох и Оу
8. При х=-2, у=-9, при х=-5, у=-0,56, при х=-10, у=-0,166 9. Строим график в соответствии с результатами исследований:
Задание 5 Найти неопределенные интегралы и проверить их дифференцированием. а) Решение: а) сделаем подстановку sin3x=t, тогда dt=cos3x dx, следовательно:
Проверка:
б) сделаем подстановку
Проверка:
в) Воспользуемся способом интегрирования по частям
Проверка:
г) воспользуемся способом интегрирования рациональных дробей
Проверка:
Задание 6
Вычислить площадь фигуры, ограниченной графиками функций:
Решение: находим координаты точек пересечения заданных графиков функций:
следовательно : т.к
|


;
















получаем точку (0;1);
получаем точку (1;0)





