Реферат: Видимое движение планет.
|
Название: Видимое движение планет. Раздел: Остальные рефераты Тип: реферат |
|
Издавна люди наблюдали на небе такие явления как видимое вращение звездного неба, смена фаз Луны, восход и заход небесных светил, видимое движение Солнца по небу в течение дня, солнечные затмения, изменение высоты Солнца над горизонтом в течение года, лунные затмения. Было ясно, что все эти явления связаны, прежде всего, с движением небесных тел, характер которого люди пытались описать при помощи простых визуальных наблюдений, правильное понимание и объяснение которых складывалось веками. После признания революционной гелиоцентрической системы мира Коперника, после того как Кеплер сформулировал три закона движения небесных тел и разрушил многовековые наивные представления о простом круговом движении планет вокруг Земли, доказал расчетами и наблюдениями, что орбиты движения небесных тел могут быть только эллиптическими, стало наконец ясно, что видимое движение планет складывается из: 1) перемещения наблюдателя по поверхности Земли; 2) вращения Земли вокруг Солнца; 3) собственных движений небесных тел. Сложное видимое движение планет на небесной сфере обусловлено обращением планет Солнечной системы вокруг Солнца. Само слово "планета" в переводе с древнегреческого означает "блуждающая" или "бродяга". Траектория движения небесного тела называется его орбитой . Скорости движения планет по орбитам убывают с удалением планет от Солнца. Характер движения планеты зависит от того, к какой группе она принадлежит. Поэтому по отношению к орбите и условиям видимости с Земли планеты разделяются на внутренние (Меркурий, Венера) и внешние (Марс, Юпитер, Сатурн, Уран, Нептун, Плутон), или соответственно, по отношению к Земной орбите, на нижние и верхние. Внешние планеты всегда повернуты к Земле стороной, освещаемой Солнцем. Внутренние планеты меняют свои фазы подобно Луне. Наибольшее угловое удаление планеты от Солнца называется элонгацией . Наибольшая элонгация у Меркурия – 28°, у Венеры – 48°. Плоскости орбит всех планет Солнечной системы (кроме Плутона) лежат вблизи плоскости эклиптики, отклоняясь от нее: Меркурий на 7њ , Венера на 3,5њ; у других наклон еще меньше. При восточной элонгации внутренняя планета видна на западе, в лучах вечерней зари, вскоре после захода Солнца. При западной элонгации внутренняя планета видна на востоке, в лучах утренней зари, незадолго до восхода Солнца. Внешние же планеты могут находиться на любом угловом расстоянии от Солнца. Угол фазы Меркурия и Венеры изменяется в пределах от 0° до 180°, поэтому Меркурий и Венера сменяют фазы так же, как и Луна. Около нижнего соединения обе планеты имеют наибольшие угловые размеры, но выглядят, как узкие серпы. При угле фазы ψ = 90°, освещается половина диска планет, фаза Φ = 0,5. В верхнем соединении нижние планеты освещены полностью, но плохо видны с Земли, так как находятся за Солнцем. Итак, при наблюдениях с Земли на движение планет вокруг Солнца накладывается еще и движение Земли по своей орбите, планеты перемещаются по небосводу то с востока на запад (прямое движение), то с запада на восток (попятное движение). Моменты смены направления называются стояниями . Если нанести этот путь на карту, получится петля . Размеры петли тем меньше, чем больше расстояние между планетой и Землей. Планеты описывают петли, а не просто движутся туда-сюда по одной линии исключительно из-за того, что плоскости их орбит не совпадают с плоскостью эклиптики. Такой сложный петлеобразный характер был впервые замечен и описан на примере видимого движения Венеры (рисунок 1).
Рисунок 1 – «Петля Венеры». Известен факт, что движение определенных планет можно наблюдать с Земли только в строго определенное время года, это связано с их положением с течением времени на звездном небе. Характерные взаимные расположения планет относительно Солнца и Земли называются конфигурациями планет. Конфигурации внутренних и внешних планет различны: у нижних планет это соединения и элонгации (наибольшее угловое отклонение орбиты планеты от орбиты Солнца), у верхних планет это квадратуры, соединения и противостояния. Поговорим конкретнее о каждом из видов конфигураций: конфигурации, при которых внутренняя планета, Земля и Солнце выстраиваются по одной линии, называются соединениями (рис. 2).
Рис. 2. Конфигурации планет: Если А - Земля, В - внутренняя планета, С - Солнце, небесное явление называется нижним соединением . В "идеальном" нижнем соединении происходит прохождение Меркурия или Венеры по диску Солнца. Если А - Земля, В - Солнце, С - Меркурий или Венера, явление называется верхним соединением . В "идеальном" случае происходит покрытие Солнцем планеты, которое, конечно, не может наблюдаться из-за несравнимой разницы в блеске светил. Для системы Земля - Луна - Солнце в нижнем соединении происходит новолуние, в верхнем соединении - полнолуние. Предельный угол между Землей, Солнцем и внутренней планетой называется наибольшим удалением или элонгацией и равен: для Меркурия - от 17њ30' до 27њ45' ; для Венеры - до 48њ. Внутренние планеты могут наблюдаться только вблизи Солнца и только по утрам или вечерам, перед восходом или сразу после захода Солнца. Видимость Меркурия не превышает часа, видимость Венеры - 4 часов (рис. 3).
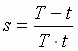
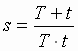
Рис. 3. Элонгация планет Конфигурация, при которой Солнце, Земля и внешняя планета выстраиваются на одной линии, называется (рис. 2): 1) если А - Солнце, В - Земля, С - внешняя планета - противостоянием; 2) если А - Земля, В - Солнце, С - внешняя планета - соединением планеты с Солнцем. Конфигурация, в которой Земля, Солнце и планета (Луна) образуют в пространстве прямоугольный треугольник, называется квадратурой: восточной при расположении планеты в 90њ к востоку от Солнца и западной при расположении планеты в 90њ к западу от Солнца. Движение внутренних планет на небесной сфере сводится к их периодическому отдалению от Солнца вдоль эклиптики то к востоку, то к западу на угловое расстояние элонгации. Движение внешних планет на небесной сфере носит более сложный петлеобразный характер. Скорость видимого движения планеты неравномерна, поскольку ее величина определяется векторной суммой собственных скоростей Земли и внешней планеты. Форма и размеры петли планеты зависит от скорости планеты по отношению к Земле и наклона планетной орбиты к эклиптике. Теперь введем понятие конкретных физических величин, характеризующих движение планет и позволяющих произвести некоторые расчеты: Сидерическим (звездным) периодом обращения планеты называется промежуток времени Т, за который планета совершает один полный оборот вокруг Солнца по отношению к звездам. Синодическим периодом обращения планеты называется промежуток времени S между двумя последовательными одноименными конфигурациями. Для нижних (внутренних) планет: Для верхних (внешних) планет: Продолжительность средних солнечных суток s для планет Солнечной системы зависит от сидерического периода их вращения вокруг своей оси t, направления вращения и сидерического периода обращения вокруг Солнца Т. Для планет, обладающих прямым направлением вращения вокруг своей оси (тем же, в котором они движутся вокруг Солнца):
Для планет, обладающих обратным направлением вращения (Венера, Уран):
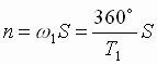
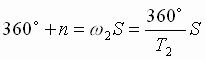
Формулы связи синодического и сидерического периодов выводят по аналогии с движением часовых стрелок. Аналогией синодического периода S будет промежуток времени между совпадениями часовой и минутной стрелок, аналогией сидерических - периоды вращения часовой стрелки (Т1 = 12 ч) и минутной стрелки (Т2 = 1 ч). Стрелки встречаются вновь в разных местах циферблата. Их угловые скорости равны:
За синодический период времени часовая стрелка описывает дугу Тогда Однако насколько бы мы точно не производили расчеты, существует ряд космических и атмосферных явлений которые искажают истинную картину: 1) Атмосферная рефракция, которая включает: - искажение небесных координат светил; - необходимость поправки экваториальных координат небесных светил на рефракцию; - искажение формы и угловых размеров небесных светил по высоте на восходе и закате; - мерцание звезд; - "зеленый луч". 2) Рассеяние света в атмосфере Земли, которое включает: - голубой цвет дневного неба; - синий, сиреневый цвет вечернего (утреннего) неба; - сумерки. - продолжительность светового времени суток (дня) всегда превышает промежуток времени от восхода до захода Солнца; - белые ночи; полярный день и полярная ночь на высоких широтах; - свечение ночного неба; - заря; красный цвет зари; - покраснение дисков Солнца и Луны на восходе и закате. |







; 
, минутная стрелка
.
=>
.