| Министерство образования и науки Российской Федерации
Федеральное агенство по образованию
Государственное образовательное учреждение высшего профессионального образования
Иркутский государственный технический университет
Реферат
:
«Кривые на плоскости»
Выполнил студент группы СДМ-10-1
:
Бояркин Б.А.
Руководитель:
Раджабова О.М.
Иркутск 2010
Министерство образования и науки Российской Федерации
Федеральное агенство по образованию
Государственное образовательное учреждение высшего профессионального образования
Иркутский государственный технический университет
Реферат:
«Кривые на плоскости»
Выполнил студент группы СДМ-10-1
:
Винник А.
Проверил
:
Раджабова О.М.
Иркутск 2010
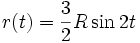
Спирали
(франц., единственное число spirale, от лат. spira, греч. speira — виток)
плоские кривые линии, бесчисленное множество раз обходящие некоторую точку, с каждым обходом приближаясь к ней или с каждым обходом удаляясь от неё. Если выбрать эту точку за полюс полярной системы координат, то полярное уравнение С. ρ = f
(φ) таково, что f
(φ + 2π) > f
(φ) или f
(φ + 2π) < f
(φ) при всех φ. В частности, С. получаются, если f
(φ) — монотонно возрастающая или убывающая положительная функция. Наиболее простой вид имеет уравнение архимедовой С. (см. рис.
): ρ = а
φ, изученной древнегреческим математиком Архимедом (3 в. до н. э.) в связи с задачами трисекции угла и квадратуры круга в сочинении «О спиралях». Архимед нашёл площадь сектора этой С., что было одним из первых примеров квадратуры криволинейной области. Архимедова С. является подерой (см. Подера и антиподера
) эвольвенты круга (см. Эволюта и эвольвента
), что используется в некоторых конструкциях разводных мостов для уравновешивания переменного натяжения цепи. Если эксцентрик ограничен дугами архимедовой С. (сердцевидный эксцентрик), то он преобразует равномерное вращательное движение в равномерное поступательное, причём расстояние между диаметрально противоположными точками эксцентрика постоянно. Французский математик П. Ферма исследовал обобщённые архимедовы С. (ρ/a
)n
= (φ/2π)m
и нашёл площадь их сектора.
Уравнение ρ = аек
φ
задаёт логарифмическую С. (см. рис.
). Логарифмическая С. пересекает под одним и тем же углом а все радиус-векторы, проведённые из полюса, причём ctgα = k
. Это свойство логарифмической С. используется при проектировании вращающихся ножей, фрез и т. д. для достижения постоянства угла резания. Логарифмическая С. встречается также в теории спиральных приводов к гидравлическим турбинам и т. д. В теории зубчатых колёс используется возможность качения без скольжения одной логарифмической С. по другой, равной с ней, когда обе С. вращаются вокруг своих полюсов. При этом получаются зубчатые передачи с переменным передаточным числом. При стереографической проекции (См. Стереографическая проекция
) плоскости на сферу логарифмической С. переходит в локсодромию (кривую, пересекающую все меридианы под одним и тем же углом). Определение длин дуг логарифмической С. дано итал. учёным Э. Торричелли. Длина дуги логарифмической С. пропорциональна разности длин радиус-векторов, проведённых в концы дуги, точнее равна Каустическая поверхность
) логарифмической С. являются логарифмическими С. При вращении вокруг полюса логарифмической С. получается кривая, гомотетичная (см. Гомотетия
) исходной. При инверсии (См. Инверсия
) логарифмическая С. переходит в логарифмическую С.
Из других С. практическое значение имеет Корню С. (или клотоида), применяемая при графическом решении некоторых задач дифракции (см. рис.
). Параметрическое уравнение этой С. имеет вид:
, 
Корню С. является идеальной переходной кривой для закругления железнодорожного пути, так как её радиус кривизны возрастает пропорционально длине дуги. С. являются также эвольвенты замкнутых кривых, например эвольвента окружности.
Названия некоторым С. даны по сходству их полярных уравнений с уравнениями кривых в декартовых координатах, например параболическая С. (см. рис.
): (а
- ρ)2
= b
φ, гиперболическая С.(см. рис.
): ρ = а
/φ. К С. относятся также жезл (см. рис.
): ρ2
= a/φ и si-ci-cпираль, параметрические уравнения которой имеют вид:


[si (t
) и ci (t
) — Интегральный синус и интегральный косинус
]. Кривизна si-ci-cпирали изменяется с длиной дуги по закону показательной функции. Такие С. применяют в качестве профиля для лекал.
Напоминает С. кривая рис
.). Она бесконечное множество раз проходит через полюс, причём каждый следующий завиток лежит в предыдущем.
С. встречаются также при рассмотрении особых точек в теории дифференциальных уравнений (см. Особые точки (См. Особая точка
)). 
Кардиоида
Кардио́ида
(греч. καρδία — сердце, греч. εἶδος — вид) — плоская линия, которая описывается фиксированной точкой окружности, катящейся по неподвижной окружности с таким же радиусом. Получила своё название из-за схожести своих очертаний со стилизованным изображением сердца.
Кардиоида является частным случаем улитки Паскаля, эпициклоиды и синусоидальной спирали.
Уравнения
- В прямоугольных координатах:

- В прямоугольных координатах (параметрическая запись):
x
= 2r
cost
(1 + cost
)
y
= 2r
sint
(1 + cost
)

Свойства
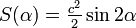
- Кардиоида — алгебраическая кривая четвёртого порядка.
- Кардиоида имеет один касп.
- Длина дуги одного витка кардиоиды, заданной формулой:

равна:
s
= 8a
.
- Площадь фигуры, ограниченной кардиоидой, заданной формулой:

равна:

Циклоида
Цикло́ида
(от греч. κυκλοειδής — круглый) — плоская трансцендентная кривая. Циклоида определяется кинематически как траектория фиксированной точки производящей
окружности радиуса r
, катящейся без скольжения по прямой.
Уравнения
Примем горизонтальную ось координат в качестве прямой, по которой катится производящая окружность радиуса r
.
- Циклоида описывается параметрически
x
= rt
− r
sint
,
y
= r
− r
cost
.
- Уравнение в декартовых координатах:

- Циклоида может быть получена как решение дифференциального уравнения:

Свойства
- Циклоида — периодическая функция по оси абсцисс, с периодом 2πr
. За границы периода удобно принять особые точки (точки возврата) вида t
= 2πk
, где k
— произвольное целое число.
- Для проведения касательной к циклоиде в произвольной её точке A
достаточно соединить эту точку с верхней точкой производящей окружности. Соединив A
с нижней точкой производящей окружности, мы получим нормаль.
- Длина арки циклоиды равна 8r
. Это свойство открыл Кристофер Рен (1658).
- Площадь под каждой аркой циклоиды втрое больше, чем площадь порождающего круга. Торричелли сообщил, что этот факт Галилей открыл экспериментально: сравнил вес пластинок с кругом и с аркой циклоиды.[1]
- Радиус кривизны у первой арки циклоиды равен
.
- «Перевёрнутая» циклоида является кривой скорейшего спуска (брахистохроной
). Более того, она имеет также свойство таутохронности
: тяжёлое тело, помещённое в любую точку арки циклоиды, достигает горизонтали за одно и то же время.
- Период колебаний материальной точки, скользящей по перевёрнутой циклоиде, не зависит от амплитуды, этот факт был использован Гюйгенсом для создания точных механических часов.
- Эволюта циклоиды является циклоидой, конгруэнтной исходной, а именно — параллельно сдвинутой так, что вершины переходят в «острия».
Исторический очерк
Первым из учёных обратил внимание на циклоиду Николай Кузанский в XV веке, но серьёзное исследование этой кривой началось только в XVII веке. Название циклоида
придумал Галилей (во Франции эту кривую сначала называли рулеттой
). Содержательное исследование циклоиды провёл современник Галилея Мерсенн. Среди трансцендентных кривых, то есть кривых, уравнение которых не может быть записано в виде многочлена от x
,y
, циклоида — первая из исследуемых.
Паскаль писал о циклоиде:
Рулетта является линией столь обычной, что после прямой и окружности нет более часто встречающейся линии; она так часто вычерчивается перед глазами каждого, что надо удивляться тому, как не рассмотрели её древние… ибо это не что иное, как путь, описываемый в воздухе гвоздём колеса.
Новая кривая быстро завоевала популярность и подверглась глубокому анализу, в котором участвовали Декарт, Ферма, Ньютон, Лейбниц, братья Бернулли и другие корифеи науки XVII—XVIII веков. На циклоиде активно оттачивались методы появившегося в те годы математического анализа.
Тот факт, что аналитическое исследование циклоиды оказалось столь же успешным, как и анализ алгебраических кривых, произвёл большое впечатление и стал важным аргументом в пользу «уравнения в правах» алгебраических и трансцендентных кривых.

Астроида
Астроида — плоская кривая, описываемая точкой M
окружности радиуса r
, катящейся по внутренней стороне окружности радиуса R
= 4r
. Иначе говоря, астроида — это гипоциклоида с модулем m
= 4.
Уравнения
Уравнение в декартовых прямоугольных координатах:

параметрическое уравнение:

Свойства
Имеются четыре каспа.
- Длина дуги от точки с 0 до


· Длина всей кривой 6R
.

- Площадь, ограниченная кривой:

· Астроида является огибающей
семейства отрезков постоянной длины, концы которых расположены на двух взаимно перпендикулярных прямых.
· Астроида является алгебраической кривой
6-го порядка.
Лемниската Бернулли
Лемниска́та Берну́лли
— плоская кривая
, геометрическое место точек
, произведение расстояний от которых до двух заданных точек (фокусов
) постоянно и равно квадрату половины расстояния между фокусами.
Лемниската по форме напоминает восьмёрку
или символ бесконечности
. Её название происходит от греч.
λημνισχος — лента, повязка. В Древней Греции
«лемнискатой» называли бантик, с помощью которого прикрепляли венок к голове победителя на спортивных играх
. Эту лемнискату называют в честь швейцарского
математика Якоба Бернулли
, положившего начало её изучению.
История
Уравнение лемнискаты впервые опубликовано в статье Curvatura Laminae Elasticae
Якоба Бернулли в журнале Acta eruditorum в 1694 году. Бернулли назвал эту кривую lemniscus
и он не знал, что четырнадцатью годами ранее Джованни Кассини уже исследовал более общий случай[1]
. Квадратуру лемнискаты впервые выполнил Джюлио-Карло Фаньяно (англ.), опубликовав в 1718 году статью Metodo per misurare la lemniscata
и положив тем самым начало изучению эллиптических интегралов, продолженное впоследствии Леонардом Эйлером[2]
. Некоторые свойства кривой были также исследованы Якобом Штейнером в 1835 году
Уравнения
Рассмотрим простейший случай: если расстояние между фокусами 2c
, расположены они на оси OX
, и начало координат делит отрезок между ними пополам, то следующие уравнения задают лемнискату:
- в прямоугольных координатах:

Проведя несложные преобразования, можно получить явное уравнение:


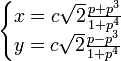
- Параметрическое уравнение в прямоугольной системе:
, где 
Это единственный вариант рациональной параметризации кривой. Уравнение полностью описывает кривую, когда параметр пробегает всю вещественную прямую
: от до . При этом, когда параметр стремится к , точка кривой стремится к (0;0) из второй координатной четверти
, а когда параметр стремится к , то — из четвёртой
Вывод уравнения :
Уравнение лемнискаты в полярной системе

подставим в формулы перехода к полярной системе координат возведённые в квадрат:

Рассмотрим первое уравнение:

Используем тригонометрические формулы
и :

Используем ещё одно легко выводимое тригонометрическое соотношение :

После преобразований:

Извлекаем корень из обеих частей равенства:

Если произвести замену , то получаем искомое выражение для x
:

Второе уравнение выводится аналогично с применением формулы .
Чтобы задать лемнискату по двум произвольным точкам, можно не выводить уравнение заново, а определить преобразование координат, при котором старый (данный) фокусный отрезок переходит в новый, и воздействовать на представленные уравнения этим преобразованием.
Свойства

Лемниската Бернулли является частным случаем овала Кассини при a
= c
, синусоидальной спирали с индексом n
= 2 и лемнискаты Бута при c
= 0, поэтому она наследует некоторые свойства этих кривых.
Свойства от овала Кассини
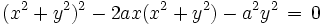
- Лемниската — кривая четвёртого порядка.
- Она симметрична относительно двойной точки — середины отрезка между фокусами.
- Кривая имеет 2 максимума и 2 минимума. Их координаты:

- Расстояние от максимума до минимума, находящихся по одну сторону от серединного перпендикуляра отрезка между фокусами равно расстоянию от максимума (или от минимума) до двойной точки.
- Лемнискату описывает окружность радиуса
, поэтому иногда в уравнениях производят эту замену.
Свойства от синусоидальной спирали
- Точка, где лемниската пересекает саму себя, называется узловой
или двойной
точкой.
- Касательные в двойной точке составляют с отрезком F
1
F
2
углы
.
- Угол μ, составляемый касательной в произвольной точке кривой с радиус-вектором точки касания равен
.
- Касательные в точках пересечения кривой и хорды, проходящей через двойную точку, параллельны друг другу.
- Инверсия относительно окружности с центром в двойной точке, переводит леминискату Бернулли в равнобочную гиперболу.
- Радиус кривизны лемнискаты есть

Собственные свойства


Гравитационное свойство лемнискаты
- Кривая является геометрическим местом точек, симметричных с центром равносторонней гиперболы относительно её касательных.
- Отрезок биссектрисы угла между фокальными радиусами-векторами точки лемнискаты равен отрезку от центра лемнискаты до пересечения её оси с этой биссектрисой.
- Материальная точка, движущаяся по кривой под действием однородного гравитационного поля, пробегает дугу за то же время, что и соответствующую хорду. При этом ось лемнискаты составляет угол
с вектором напряжённости поля, а центр лемнискаты совпадает с исходным положением движущейся точки.
- Площадь полярного сектора
, при :

- В частности, площадь каждой петли
, то есть площадь, ограниченная кривой, равна площади квадрата со стороной .
- Перпендикуляр, опущенный из фокуса лемнискаты на радиус-вектор какой-либо её точки, делит площадь соответствующего сектора пополам.
- Длина дуги лемнискаты между точками
и выражается эллиптическим интегралом I рода:
где 
- В частности, длина всей лемнискаты

|