Реферат: Курс: 4 Проверил: Колясников А. И. г. Москва, 2008 год
|
Название: Курс: 4 Проверил: Колясников А. И. г. Москва, 2008 год Раздел: Остальные рефераты Тип: реферат |
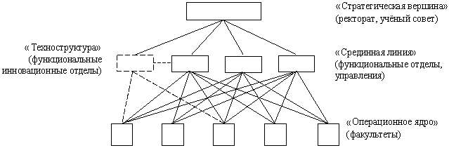
| Профессиональный Институт Управления Реферат по теме: Система управления высшим учебным заведением Специальность: Финансы и кредит № группы: УФВЗ-418-ОСнг-3 Курс: 4 Проверил: Колясников А.И. г. Москва, 2008 год. Содержание Введение Модель управления высшим учебным заведением Инновационная матричная система управления высшим учебным заведением Заключение Список используемой литературы Введение Высшие учебные заведения накопили определенный опыт внедрения современных методов управления качеством образования, включающий: - расширение в высших учебных заведениях страны практики по созданию, внедрению и сертификации систем управления качеством образования в соответствии с требованиями и рекомендациями российского стандарта по менеджменту качества (ГОСТ Р ИСО 9001:2001) и принципами Всеобщего менеджмента качества (TQM); - проведение высшими учебными заведениями самооценки в целях определения достижений и недостатков в учебной, научной, административной, финансово-экономической и хозяйственной деятельности; - создание в ряде высших учебных заведений систем стратегического партнерства, обеспечивающих обратные связи вузов с потребителями их выпускников; - участие высших учебных заведений в конкурсе на соискание премии Правительства Российской Федерации в области качества; - рост числа высших учебных заведений, принимающих участие в ежегодном конкурсе «Внутривузовские системы обеспечения качества подготовки специалистов», организованном Минобразованием России в 2000 году. В период с 2000- 2004 годы в конкурсе приняли участие 139 вузов. Однако, исходя из анализа опыта разработки и внедрения внутривузовской системы управления качеством образования в высших учебных заведениях, можно выделить ряд проблем, которые затрудняют создание и эффективное использование таких систем: отсутствие устоявшейся нормативно-правовой базы для четкой и последовательной организации работ по созданию систем управления качеством образования в высших учебных заведениях; дефицит методических пособий и рекомендаций по внедрению принципов менеджмента качества в образовательных учреждениях; слабое обеспечение квалифицированными менеджерами на среднем уровне управления высшим учебным заведением; инертность части профессорско-преподавательского состава к внедрению новых принципов управления качеством образования; разрыв связей с промышленными предприятиями, что создает значительные трудности в организации производственных практик студентов, недостаточный мониторинг динамики рынка труда; медленное обновление учебно-лабораторных, материально-технических и библиотечных фондов. Для совершенствования разработки и внедрения внутривузовских систем управления качеством необходимо: разработать методологию проектирования и оценки системы качества вуза на основе гармонизации требований государственных образовательных стандартов, аккредитационных показателей и международных требований и стандартов; разработать проект единой терминологической базы в высшем профессиональном образовании и в области управления качеством профессионального образования; проведение апробации базовой модели системы управления качеством образования и системы показателей по основным критериям, определяющим деятельность, эффективность высших учебных заведений; развитие системы повышения квалификации работников вузов в области обеспечения качества образования; формирование комплекса научно-методических проектов по задачам оценки качества образования, разработки и внедрения систем управления качеством вузов. Выполнение всего вышеперечисленного комплекса работ требует проведения исследований, учитывающих международный и российский опыт создания системы менеджмента качества в высших учебных заведениях. В основном, выделяются три направления совершенствования управления академической деятельностью: совершенствование управления учебным процессом на основе его формализации, его компьютеризации, закономерностей межличностных отношений. Безусловно, представленные направления актуальны и востребованы высшей школой. Но не менее важной является оценка состоятельности используемых методов для достижения поставленных целей, необходимая методическая подготовка - свидетельство истинного умения управлять. Пожалуй, только компьютеризация управления высшим учебным заведением и академической деятельностью, в частности, представлена крайне интересными образцами ведущихся разработок. Анализ методов, предлагаемых для совершенствования управления академической деятельностью в высшем учебном заведении, показывает, что они представляют собой обобщения педагогики высшей школы, педагогической психологии советского периода развития России. С глубоким уважением относясь к истории российской высшей школы, - она продемонстрировала великолепные достижения своей работы, хотелось бы подчеркнуть существенное различие в целевых установках деятельности высшей школы в советский период и настоящее время. Поэтому оценочные требования к личностным качествам преподавателя, такие как наблюдательность, рефлексия, остроумие, ораторские способности, артистичность, столь необходимые, когда процесс обучения на 70-80 % представлял собой аудиторные занятия, существенно теряют свою значимость, когда центр тяжести обучения переносится на самостоятельную работу, погруженную в современные информационные ресурсы. Поэтому разработка контрольно-измерительных материалов, ориентированных на перечни знаний, умений и навыков Государственных образовательных стандартов, вряд ли будет эффективной, пока остается не определенным само понятие "потребительское качество подготовки специалистов". Проанализируем модель управления высшим учебным заведением, наиболее распространенную в российской высшей школе (см. рис. 1). Она представляет собой вертикальную трехуровневую структуру: "стратегическая вершина" (ректорат, ученый совет вуза) - "срединная линия" (общевузовские управления, отделы) - "операционное ядро" (факультеты). Использованная терминология соответствует общепринятому анализу организаций Г. Минцберга.
Рис. 1. Трехуровневая система линейного управления высшим учебным заведением Представленная модель управления является линейной, решение, генерируемое "стратегической вершиной", обязательно для исполнения каждого структурного подразделения из "операционного ядра". Существующая функциональность "срединной линии" представляет собой наиболее усовершенствованный вариант линейной модели. Такая система достаточно успешно работает, когда организация, в том числе и высшее учебное заведение, действует в среде плановой экономики. Это не удивительно, так как планово-распорядительная система предполагала исполнение всеми производящими подразделениями однотипных согласованных во времени действий. Успешное функционирование и развитие высшего учебного заведения в рыночной среде требуют активного наращивания внебюджетных источников финансирования. А это предполагает самостоятельность действий на основе принципа автономии, установленного Федеральным законом "Об образовании". Как ни странно, узким местом линейной системы управления высшим учебным заведением в такой ситуации становится ее "срединная линия". Это связано с тем, что активная самостоятельная работа вуза требует от "срединной линии" выполнения информационно-аналитических и организационных функций наряду с традиционными контрольно-рапорядительными. К такого рода деятельности "срединная линия" не готова ни организационно, ни содержательно. Собственно говоря, как следует из анализа Г. Минцберга, такой путь реформирования управления проходят все организации, в том числе и высшие учебные заведения, чтобы успешно работать в среде рыночной экономики. Рассмотренная выше модель (см. рис. 1) трансформируется в модель, представленную на рис. 2.
Рис. 2. Инновационная матричная система управления высшим учебным заведением Как видно из рис. 2, трехуровневая структура управления высшим учебным заведением "стратегическая вершина" - "срединная линия" - "операционное ядро" приобретает дополнительный элемент - "техноструктуру" (технологическую структуру). "Техноструктура" занимает уровень "срединной линии", но не является ее составляющей, так как отличается от "срединной линии" по выполняемым функциям, используемым принципам и целям действий. Если основные функции "срединной линии" по своей сущности являются контрольно-распорядительными, то функции "техноструктуры" - преимущественно организационными. Задачи "техноструктуры" концентрируются на анализе эффективности того или иного вида деятельности высшего учебного заведения и организации в этом виде деятельности инноваций. Естественно, характер инноваций, требующий соответствующего уровня подготовленности, предполагает совместное участие в них либо всех, либо только части структурных подразделений "операционного ядра". В любом случае в основе действий "техноструктуры" лежит матричный принцип управления, в то время как функционирование "срединной линии" базируется на линейном принципе. Появление "техноструктуры" в управлении высшим учебным заведением представляет собой инструмент организации активных действий вуза в рыночной среде. Кроме того, становление и развитие "техноструктуры" является необходимым условием успешной трансформации высших учебных заведений в учебно-научно-инновационные комплексы (УНИК). Перескакивание через этап естественных подготовительных преобразований управления может свести формирование УНИК к не более чем кампании с присущей такого рода мероприятиям результативностью. Реализуя инновационный образовательный проект "Система менеджмента образовательной деятельности в университете - региональном многопрофильном центре профессионального образования", поддерживаемый Национальным фондом подготовки кадров, в Мордовском государственном университете создан один из элементов "техноструктуры" - Инновационный образовательный центр (ИОЦ), призванный обеспечить инновационный процесс в академической деятельности университета. Объективная необходимость инноваций в академической деятельности регионального университета определяется следующими факторами. 1. Региональный многопрофильный университет играет ключевую роль в инновационном развитии региона, так как во многих случаях является монопольным источником кадрового обеспечения практически всех отраслей региона. 2. Эффективное участие в процессах инновационного развития региона требует от специалистов, во-первых, практического освоения фундаментальных основ специальности, во-вторых, углубленного изучения перспективных методов и технологий специальности, в-третьих, дополнительного освоения знаний, умений и навыков из других специальностей, необходимых для успешной работы. В связи с этим целью деятельности созданной "техноструктуры" - Инновационного образовательного центра является организационное и научно-методическое обеспечение инновационной академической деятельности университета. Исходя из цели деятельности ИОЦ, а также основных функций "техноструктуры", таких как информационно-аналитическая и организационная, в Положении об Инновационном образовательном центре университета определены следующие задачи: - исследование тенденций и перспектив развития высшего профессионального образования; - подготовка материалов для стратегического планирования деятельности университета; - маркетинговое исследование регионального рынка труда на предмет установления количественных и качественных запросов потребителей образовательных услуг (работодателей, физических лиц); - подготовка предложений для определения способов диверсификации академической деятельности по специальностям подготовки в Университете в виде следующих образовательных траекторий: - углубленная специализация; - дополнительная квалификация; - вторая специальность; - разработка нормативной учебно-методической документации (образовательный стандарт, учебный план, образовательные программы, график учебного процесса) для реализации образовательных траекторий диверсифицированной академической деятельности; - реализация диверсифицированной академической деятельности и ее сопровождение; - разработка методов управления качеством образовательной деятельности в университете; - подготовка материалов для независимой экспертизы качества образовательной деятельности; - обеспечение связей с общественностью по вопросам образовательной деятельности университета. Одной из первых акций созданной "техноструктуры" - Инновационного образовательного центра университета по реализации поставленных задач стало проведение анкетирования студентов "Студент и региональный рынок труда". В анкетировании приняло участие 569 студентов 2-4 курсов, обучающихся на специальностях "Математика", "Физика", "Химия", "Менеджмент", "Юриспруденция", "Социальная работа", "Светотехника и источники света", "Промышленная электроника", "Микроэлектроника и твердотельная электроника". Репрезентативность выборки обеспечивалась участием респондентов, обучающихся на всех направлениях подготовки университета (естественно-научном, гуманитарном и инженерно-техническом), а также на различных курсах. Анализ полученных результатов показывает, что большинство опрошенных студентов оценивают свои шансы трудоустройства на региональном рынке труда в рамках традиционной системы профессиональной подготовки как средние (54 %) и низкие (36 %). Только 10 % респондентов полагает, что будущее трудоустройство по специальности не вызовет у них больших затруднений. Определенным выходом из сложившейся ситуации значительная часть опрошенных называет получение дополнительного образования в виде углубленной специализации, дополнительной квалификации или второго образования. 94 % опрошенных считает, что современному работодателю крайне выгодно привлечение специалистов, способных работать не только по основной специальности, но и обладающих знаниями, умениями и навыками из областей, с которыми основная специальность взаимодействует в своей практической деятельности. Поэтому более 41 % респондентов намерены после окончания университета получить второе высшее образование, около 39 % предполагают обдумать это решение. Весьма примечательно, что около 80 % опрошенных считают, что шансы на трудоустройство увеличивает получение за период обучения в университете углубленной специализации, дополнительной квалификации или еще одной специальности, причем 79 % респондентов готовы участвовать в той или иной форме своего дополнительного образования. Приведенная оценка является на самом деле оценкой "сверху" реальной готовности получения дополнительных образовательных услуг, так как только 57-67 % опрошенных (в зависимости от вида дополнительного образования) готовы оплачивать предлагаемые дополнительные образовательные услуги. Крайне важно отметить, что выбор студентами своей возможной дополнительной квалификации или второй специальности не является результатом эмоционального решения. Избранные направления дополнительного образования тесным образом сопрягаются с основной специальностью подготовки. Так, например, для специальностей инженерно-технического и естественно-научного направлений преимущественное место занимает дополнительная квалификация "Управление качеством", для специальности "Социальная работа" - "Управление персоналом", для специальности "Менеджмент" - вторая специальность "Юриспруденция". По своей сути последний результат представляет собой не что иное, как настоятельную востребованность диверсификации академической подготовки по основной специальности. Кроме того, результаты анкетирования показывают требования потребителей образовательных услуг к развитию и совершенствованию Классификатора специальностей высшего профессионального образования. Заключение. Проведенное анкетирование студентов "Студент и региональный рынок труда" можно считать началом деятельности создаваемой в университете маркетинговой службы, которая должна приобрести постоянный характер. Полученные результаты маркетинговых исследований стали основой организации разработки необходимой нормативной учебно-методической документации, обеспечивающей реализацию востребованной диверсификации академической деятельности в университете. Для такой работы необходимо объединение усилий тех или иных пар факультетов, участвующих в диверсифицированной академической деятельности. Подобный результат, приводящий, в конечном итоге, к активным действиям университета на региональном рынке труда, является следствием матричного управления академической деятельностью созданной "техноструктурой" - Инновационным образовательным центром. Список используемой литературы 1. Макаркин Н. П. Матричное управление в высшем учебном заведении / Н. П. Макаркин, О. Б. Томилин, И. М. Фадеева // Университетское управление: практика и анализ. - 2004. - N 1(30). С. 43-47 2. Minzberg H. Structure in fives. Designing effective organizations. New Jersey: Engewood Cliffs, Prentice Hall, 1992. 3. Развитие стратегического подхода к управлению в российских университетах / Под ред. Е. А. Князева. Казань: Унипресс, 2001. 4. Министерство образования и науки РФ. Федеральное агентство по образованию. Решение коллегии № 3/1от 16 ноября 2004 г., г. Москва |

