Реферат: работа
|
Название: работа Раздел: Остальные рефераты Тип: реферат | ||||||
| Московский государственный институт электроники и математики (технический университет) Кафедра ЭВА Учебная дисциплина: «Основы Теории Управления». Курсовая работа Выполнили студенты группы С-55 Николаев Артём Грунау Андрей Шимов Олег Преподаватель: к. т. н., доцент Маркин П.М. Москва 2003 Оглавление Введение Задачами линейной теории автоматического управления и регулирования являются: 1) изучение динамических свойств и характеристик различных типов звеньев автоматических систем любой физической природы и конструкции; 2) формирование функциональных и структурных схем автоматического управления и регулирования; 3) построение динамических характеристик этих систем; 4) определение ошибок и показателей точности замкнутых систем; 5) исследование устойчивости замкнутых систем; 6) оценка качественных показателей процессов управления; 7) определение чувствительности систем к изменению параметров и других факторов; 8) изучение различных видов корректирующих устройств, вводимых в системы для повышения точности и улучшения динамических качеств; 9) создание частотных, корневых и других методов синтеза корректирующих устройств и различных методов оптимизации систем по показателям качества; 10) разработка методов анализа и синтеза сложных многомерных и комбинированных систем автоматического управления. В данной работе проводится определение коэффициента усиления звена системы управления и анализ устойчивости этой линейной системы. Для этой цели используются: · Алгебраические критерии. Они позволяют судить об устойчивости системы по коэффициентам характеристического уравнения. · Частотные (геометрические) критерии, позволяющие судить об устойчивости систем по виду их частотных характеристик. Эти критерии являются графоаналитическими и позволяют сравнительно легко исследовать устойчивость систем высокого порядка, а также имеют простую геометрическую интерпретацию. Все это является базой для построения замкнутых автоматических систем и для инженерных расчетов при анализе существующих и проектировании новых систем автоматического управления. Эти методы широко применяются не только для систем регулирования и управления как таковых, но и во всех случаях анализа и разработки замкнутых динамических контуров в любых технических системах, в биотехнических и в экономических системах. Техническое задание Для заданной модели определить коэффициент усиления (K) звена системы с тем, что система будет А) устойчивой Б) неустойчивой Построить частотные и временные характеристики.
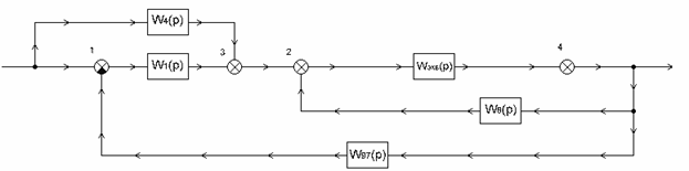
Основная часть 1. Анализ устойчивости Вначале упрощаем схему по правилам структурных преобразований:
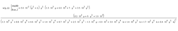
Теперь на основании проделанных преобразований, соблюдая условия преобразования, запишем окончательную формулу (передаточную функцию).
Где
После подстановки значений wi имеем:
где знаменатель:
Под устойчивостью системы понимают свойство затухания переходного процесса с течением времени, иначе говоря, - следующее свойство свободного движения системы: Xсоб (t) → 0 при t → ∞ . Необходимым условием устойчивости системы любого порядка является положительность всех коэффициентов характеристического уравнения. Данное уравнение противоречит этому условию, т.к. в нем есть отрицательные коэффициенты, не зависящие от K, поэтому система будет неустойчивой при любых значениях К. Поэтому дальнейший анализ устойчивости не имеет смысла. Пусть К=1, тогда уравнение можно упростить:
2. Временные характеристики Временные характеристики это графики переходных функций. Переходная функция h(t) есть функция, описывающая реакцию системы (звена) на единичное ступенчатое воздействие при нулевых начальных условиях. График переходной функции можно получить следующим образом: · Дан дифур, описывающий систему (W(t)). С помощью преобразования Лапласа его нудно перевести в операторную форму (W(p)). · W(p)=Y(p)/V(p), где Y(p) – реакция системы, а V(p) – входное воздействие · Получаем Y(p)=W(p)*V(p) · Если V(p) – единичная ступенька (1(t)), то она задается как 1/s · Если V(p) – импульс, то она задается как (1-e- p )/p ( 1(t)-1(t-1) ) · Функцию Y(t) получаем с помощью обратного преобразования Лапласа. График: на входе ступенька (1), помехи (0,05), t=1c
График: на входе ступенька (1), помехи (0,05), t=50c
График: на входе ступенька (1), помехи (0,00), t=1c
График: на входе ступенька (1), помехи (0,00), t=50c
График: на входе прямоугольный импульс (высота 1, длительность 1), помехи (0,05), t=5c
График: на входе прямоугольный импульс (высота 1, длительность 1), помехи (0,05), t=50c
График: на входе прямоугольный импульс (высота 1, длительность 1), помехи (0,00), t=5c
График: на входе прямоугольный импульс (высота 1, длительность 1), помехи (0,00), t=50c
3. Частотные характеристики Частотные характеристики получаются при рассмотрении вынужденных движений системы при подаче на ее вход гармонического воздействия. Если подставить в передаточную функцию чисто мнимое значение p=jω, то получим комплексную функцию, которую можно представить в виде: W(p)=X(ω)+jY(ω)=W(ω)*ejψ ( ω) где X(ω) это действительная часть, а Y(ω) – мнимая. W(ω) и ψ(ω) представляют собой модуль и фазу (аргумент) вектора W(jω). Критерий устойчивости Михайлова: для того, чтобы система автоматического управления была устойчива, необходимо и достаточно, чтобы кривая (годограф) Михайлова при изменении частоты ω от 0 до ∞, начинаясь при ω=0 на вещественной положительной полуоси, обходила только против часовой стрелки последовательно n квадрантов координатной плоскости, где n – порядок характеристического уравнения. Признаком неустойчивости системы является нарушения числа и последовательности пройденных кривой Михайлова (годографом) квадрантов координатной плоскости, вследствие чего угол поворота вектора W(jω) оказывается меньше, чем πn/2. Ампитудно-частотная характеристика (АЧХ)
Ампитудно-частотная характеристика (АЧХ)
Логарифмическая ампитудно-частотная характеристика (ЛАЧХ)
4. Годограф
Заключение Используемая литература:
5. Программы: MathCAD 2001 SamSim 1.0.7 |





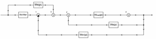
Возьмём исходную схему и поменяем местами второй и третий сумматоры.
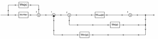
Свернём W9
(p) и W7
(p) в W97
(p) = W9
(p)*W7
(p), а также свернём W2
(p), W3
(p) и W5
(p) в Wэкв
(p) = W2
(p)* W3
(p) + W5
(p)


















