Реферат: Работа энергоблока пгу кэс на базе гту ansaldo Energia V64. 3A при изменении температуры наружного воздуха
|
Название: Работа энергоблока пгу кэс на базе гту ansaldo Energia V64. 3A при изменении температуры наружного воздуха Раздел: Остальные рефераты Тип: реферат | |||||||||||||||||||||||||||||||||||||||||||||||||||||||||||||||||||||||||||||||||||||||||||||||||||||||||||||||||||||||||||||||||||||||||||||||||||||||||||||||||||||||||||||||||||||||||||||||||||||||||||||||||||||||||||||||||||||||||||||||||||||||||||||||||||||||||||||||||||||||||||||||||||||||||||||||||||||||||||||||||||||||||||||||||||||||||||||||||||||||||||||||||||||||||||||||||||||||||||||||||||||||||||||||||||||||||||||||||||||||||||||||||||||||||||||||||||||||||||||||||||||||||||||||||||||||||||||||||||||||||||||||||||||||||||||||||||||||||||||||||||||||||||||||||||||||||||||||||||||||||||||||||||||||||||||||||||||||||||||||||||||||||||||||||||||||||||||||||||||||||||||||||||||||||||||||||||||||||||||||||||||||||||||||||||||||||||||||||||||||||||||||||||||||||||||||||||||||||||||||||||||||||||||||||||||||||||||||||||||||||||||||||||||||||||||||||||||||||||||||||||||||||||||||||||||||||||||||||||||||||||||||||||||||||||||||||||||||||
Курсовая работаДисциплина: Режимы работы ТЭС Тема: Работа энергоблока ПГУ КЭС Текст предоставляется для ознакомления и использования в качестве образца. Модификация только правкой титульного листа и удалением комментариев в угловых скобках с целью выдачи данной работы за свою запрещена и может повлечь преследование по закону и по понятиям! Выполнил студент гр. 5037/1 ................................................... А. В. Игнатьев Принял преподаватель .................................................................. Д. А. Трещёв «___» _________ 2010 г. Оглавление Введение............................................................................................................................................. 3 Исходные данные............................................................................................................................... 3 1. Расчёт режима работы ГТУ........................................................................................................... 3 1.1. Описание ГТУ и методика расчёта........................................................................................... 3 1.2. Проверка баланса ГТУ................................................................................................................ 4 2. Расчёт одноконтурной утилизационной ПСУ............................................................................ 5 2.1. Основные расчётные зависимости и допущения.................................................................... 5 2.2. Алгоритм расчёта параметров на режиме................................................................................ 8 2.3. Проверка расчёта КПД ПГУ по обратному методу............................................................... 10 3. Расчёт двухконтурной утилизационной ПСУ.......................................................................... 13 3.1. Основные особенности расчётной модели по сравнению с одноконтурной..................... 13 3.2. Расчёт двухконтурной модели................................................................................................. 13 3.3. Проверка расчёта КПД ПГУ по обратному методу............................................................... 14 Вывод................................................................................................................................................ 19 Список использованной литературы............................................................................................. 20 Приложения: П.1. Система уравнений, описывающая одноконтурную ПГУ П.2. Алгоритм расчёта одноконтурной ПГУ П.3. Система уравнений, описывающая двухконтурную ПГУ П.4. Алгоритм расчёта двухконтурной ПГУ П.5. Пример подпрограммы расчёта газоводяного (газопарового) теплообменника
Парогазовые установки отличаются высоким КПД, рассматриваются в перспективе как инструмент покрытия полупиковой электрической нагрузки; значительное количество ПГУ сооружается в настоящее время в России и за рубежом. В данной работе рассматривается два варианта энергоблока на базе двух турбин Ansaldo Energia V64.3A: с одним и двумя уровнями давления генерируемого в котле-утилизаторе пара. Показатели ГТУ в значительной степени зависят от температуры воздуха перед компрессором; при изменении расхода уходящих газов и их температуры меняются и показатели утилизационного парового контура. В данной работе на базе произведённого в курсе «Парогазовые ТЭС» проектирования ПГУ на номинальный режим (при среднегодовых показателях атмосферных условий) рассчитывается режим работы блоков при температуре наружного воздуха, отличающейся от расчётной. Исходные данные Режим ПГУ в настоящем расчёте определяется температурой наружного воздуха. Для расчётного режима ПГУ она принята по среднегодовому значению для места установки (Санкт-Петербурга) по СНиП, для переменного задана преподавателем. Она влияет также на работу градирни, что сказывается на температуре охлаждающей воды [см. 1, c. 459]. Таблица 1. Исходные данные к расчёту номинального и переменного режима
1. Расчёт режима работы ГТУ 1.1. Описание ГТУ и методика расчёта Газотурбинная установка V64.3A итальянской фирмы Ansaldo Energia выпускается по лицензии фирмы Siemens (другое название установки SGT‑1000F) с 1997 г. Схема ГТУ представлена на рис. 1. В состав ГТУ входят: 15‑ступенчатый осевой компрессор (1) с подвижным входными направляющим аппаратом (ВНА), кольцевая камера сгорания (2), 4х ‑ступенчатая турбина (3). При частоте вращения вала турбины 5400 об/мин через редуктор (4) может осуществляться привод генератора (5) с частотой вращения как 3000, так и 3600 об/мин. Работа газотурбинной части ПГУ по расчётной схеме не зависит от работы утилизационной части, поэтому она рассчитывается отдельно в первую очередь. Показатели ISO – это паспортные данные для ГТУ, приведённые для работы на чистом метане на уровне моря, при относительной влажности 60% и t
н.в
= +15°C, без потерь давления воздуха на входе и газов на выходе. В работе учитывается, что величины температуры за газовой турбиной T
4
, мощности ГТУ на клеммах генератора N
ГТУ
, её КПД
Пересчёт показателей ГТУ по ISO на расчётные условия
1.2. Проверка баланса ГТУ Проверка баланса для условий ISO и расчётного среднегодового режима выполнялась в курсе «Парогазовые установки». Аналогичным образом выполним её для переменного режима. Расход топлива
тогда с учётом того, что теоретически необходимое количество влажного воздуха
Энтальпии уходящих газов данного состава при стандартной температуре и T 4
Энтальпии топлива при стандартных условиях и на входе в КС h
топ
ориентировочно равны
2. Расчёт одноконтурной утилизационной ПСУ 2.1. Основные расчётные зависимости и допущения Схема установки – дубль-блока мощностью 220 МВт – изображена на рис. 3. <Трещёв: нагрев воды в деаэраторе на номинальном режиме порядка где-то 5 град.> Конденсатный насос подаёт конденсат в газовый подогреватель конденсата, с выхода которого для предотвращения конденсации часть воды специальным насосом подаётся на вход. Далее вода поступает в деаэратор с постоянным давлением p
д
= 0,12 МПа (t
д
= 105°C, h
′д
= 439,3 кДж/кг, h
″д
= 2683,06 кДж/кг). Выпар из деаэратора осуществляется в количестве y к = (h ″|p к – h к сух )(r |p к +K вл ηоi сух (h ″ – h кt )), где K вл – поправка на среднюю влажность (на сколько процентов падает КПД влажного отсека при её росте на 1%), примем K вл = 0,5<от 0,5 до 0,9>; h к сух – условная энтальпия влажного пара в конденсаторе, которая была бы там, если бы КПД процесса после достижения паром параметров насыщения (энтальпии h ″) сохранялся на уровне ηоi сух. Восполнение потерь рабочего тела в контуре осуществляется в приямок конденсатора насыщенной водой. Для упрощения расчётов пренебрегаем потерями с наружным охлаждением элементов, протечками, тепловыделением в конденсатных и рециркуляционных насосах, наличием охладителей пара уплотнений и холодильников эжекторов. Считаем, что принятые относительные перепады давления сохраняются на режиме, т. е. на концах любого элемента
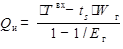
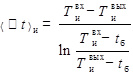
Для поверхностей теплообмена в котле-утилизаторе можно написать уравнения теплообмена вида
![]() (T , I обозначаем температуры и энтальпии газов, t , h – воды и пара). В действительности средний температурный напор отличается от среднелогарифмического в некоторое примерно постоянное число раз ψ, но, поскольку нас в данном расчёте интересуют относительные изменения величин, этим можно пренебречь. В испарительную поверхность сначала поступает недогретая вода, затем под напором циркуляционного насоса пароводяная смесь кипит при температуре, большей температуры в барабане (рис. 4). Без значительного роста погрешности можем считать, что
Коэффициенты теплопередачи на поверхностях нагрева зависят прежде всего от расхода газов. Из опыта практических наблюдений можем оценить их изменение по формуле ki = ki 0 G ух . Параметры для элементов КУ отражены в таблице 3. Помимо теплоты от газов, рабочее тело получает энтальпию от работы насосов:
Таблица 2. Параметры поверхностей теплообмена КУ
Составив также уравнения теплового баланса для каждого элемента котла-утилизатора
можем, в сочетании с материальными балансами элементов, уравнением турбинного процесса и таблицами свойств воды, пара и газов, получить систему уравнений, описывающую ПГУ. Такая система представлена в приложении 1. 2.2. Алгоритм расчёта параметров на режиме Сложность и нелинейность полученной модели котла-утилизатора не позволяют решать систему уравнений для ПГУ аналитически. Решение с необходимой точностью может быть получено методом последовательных приближений. Задавшись некоторыми начальными значениями ряда параметров, производят расчёт системы по имеющимся формулам и получают уточнённые значения тех же параметров, которые, если они расходятся с принятыми ранее более чем на заданную величину, подставляются в следующую итерацию. Для проведения численного расчёта на сходимость используется алгоритм со вложенными циклами, реализованный на базе электронных таблиц OpenOffice.org Calc с программированием циклов и подстановок на встроенном BASIC. Форма представления расчётных зависимостей оказывает существенное влияние на скорость и устойчивость сходимости. Например, уравнение Стодолы можно применить для определения начального давления процесса расширения, но следует избегать его применения для расчёта конечного давления, поскольку полученная величина имеет сравнительно большой разброс и процесс вычисления может завершиться ошибкой извлечения корня из отрицательного числа. Также уравнение теплоотдачи
Данное выражение может быть заложено в отдельную подпрограмму, которая после небольшого числа циклов производит расчёт теплообменника по входным температурам и расходам сред, давлениям пара на входе и выходе, составу уходящих газов и комплексу ki Fi . Пример такой подпрограммы приведён в приложении 5. Теплофизические свойства веществ в программе определяются по полиномам из [2] (для газов) и формуляции IF‑97 (для воды и пара). Аналогичные выражения для испарительного элемента с известной входной температурой газов и элемента с одной фазой, у которого заданы температуры сред на горячем конце, принимают вид соответственно
Расход греющего пара на деаэратор по отношению к расходу конденсата можно определить как
Кроме того, для улучшения сходимости можно использовать переходы, отличающиеся от простой подстановки нового значения (при этом последовательность таких переходов должна сходиться к требуемой величине). Например, итерации по недогреву в экономайзере Список переменных, определяемых для данного алгоритма методом последовательных приближений, представлен в таблице 4; сам алгоритм приведён в приложении 2. После 51 цикла нижнего уровня (по t 0 ) алгоритм сошёлся с требуемой точностью, результаты приведены в таблице 5. Таблица 3. Организация расчёта на сходимость: циклы и переменные
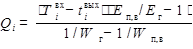
2.3. Проверка расчёта КПД ПГУ по обратному методу КПД ПГУ при расчёте определялся по прямому методу
Потери энергии в ПГУ включают следующие компоненты: · теплота уходящих газов, за вычетом теплоты воздуха и топлива, Q
ух
= 2(G
ух
I
ух
–G
в
I
в–10
–G
топ
h
топ
)=2·(226,47·472,98–222,02·225,63–4,46·1579,7) = · теплота, отводимая в конденсаторе, Q
к
=2G
0
(h
к
–h
к
´)=2·28,57·(2323,49–142,16)= · потери в ГТУ в генераторе, на трение в подшипниках и редукторе и наружное охлаждение
· потери в генераторе и на трение в утилизационной установке ΔN пт = N г (1/(ηм ηг )–1) = 64540·(1/(0,995·0,985)–1) = 1303 кДж/с; · потери с рабочим телом (выпар, продувка) с отсчётом от энтальпии подпитки
Таблица 4. Результаты итеративного расчёта одноконтурной ПГУ
3. Расчёт двухконтурной утилизационной ПСУ 3.1. Основные особенности расчётной модели по сравнению с одноконтурной Схема ПГУ с паровым циклом двух давлений приведена на рис. 7. Из общего ГПК конденсат поступает в деаэратор и разделяется на два потока, подаваемые двумя независимо регулируемыми группами питательных насосов различного напора и подачи в два экономайзера. Испаритель низкого давления установлен в рассечку экономайзера высокого давления (ЭкВ), экономайзер низкого давления параллелен первой ступени этого экономайзера (условно считаем, что перепад давления поделён между двумя ступенями ЭкВ поровну). Вторая ступень ЭкВ параллельна пароперегревателю низкого давления (ПеН). Деаэратор обогревается насыщенным паром низкого давления; весь пар высокого давления поступает через ПеВ в голову турбины. На той ступени, где это возможно, к нему подмешивается свежий пар низкого давления, и далее оба потока работают совместно до конденсатора; камера смешения учитывается как перепад давления δp
кс
= 0,03 для обоих потоков. Таким образом, система уравнений для турбины состоит из условия согласования потоков по давлению
Расчёт котла-утилизатора производится аналогично предыдущему варианту, с отсчётом энтальпий от выхлопа газовой турбины. Сложность представляет запись уравнений теплообмена для элементов КУ с параллельными потоками (ЭкВ1 и ЭкН, ЭкВ2 и ПеН), которые являются трёхпоточными теплообменниками. Поскольку для номинального режима принято, что оба потока влияют на температуру газов одинаково, фактически в этом случае они представляют собой два параллельно включённых по газам двухпоточных теплообменника, расход газов между которыми распределён пропорционально тепловосприятию соответствующих пучков. Учитывая, что параметры охлаждения газов и на переменном режиме остаются близки и любой уровень их смешения между пучками мало повлияет на результат, можем продолжать считать потоки газов около параллельных поверхностей разделёнными. Тепловой баланс элемента «а+б» с параллельными поверхностями «а» и «б» по газам будет записан как
3.2. Расчёт двухконтурной модели
В этой модели число расчётных величин и трансцендентных уравнений почти удвоилось по сравнению с предыдущей, поэтому алгоритм получается сложнее и глубина циклов больше. Тем не менее, общий принцип решения задачи тот же самый. Данные о теплообмене представлены в табл. 6, информация о циклах и переменных – в табл. 7, алгоритм и список равенств – в приложениях 3 и 4, результаты расчёта – в табл. 8 и на рис. 8, 9 3.3. Проверка расчёта КПД ПГУ по обратному методу Проверка ведётся аналогично предыдущему пункту, с учётом потерь на продувку из двух контуров. Q
ух
= 2(G
ух
I
ух
–G
в
I
в–10
–G
топ
h
топ
)=2·(226,47·382,3–222,02·225,63–4,46·1579,7) = Q к =2ΣG 0 (h к –h к ´)=2·35,64·(2330,31–142,16) = 155 924 кДж/с;
ΔN пт = N г (1/(ηм ηг )–1) = 74025·(1/(0,995·0,985)–1) = 1504 кДж/с;
Таблица 5. Параметры поверхностей теплообмена двухконтурного КУ
Таблица 6. Организация расчёта на сходимость: циклы и переменные
Таблица 7. Результаты итеративного расчёта двухконтурной ПГУ
Вывод Итоги расчёта параметров ПГУ и их изменения по сравнению с номинальными при снижении температуры окружающего воздуха на Таблица 8. Итоги расчёта (величины и их приращения от номинальных)
При снижении температуры окружающего воздуха растёт расход газов и снижается их температура. Хотя в конвективных поверхностях нагрева при росте расхода усиливается теплообмен, для пароперегревателя влияние температуры сильнее, и t 0 падает. Аналогичным образом снижается удельное тепловосприятие испарителя, а значит, удельный расход пара. Однако для испарителя низкого давления из-за повышения энтальпии уходящих газов и снижения отбора от них тепла эффект получается уже противоположный; в любом случае растёт температура уходящих газов, и, следовательно, снижается КПД ПГУ. Снижение КПД менее выражено на одноконтурной установке, где рост абсолютного расхода пара компенсирует для паровой турбины снижение его параметров, но всё равно на двухконтурной он остаётся выше. При этом мощность всей ПГУ в зоне работы ГТУ при T 4 = const. растёт при снижении температуры перед компрессорами. Список использованной литературы 1. Тепловые и атомные электрические станции: Справочник / Под общ. ред. В. А. Григорьева, В. М. Зорина. М., 1989. 2. Ривкин С. Л. Термодинамические свойства газов: Справочник. М., 1987. 3. Загорученко В. А., Журавлев А. М. Теплофизические свойства газообразного и жидкого метана. М., 1969. 4. Ромахова Г. А. Газотурбинные установки электростанций. СПб., 2008. 5. СНиП 23-01-99*. Строительная климатология. 6. Gas Turbines: Ansaldo Energia: A Finnmeccanica Company. Recco, 2008. (загружено по ссылке http://www.ansaldoenergia.com/PDF/Gas_Turbines.pdf)
Рис. 2. Графики поправочных коэффициентов для ГТУ
Рис. 5. T – H диаграммы одноконтурного котла-утилизатора
Рис. 6. Процессы расширения в паровой турбине одного давления
Рис. 8. T – H диаграммы двухконтурного котла-утилизатора
Рис. 9. Процессы расширения в паровой турбине двух давлений Приложение 1. Список формул для расчёта режима одноконтурной ПГУ котёл
деаэратор У.М.Б.: турбина Давления: Уравнение Стодолы: Уравнение процесса: конденсатор Ур. теплообмена: Q
к
= G
0
r
к
x
к
, У.М.Б.: Приложение 3. Список формул для расчёта режима двухконтурной ПГУ котёл
деаэратор У.М.Б.: турбина Давления: Уравнение Стодолы: см. ajhveks (1, 2) Смешение потоков: Уравнение процесса: конденсатор Ур. теплообмена: Q
к
= G
0в+н
r
к
x
к
, У.М.Б.: |
|||||||||||||||||||||||||||||||||||||||||||||||||||||||||||||||||||||||||||||||||||||||||||||||||||||||||||||||||||||||||||||||||||||||||||||||||||||||||||||||||||||||||||||||||||||||||||||||||||||||||||||||||||||||||||||||||||||||||||||||||||||||||||||||||||||||||||||||||||||||||||||||||||||||||||||||||||||||||||||||||||||||||||||||||||||||||||||||||||||||||||||||||||||||||||||||||||||||||||||||||||||||||||||||||||||||||||||||||||||||||||||||||||||||||||||||||||||||||||||||||||||||||||||||||||||||||||||||||||||||||||||||||||||||||||||||||||||||||||||||||||||||||||||||||||||||||||||||||||||||||||||||||||||||||||||||||||||||||||||||||||||||||||||||||||||||||||||||||||||||||||||||||||||||||||||||||||||||||||||||||||||||||||||||||||||||||||||||||||||||||||||||||||||||||||||||||||||||||||||||||||||||||||||||||||||||||||||||||||||||||||||||||||||||||||||||||||||||||||||||||||||||||||||||||||||||||||||||||||||||||||||||||||||||||||||||||||||||||
Введение
Также в работе используются данные проектировочного расчёта номинального режима, представленные далее по тексту.
.



.
.<лучше вычитать наоборот>
,

.
, (2)








