Реферат: 1. 1 "Фон-Неймановские" и "не-Фон-Неймановские" архитектуры
|
Название: 1. 1 "Фон-Неймановские" и "не-Фон-Неймановские" архитектуры Раздел: Остальные рефераты Тип: реферат |
| Содержание
Введение……………………………………………………………………………….2 1. Классификация архитектур вычислительных систем……………………….6 1.1 "Фон-Неймановские" и "не-Фон-Неймановские" архитектуры…………….61.2 Классификация параллельных ВС…………………………………………....8 1.3 Системы с общей и распределенной памятью………………………….…..13 1.4 Способы межмодульного соединения (комплексирования)…………….....14 2. Микропроцессорные системы и способы распараллеливания………….....15 2.1 Мультимикропроцессорные вычислительные системы……………………152.2 Направление "мини-супер" для персональных компьютеров……………..183. Распараллеливание в ВС на уровне исполнительных устройств…………21 3.1 Конвейеры операций…………………………………………………………….213.2 Векторные конвейеры. "Зацепление" векторов………………………….....22 3.3 Выполнение операций на стеке……………………………………………...244. Вычислительные системы нетрадиционной архитектуры………………...26 4.1 Однородные вычислительные структуры (среды)…………………………264.2 Ассоциативные вычисления и ВС…………………………………………...294.3 ВС Connection Machine……………………………………………………….334.4 Нейронные сети и нейрокомпьютеры……………………………………….355. Системы с массовым параллелизмом (МРР)………………………………....38 Список литературы…………………………………………………………………41
Введение Развитие вычислительных технологий и средств сопровождалось пониманием того, что работы надо делить между многими исполнительными устройствами. Распараллеливание — естественный жизненный принцип, основанный на утверждении, что коллектив сильнее одиночки. Основной критерий эффективности распараллеливания заключается в минимизации времени выполнения работы. Однако действенен и другой критерий — выбор системы исполнителей, обладающей минимальной стоимостью и способной закончить работу не позже указанного срока. Вычислительные системы с особой остротой на реальном техническом уровне вобрали в себя принцип распараллеливания, развив его в самом широком многообразии применения. Наступила пора разрушить монополию, систематизировать и обобщить методы и технологии распараллеливания, обеспечить их эффективное применение во всех областях хозяйственной деятельности человека. Можно представить следующие направления развития параллельных технологий. Параллельные структуры отображают организацию и взаимодействие исполнителей сложного комплекса взаимосвязанных работ. В вычислительной технике — это проблема параллельного выполнения отдельных программ и целых программных комплексов, отображенная выбором архитектуры процессоров и многопроцессорных вычислительных систем. Взаимодействие исполнительных устройств должно минимизировать "накладные расходы" на организацию их взаимодействия. Параллельное программирование объединяет проблемы оптимального статического и динамического планирования выполнения комплексов взаимосвязанных работ при заданном составе и структуре взаимодействия исполнителей. В абстрактной постановке, где достаточно слова "вычислительная система" заменить словами "комплекс исполнителей", проблема статического планирования также изложена. Динамическое планирование параллельного процесса представлено схемами таких процессов и диспетчерами распараллеливания. Параллельные алгоритмы являются естественным результатом оптимального решения задач распараллеливания. Применение многопроцессорных вычислительных систем, а, в особенности, бурно развивающиеся сетевые технологии для решения задач высокой сложности - оптимизационных, моделирования — стимулировали критический подход к тем методам вычислений, которые были разработаны для математика-вычислителя, крутящего ручку арифмометра. Изменился критерий оптимизации вычислительного процесса: не количество выполняемых операций стало определяющим, а "длина критического пути". Указанное направление также рассматривается в книге. Книга рассчитана на студентов старших курсов технических и экономических вузов, аспирантов, инженеров-исследователей в области современных информационных технологий решения задач планирования и управления. Необходимый объем предварительных знаний базируется на стандартах курсов по информатике и основам ЭВМ. Со временем пришло понимание того, что только структурными методами можно добиться необходимой производительности вычислительных средств. Таким основным структурным методом является распараллеливание вычислений. Сначала стало ясно, что вместо одной ЭВМ в систему управления необходимо встраивать несколько, решающих единый набор функционально связанных задач. Такой коллектив ЭВМ получил название вычислительного комплекса (ВК). Информационная взаимосвязанность задач потребовала применения средств оперативного обмена данными внутри ВК и средств синхронизации. Однако временные затраты на организацию взаимодействия ЭВМ в ВК (накладные расходы) оказались весьма высоки. Возникла идея использования взамен разделенной оперативной памяти (ОП), реализованной в ВК, общей (разделяемой) ОП, которая связывает несколько центральных процессоров. Проблема затрат времени на обмен оказалась решенной. Так зародилось понятие параллельной вычислительной системы (ВС). Впоследствии принципы распараллеливания стали применяться на всех уровнях разработки ВС: и отдельных устройств, и процессоров. Отметим, что такой способ распараллеливания, как конвейерный, использовался на раннем этапе создания ЭВМ и используется сейчас. Приоритет в создании ВС на общей памяти принадлежит С. Крею, признанному "отцу супер-ЭВМ", главному конструктору системы CDC 6600, разработанной в 1963 году. Однако условия соперничества и сокрытия информации определили независимость отечественных разработок. Универсальным критерием, используемым при решении задач распараллеливания, является минимум времени выполнения совокупности работ, распределяемых между процессорами. Если несколько процессоров составляют ВС, то важной характеристикой ее эффективности (основные составляющие эффективности — производительность, надежность, стоимость) при специализированном использовании (например, в составе автоматизированной системы управления, АСУ) является коэффициент полезной загрузки k3 . Для его определения находят коэффициенты загрузки процессоров:
где Ti , i = 1, ..., n, — суммарное время занятости каждого процессора решением задачи на всем отрезке полного решения задачи, длиной Tреш (рис.1). Тогда
Если P0 — производительность одного процессора, то реальная производительность PBC ВС, состоящей из n процессоров, при решении данной задачи (!) находится:
где P0 определяется классом решаемых задач. Рис. 1. Диаграмма параллельного выполнения информационно взаимосвязанных работ в ВС Основное предположение об эффективности совместной работы нескольких процессоров при решении множества задач (функциональных модулей) управляющей системы основывалось на возможности усреднения нагрузки при динамическом распределении работ между процессорами. Такое усреднение позволяет сгладить пиковую нагрузку на отдельные процессоры, а, следовательно, снизить требования к их производительности. Конечно, это справедливо в том случае, если увеличивающиеся накладные расходы, связанные с организацией динамического управления вычислительным процессом (диспетчированием), оправдывают эти затраты. Пусть управляющая система обслуживает несколько объектов, каждый из которых требует затраты производительности P, в соответствии со стадией обслуживания, как показано временными диаграммами на рис.2. Начала обслуживания, а также длительность стадий обслуживания, случайно распределены во времени. На каждой стадии обслуживания используется общее для всех объектов подмножество программ — функциональных модулей. Тогда видно, что если за объектами жестко закреплять процессоры ВС, то их производительность должна удовлетворять самой напряженной последней стадии обслуживания. Если же в соответствии со случайным взаимным смещением этой стадии все множество функциональных модулей, требуемых для всех объектов, динамически распределять между процессорами, то такой пиковой нагрузки на один процессор в среднем можно избежать. То есть можно руководствоваться результирующей диаграммой на основе суммирования тех, что изображены на рисунке. Конечно, такое допущение должно подтверждаться на основе моделирования реальных ситуаций, требований к эффективности управляющей системы и на основе разработок оперативных диспетчеров распараллеливания. Рис.2. Затраты производительности при обслуживании нескольких объектов Разработки в области ВС не могли не повлиять на практику параллельного планирования в широком диапазоне применения. Ведь задачи оптимального распараллеливания входят в класс задач исследования операций, и это определяет контекст их исследования. Суть этих задач - в минимизации времени выполнения статически заданного или динамически формируемого частично упорядоченного множества заданий на выполнение работ, а также в минимальном по стоимости наборе исполнителей, достаточном для выполнения множества таких заданий за ограниченное время. В приложении к ВС (другой разработчик — другой подход) распараллеливаемое множество работ описывается иначе, и то, что было сложно, становится простым. Так, например, определение длины критического пути — незначительная по трудоемкости процедура, выполняемая в составе более сложной операции оптимального планирования. В ВС используются простые диспетчеры динамического распределения работ, нетрудоемкость которых (при достигаемой близости к оптимальному результату) и разрешает их включение в операционную систему (ОС) ВС. Однако ВС способна не только делиться своими методами с управлением и планированием. Закономерно и обратное влияние: задачи предъявляют требования к архитектуре ВС, обеспечивающие их эффективное решение. С учетом этого взаимного влияния подход к решению таких задач существенно расширяется. Дело в том, что многие методы вычислений (а речь идет о задачах высокой сложности — оптимизационных, информационно-логических, моделирования сложных систем и др.), создавались в эпоху, когда математик-вычислитель крутил ручку арифмометра. Минимизация числа операций была единственным критерием сложности метода, а многие "интеллектуальные" действия при этом не учитывались. При программировании на ВС, как видно из рисунков, существенной является длина критического пути в информационном графе, описывающем алгоритм или комплекс программ. При этом даже неважно, "стоят", дублируют счет или выполняют другую "лишнюю" работу некоторые процессоры. Главное — минимизация указанной длины критического пути, как ограничения снизу времени решения, увеличение коэффициента загрузки ВС за счет минимизации накладных расходов на организацию распараллеливания. Это требует пересмотра многих методов вычислений. 1. Классификация архитектур вычислительных систем 1.1 "Фон-Неймановские" и "не-Фон-Неймановские" архитектурыИстория. Первую ЭВМ создал в 1939 г. в США профессор Джон Атанасов, болгарин, со своим аспирантом К.Берри. Две малые ЭВМ, созданные ими в период 1937 — 1942 гг., были прототипами большой ЭВМ АВС для решения систем линейных уравнений, которая в 1942 г. доводилась по устройствам ввода-вывода и должна была войти в строй в 1943 г., но призыв Атанасова в армию в 1942 г. воспрепятствовал этому. Проект электронной ЭВМ Эниак (Electronics Numerical Integrator and Computer) был сделан в 1942 г. Д.Моучли и Д.Эккертом и осуществлен в 1945 г. в Муровской электротехнической лаборатории Пенсильванского университета. В 1946 г. Эниак был публично продемонстрирован в работе. В нем впервые были применены триггеры. Рождение Эниак считают началом компьютерной эры, посвящая ему научные симпозиумы и другие торжественные мероприятия. (Международный симпозиум, посвященный 50-летию первой ЭВМ, был проведен и в Москве в июне 1996 г.) Однако еще в начале 40-х годов XX века Атанасов поделился с Моучли информацией о принципах, заложенных в ЭВМ АВС. Хотя Моучли впоследствии утверждал, что он не воспользовался этой информацией в патенте на Эниак, суд не согласился с этим. Вернувшись из армии после войны, Атанасов узнал, что более мощная ЭВМ Эниак уже создана, и потерял интерес к этой теме, не поинтересовавшись, насколько Эниак похож на его ЭВМ АВС. Известный английский математик Алан Тьюринг был не только теоретиком по информации и теории алгоритмов, автором теоретического автомата "машины Тьюринга", но и талантливым инженером, создавшим в начале 1940-х годов первую работающую специализированную ЭВМ. Эта ЭВМ под названием "Колосс" была сконструирована и сделана им совместно с Х.А.Ньюменом в Блетчи (Англия) и начала работать в 1943 г. Сообщения о ней своевременно не публиковались, т.к. она использовалась для расшифровки секретных германских кодов во время войны. Основные архитектурно-функциональные принципы построения ЦВМ были разработаны и опубликованы в 1946 г. венгерским математиком и физиком Джоном фон Нейманом и его коллегами Г.Голдстайном и А.Берксом в ставшем классическим отчете "Предварительное обсуждение логического конструирования электронного вычислительного устройства". Основополагающими принципами ЭВМ на основании этого отчета являются: 1) принцип программного управления выполнением программы, и 2) принцип хранимой в памяти программы. Они легли в основу понятия фон-Неймановской архитектуры, широко использующей счетчик команд. Вернемся к настоящему. Счетчик команд отражает "узкое горло", которое ограничивает поток команд, поступающих на исполнение, их последовательным анализом. Альтернативной архитектурой является "не-фон-Неймановская" архитектура, допускающая одновременный анализ более одной команды. Поиски ее обусловлены необходимостью распараллеливания выполнения программы между несколькими исполнительными устройствами — процессорами. Счетчик команд при этом не нужен. Порядок выполнения команд определяется наличием исходной информации для выполнения каждой из них. Если несколько команд готовы к выполнению, то принципиально возможно их назначение для выполнения таким же количеством свободных процессоров. Говорят, что такие ВС управляются потоком данных (data flow).Общая схема потоковых ВС представлена на рис. 1.1.1 Рис. 1.1.1 "Идеальная" потоковая ВС Программа или ее часть (сегмент) размещается в памяти команд ПК, состоящей из ячеек команд. Команды имеют структуру {код операции, операнд 1, ..., операнд L,адрес результата 1, ..., адрес результата M}В командах проверки условия возможно альтернативное задание адреса результата (ИЛИ — ИЛИ). Адреса результатов являются адресами ПК, т.е. результаты выполнения одних команд в качестве операндов могут поступать в текст других команд. Команда не готова к выполнению, если в ее тексте отсутствует хотя бы один операнд. Ячейка, обладающая полным набором операндов, переходит в возбужденное состояние и передает в селекторную сеть информационный пакет (токен), содержащий код операции и необходимую числовую и связную информацию. Он поступает по сети на одно из исполнительных устройств. Там же операция выполняется, и в распределительную сеть выдается результирующий пакет, содержащий результат вычислений и адреса назначения в ПК (возможно, за счет выбора альтернативы, т.е. такой выбор — тоже результат). По этим адресам в ПК результат и поступает, создавая возможность активизации новых ячеек. После выдачи токена в селекторную сеть операнды в тексте команды уничтожаются, что обеспечивает повторное выполнение команды в цикле, если это необходимо. Селекторная и распределительная сети образуют коммуникационную сеть ВС. Ожидаемая сверхвысокая производительность такой системы может быть достигнута за счет одновременной и независимой активизации большого числа готовых команд, проблематичном допущении о бесконфликтной передаче пакетов по сетям и параллельной работы многих исполнительных устройств. Существует ряд трудностей, в силу которых "не-фон-Неймановские" архитектуры не обрели технического воплощения для массового применения в "классическом", отраженном выше, исполнении. Однако многие устройства используют данный принцип, но чаще всего взаимодействие процессоров при совместном решении общей задачи и их синхронизация при использовании общих данных основаны на анализе готовности данных для их обработки. Это дает основание многим конструкторам заявлять, что в своих моделях они реализовали принцип data flow. 1.2 Классификация параллельных ВСПотоки команд и потоки данных. Общепринята удачная классификация ВС, которую предложил в 1970 г. Г.Флин (США). Основным определяющим архитектурным параметром он выбрал взаимодействие потока команд и потока данных (операндов и результатов). В ЭВМ классической архитектуры ведется последовательная обработка команд и данных. Команды поступают одна за другой (за исключением точек ветвления программы), и для них из ОЗУ или регистров так же последовательно поступают операнды. Одной команде (операции) соответствует один необходимый ей набор операндов (как правило, два для бинарных операций). Этот тип архитектуры — "один поток команд — один поток данных", ОКОД (SISD - "Single Instruction, Single Data") условно изображен на рис. 1.2.1
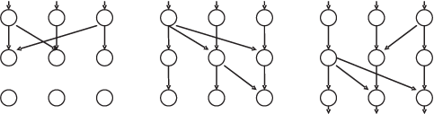
Тип ОКМД — "один поток команд — много потоков данных" (SIMD — "Single Instruction — Multiplе Data") охватывает ВС, в которых одной командой обрабатывается набор данных, множество данных, вектор, и вырабатывается множество результатов. Это векторные и матричные системы, в которых по одной команде выполняется одна и та же операция над всеми элементами массива — вектора или матрицы, распределенными между процессорными (обрабатывающими) элементами ПЭ или процессорами. Принцип обработки показан на рис. 1.2.2.
Данный тип архитектуры объединяет любые системы в однопроцессорном (одномашинном) варианте. За пятьдесят лет развития электронной вычислительной техники классическая структура ЭВМ претерпела значительные усовершенствования. Однако основной принцип программного управления не был нарушен. Данная структура оказалась сосредоточенной вокруг оперативной памяти, так как именно цепь "процессор - оперативная память" во многом определяет эффективную работу компьютера. При выполнении каждой команды необходимо неоднократное обращение к оперативной памяти: выбор команды, операндов, отсылка результатов и т.д. Можно перечислить большое число приведенных улучшений классической структуры ЭВМ, ставших в настоящее время определенными стандартами при построении новых ЭВМ: иерархическое построение памяти ЭВМ, появление адресации памяти, разделение процессов ввода-вывода и обработки задач, появление систем прерывания и приоритетов и т.д. В этом ряду следует рассматривать и организацию конвейера последовательно выполняемых команд: формирование адреса команды, выбор команды, формирование адресов и выбор операндов, выполнение команды, запись результата. Однако примитивная организация памяти (память линейна и одномерна) не позволяет организовать длинный и эффективный конвейер. Линейные участки современных программ редко превышают десяток, полтора последовательно выполняемых команд. Поэтому конвейер часто перезапускается, что снижает производительность ЭВМ в целом. Многофункциональная обработка также нашла свое место при построении ЭВМ. Например, даже в персональных ЭВМ, построенных на микропроцессорах i486 и Pentium, в состав ЭВМ могут включаться и другие специализированные средства обработки: умножители, делители, сопроцессоры или блоки десятичной арифметики, сопроцессоры обработки графической информации и другие. Все они совместно с центральным процессором ЭВМ позволяют создавать своеобразные микроконвейеры, целью которых является повышение скорости вычислений. В последние годы широко используется еще несколько модификаций классической структуры. В связи с успехами микроэлектроники появилась возможность построения RISC - компьютеров (Reduced Instruction Set Computing), т.е. ЭВМ с сокращенным набором команд. Большие ЭВМ предыдущих поколений не имели большой сверхоперативной памяти, поэтому они имели достаточно сложную систему команд CISC (Complete Instruction Set Computing - вычисления с полной системой команд). В этих машинах большую долю команд составили команды типа "память-память", в которых операнды и результаты операций находились в оперативной памяти. Время обращения к памяти и время вычислений соотносились примерно 5:1. В RISC - машинах с большой сверхоперативной памятью большой удельный вес составляют операции "регистр-регистр" и отношение времени обращения к памяти по времени вычислений составляет 2:1. Поэтому в RISC - ЭВМ основу системы команд составляют наиболее употребительные, "короткие" операции типа алгебраического сложения. Сложные операции выполняются как подпрограммы, состоящие из простых операций. Это позволяет значительно упростить внутреннюю структуру процессора, уменьшить фазы дробления конвейерной обработки и увеличить частоту работы конвейера. Но здесь необходимо отметить, что за эффект приходится расплачиваться усложнением процедур обмена данными между регистрами сверхоперативной памяти и кэш-памяти с оперативной памятью. Другой модификацией классической структуры ЭВМ является VLIW (Very Large Instruction Word) - ЭВМ с "очень длинным командным словом". ЭВМ этого типа выбирает из памяти суперкоманду, включающую несколько команд. Здесь возможны варианты. В самом простом случае это приводит к появлению буфера команд (кэш-команд) с целью ускорения конвейера операций. В более сложных случаях в состав суперкоманд стараются включать параллельные команды, не связанные общими данными. Если процессор ЭВМ при этом построен из функционально независимых устройств (устройства алгебраического сложения, умножения, сопроцессоры), то в этом случае обеспечивается максимальный эффект работы ЭВМ. Но это направление связано с кардинальной перестройкой процессоров трансляции и исполнения программ. Здесь значительно усложняются средства автоматизации программирования. VLIW - компьютеры могут выполнять суперскалярную обработку, т.е. одновременно выполнять две или более команд. В целом ряде структур суперЭВМ использовалась эта идея. В ПЭВМ последних выпусков имеется возможность выполнения двух команд одновременно. Эта реализация имеет две цели: Уменьшение отрицательного влияния команд ветвления вычислительного процесса путем выполнения независимых команд двух различных ветвей программы. При этом в какой-то степени исключаются срывы конвейера в обработке команд программы; Одновременное выполнение двух команд (независимых по данным и регистрам их хранения), например команды пересылки и арифметические операции. Для реализации программного параллелизма, включающего циклы и итерации, используются матричные или векторные структуры. В них эффективно решаются задачи матричного исчисления, задачи решения систем алгебраических и дифференциальных уравнений, задачи теории поля, геодезические задачи, задачи аэродинамики. Теоретические проработки подобных структур относятся к концу пятидесятых, шестидесятым годам. Данные структуры очень хорошо зарекомендовали себя при решении перечисленных задач, но они получились очень дорогими по стоимости и эксплуатации. Кроме того, в тех случаях, когда структура параллелизма отличалась от матричной, возникает необходимость передачи данных между процессорами через коммутаторы. При этом эффективность вычислений резко снижается. Подобные структуры могут использоваться как сопроцессоры в системах будущих поколений. К типу МКОД — "много потоков команд — один поток данных" (MISD — "Multiple Instruction — Single Data") принято относить векторный конвейер (обычно в составе ВС, чтобы подчеркнуть основной используемый принцип вычислений), например, в составе ВС Crey-1, "Электроника ССБИС". На векторном конвейере производится последовательная обработка одного потока данных многими обрабатывающими устройствами (ступенями, станциями) конвейера. К такому же типу относится ВС, реализующая макроконвейе. В ней задача, решаемая циклически, "разрезается" на последовательные этапы, закрепляемые за отдельными процессорами. Запускается конвейер многократного выполнения цикла, составляющего задачу. Принцип обработки показан на рис. 1.2.3.
МКОД - структуры большой практической реализации не получили. Задачи, в которых несколько процессоров могли эффективно обрабатывать один поток данных, в науке и технике неизвестны. С некоторой натяжкой к этому классу можно отнести фрагменты многофункциональной обработки, например обработку на разных процессорах команд с фиксированной или плавающей точкой. Так же как фрагмент такой структуры, можно рассматривать локальную сеть персональных компьютеров, работающих с единой базой данных, но скорее всего это - частный случай использования МКМД - структуры. Тип МКМД — "много потоков команд — много потоков данных" (MIMD — "Multiple Instruction — Multiple Data") cоответствует более полному и независимому распараллеливанию. К этому типу относятся, например, все многопроцессорные вычислительные комплексы (МВК) семейства "Эльбрус". МКМД - структуры являются наиболее интересным классом структур вычислительных систем. После разочарований в структурах суперЭВМ, основанных на различном сочетании векторной и конвейерной обработки, усилия теоретиков и практиков обращены в этом направлении. Уже из названия МКМД - структур видно, что в данных системах можно найти все перечисленные виды параллелизма. Этот класс дает большое разнообразие структур, сильно отличающихся друг от друга своими характеристиками (рис. 1.2.4). Важную роль здесь играют способы взаимодействия ЭВМ или процессоров в системе. В сильносвязанных системах достигается высокая оперативность взаимодействия процессоров посредством общей оперативной памяти. При этом пользователь имеет дело с многопроцессорными вычислительными системами. Наиболее простыми по строению и организации функционирования являются однородные симметричные структуры. Они обеспечивают простоту подключения процессоров и не требуют очень сложных централизованных операционных систем, размещаемых на одном из процессоров. Однако при построении таких систем возникает много проблем с использованием общей оперативной памяти. Число комплексируемых процессоров не может быть велико, оно не превышает 16. Для уменьшения числа обращений к памяти и конфликтных ситуаций могут использоваться многоблочное построение ОП, функциональное закрепление отдельных блоков за процессорами, снабжение комплексируемых процессоров собственной памятью типа "кэш". Но все эти методы не решают проблемы повышения производительности ВС в целом. Аппаратные затраты при этом существенно возрастают, а производительность систем увеличивается незначительно.
Рисунок 1.2.4. Типовые структуры ВС в МКМД (MIMD) Появление мощных микропроцессоров типа "Pentium" привело к экспериментам по созданию многопроцессорных систем на их основе. Так, для включения мощных серверов в локальные сети персональных компьютеров была предложена несколько измененная структура использования ООП - SMP (Share Memory multiProcessing - мультипроцессирование с разделением памяти). На общей шине оперативной памяти можно комплексировать до четырех микропроцессоров 1.3 Системы с общей и распределенной памятьюСистемы с общей (разделяемой) оперативной памятью образуют современный класс ВС — многопроцессорных супер-ЭВМ. Одинаковый доступ всех процессоров к программам и данным представляет широкие возможности организации параллельного вычислительного процесса (параллельных вычислений). Отсутствуют потери реальной производительности на межпроцессорный (между задачами, процессами и т.д.) обмен данными (рис. 1.3.1a).
Системы с распределенной памятью образуют вычислительные комплексы (ВК) — коллективы ЭВМ с межмашинным обменом для совместного решения задач (рис.1.5б). В ВК объединяются вычислительные средства систем управления, решающие специальные наборы задач, взаимосвязанных по данным. Принято говорить, что такие ВК выполняют распределенные вычисления, а сами ВК называют распределенными ВК. Другое, противоположное воплощение принципа МИМД — масспроцессорные или высокопараллельные архитектуры, объединяющие сотни — тысячи — десятки тысяч процессоров. В современных супер-ЭВМ наметилась тенденция объединения двух принципов: общей (распределяемой) и распределенной (локальной) оперативной памяти (ЛОП). Такая структура используется в проекте МВК "Эльбрус-3" и "Эльбрус-3М" (рис. 1.3.2).
1.4 Способы межмодульного соединения (комплексирования)Различают два противоположных способа комплексирования: с общей шиной (шинная архитектура) и с перекрестной (матричной) коммутацией модулей ВС (процессоров, модулей памяти, периферии). На рис.1.4.1 представлена система с общей шиной. Шина состоит из линий, по которым передаются информационные и управляющие сигналы.
Шина используется в режиме разделения времени, при котором лишь один модуль в данный момент работает на передачу. Принимать принципиально могут все модули, хотя преимущественно информация при выдаче в нее адресуется. Применяется в микро- и мини-ЭВМ при сравнительно небольшом числе модулей. Практически производится разделение шины на управляющую, адресную и шину данных. В высокопроизводительных ВС для возможности одновременного обмена многими парами абонентов используется перекрестная или матричная коммутация. Матричный коммутатор можно представить (прямоугольной) сеткой шин. К одному концу каждой подсоединен источник-потребитель информации (рис.1.4.2). Точки пересечения — узлы этой сетки — представляют собой управляющие ключи, которые соединяют или разъединяют соответствующие шины, устанавливая или прекращая связь между модулями. Реализуется связь "каждый с каждым". Одновременно могут связываться многие (до n/2) пары модулей.
На рис.1.4.2а — перекрестная связь между процессорами в ВС с распределенной памятью, на рис.1.4.2б — между n процессорами и m модулями ОП. 2. Микропроцессорные системы и способы распараллеливания 2.1 Мультимикропроцессорные вычислительные системыВ настоящее время выбор сделан в пользу многопроцессорных симметричных ВС типа MIMD, обеспечивающих виртуализацию вычислительных ресурсов. Основу такой ВС составляет суперскалер, сосредоточивший в себе все способы достижения максимального быстродействия при выполнении одиночной программы. Векторные и векторно-конвейерные процессоры и системы получили своё место. Их эффективность как самостоятельных установок могла быть достаточно высокой только при решении специальных задач и тестов. Поэтому достаточно быстро выяснилось, что эти установки могут выполнять функции интеллектуальных терминалов при решении основной задачи на другом универсальном вычислительном средстве и выполнять лишь отдельные его заявки. Сегодня стало окончательно ясно, что первые эффективны лишь в роли специализированных вычислительных устройств для решения специальных задач. Вторые твердо заняли место в составе многофункциональных арифметическо-логических устройств (АЛУ) суперскалеров, ибо без конвейеров мы не мыслим себе выполнение всех операций ВС. Складывается и структура памяти ВС, которая может совмещать в одной установке все способы доступа: от разделяемой (общей) до распределенной оперативной памяти. Однако ограниченные возможности эффективной работы с общей памятью часто диктуют иерархическую структуру ВС, где уровни иерархии (кластеры) отличаются или способом доступа к оперативной памяти, или тем, что каждый кластер имеет свою собственную физическую память в общем адресном пространстве. При этом принцип буферизации, основанный на многоуровневой по быстродействию (и, конечно, — различной по технологии) памяти, на активном использовании Кэш-памяти, продолжает развиваться. Кэш-память, как память самого высокого уровня, претерпевает функциональное разбиение в зависимости от типа данных, для хранения которых она предназначена, либо, в зависимости от вида обработки, — программ или данных. Все сказанное выше подтверждает перспективность структурных решений при проектировании многопроцессорного комплекса "Эльбрус-3" и его микропроцессорного развития "Эльбрус-3М", "Эльбрус-2К". Таким образом, структура "длинного командного слова" (архитектура VLIW, лежащая в основе EPIC) попадает в разряд классических. Сейчас микропроцессор, сконцентрировавший все достижения микроэлектроники, является основной составляющей элементно-конструкторской базы ВС. Поэтому понятие "мультимикропроцессорные ВС" пришло на смену понятию "микропроцессорные ВС". Анализ современных мультимикропроцессорных ВС позволяет выделить те развиваемые характерные решения, которые в условиях микроминиатюризации и снижения энергоемкости, "экономного" логического развития обеспечивают необходимые свойства универсального применения. Такими решениями являются следующие. 1. Многопроцессорные кристаллы. Воспроизведение многопроцессорной ВС на одном кристалле в значительной степени характерно для сигнальных вычислительных средств, специализирующихся на обработке двух- и трехмерных изображений, которые применяются в цифровом телевидении и радиовещании, при передаче изображений по каналам связи и др. Такие средства эффективно используются в качестве нейрокомпьютеров. Например, на одном кристалле MVP (Multimedia Video Processor) семейства TMS 320 C80 (фирма Texas Instrument) расположены 4 32-разрядных цифровых сигнальных процессора (DSP — Digital Signal Processor) с фиксированной запятой (ADSP-0 — ADSP-3). Их особенность — высокая степень конвейеризации и до 64 бит длина командного слова для параллельного выполнения нескольких операций. Система команд содержит команды над битовыми полями и структурами данных, несущими графическую информацию. Такая специализация обусловила понятие — DSP-архитектура. Процессоры работают независимо. Т.е. ВС — типа MIMD — (Multiple-Instruction, Multiple-Data). Программируются отдельно на ассемблере или ЯВУ. Данными обмениваются через общую внутрикристальную память. Каждый из ADSP содержит КЭШ-память команд (2 Кбайта), и через матричный коммутатор Crossbar получает доступ к 32 из имеющихся 50 Кбайт быстродействующей статической внутренней памяти. Память расслоенная — поделена на сегменты. Если два и более процессора в одном цикле попытаются обратиться к одному сегменту, аппаратная система управления доступом с циклическим изменением приоритета (round robin prioritization) позволит сделать это только одному процессору. 32-разрядное АЛУ ADSP может работать как два 16- или четыре 8-разрядных АЛУ. Этого достаточно для обработки видеоизображений. Специальные блоки ускоряют обработку графики. Блоки генерации адресов формируют кольцевые (бесконечные) буферы. Аппаратно поддержаны три вложенных цикла. RISC-процессор управляет четырьмя ADSP с помощью диспетчера. Диспетчер и планировщик заданий тесно взаимодействуют с контроллером пересылок. Кроме того, управляющий процессор самостоятельно выполняет вычисления и обеспечивает обмен с внешними устройствами. Содержит встроенный блок плавающей арифметики и набор векторных операций с плавающей запятой, оптимизированных для обработки изображений, звука и трехмерной графики. 2. Транспьютерная технология. Представленная выше архитектура обладает такой конструктивной законченностью, которая позволяет как встраивать ее в некоторую систему, так и организовать взаимодействие нескольких кристаллов. Это обеспечивается развитыми средствами связи и обмена данными. Возможность комплексирования привлекла внимание еще на раннем этапе развития микропроцессоров (в середине 1980-х годов) и привела к построению транспьютеров — микропроцессоров, снабженных развитыми средствами комплексирования. Таким образом, создавались "кирпичики", на основе которых можно было создавать сложные структуры. Эта тенденция не только сохранилась, но является необходимым средством построения мультимикропроцессорных ВС. Преследуя многофункциональность средств обмена, не обязательно требовать их размещения на одном кристалле с центральным процессором. Общее адресное пространство комплексируемых микропроцессоров "АКУЛА" обеспечивает псевдообщую память и исключает необходимость программной организации обмена данными. Если адрес физически принадлежит ОП другого процессора, то обмен организуется автоматически, без вмешательства пользователя (т.е. программно не предусматривается). 3. Межпроцессорный (магистральный) обмен инициируется в том случае, если адрес считывания или записи принадлежит адресному пространству другого процессора (единичный обмен). Аналогично возникают групповые пересылки данных с использованием "чужого" адресного пространства. Пользователь не составляет программу обмена, даже для контроллера обмена данных. Достаточно указать "чужие" адреса. Процессоры обмениваются сигналами состояния. Поэтому каждый процессор знает, кто является "хозяином" магистрали, т.е. ведет обмен, и свой приоритет в очереди к магистрали. По завершении каждого обмена производится циклическая смена приоритетов процессоров, которым нужна магистраль. Процессор с максимальным приоритетом становится "хозяином".Обмен может прерываться только ХОСТ-процессором. Микропроцессор утверждается в роли основы элементно-конструкторской базы ВС, и это поняли ведущие разработчики. В этом смысле привлекает внимание трансформация интересов "отца суперкомпьютеров" С.Крея, который признал определяющую роль принципа MIMD при построении ВС Cray Superserver 6400 System (CS640), выпускаемой корпорацией Cray Research в сотрудничестве с компанией SUN Microsystems (сотрудничество с фирмой SUN ныне характерно и для ведущих российских разработчиков). Система предполагает наращиваемую конфигурацию от 4 до 64 процессоров SuperSPARC. Принято компромиссное решение на основе классической схемы разделения (общей) ОП при многопроцессорной обработке и распределенной памяти при параллельной обработке массивов. Чтобы работать с частично распределенной памятью в ОЗУ, ВС имеет в любой конфигурации 4 шины. Шина использует сетевую технологию "коммутации пакетов". Это позволяет находить путь обмена единицами информации в соответствии с занятостью или освобождением шин. В целом, архитектуру следует считать шинной, хотя наличие нескольких шин делает ее промежуточной между шинной и использующей матричный коммутатор. 2.2 Направление "мини-супер" для персональных компьютеровТо, что говорилось выше, "по умолчанию" соответствует разработке супер-ЭВМ, предназначенных для решения особо сложных задач в составе систем управления в реальном времени, моделирования сложнейших физических процессов, решения задач исследования операций, задач искусственного интеллекта, выполнения роли майнфреймов и серверов в локальных, корпоративных и глобальных сетях. Супер-ЭВМ уникальна, мало тиражируема, цена ее высока. С другой стороны, ничто уже не может остановить "победного шествия" персональных компьютеров. Область применения их стала всеобъемлющей. Они используются и там, где могут справиться с задачами, и там, где уже не справляются, несмотря на применение современных суперскалеров. Тогда целесообразно поставить следующую проблему. Введем в состав персонального компьютера (РС), как его внешнее устройство, мультимикропроцессорную систему (мультипроцессор), использование которого в монопольном и однозадачном режиме может обеспечить успешное решение задач повышенной сложности. Действительно, разрешение этой проблемы позволило бы заполнить определенную нишу между супер-ЭВМ и PC, вывести персональный компьютер на уровень мини-супер-ЭВМ. Применение мультипроцессора РС в однопрограммном режиме, при жестком распределении памяти, использование (см. далее) прогрессивной технологии "одна программа — много потоков данных" позволяют существенно снизить издержки производительности на работу ОС, легко "врезать" их в современные операционные системы компьютеров. Сборка такой системы должна производиться на основе существующей микропроцессорной элементно-конструкторской базы, с минимальным использованием вновь разрабатываемых элементов. Здесь воспроизводится упомянутая выше идея о наличии мониторной системы, на которой решается основная задача, и о наличии интеллектуального терминала, который берет на себя функции, обеспечивающие общую эффективность системы. Общая схема такой установки показана на рис.2.2.1 Выбраны конкретные значения параметров.
Мультимикропроцессорную приставку к персональному компьютеру целесообразно разработать на основе исследования принципов построения локально-асинхронной архитектуры (SPMD-технологии). Важным достоинством архитектуры является сведение традиционных функций ОС на уровень команд. Т.е. система команд мультипроцессора такова, что позволяет реализовать функции управления параллельным процессом, не требуя запуска процедур ОС. Способствует простоте управления параллельным процессом также монопольный и однозадачный режим использования мультипроцессора. Ниже мы подробнее остановимся на принципах SPMD-технологии. Предполагая первоначальное знакомство с этими принципами, отметим следующее. Известно (см. далее), что семафоры — универсальное средство синхронизации. Однако семафоры традиционно используют ОС. Чтобы этого избежать, семафоры следует реализовать с помощью предикатного механизма, т.е. с использованием памяти предикатов. Семафорный механизм может быть эффективно реализован с помощью механизма закрытия адресов (памяти закрытых адресов). Тогда, в общем случае применения семафоров, должны быть введены команды следующего вида. Считать по семафору (Сч(С) А). Считывание по адресу производится в случае, если указанный семафор (реализованный в памяти регистрового типа, наряду с индексными и базовыми регистрами) открыт. Если семафор закрыт, реализуется ожидание данного ПЭ без прерывания (т.е. в данном применении пользователь может быть допущен к операциям над семафорами типа "жужжать"). Записать по семафору (Зап(С) А). Запись по адресу производится аналогично предыдущей команде. При использовании памяти закрытых адресов необходима лишь команда Закрыть адрес. Любое последующее считывание по этому адресу циклически возобновляется (в режиме "жужжания") до тех пор, пока по этому же адресу другой процессор не произведет запись. В случае использования механизма предикатов адрес некоторой булевой переменной записывается в специальные разряды командного слова. Команда, для которой указанный в ней предикат имеет значение 0, выполняется, в соответствии с кодом операции, в спекулятивном режиме в двух модификациях: · ожидается присвоение данному предикату значения 1 (в режиме "жужжания"); · пропускается выполнение данной команды. ПЭ реализует идею RISC-архитектуры и представляет собой функционально законченное устройство, состоящее из микропроцессора, схем обрамления и локальной оперативной памяти (ЛОП). Локальная память процессора содержит область для хранения стеков вычислительного процесса, в том числе — стеков подпрограмм и вложенных циклов. В других областях этой памяти хранятся модификаторы, дескрипторы массивов и локальные величины. Здесь же находятся микропрограммы, реализующие систему команд ВС. Общая (разделяемая) память (ОП) содержит M модулей с общим адресным пространством и реализует принцип интерливинга, предполагающий, что смежные ячейки памяти находятся в разных модулях. Синхронизатор предназначен для обеспечения одновременного пуска программ или их модулей. Возможно использование простейших коммутаторов для обмена ПЭ с модулями памяти. 3. Распараллеливание в ВС на уровне исполнительных устройств 3.1 Конвейеры операцийВыполнение любой операции складывается из нескольких последовательных этапов, каждый из которых может выполняться своим функциональным узлом. Это легко показать на операциях сложения и умножения. Выполнение деления мантисс (порядки вычитаются) чаще всего производятся с помощью вычитания из делимого делителя, сдвига влево полученного остатка, нового вычитания делителя из результата сдвига и т.д. В некоторых ВС находится обратная величина делителя с помощью аппроксимирующих полиномов. Затем делимое умножается на эту величину. Пусть задана операция, выполнение которой разбито на n последовательных этапов. Пусть ti — время выполнения i-го этапа. При последовательном их выполнении операция выполняется за время
а быстродействие ЭВМ или одного процессора ВС, выполняющего только эту операцию, составит
Выберем время такта — величину tT = max ti } и потребуем при разбиении на этапы, чтобы для любого i = 1, ...,n выполнялось условие ti + t(i+1) mod n > tT . Т.е. чтобы никакие два последовательных этапа (включая конец и новое начало операции) не могли быть выполнены за время одного такта. Функциональные узлы, выполняющие последовательные этапы одной операции, целесообразно выстроить в единую конвейерную линию, где устройство, выполняющее некоторый этап, закончив его для операции над одним набором данных, переходило бы в следующем такте к выполнению этого же этапа той же операции для другого набора исходных данных. Например, на рис. 3.1.1 представлен конвейер выполнения операции сложения.
Пусть реализуется поток команд одного процессора или существует доступ к этому устройству нескольких процессоров так, что в каждом такте возможно задание на выполнение сложения новой пары чисел. Тогда временная диаграмма работы конвейера может иметь вид, представленный на рис. 3.1.2
Максимальное быстродействие процессора при полной загрузке конвейера составляет
Число n — количество уровней конвейера, или глубина перекрытия, т.к. каждый такт на конвейере параллельно выполняются n операций. Чем больше число уровней (станций), тем больший выигрыш в быстродействии может быть получен. В проекте МВК "Эльбрус-3" АЛУ его ЦП имеет конвейерные ИУ сложения (n=5), умножения (n=5), деления (n=8 для полусловного формата, — 32 разряда, n=16 для словного формата). Логические операции также выполняются на конвейере с n=2. Известна оценка
т.е. выигрыш в быстродействии получается в Реальный выигрыш в быстродействии оказывается всегда меньше, чем указанный выше, поскольку: 1. некоторые операции, например, над целыми, могут выполняться за меньшее количество этапов, чем другие арифметические операции. Тогда отдельные станции конвейера будут простаивать. 2. при выполнении некоторых операций на определённых этапах могут требоваться результаты более поздних, ещё не выполненных этапов предыдущих операций. Приходится приостанавливать конвейер. 3. поток команд порождает недостаточное количество операций для полной загрузки конвейера. 3.2 Векторные конвейеры. "Зацепление" векторовНаряду с использованием конвейеров для обработки единичных (скалярных) данных, используют так называемые векторные конвейеры, единичной информацией для которых являются вектора — массивы данных. Применение векторных конвейеров определило класс ВС — векторно-конвейерных ВС, сегодня ещё являющихся основой построения некоторых супер-ЭВМ — ВС сверхвысокой производительности. Для эффективности векторно-конвейерных ВС (например, для подготовки алгоритмов решения задач на ВС "Электроника-ССБИС") необходима векторизация задач. Это — такое преобразование алгоритма, при котором максимально выделяются (если не вся задача сводится к этому) элементы обработки массивов данных одинаковыми операциями. Сюда входят все задачи, основанные на матричных преобразованиях, обработка изображений, сигналов, моделирование поведения среды и т.д. В основе векторного конвейера лежит то же самое разбиение операции на уровни или этапы выполнения, но он дополняется средствами аппаратной поддержки, позволяющими по информации о векторах организовать последовательную загрузку конвейера элементами векторов, учитывая их длину. Пусть необходимо выполнить операцию C = A × B, т.е. cj
= aj
+ bj
, j = 1, ...,N. Пусть на регистрах СОЗУ записаны вектора A и B. Группа регистров отведена для результатов C. Для управления этим процессом известны дескрипторы векторов DA
,DB
,DC
, где D Пусть операция умножения выполняется за три этапа. Тогда можно представить временную диаграмму получения N результатов при предположении о назначении функциональных устройств (рис. 3.2.1).
В составе АЛУ может быть два и более конвейерных устройств, специализированных каждое для выполнения некоторой операции. Тогда возможно и эффективно "зацепление" векторов, иллюстрируемое примером на рис. 3.2.2 для выполнения сложной операции над векторами: D=A× B+C.
Здесь два конвейера образовали один, с глубиной перекрытия n = n× + n+ . Очередной результат умножения немедленно направляется на конвейер сложения, куда параллельно направляется необходимый сомножитель. 3.3 Выполнение операций на стекеВ вычислительной технике повсеместно используется такая структура данных, как стек. Его применение при выполнении арифметических и логических операций в арифметическо-логическом устройстве (АЛУ) позволяет реализовать безадресную систему команд, что, в свою очередь, дает возможность минимизировать число обращений к оперативной памяти, осуществить буферизацию при многоуровневой памяти, кодировать большое число команд в одном слове. Рассмотрим механизмы обработки информации на стеке и формирования безадресных команд. Прежде всего - об идее применения безадресных команд. Рассматривая структуру команд, мы можем отметить, что практически команды бывают одно-, двух-, трехадресные. Трехадресная команда, как правило, по законченности соответствует одному оператору, т.к. отображает действие над двумя операндами и результат. Двухадресная команда — это такая команда, где один из адресов подразумевается (например, аккумулятор или сумматор), или результат направляется по одному из указанных адресов. То же касательно одноадресной команды: по числу адресов - число обращений к памяти, не считая считывания самой команды. Возникает вопрос: можно ли отделить загрузку регистров сверхоперативного запоминающего устройства (СОЗУ) от собственно выполнения команды, сделать эту загрузку опережающей, выполнение команды производить только с использованием подразумеваемых адресов СОЗУ и при этом в целом минимизировать количество обращений к ОП? Ответ приводит к структуре безадресных команд и к выполнению операций на стеке. Стек представляет собой множество последовательно пронумерованных регистров СОЗУ или ячеек ОП, снабженное указателем вершины стека УВС, в котором автоматически при записи и считывании устанавливается номер (адрес) последнего занятого регистра — вершины стека. При записи в стек (загрузка стека) слово пишется в следующий по номеру регистр, а УВС увеличивается на единицу. При считывании извлекается слово с адресом, указанным в УВС. Затем УВС уменьшается на единицу. Таким образом, в стеке реализуется правило последний "пришел — первый ушел". Адреса памяти фигурируют только в командах загрузки стека и записи из стека в память. Значения выражений можно вычислять полностью безадресным способом. Команда, состоящая только из кода операции, извлекает из стека один или два операнда, выполняет операцию и заносит результат в стек. На рис. 3.3.1 приведен пример преобразования стека при выполнении трех команд программы. Рис. 3.3.1 Выполнение команд на стеке Вычисления с использованием стеков удобно задавать, описывать и программировать с помощью польской инверсной (бесскобочной) записи арифметических выражений ПОЛИЗ (предложил польский математик Лукашевич в 1929 г.). Запись производится по правилу "читаем арифметическое выражение слева направо и последовательно друг за другом выписываем встречающиеся операнды". Как только окажется, что все операнды некоторой операции выписаны, записываем знак этой операции, условно учитываем вместо операндов и знака операции потенциальное имя ее результата. Это может породить возможность записи новой операции; или же будем продолжать выписывать операнды, если условно учтенный результат не позволяет записать знак операции. Запись на ПОЛИЗ состоит из цепочек имен и цепочек операций. Например, y := (k + (l - mn))(a - b) Последовательность символов в ПОЛИЗ может рассматриваться как программа вычисления значения данного выражения, если под именами понимать команды загрузки стека (кроме случая, когда имени следует знак операции :=, тогда это имя определяет запись из стека), а под знаками операций — безадресные команды, содержащие только коды операций. Удобно ввести команду вида Зп У — записи из стека по адресу У. Тогда мы получим окончательный вид программы klmn × - + ab - × Зп Y (3.1) Не будем отображать УВС, интерпретируя стек магазинной памятью. Тогда схема выполнения данной программы сводится к представленной на рис. 3.3.2 Рис. 3.3.2 Выполнение программы на стеке 4. Вычислительные системы нетрадиционной архитектуры
4.1 Однородные вычислительные структуры (среды)Однородные вычислительные структуры или среды (ОВС), как правило, относятся к типу МКМД и представляют собой регулярную решетку из однотипных процессорных элементов (ПЭ). Каждый ПЭ обладает алгоритмически полным набором операций, а также операциями обмена или взаимодействия с другими ПЭ. Например, решетка с регулярными связями процессоров может быть такой, какая изображена на рис.4.1.1 Рис. 4.1.1 Однородная вычислительная среда ОВС относится к ВС с распределенной памятью. Реализуется на основе микропроцессоров. С 1985 г. стало развиваться направление разработки транспьютеров — в интегральном исполнении соответствующих ПЭ ОВС. Т.е. ОВС в этом случае строится как транспьютерная сеть. Транспьютер — интегрально (в одном чипе или кристалле) выполненное семейство системных компонент, в составе которых: процессор, таймер, память, каналы последовательного ввода-вывода, контроллер внешней оперативной памяти. Транспьютер вместе с языком программирования Occam (основной язык программирования транспьютеров) позволяет создавать ВС типа МКМД. Легко видеть, что актуальность транспьютеров значительно снижается в связи с развитием интеграции при построении микропроцессоров, с развитием их функций. Мы видели, что современный микропроцессор значительно превысил те функции, в том числе по обеспечению взаимодействия, которые предполагалось реализовать в транспьютере. На ОВС можно строить вычислительные процессы по разным схемам. Хорошо реализуются конечно-разностные схемы, обработки изображений, геофизические задачи, моделирования поведения среды (аэродинамические и гидродинамические задачи). Систолическая схема вычислений. Представляет собой конвейер, в котором данные проходят обработку "волной" с одной границы ОВС — входа к другой границе — выходу. Следом за одной может следовать другая волна и т.д. (рис.4.1.2). В этом случае ОВС — систолическая матрица. Рис. 4.1.2. Схема систолических вычислений На рисунке: в первом такте на вход подаются данные задачи 2, а задача 1 решается процессорами первой строки систолической матрицы; в следующем такте задача 2 решается первым уровнем, а задача 1 — вторым уровнем процессоров, на вход подаются данные задачи 3; на третьем уровне происходит очередное аналогичное смещение и т.д. Стрелками показано возможное перемещение обрабатываемой информации. Ранее отмечалось, что фактически конвейеры в составе многофункциональных АЛУ строятся для каждой операции отдельно. Есть конвейеры сложения, умножения и т.д. Однако систолическая схема вычислений позволяет построить универсальный программируемый конвейер, настраивая каждую строку матрицы процессоров на параллельное выполнение уровней конвейеров различных операций в порядке их следования. То есть операции могут динамически загружать систолическую схему, как это обусловлено следованием команд выполняемой программы. Таким образом, в систолической матрице процессоров, ориентированной на применение в АЛУ, распараллеливание "в длину" успешно сочетается с распараллеливанием "в ширину", как и при решении произвольного потока задач. С помощью ОВС реализуется и ВС типа "гиперкуб". Гиперкуб — пространственное обобщение рассмотренной плоской решетки, где адресация процессоров (и соответственно, блоков распределенной памяти) ставится в зависимость от структуры связей между ними. Проводится аналогия с n-мерным пространством. Рис. 4.1.3 Вычислительная система "гиперкуб": а — двумерный, б — трёхмерный, в — четырёхмерный Возьмем единичный квадрат в двухмерном пространстве с вершиной в начале координат (рис. 4.1.3 ,а). Пусть его вершины соответствуют процессорным элементам (ПЭ), а ребра — связям между ними. Пусть код, образованный координатами вершин, — адрес ПЭ. Тогда видно, что связи между ПЭ существуют тогда, когда адреса отличаются не более чем в одном разряде. То же самое можно обнаружить для n = 3 (рис. 4.1.3 ,б), n = 4 (рис. 4.1.3 ,в) и т.д. Значит, в общем случае ВС типа "гиперкуб" формируется следующим образом. Ее образуют 2n ПЭ, каждый ПЭ соединен ровно с n ПЭ. При длине адреса ПЭ, равной n, непосредственно связаны ПЭ, у которых адреса разнятся не более чем в одном разряде. Структура типа "гиперкуб" обладает важными свойствами. 1. Из структуры "гиперкуб" легко получаются более простые структуры. Например, при n = 3 легко получается матричная ВС, на которой, в частности, хорошо решать задачи в конечных разностях. Как мы видели ранее, для этого удобна плоская решетка, где существуют непосредственные (не транзитные) связи между тремя ПЭ (столбец составляют только два ПЭ, поэтому нет необходимости в связях в двух направлениях), как показано на рис. 4.1.4 Здесь можно в дополнение к адресам ввести (временно) нумерацию ПЭ и поставить эти номера в соответствие адресам. 2.
Рис . 4.1.4 Матричная ВС на основе двумерного гиперкуба Процессоры образовали фрагмент плоской решетки для реализации конечно-разностного метода (метода сеток). Процессоры "прокатываются" по области, на которой строится решение, например, задачи численного интегрирования. 3. Второе важное свойство "гиперкуба" — возможность выделения задаче необходимых связных областей вычислительных ресурсов . Эти области соответствуют пространствам меньшей размерности, чем размерность всего "гиперкуба". Это означает, что т.к. процессоры адресуемы внутри некоторого адресного пространства, то каждой решаемой задаче может быть выделен вычислительный ресурс в пределах какого-то массива со сквозной нумерацией процессоров. В n-мерном пространстве этот массив принадлежит подпространству меньшего измерения. Т.е. значительная часть разрядов адреса длины n для всех процессоров, образующих ресурс данной задачи, совпадает, а меняются только несколько последних разрядов. Например, предположим, что в предыдущем примере мы располагали не 3-мерным, а 6-мерным "гиперкубом". Пусть планирующая система в составе ОС из всего адресного пространства ПЭ 000000 ÷ 111111 выделила нам массив 101000 ÷ 101111, т.е. определенное 3-хмерное подпространство всего пространства процессоров. В это же время пусть другой задаче выделен массив 000000 ÷ 001111, т.е. четырехмерное подпространство и т.д. Как и для других ОВС, здесь предполагается наличие распределенной памяти. При формировании общего адресного пространства примем, что старшие разряды адреса памяти совпадают с адресом ПЭ. 4.2 Ассоциативные вычисления и ВСГлавное отличие ассоциативной ВС от обычной системы последовательной обработки информации состоит в использовании ассоциативной памяти или подобного устройства, а не памяти с адресуемыми ячейками. Ассоциативная память (АП) допускает обращение за данными на основе их признака или ключевого слова: имени, набора характеристик, задания диапазона и т.д. Распространенный вид АП — таблица с двумя столбцами: "запросное поле — ответное поле. Строка таблицы занимает регистр памяти. По ключевому слову обрабатываются запросные поля: производится поиск на основе сравнений и выдается результат из одного (или более) ответных полей. При помощи маскирования можно выделить только те поля в ключевом слове, которые нужно использовать при поиске для сравнения. Типичными операциями сравнения, выполняемыми ассоциативной памятью, являются: "равно — не равно", "ближайшее меньше чем — ближайшее больше чем", "не больше чем — не меньше чем", "максимальная величина — минимальная величина", "между границами — вне границ", "следующая величина больше — следующая величина меньше" и др. Т.е. все это есть операции отношения и определения принадлежности. Поскольку ассоциативные ВС характеризуются только активным использованием АП в вычислениях, то в целом эти ВС обладают обычными свойствами, могут производить сложные преобразования данных и принадлежать типу ОКМД (STARAN, PEPE) или МКМД. Для параллельного обращения (для ускорения поиска) АП разбита на модули (32 модуля — в STARAN). Когда в 1980 г. был провозглашен так называемый "Японский вызов" о построении ВС сверхвысокой производительности, то одним из пунктов была указана необходимость самого широкого использования принципов самообучающихся систем — систем, способных накапливать опыт и выдавать результат решения задачи без счета самой задачи. Это значит, что применение ассоциативных ВС неотделимо от проблемы искусственного интеллекта. Предположим, мы пользуемся значениями функции y = f(x). Мы можем запрограммировать счет этой функции на РС, и каждый раз, когда нам надо, задаем x и запускаем программу, пользуясь прекрасным современным сервисом. Предположим, та же функция сложна, а ее счет — важный элемент алгоритма управления в реальном времени. Решение приходит сразу: зададим эту функцию таблично, а для ускорения выборки включим в ВС ассоциативную память. Предусмотрим на ней операции, позволяющие производить простейшую интерполяцию. А именно, для данного значения x найти наибольший x1
< x и наименьший x2
надо только быть уверенным в достижении нужной точности. Однако в повседневной жизни мы очень часто решаем трудноформализуемые задачи, когда алгоритм решения не очевиден. Но мы учимся, обретаем опыт, затем оцениваем складывающуюся ситуацию на "похожесть" и принимаем решение. Простейшая задача: как мы автоматически определяем, на сколько надо повернуть рулевое колесо, чтобы остаться на дороге? Ведь первый раз мы въезжали в бордюр! Значит, некая таблица постепенно сложилась и зафиксировалась в нашем сознании. Пожалуй, наиболее полно автоматически и с наибольшей практичностью решение задачи самообучения представлено в артиллерии, точнее — в правилах стрельбы. После занятия огневой позиции подготовка установок для ведения огня занимает много времени. На рассчитанных установках по каждой цели производится пристрелка, когда цель захватывается в широкую вилку, затем по наблюдениям вилка "половинится" до тех пор, пока на середине узкой вилки не переходят на поражение. После стрельбы следует замечательная команда "Стой, записать...", по которой наводчик на щите орудия пишет номер цели и все пристрелянные установки по ней. Такая работа проделывается и по фиктивным целям — реперам. Постепенно при "работе" на данной местности запоминаются пристрелянные установки по многим целям и реперам. С их появлением и развитием подготовка данных по вновь появляющимся целям резко упрощается, т.к. сводится к переносу огня от ближайшей цели или репера, т.е. к внесению поправок по дальности и направлению. Доказано, что при этом достаточно сразу назначать захват цели в узкую вилку, т.е. пристрелка упрощается. Правила стрельбы существуют века, однако вряд ли кто-то осознавал теоретически, что речь идет о реализации самообучающейся системы. Для трудноформализуемых задач управления или для увеличения производительности вычислительных средств известно так называемое ситуационное управление. Оно заключается в том, что для каждого значения вектора, описывающего сложившуюся ситуацию, известно значение вектора, описывающего то решение, которое следует принять. Если все ситуации отразить невозможно, должно быть задано правило интерполяции (аналог интерполяции, обобщенной интерполяции). Итак, пусть исходная ситуация характеризуется вектором X = {x1 , ..., xm }. По значению X, т.е. по его компонентам, принимается решение Y, также представляющее собой вектор, Y = {y1 , ..., yn }. (Значения X и Y могут определяться целыми и вещественными, булевыми. Изначально они могут иметь нечисловую природу: "темнее — светлее", "правее — левее", "ласковее — суровее" и т.д. Мы не будем рассматривать проблему численной оценки качественных или эмоциональных категорий.) Предположим, для любых двух значений X1
и X2
, а также Y1
и Y2
определено отношение xi
(1)
Структура ассоциативной памяти и общий вид ее обработки показаны на рисунке 4.2.1. Рис. 4.2.1 Структура и обработка ассоциативной памяти Пусть поступила входная ситуация X, для которой необходимо найти решение Y. В АП находятся два вектора X1
и X2
, минимально отличающиеся по всем координатам от вектора X. для Для этих векторов там же записаны векторы решения Y1
и Y2
соответственно. Однако если для компоненты xi
выполняется условие xi
r(X,X2 ) и r(X1 ,X2 ) (находится аналогично) — расстояния между векторами X и X2 , а также X1 и X2 . Если известно, что точность Y достаточна, принципиально возможно дополнение АП новой строкой
т.е. информацией о новом полученном опыте. Однако динамика развития и уточнения АП как базы знаний представляется иной. Далеко не всегда по ошибочному принятию решений целесообразно развивать базу знаний. "Учение на ошибках" может привести к трагедии (или к частному срыву процесса управления), особенно на этапе обучения системы. Обучение системы целесообразно проводить на достаточно точной модели, максимально использующей точный расчет компонент решения. Применение модели для обучения используется не только на специально предусмотренном этапе обучения системы, но и вне реального цикла управления, т.е. когда система работает в режиме дежурства, параллельно с функциональным контролем. Тогда алгоритм ее работы представлен на рис. 4.2.2. Рис. 4.2.2 Самообучающаяся система управления 4.3 ВС Connection MachineВ упомянутом выше "Японском вызове" провозглашалась необходимость объединения в одну систему десятков и сотен тысяч микропроцессоров. К такому опыту можно отнести семейство ВС, разработанное фирмой Thinking Machine. Оно является единственной крупной коммерческой реализацией идей ОВС. СМ-1 выпущена в 1986 г. Через год была выпущена СМ-2 с удвоенной производительностью в 2,5 млрд.оп./с. О ней следует говорить в связи с попытками воспроизвести ее в нашей стране на архитектурном уровне. СМ-2 комплектуется (рис. 4.3.1) из блоков параллельной обработки по 16 К узловых одноразрядных процессоров (элементарных процессоров — ЭП) каждый. В комплекс входят до 8 фронтальных ЭВМ, на которых реализуется вычислительный процесс. (Следовательно, как в ПС-2000, собственно блоки СМ образуют интеллектуальный терминал для выполнения операций по заявкам фронтальных (там — мониторной) ЭВМ.) Рис. 4.3.1 Схема масспроцессорной системы Connection Machine Узловой (матричный) коммутатор обеспечивает связь фронтальных ЭВМ с секвенсорами блоков параллельной обработки в соответствии с вычислительным процессом и заявками пользовательских задач. Подсистема ввода-вывода связывает блоки параллельной обработки с периферийными устройствами массовой памяти и графическими дисплеями. Секвенсор — специализированная 96-разрядная микро-ЭВМ управления параллельной обработкой. На входе он получает поток высокоуровневых команд виртуальной машины (образуемой множеством фронтальных ЭВИ) и аргументов. Они передаются от коммутатора. На выходе он генерирует последовательность низкоуровневых команд элементарных обрабатывающих процессоров, команды синхронизации и операций с памятью. Основные операции производятся над 32-разрядными данными. Для выполнения их используются по 32 элементарных процессора. Поэтому каждые 32 ЭП имеют акселератор для выполнения операций с плавающей запятой, в том числе — с двойной точностью. Память (RAM — прямоадресуемая, с произвольным доступом) распределенная. Каждый ЭП имеет 64 Кбит. Т.е. общий объем памяти — 512 Мбайт (в 64 К-процессорном варианте). Ассемблер обеспечивает богатый набор от простых арифметических и логических операций до высокоуровневых APL-подобных операций (APL — параллельный PL, ЯВУ). Реализован микропрограммно в секвенсорах, и, как говорилось выше, этим обеспечивается преобразование потока высокоуровневых команд и аргументов на языке Paris в последовательность элементарных операций обрабатывающих процессоров. 4.4 Нейронные сети и нейрокомпьютерыПрименяемые нейросети являются моделями нейросетей живых организмов, принципы которых были известны уже в 1940–1950 годах, а с развитием микроэлектроники стали реализуемыми. Нейросети как один из основных средств решения задач искусственного интеллекта (ИИ) привлекательны высокой производительностью при решении задач экспертных систем, распознавания образов, ситуационного управления, оптимизационных, — т.е. всех тех задач, которые мы привыкли решать не методом расчета, а на основе опыта, самообучения, наконец, интуиции. Высокая производительность, обусловленная самим методом, дополнительно достигается за счет больших возможностей параллельной обработки нейросети, как будет показано далее. Предварительным знакомством с системами ИИ можно считать рассмотрение ассоциативных ВС. Характерно то, что исследование и воспроизводство нейросетей первоначально проводились в рамках решения задачи построения ассоциативной памяти в совокупности с операциями ее заполнения, ведения и использования. Принципы нейросети . Нейросеть содержит узлы — аналоги нервных клеток и их соединения — синапсические связи. Предполагается, что в человеческом мозге свыше 100 млрд. нейронов. Фрагмент нейросети представлен на рис. 4.4.1 Рис. 4.4.1 Фрагмент нейронной сети Либо каждый нейрон управляем извне, либо сети строятся по принципу самоуправления, используя обратные связи. А именно, можно регулировать значения весов синапсических связей {wi } и значения порогов hi . Функции f бывают различны, но просты по объему вычислений. В простейшем случае f cовпадает с линейной формой — указанным аргументом. Т.е. по всем дендритам с учетом их весов производится суммирование и сравнение с порогом. Величина превышения порога является величиной возбуждения нейрона. Она передается через его ветвящийся аксон в соответствии со связями данного нейрона. В некоторых сетях величина возбуждения нейрона может принимать только два значения: возбужден (1), не возбужден (0). В более сложном случае, например, в одной сети распознавания зрительных образов, где реализовано самоуправление, схема действия нейрона показана на рис. 4.4.2. Это так называемые сигмоидные нейроподобные элементы, более точно моделирующие процессы реального нейрона.
В сети распознают входной слой, воспринимающий внешние возбуждения (например, на который подается видеоизображение), и выходной слой, определяющий результат решения задачи. Работа сети тактируется для имитации прохождения по ней возбуждения и управления им. Если это, например, видеоизображение, то его подача на входной слой возбуждает в некоторой конфигурации множество нейронов. Можно так построить сеть, что через некоторое число тактов окажется возбужденным один нейрон выходного слоя. Существуют два режима работы сети: режим обучения и режим распознавания. Пусть мы на входной слой подали и поддерживаем некоторый образ, например, букву A. Через некоторое время возбудится нейрон выходного слоя, который мы можем отметить как образ A. Т.е. его возбужденное состояние мы воспринимаем как ответ: "Это буква A". Введем снова букву A, но с естественными искажениями. Может возбудиться тот же нейрон, но может и другой. Мы хотим "научить" систему, заставить ее ответить, что это — буква A, т.е добиться возбуждения того же нейрона выходного слоя. Тогда по некоторому алгоритму (один из известных и весьма распространенных алгоритмов называется алгоритмом обратного распространения ошибки; в нем воспроизводится подход, используемый в динамическом программировании) мы меняем веса и пороги в сети на пути прохождения возбуждения так, чтобы заставить возбудиться нужный нейрон. Так, предъявляя множество эталонов и регулируя параметры сети, мы производим ее обучение данному образу. (Математические проблемы несовместимости управления параметрами для разных эталонов оставим в стороне: в живой природе такой процесс проходит успешно.) Обучение заканчивается тогда, когда вероятность "узнавания" достигнет требуемого значения, т.е. необходимость корректировки параметров по предъявляемым эталонам возникает все реже. Теперь можно работать в режиме распознавания — в том ответственном режиме, для которого сеть создавалась. Предъявляем сети различные буквы. Можем быть уверены, что с большой вероятностью, если мы предъявим случайно искаженную и даже зашумленную букву A (конечно, в допустимых пределах), сеть ее распознает, т.е. возбудится соответствующий нейрон выходного слоя. Продолжим обсуждение применимости. Так, в экспертных системах требуются точные данные о ситуации, чтобы выдать соответствующее ей заключение. Нейронной сети такой подход "чужд". Она выдает ответ на вопрос: "на что похожа данная ситуация" и, следовательно, какое должно быть заключение. Т.е. нейросеть имитирует ассоциативное мышление. В связи с этим, получают распространение банковские системы (банковские пакеты для РС) — для обоснования финансовых операций, оценки финансового состояния различных фирм, обработки большого количества сделок и т.д. Крупнейшие банки мира используют нейросетевые методы решения своих задач. Известны применения для оценки состояния электроэнергетической системы, распознавания рукописных текстов и т.д. Важная область применения — ситуационное управление. Когда же говорят о shape нейрокомпьютерах, то сегодня это обычные по архитектуре ВС, а чаще — типа РС, на которых реализована нейросетевая задача. Однако обращает на себя внимание несложность вычислений и возможность распараллеливания. Известен опыт построения нейросетей на транспьютерах. Нейрон — один транспьютер. Транспьютеры жестко связаны между собой в соответствии с топологией сети. С развитием микропроцессорных систем это стало представляться невыгодным, неуниверсальным, трудно отслеживающим изменения в сети — количества нейронов и их связей. 5. Системы с массовым параллелизмом (МРР)
Massive Parallel Processing (MPP) — массивно-параллельная архитектура. Особенность архитектуры состоит в том, что память физически разделена. Система строится из отдельных модулей, содержащих процессор, локальный банк операционной памяти, коммуникационные процессоры или сетевые адаптеры, иногда — жесткие диски и/или другие устройства ввода/вывода. По сути, такие модули представляют собой полнофункциональные компьютеры. Доступ к банку операционной памяти из данного модуля имеют только процессоры из этого же модуля. Модули соединяются специальными коммуникационными каналами. Пользователь может определить логический номер процессора, к которому он подключен, и организовать обмен сообщениями с другими процессорами. Используются два варианта работы операционной системы на машинах MPP-архитектуры. В одном полноценная операционная система работает только на управляющей машине (front-end), на каждом отдельном модуле функционирует сильно урезанный вариант ОС, обеспечивающий работу только расположенной в нем ветви параллельного приложения. Во втором варианте на каждом модуле работает полноценная UNIX-подобная ОС, устанавливаемая отдельно. Проблемы, присущие многопроцессорным системам с общей памятью, простым и естественным образом устраняются в системах с массовым параллелизмом. Компьютеры этого типа представляют собой многопроцессорные системы с распределенной памятью, в которых с помощью некоторой коммуникационной среды объединяются однородные вычислительные узлы (рис.5.1).
Рис. 5.1 Архитектура систем с распределенной памятью. Каждый из узлов состоит из одного или нескольких процессоров, собственной оперативной памяти, коммуникационного оборудования, подсистемы ввода/вывода, т.е. обладает всем необходимым для независимого функционирования. При этом на каждом узле может функционировать либо полноценная операционная система (как в системе RS/6000 SP2), либо урезанный вариант, поддерживающий только базовые функции ядра, а полноценная ОС работает на специальном управляющем компьютере (как в системах Cray T3E, nCUBE2). Процессоры в таких системах имеют прямой доступ только к своей локальной памяти. Доступ к памяти других узлов реализуется обычно с помощью механизма передачи сообщений. Такая архитектура вычислительной системы устраняет одновременно как проблему конфликтов при обращении к памяти, так и проблему когерентности кэш-памяти. Это дает возможность практически неограниченного наращивания числа процессоров в системе, увеличивая тем самым ее производительность. Успешно функционируют MPP системы с сотнями и тысячами процессоров (ASCI White - 8192, Blue Mountain - 6144). Производительность наиболее мощных систем достигает 10 триллионов оп/сек (10 Tflops). Важным свойством MPP систем является их высокая степень масштабируемости. В зависимости от вычислительных потребностей для достижения необходимой производительности требуется просто собрать систему с нужным числом узлов. На практике все, конечно, гораздо сложнее. Устранение одних проблем, как это обычно бывает, порождает другие. Для MPP систем на первый план выходит проблема эффективности коммуникационной среды. Самым простым и наиболее эффективным способом объединение множества узлов было бы соединение каждого процессора с каждым. Но тогда на каждом узле потребовалось бы 999 коммуникационных каналов, желательно двунаправленных. Очевидно, что это нереально. Различные производители MPP систем использовали разные топологии. В компьютерах Intel Paragon процессоры образовывали прямоугольную двумерную сетку. Для этого в каждом узле достаточно четырех коммуникационных каналов. В компьютерах Cray T3D/T3E использовалась топология трехмерного тора. Соответственно, в узлах этого компьютера было шесть коммуникационных каналов. Фирма nCUBE использовала в своих компьютерах топологию n-мерного гиперкуба. Подробнее на этой топологии мы остановимся в главе 4 при изучении суперкомпьютера nCUBE2. Каждая из рассмотренных топологий имеет свои преимущества и недостатки. Отметим, что при обмене данными между процессорами, не являющимися ближайшими соседями, происходит трансляция данных через промежуточные узлы. Очевидно, что в узлах должны быть предусмотрены какие-то аппаратные средства, которые освобождали бы центральный процессор от участия в трансляции данных. В последнее время для соединения вычислительных узлов чаще используется иерархическая система высокоскоростных коммутаторов, как это впервые было реализовано в компьютерах IBM SP2. Такая топология дает возможность прямого обмена данными между любыми узлами, без участия в этом промежуточных узлов. Системы с распределенной памятью идеально подходят для параллельного выполнения независимых программ, поскольку при этом каждая программа выполняется на своем узле и никаким образом не влияет на выполнение других программ. Однако при разработке параллельных программ приходится учитывать более сложную, чем в SMP системах, организацию памяти. Оперативная память в MPP системах имеет 3-х уровневую структуру: · кэш-память процессора; · локальная оперативная память узла; · оперативная память других узлов. При этом отсутствует возможность прямого доступа к данным, расположенным в других узлах. Для их использования эти данные должны быть предварительно переданы в тот узел, который в данный момент в них нуждается. Это значительно усложняет программирование. Кроме того, обмены данными между узлами выполняются значительно медленнее, чем обработка данных в локальной оперативной памяти узлов. Поэтому написание эффективных параллельных программ для таких компьютеров представляет собой более сложную задачу, чем для SMP систем. Приемущества архитектуры. Главным преимуществом систем с раздельной памятью является хорошая масштабируемость: в отличие от SMP-систем, в машинах с раздельной памятью каждый процессор имеет доступ только к своей локальной памяти, в связи с чем не возникает необходимости в потактовой синхронизации процессоров. Практически все рекорды по производительности на сегодня устанавливаются на машинах именно такой архитектуры, состоящих из нескольких тысяч процессоров (ASCI Red, ASCI Blue Pacific) Недостатки архитектуры отсутствие общей памяти заметно снижает скорость межпроцессорного обмена, поскольку нет общей среды для хранения данных, предназначенных для обмена между процессорами. Требуется специальная техника программирования для реализации обмена сообщениями между процессорами; каждый процессор может использовать только ограниченный объем локального банка памяти; вследствие указанных архитектурных недостатков требуются значительные усилия для того, чтобы максимально использовать системные ресурсы. Именно этим определяется высокая цена программного обеспечения для массивно-параллельных систем с раздельной памятью.
Список литературы
1. Архитектура параллельных вычислительных систем А.Б. Барский 2. Материалы сайта www.intuit.ru. 3. Материалы сайта www.do.rksi.ru |






























