Реферат: Методические рекомендации по выполнению лабораторных работ и расчетного задания по курсу «Основы автоматического управления»
|
Название: Методические рекомендации по выполнению лабораторных работ и расчетного задания по курсу «Основы автоматического управления» Раздел: Остальные рефераты Тип: реферат | |||||||||||||||||||||||||||||||||||
| Федеральное агентство по образованию Бийский технологический институт (филиал) государственного образовательного учреждения высшего профессионального образования «Алтайский государственный технический университет имени И.И. Ползунова» Р.Г. Гареева Идентификация динамических объектов Методические рекомендации по выполнению лабораторных работ и расчетного задания по курсу «Основы автоматического управления» Бийск Издательство Алтайского государственного технического университета им. И.И. Ползунова 2008 УДК 62-52(085)
Гареева, Р.Г.
Методические рекомендации содержат изложение некоторых методов идентификации объектов управления и определения их динамических характеристик. Рекомендации предназначены для студентов специальности 200106 «Информационно-измерительная техника и технологии» дневной и заочной форм обучения по курсу «Основы автоматического управления». УДК 62-52(085) Рассмотрены и одобрены на заседании кафедры МСИА Протокол № 49 от 10.01.2008 г. © Р.Г. Гареева, 2008
ВВЕДЕНИЕ Построение математических моделей объекта или создание алгоритмов их автоматического получения является первым этапом математического моделирования. В связи с этим значительный интерес вызывают методы построения математических моделей и особенно один из них – идентификация, при которой модель строится по результатам, полученным в условиях нормального функционирования изучаемого объекта. Под идентификацией динамической системы понимается получение или уточнение по экспериментальным данным математической модели реального объекта, выраженной с помощью математического аппарата. Идентификация состоит в отыскании по входным и выходным сигналам некоторой системы эквивалентной ей системы из некоторого заданного класса. Определение идентификации предполагает, во-первых, использование априорной информации, основанной на законах физики, и, во-вторых, обработку данных измерений для получения необходимой апостериорной информации об исследуемой системе. Следует отметить, что структура модели должна выбираться на основе глубокого изучения интересующей нас системы. Принцип «черного ящика», предполагающий полное отсутствие априорной информации, едва ли приемлем и реалистичен в подавляющем большинстве случаев. Задача идентификации объекта управления, то есть определение структуры и параметров объекта по наблюдениям, является одной из основных задач современной теории и техники автоматического управления. Эта задача возникает при изучении свойств и особенностей объектов с целью последующего управления ими, либо при создании адаптивных систем, в которых на основе идентификации объекта вырабатываются оптимальные управляющие воздействия. К различным вариантам задачи идентификации приводят статистические методы обработки экономической, социологической, биологической и медицинской информации. Существуют различные методы идентификации, основанные на разных подходах к форме задания идентификационных моделей (например, дифференциальные уравнения, разностные уравнения, передаточные функции, градиентные выражения). Ни один из методов идентификации не годится для идентификации всех видов систем. Каждый из них имеет свою область или области применения. Это, однако, не означает, что на современном уровне идентификация должна рассматриваться как набор готовых рецептов для различных типов систем. Сейчас уже можно говорить о теории идентификации, имеющей дело с оцениванием параметров на основании измеренных текущих входных и выходных данных, причем качество идентификации повышается с увеличением числа измерений. Ошибки идентификации, естественно, приводят к ошибкам в управлении или в требуемом выходном параметре системы; эти ошибки могут быть использованы для дальнейшего улучшения идентификации. Следовательно, теория идентификации аналогична, точнее, дуальна теории управления, в которой ошибки управления (в предположении, что система идентифицирована) используются для улучшения последующего процесса управления. Аналогично теории управления в теории идентификации существует несколько подходов, применяемых ко многим ситуациям и случаям. Методы идентификации классифицируют по различным принципам. Наиболее важными являются такие, согласно которым методы идентификации подразделяются на следующие четыре группы: аналитические и компенсационные; статистические и нестатистические (детерминированные); градиентные и неградиентные; поисковые и беспоисковые. При аналитических методах идентификация объектов производится на основе анализа переходных процессов, частотных и статистических характеристик входных и выходных сигналов. Оценки параметров объекта определяют по соотношениям, связывающим характеристики выходного сигнала с параметрами объекта и характеристиками входного сигнала. Аналитические методы имеют относительно большое быстродействие в предположении, что для анализа соответствующих характеристик и решения необходимых уравнений связи или систем уравнений применяют вычислительные машины. При аналитическом методе нет необходимости в наблюдении или измерении функционала качества. Таким образом, аналитические методы являются разомкнутыми. Недостатком аналитических методов является то, что они обычно требуют математического описания входных и выходных сигналов или их статистических характеристик. Неточность идентификации при этом подходе непосредственно связана с погрешностью вычислений, неточностью математического описания сигналов, обусловленной учетом стационарности и наличием помех. При компенсационных методах применяют модели объектов, соединенные с исследуемым объектом определенным образом. Структура модели выбирается эвристически на основе некоторых данных об объекте и требований к точности и сложности его описания. Компенсационные методы относятся к замкнутым методам, при этом уменьшаются погрешности, обусловленные нестационарностью, и исключаются погрешности, связанные с математическим описанием входных и выходных сигналов. Быстродействие этих методов обычно меньше аналитических. Статистические методы основаны на использовании статистических характеристик (функций распределения, корреляционных функций, спектральных плотностей, моментов) сигналов, применяемых для идентификации. При этом мера качества формируется в виде некоторого среднего риска. Этот подход необходим при наличии случайных помех. Нестатистические (детерминированные) методы основаны на идентификации детерминированных функциональных зависимостей, связывающих параметры выходного сигнала с параметрами объекта и входного сигнала. Эти методы применимы при отсутствии помех. Градиентные методы идентификации содержат градиентные алгоритмы оптимизации меры качества. Движение к оптимальному значению меры качества производится по градиенту в сторону его оптимального значения со скоростью, пропорциональной градиенту меры качества. Этот метод применим, когда мера качества строго унимодальна, то есть имеет один экстремум. Недостаток градиентных методов обусловлен несовершенством меры качества, в которой обычно параметры объекта взаимосвязаны. В результате этого полученные оценки последних могут быть смещенными. При неградиентных методах осуществляют движение к оптимальному значению функционала качества неградиентным способом и нет необходимости в непрерывном определении компонент градиента функционала качества. Определяют только направление убывания функционала качества, вдоль которого происходит движение, а также шаг движения, обеспечивающего определенные качества процесса идентификации (например, его сходимость). Быстродействие этих методов, как правило, ниже быстродействия градиентных, а погрешность обусловлена конечностью шагов движения к оптимальному значению функционала качества, что приводит или к колебательному циклу вокруг оптимальной точки, или к смещению оценок. При поисковых методах идентификации для организации движения к оптимальному состоянию применяют специальные пробные параметрические колебания, с чем связан их основной недостаток. Эти методы принципиально неприемлемы, когда нельзя применить или реализовать пробные воздействия. Быстродействие поисковых систем невелико. Для таких систем характерен колебательный режим вокруг оптимальной точки. Задача беспоисковой идентификации сводится к использованию априорных сведений об объекте (то есть к учету его «серости») с тем, чтобы без поиска получить информацию, достаточную для синтеза управления, переводящего объект в экстремальное состояние. Беспоисковые методы не требуют применения специальных поисковых параметрических сигналов, и поэтому они лишены недостатков, связанных с последними. Для целей идентификации обычно используют входные сигналы объекта. Это значит, что помехи, которые складываются с полезным сигналом на входе объекта и модели, являются полезными сигналами для идентификации. 1 ИДЕНТИФИКАЦИЯ ДИНАМИЧЕСКИХ ОБЪЕКТОВ МЕТОДОМ НЕЛИНЕЙНЫХ ОЦЕНОК Переходные функции любых динамических объектов имеют вид инерционного или колебательного процессов. Это позволяет математически описать их как звенья 2-го порядка. Поэтому задача идентификации для них формулируется следующим образом: определить параметры (собственную частоту 1.1 Дифференциальное уравнение объекта Поскольку звено 2-го порядка может иметь, в зависимости от значений параметров, переходную функцию колебательного или инерционного типа, сложный объект возможно представить как последовательное соединение типовых звеньев 1-го и 2-го порядков. Для примера рассмотрим звено 3-го порядка, передаточная функция которого имеет следующий вид:
где Характеристическое уравнение объекта запишется в виде:
или
где Передаточная функция в этом случае перепишется как:
Учитывая, что
После перехода из области изображений в область оригиналов получим дифференциальное уравнение, описывающее поведение объекта:
где Поделим обе части уравнения (1) на коэффициент
Тогда уравнение (1) перепишется в виде:
Результаты решения уравнения (2) при заданном внешнем воздействии в виде единичной ступенчатой функции
являются аналогом экспериментальных данных при изучении переходной функции объекта 3-го порядка. При 1.2 Численный метод решения дифференциального уравнения (метод Эйлера) С целью численного решения уравнения (2) понизим его порядок. Для этого введем следующие обозначения:
В результате дифференциальное уравнение 3-го порядка представится в виде системы трех дифференциальных уравнений 1-го порядка:
Система уравнений (3) при нулевых начальных условиях и заданном шаге интегрировании
1.3 Идентификация объекта 1.3.1 Дифференциальное уравнение модели Решение уравнения 2-го порядка, описываемого дифференциальным уравнением
при входном воздействии
где Для численного решения уравнения (5) представим его в виде системы двух уравнений 1-го порядка, используя обозначения
1.3.2 Метод нелинейных оценок (МНО) В общем виде решения системы уравнений (6) являются функциями
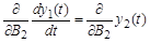
Введем коэффициенты чувствительности, определяющие зависимость изменения функций
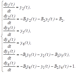
Непосредственно рассчитать коэффициенты чувствительности по соотношениям (7) не представляется возможным, поскольку зависимость
В результате получим систему шести уравнений:
Таким образом, одновременно с решением основной системы уравнений (6) решаются дифференциальные уравнения и для коэффициентов чувствительности. 1.3.3 Определение поправок Решение системы уравнений (8) при приближенных значениях коэффициентов По МНО линейное приближение для функции
где Для определения поправок воспользуемся методом наименьших квадратов, основанным на минимизации функции невязок, которая для дискретного случая имеет вид: где Минимум функции невязок соответствует выполнению условий:
После вычисления производных получим два уравнения:
и
Для удобства введем обозначения:
Тогда система уравнений перепишется в виде:
Систему (9) решим методом Крамера, то есть определим поправки
где С учетом итераций искомые коэффициенты
где Учитывая, что Точность идентификации параметров
Если ошибки 1.4 Практическая часть Идентифицировать объект 3-го порядка, используя модель звена 2-го порядка. Входной сигнал задать в виде Выбрать следующие значения параметров объекта: 1) собственная частота 2) коэффициент затухания 3) коэффициент усиления 4) постоянная времени объекта 2 ОПРЕДЕЛЕНИЕ ДИНАМИЧЕСКИХ Динамические характеристики объекта исследования могут быть найдены, если на его вход подан стандартный сигнал, а реакция объекта наблюдается во времени. В зависимости от вида входного воздействия различают переходную (кривая разгона), импульсную и частотную характеристики. Рассмотрим, как по названным экспериментальным данным можно определить динамическую модель объекта в виде передаточной функции. Кривые разгона
получают при подаче на вход исследуемого объекта ступенчатого воздействия. Для статических объектов переходный процесс заканчивается при достижении выходной величины Существуют несколько методов обработки разгонной характеристики исследуемого объекта с целью получения его передаточной функции. Рассмотрим два из них. 2.1 Метод последовательного логарифмирования
Метод последовательного логарифмирования применим для аппроксимации гладких неколебательных переходных характеристик, которые могут быть представлены выражением:
где Условия (10), (11) означают, что аппроксимирующая передаточная функция имеет только вещественные простые полюса, расположенные на достаточно большом расстоянии один от другого (или отстоящие друг от друга на приблизительно равном расстоянии). Задача состоит в том, чтобы по таблично или графически заданной разгонной характеристике объекта определить порядок уравнения, коэффициенты Сущность метода заключается в последовательном приближении переходной функции Сначала предполагается, что
откуда функция невязок 1-го порядка запишется как:
Далее ищется логарифм модуля выражения (12):
Для определения неизвестных Рисунок 1 – Логарифмирование функции невязок Значение корня
где Если при всех значениях времени. Это означает, что асимптота должна совпадать с графиком всей функции Зная величины Процесс приближения функции
с точностью не менее Особое внимание необходимо обращать на знаки коэффициентов При правильном определении величин
В результате аппроксимации искомая передаточная функция объекта примет вид:
где Коэффициенты
1 – переходная характеристика, 2 – касательная Рисунок 2 – Определение времени чистого запаздывания 2.2 Метод интегральных площадей Метод интегральных площадей (метод М. Симою) достаточно широко распространен благодаря высокой точности. Следует обратить внимание на то, что кривая разгона при этом должна быть пронормирована в соответствии с выражением:
Передаточная функция для статического объекта имеет вид:
где Передаточный коэффициент Для нахождения коэффициентов
Интегральные площади
где Обычно точность эксперимента не позволяет практически использовать коэффициенты Найдем вид передаточной функции объекта. Если начальные условия нулевые
где В некоторых случаях площадь Если начальные условия таковы, что
Неизвестные коэффициенты определяют из системы уравнений:
Если объект управления имеет чистое запаздывание
Рисунок 4 – Виды переходных характеристик объекта 2.3 Практическая часть 2.3.1
Используя метод последовательного логарифмирования, идентифицировать инерционный объект 3-го порядка с помощью модели инерционного звена 2-го порядка с запаздыванием, определив при этом постоянные времени Входной сигнал задать в виде Выбрать следующие значения параметров объекта: 1) коэффициент усиления 2) постоянные времени объекта 2.3.2
Используя метод интегральных площадей, идентифицировать инерционный объект 2-го порядка с помощью модели инерционного звена 2-го порядка, определив при этом коэффициент Входной сигнал задать в виде Выбрать следующие значения параметров объекта: 1) коэффициент усиления 2) постоянные времени объекта 3 ИДЕНТИФИКАЦИЯ С ПОМОЩЬЮ ПОСЛЕДОВАТЕЛЬНЫХ РЕГРЕССИОННЫХ МЕТОДОВ Регрессионный анализ является в настоящее время классическим статистическим методом. Благодаря своим широким возможностям различные регрессионные процедуры давно и успешно используются в инженерной практике для идентификации процессов, однако их применение к идентификации многомерных процессов в реальном масштабе времени стало возможным только с развитием и внедрением быстродействующих ЦВМ. Методы идентификации, основанные на регрессионных процедурах с использованием метода наименьших квадратов, применимы как к линейным, так и к нелинейным процессам и облегчают проведение идентификации по нескольким входам одновременно. Более того, регрессионные методы позволяют осуществлять идентификацию в реальном масштабе времени, поскольку они основаны на измерениях входных и выходных сигналов, которые можно получить в процессе нормального функционирования системы. В течение периода, пока выполняются измерения для регрессионной идентификации, параметры идентифицируемого процесса принимаются стационарными или квазистационарными. Этот период должен быть не менее 3.1 Последовательный метод наименьших квадратов Методы идентификации, основанные на последовательном методе наименьших квадратов, могут быть использованы вместо непоследовательных регрессионных методов. То, что эти методы являются последовательными, позволяет реализовать их сравнительно быстро при небольшом объеме требуемой памяти ЦЭВМ. При последовательном подходе уменьшаются вычислительные сложности, связанные с обращением матриц, что устраняет основное препятствие на пути применения многомерных регрессионных методов к реальным системам. При применении регрессионных методов к задачам идентификации медленно меняющихся нестационарных процессов предполагается наличие стационарности только на интервале, в течение которого собираются данные для регрессионной идентификации. При этом регресси- онный интервал состоит из Следовательно, матрицы последовательной регрессии применимы лишь к процессам, которые можно считать стационарными. Однако, поскольку последовательные регрессионные оценки сходятся к непоследовательным регрессионным оценкам после На практике последовательные оценки любого рода можно применять к данным, полученным на конечном интервале, следующим образом. Рассматривается интервал Рассмотрим систему с неизвестным параметром
где соответственно;
Задача идентификации (оценивание неизвестного параметра системы а)
может быть решена путем использования линейной регрессии по методу наименьших квадратов. В итоге на основании
где Регрессионная оценка по методу наименьших квадратов
откуда
Оценка
и
Выражение (16) может быть переписано в виде:
Учитывая выражение (15), получим:
В результате рекуррентная формула для оценки параметра
где
Отметим, что последовательный результат уравнения (17) совпадает с уравнением (14) для любых значений r . 3.2 Практическое задание Используя последовательный метод наименьших квадратов, идентифицировать инерционный объект 1-го порядка в условиях шума с помощью модели инерционного звена 1-го порядка, оценив при этом постоянную времени объекта Входной сигнал задать в виде Выбрать следующие значения параметров объекта: 1) коэффициент усиления 2) постоянная времени объекта Список рекомендуемой литературы Литература к разделу 1 1. Бокс, Дж. Анализ временных рядов. Прогноз и управление. Вып. 1 / Дж. Бокс, Г. Дженкинс. – М.: Мир, 1974. 2. Томович, Р. Общая теория чувствительности / Р. Томович, Литература к разделу 2 1. Широкий, Д.К. Расчет параметров промышленных систем регулирования / Д.К. Широкий, О.Д. Куриленко. – Киев: Техника, 1972. 2. Мартыненко, И.И. Проектирование систем автоматики / Литература к разделу 3 1. Эйкхофф, П. Основы идентификации систем управления / 2. Гроп, Д. Методы идентификации систем / Д. Гроп. – М: Мир, 1979. – 302 с. 3. Райбман, Н.С. Что такое идентификация? / Н.С. Райбман. – М: Наука, 1970. – 119 с. СОДЕРЖАНИЕ
Учебное издание Гареева Рената Гегелевна Идентификация динамических объектов Редактор Соловьёва С.В. Корректор Малыгина И.В. Технический редактор Малыгина Ю.Н. Подписано в печать 22.02.08. Формат 60х84 1/16. Усл. п. л. 1,63. Уч.-изд. л. 1,75. Печать – ризография, множительно-копировальный аппарат «RISO TR -1510» Тираж 60 экз. Заказ 2008-12. Издательство Алтайского государственного технического университета 656038, г. Барнаул, пр-т Ленина, 46 Оригинал-макет подготовлен ИИО БТИ АлтГТУ Отпечатано в ИИО БТИ АлтГТУ 659305, г. Бийск, ул. Трофимова, 29
Р.Г. Гареева Идентификация динамических объектов Методические рекомендации по выполнению лабораторных работ и расчетного задания по курсу «Основы автоматического управления» Бийск Издательство Алтайского государственного технического университета им. И.И. Ползунова
|
Работы, похожие на Реферат: Методические рекомендации по выполнению лабораторных работ и расчетного задания по курсу «Основы автоматического управления»

(3)
(4)
(6)
(8)
,




(14)