Учебное пособие: Учебно-методическое пособие для учителей и учащихся Автор -дьячков Алексей Константинович, учитель математики моу сош №153 г. Челябинска, Заслуженный учитель РФ
|
Название: Учебно-методическое пособие для учителей и учащихся Автор -дьячков Алексей Константинович, учитель математики моу сош №153 г. Челябинска, Заслуженный учитель РФ Раздел: Остальные рефераты Тип: учебное пособие | ||||||||||||||||||
| Управление образования Центрального района г. Челябинска Муниципальное Общеобразовательное учреждение Средняя общеобразовательная школа №153 Функционально-графический подход к решению задач с параметрами . Учебно-методическое пособие для учителей и учащихся Автор -Дьячков Алексей Константинович, учитель математики МОУ СОШ №153 г. Челябинска, Заслуженный учитель РФ. г. Челябинск, 2010 год Настоящее методическое пособие составлено в связи с тем, что решение задач с параметрами вызывает затруднения учителей и учащихся. В пособии даются примеры решения задач с параметрами. При его подготовке была использована методическая литература и Интернет-ресусы. За последние годы издано много учебных и методических пособий и сборников задач указанного типа. В 2010 году, например, опубликовано пособие В.Голубева и А. Гольдмана «О задачах с параметрами», теоретические основы которого можно использовать при обучении школьников. Если мы вспомним некоторые основные уравнения (например, k x+l=0, a x2 +bx+c=0), то обратим внимание, что при поиске их корней значения остальных переменных, входящих в уравнения, считаются фиксированными и заданными. Все разночтения в существующей литературе связаны с толкованием того, какими фиксированными и заданными могут быть эти значения остальных переменных. Например, в уравнениях |x|=a
–1 и a
x=1 при a
=0 равенства не выполняются при любых значениях переменной x, а в уравнения Поскольку в школьных учебниках нет определения параметра, можно предложить взять за основу следующий его простейший вариант. Определение . Параметром называется независимая переменная, значение которой в задаче считается заданным фиксированным или произвольным действительным числом, или числом, принадлежащим заранее оговоренному множеству. Независимость параметра заключается в его «неподчинении» свойствам, вытекающим из условия задачи. Например, из неотрицательности левой части уравнения |x|=a –1 не следует неотрицательность значений выражения a –1, и если a –1<0, то мы обязаны констатировать, что уравнение не имеет решений. Что означает «решить задачу с параметром»? Естественно, это зависит от вопроса в задаче. Если, например, требуется решить уравнение, неравенство, их систему или совокупность, то это означает предъявить обоснованный ответ либо для любого значения параметра, либо для значения параметра, принадлежащего заранее оговоренному множеству. Если же требуется найти значения параметра, при которых множество решений уравнения, неравенства и т. д. удовлетворяет объявленному условию, то, очевидно, решение задачи и состоит в поиске указанных значений параметра. Более прозрачное понимание того, что означает решить задачу с параметром, у читателя сформируется после ознакомления с примерами решения задач на последующих страницах. Основные типы задач с параметрами? Тип 1. Уравнения, неравенства, их системы и совокупности, которые необходимо решить либо для любого значения параметра (параметров), либо для значений параметра, принадлежащих заранее оговоренному множеству. Этот тип задач является базовым при овладении темой «Задачи с параметрами», поскольку вложенный труд предопределяет успех и при решении задач всех других основных типов. Тип 2. Уравнения, неравенства, их системы и совокупности, для которых требуется определить количество решений в зависимости от значения параметра (параметров). При решении задач данного типа нет необходимости ни решать заданные уравнения, неравенства, их системы и совокупности и т. д., ни приводить эти решения; такая лишняя в большинстве случаев работа является тактической ошибкой, приводящей к неоправданным затратам времени. Однако не стоит абсолютизировать сказанное, так как иногда прямое решение в соответствии с типом 1 является единственным разумным путем получения ответа при решении задачи типа 2. Тип 3. Уравнения, неравенства, их системы и совокупности, для которых требуется найти все те значения параметра, при которых указанные уравнения, неравенства, их системы и совокупности имеют заданное число решений (в частности, не имеют или имеют бесконечное множество решений). Легко увидеть, что задачи типа 3 в каком-то смысле обратны задачам типа 2. Тип 4. Уравнения, неравенства, их системы и совокупности, для которых при искомых значениях параметра множество решений удовлетворяет заданным условиям в области определения. Например, найти значения параметра, при которых: 1) уравнение выполняется для любого значения переменной из заданного промежутка; 2) множество решений первого уравнения является подмножеством множества решений второго уравнения и т. д. Многообразие задач с параметром охватывает весь курс школьной математики (и алгебры, и геометрии), но подавляющая часть из них на выпускных и вступительных экзаменах относится к одному из четырех перечисленных типов, которые по этой причине названы основными. Наиболее массовый класс задач с параметром — задачи с одной неизвестной и одним параметром. Следующий пункт указывает основные способы решения задач именно этого класса. Основные способы (методы) решения задач с параметром Способ I (аналитический). Это способ так называемого прямого решения, повторяющего стандартные процедуры нахождения ответа в задачах без параметра. Иногда говорят, что это способ силового, в хорошем смысле «наглого» решения. Аналитический способ решения задач с параметром есть самый трудный способ, требующий высокой грамотности и наибольших усилий по овладению им. Способ II (графический). В зависимости от задачи (с переменной x и параметром a) рассматриваются графики или в координатной плоскости (x; y), или в координатной плоскости (x; a). В школьном математическом словаре дано общее определение понятия параметр: «Параметр – величина, характеризующая основные свойства системы или явления».
. В математике ярким и всем известным с 8 класса уравнением с параметром
является уравнение квадратного трехчлена: Определение : В уравнениях (неравенствах) коэффициенты при неизвестных или свободные члены заданные не конкретными числовыми значениями, а обозначенные буквами, называются параметрами .
Н аправление ветвей параболы: если а положительно, то ветви параболы направлены вверх, если а – отрицательно, то ветви параболы направлены вниз. Что зависит от дискриминанта? К
оличество решений квадратного уравнения. Если
1 Формула 2 Формула 3 Формула 4 Формула Формула Запишем схему решения уравнений 1. строим графики
3. выписываем ответ. Рассмотрим образец решения задачи с параметром. Задача.
Решите уравнение Решение.
Заметим, что левая часть уравнения неотрицательна при всех значениях неизвестной, следовательно, при отрицательном значении параметра решений нет. Если параметр Ответ: при при
2 –ой способ решения – графический. Построим в одной системе координат графики обеих частей уравнения: параболу Графическим способом задача решается быстрее. На рисунке все решение видно. Достаточно одного взгляда, чтобы определить количество корней уравнения в зависимости от параметра а . Можно было без объяснения сделать чертеж, и написать одно слово «Смотри!», именно так поступали древнегреческие учителя, обучая своих учеников доказательству теоремы Пифагора. Задача.
При каких значениях параметра а
уравнение Решение.
Записываем данное уравнение в виде Ответ:
Задача.
При каких значениях параметра а
уравнение
Решение.
Построим графический образ обеих частей уравнения. Левая часть представляет собой «прямой угол», ветви направлены вверх, вершина (1;-1). Правая часть представляет семейство прямых параллельных оси абсцисс. Из чертежа видно, что решений нет при Ответ:
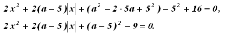
Вывод о решении задач с параметром графическим способом в общем виде. Задачу с параметром будем рассматривать как функцию 1. строим графический образ. 2. пересекаем полученное изображение прямыми, параллельными оси абсцисс. 3. Считываем нужную информацию. Примеры графической интерпретации решений заданий с параметром на основе исследования свойств графиков достаточно известных и простых уравнений таких геометрических фигур, как: прямая, окружность, парабола, синусоида, квадрат, ломаная линия, угол показывают, что решения становятся абсолютно наглядными, естественными и достаточно простыми. Если уравнение одной из фигур не зависит от изменяющегося параметра, то график этой фигуры неподвижен относительно системы координат. Если в уравнение другой фигуры входит параметр, то от его изменения зависит расположение и даже форма графика. Тогда суть решения уравнения состоит в определении числа точек пересечения графиков построенных уравнений, а значит в определении количества возможных решений в зависимости от конкретных числовых значений параметра. Для усложнения заданий эти уравнения искусственно преобразуют, «камуфлируют». Дополнительная сложность возникает при поиске чисто аналитического метода решения. При его геометрической интерпретации часто решения становятся абсолютно наглядными, естественными и достаточно простыми, таким образом, преимущество на экзамене получают те из школьников или абитуриентов, кто владеет незаурядным аналитическим и образно-геометрическим мышлением. Однако, далеко не все задания с параметром предполагают применение геометрической интерпретации, а только задания очень высокого учебно-методического и развивающего уровня. Поэтому следует научиться решать задачи и аналитическими способами, исследуя свойства функций, содержащихся в уравнении или неравенстве. Ниже приведены решения двух подобных заданий. Задание №1. Найдите все значения параметра а при которых уравнение:
Первая идея – выделить полный квадрат относительно параметра а :
Следующая идея не столь очевидная, но абсолютно естественная – выделить полный квадрат относительно модуля х . Тогда не будет необходимости в раскрытии модульных скобок.
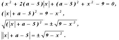
Первая часть решения завершена. Мы пришли к тому, что левая часть уравнения зависит от параметра, а правая не зависит. Далее предстоит исследование на число точек пересечения графиков уравнений:
Преобразуем второе уравнение:
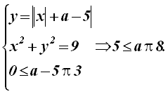
Второе уравнение описывает окружность с центром в начале координат и радиусом равным 3 . Эта окружность не зависит от параметра и не меняет своего положения в процессе исследования. Более интересным в этом отношении является график первого уравнения, вернее целое семейство графиков. Параметр а придаёт этому уравнению динамичность перемещения относительно координатных осей и изменчивость формы графика от прямого угла до ломаной линии с прямыми углами. А именно, при а – 5 ≥ 0 график первого уравнения имеет вид:
Рис. 1 При а – 5 < 0 график преобразуется в ломаную линию следующего вида:
Рис. 2 Исследуем графически решение системы:
Тогда система и исходное уравнение имеют два решения.
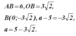
Рис. 3 Теперь исследуем эту же систему при a – 5 < 0 . В этом случае два решения возможны когда: -3 < a – 5 < 0 , то есть для значений параметра в пределах 2 < a < 5 . Графически эти решения получаются следующим образом:
Рис. 4 При a – 5 = -3 то есть при a = 2 уравнение имеет три корня. При a < 2 уравнение имеет четыре решения до тех пор, пока графики окружности и ломаной имеют четыре общие точки. Но наступит момент, когда соответствующие секущие станут касательными, и тогда уравнение снова будет иметь только два решения.
Рис. 5 В этом случае:
Объединяя все полученные решения, имеем:
Формулировка следующего задания очень похожа на только что решённое, но метод решения совершенно иной и аналогия здесь просто не работает. Задание №2. Найти все значения параметра а
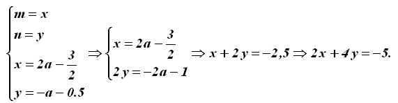
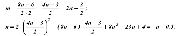
, при каждом из которых меньший корень уравнения Выразим координаты вершин M(m;n) парабол
(Каждому конкретному значению параметра а соответствует определённая парабола).
Как видно, обе координаты вершин парабол линейно зависят от параметра а . Это означает, что все возможные вершины рассматриваемых парабол принадлежат некоторой прямой. Фактически уже задано так называемое параметрическое уравнение этой прямой. Для получения уравнения в координатной плоскости xOy остаётся ввести новые переменные, и исключить из уравнений координат параметр а .
Получили уравнение прямой, на которой лежат вершины всех парабол, отвечающих уравнению:
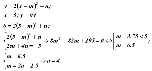
График любой из этих парабол можно получить параллельным переносом параболы
Рис. 6 При m = -2,5 , тогда:
Найдём значение параметра а , соответствующего параболе, левая ветвь которой проходит через точку (5;0) .
Таким образом, при -0,5 < a < 4 вершины парабол находятся ниже оси абсцисс и меньший корень исходного уравнения меньше 5 . Широкое распространение за последние годы в ходе государственной (итоговой) аттестации выпускников средней школы в формате ЕГЭ и на вступительных экзаменах в вузы, предъявляющие повышенные требования к математической подготовке абитуриентов, получили задачи на использование расположения корней квадратного трехчлена на оси. Выделим два наиболее распространенных типа задач, связанных с применением графика квадратичной функции. Первый тип - задачи, в которых изучается расположение корней квадратного трехчлена относительно точки с абсциссой, равной m. Второй тип - задачи, в которых выясняется, как расположены корни квадратного трехчлена относительно отрезка. Первый тип задач предусматривает три случая:
Для каждого из этих случаев выполним соответствующий рисунок и адекватно ему запишем систему неравенств при условии, что старший коэффициент квадратного трехчлена f (x) = ax2 + bx + c положительный. В таблице приведена полная система случаев расположения корней уравнения в зависимости от значений выражений, зависящих от коэффициентов уравнения. Таблица1. Расположение корней квадратного трехчлена
Рассмотрим расположение корней квадратного трёхчлена относительно отрезка. При этом возможны шесть случаев:
Изобразим геометрическую модель каждой из этих ситуаций и составим к каждой из них адекватную систему неравенств при условии, что старший коэффициент квадратичной функции y = ax2 + bx + c больше нуля.
Приведем примеры использования этих условий при решении нескольких задач этого типа. Задача №1При каких значениях параметра а корни уравнения ах2 + (2a - 1)x + a - 1 = 0 меньше 1? Для того чтобы быть уверенным в положительном коэффициенте перед х2 умножим всё уравнение на параметр. а2 х2 + (2a - 1)аx + a(a - 1) = 0 Должны выполняться следующие условия: Рассмотрим первое условие f (1) > 0: a 2 + (2a - 1)а + a(a - 1) > 0 4а2 - 2a > 0 2a(2a - 1)> 0 Решениями данного неравенства будут а
Абсцисса вершины должна быть меньше 1:
Получаем, что а
Найдём дискриминант данного уравнения: D = (2a - 1)2 а 2 - 4(a - 1)a3 D 4a4
- 4a3
+ a2
- 4a4
+ 4a3
a2
Из трех полученных промежутков формируем общее решение. ОТВЕТ: при а1. При каких значениях параметра а корни уравнения х2 + ах + 1 - а2 = 0 принадлежат промежутку (-1; 1)? Для решения составим систему: Если f (-1) > 0, то 1 - a + 1 - a 2 > 0 a2 + a - 2 < 0 a
Если f (1) < 0, то 1 + a + 1 - a2 < 0 a2 - a - 2 < 0 a
Дискриминант неотрицателен при условии, что 5a
2
a2
a
Последнее условие: вершина по модулю меньше 1
a
Получаем систему: При каких значениях параметра а корни уравнения ах2 + (2a - 1)x + a - 1 = 0 меньше 1? Для того чтобы быть уверенным в положительном коэффициенте перед х2 умножим всё уравнение на параметр. а 2 х2 + (2a - 1)а x + a(a - 1) = 0 Должны выполняться следующие условия
Рассмотрим первое условие f(1)>0: а 2 +(2a- 1)а+ a(a - 1) > 0 4а2 - 2a > 0 2a(2a - 1)> 0 Решениями данного неравенства будут а
Абсцисса вершины параболы должна быть меньше 1:
Получаем, что а
Найдём дискриминант данного уравнения: D = (2a - 1)2 а 2 - 4(a - 1)a3 D 4a4
- 4a3
+ a2
- 4a4
+ 4a3
a2
Из трех полученных промежутков формируем общее решение. ОТВЕТ: при a2. При каких значениях параметра а, все решения уравнения (a - 1)х2 - (a + 1)x + a = 0 удовлетворяют условию 0 < x < 3. a = 1 - контрольное значение параметра а · если а = 1, то -2x + 1 = 0; x = 0,5. · Этот корень удовлетворяет условию 0 < x < 3, а значит является подходящим решением. · если а · Уравнение принимает вид (a - 1)2 х2 - (a - 1)2 х + а(a - 1 ) = 0 Введём функцию f (x) = (a - 1)2 х2 - (a - 1)2 х + а(a - 1) и задание можно перефразировать так: при каких значениях параметра а нули функции принадлежат промежутку (0;3)? Для данного условия составим систему и схематичный вид параболы:
Получается, что a
Объединив полученные решения составим систему:
В ответе записывается решение системы. ОТВЕТ: при a3. При каких значениях параметра p оба корня квадратного трехчлена x2 + 2(p + 1) + 9p - 5 отрицательны? I. способ: II. Пусть x1 и x2 - корни данного квадратного трехчлена. Тогда по теореме Виета: III. x1 . x2 = 9p - 5 IV. x1 + x2 = -2(p + 1) V. Найдем дискриминант: VI. в = 4(p2 - 7p + 6) VII. Так как по условию задания корни существуют и различны, то в > 0. Так как оба корня отрицательны, то составим систему: VIII. IX. способ: X. Рассмотрим функцию f(x) = x2 + 2(p + 1)x + 9p - 5. Графиком функции является парабола с ветвями, направленными вверх и отрицательными нулями функции. Составим систему:
4. При каком значении параметра а один корень уравнения 2ax2 -2x -3a - 2 = 0 больше 1, а другой - меньше 1? Так как по условию уравнение должно иметь два различных корня, то уравнение должно быть квадратным, то есть a = 0 - контрольное значение · если a = 0, то x = -1 не удовлетворяет заданию · если a
· · · в > 0 · 6a2 + 4a +1 > 0 · Решив это неравенство, получаем, что а - любое, кроме нуля.
5. Найдите все значения параметра а, при которых оба корня уравнения ax2 -2(a - 1)x + 2 - 3a = 0 больше 1? a = 0 - контрольное значение · если а = 0, то уравнение имеет один корень, · если а · · · · · · · · 6. При каких значениях параметра а уравнение (a -1)x2 -2ax + 2 - 3a = 0 имеет единственное решение, удовлетворяющее неравенству x > 1? Старший коэффициент обращается в ноль при а = 1 а = 1 - контрольное значение параметра · если a = 1, то -2x + 2 - 3 = 0 x = -0.5 · Уравнение имеет единственное решение, но оно не удовлетворяет условию задания. · если a · · · Рассмотрим функцию: · · Должны выполняться условия: · ·
Должна выполняться система: a Найти все целые значения параметра а, при которых функция Неравенство принимает вид
f(x) = х2 + 2x + 2a2 - 3a + 1(функция имеет вид квадратичной, и её графиком является парабола, ветви вверх). Рассмотрим эту параболу:
Так как
-a2 + 3a < 0 a (3 - a) < 0
При a
B данном примере нам не пришлось рассматривать возможные значения параметра, и решение свелось к решению квадратного уравнения, но это не всегда так. Преобразовав данное уравнение, получаем: 9x (a + 1) + 4y + a - 2 = 0 Обозначим 3x за y, причём он должен быть положительным, так как основание степени положительно. (a + 1)y2 + 4y + a - 2 = 0 Так как уравнение становится линейным, то a = -1 - контрольное значение параметра · если a = -1, то 4y-3=0 · если а
· · -a2
+ a
+ 6 · a2
- a
- 6 · в 2 = 25 · a1 = 3 a2 = -2 · Достаточно ли промежутка а
На самом деле, достаточным условием существования корней исходного уравнения будет следующее: нужно потребовать, чтобы корень квадратного уравнения был числом положительным. Найдём корни квадратного уравнения, помня, что они должны быть положительны.
Сначала рассмотрим Приравняем выражение к 0, и решим методом интервалов:
Получаем, что a
Теперь рассмотрим
Из системы следует, что х Объединим все условия параметра для существования уравнения:
Для решения этого уравнения воспользуемся методом замены, обозначив 3x за y, помня, что оно обязательно должно быть положительным, так как основание степени, то есть 3, положительно. y2 - a y + (3 - a) = 0 Чтобы данное уравнение имело корни, дискриминант должен быть неотрицательным. D = a2 - 4 (3 - a) = a2 + 4a - 12 a2
+ 4a
-12 a1 = -6 a2 = 2
a Теперь посмотрим, когда корни не будут отрицательными:
ОДЗ переменной: x > 0, x Преобразуем выражение, стоящее в скобке:
Рассмотрим случаи:
Объединим полученные промежутки для а
в первом и во втором случаях: а
Для каждого значения параметра а
найти количество решений уравнения Решение.
Построим графики функций Из рисунка 1.1.1 видно, что при
Рис. 7 Ответ:
при 2.
Для каждого значения параметра Решение.
Построим график функції Из рисунка 1.1.2 видим, что при
Рис.8 Ответ:
при 3. Найти число корней уравнения Решение.
Построим график функции
Рис. 9 Из рисунка 1.1.3 видно, що при Ответь:
при 4.
Решить уравнение Решение: Построим схему графика функции
Рис. 10 Решая уравнение Если Если 2.
При каких значениях параметра Решение.
Графиком функции Рис. 11 Нам необходимо определить те значения параметра, при которых найдутся точки полуокружности, расположенные више соответствующих точек прямой. Такие точки обнаруживаются после того, как прямая Ответ:
1.
При каких Решение
Построим графики функций
Рис. 12 Уравнение будет иметь три решения, когда прямая
Выбираем Ответ:
2.
Решить уравнение Решение.
Построим графики функций
Рис. 13 Если Если Найдем параметр
Ответ:
при 3.
При каких значеннях Решение. Построим графики функций Рис.1.2.3
Рис.14 По рисунку видно, что при Ответ: П
ри 4.
При каких значениях параметра а
уравнение Решение.
Рассмотрим функции у = ах
и На рис.1.2.12 это дуга АВ. Все прямые у = ах, которые проходят между лучами ОА и 0В пересекают дугу в одной точке. Также одну точку с дугой имеют прямая ОВ и касательная ОМ.
Рис. 15 Угловые коэффициенты прямих 0В
та ОА
соответственно равны
иметь единственное решение, находим Таким образом, прямые семейства у = ах
имеют с дугой АВ
только одну общую точку при 5.
Вияснить, при каких
Решение: Перепишем систему уравнений в виде:
Первое уравнение задает гомотетичные окружности (с центром гомотетии (0,0) и радиусом
Рис. 16 Система будет иметь точно 2 решения, если окружность касается двух прямых. Найдем параметр 6. Найти все значения параметра а, при кождом из которых уравнение Решение.
Имеем: По рис.1.3.11 видно, что с увеличением радиуса
Рис. 17 Заметим, что а
не является радиусом полуокружности, т. к. Ответ:
Литература1. Далингер В. А. “Геометрия помогает алгебре”. Издательство “Школа - Пресс”. Москва 1996 г. 2. Далингер В. А. “Все для обеспечения успеха на выпускных и вступительных экзаменах по математике”. Издательство Омского педуниверситета. Омск 1995 г. 3. Окунев А. А. “Графическое решение уравнений с параметрами”. Издательство “Школа - Пресс”. Москва 1986 г. 4. Письменский Д. Т. “Математика для старшеклассников”. Издательство “Айрис”. Москва 1996 г. 5. Ястрибинецкий Г. А. “Уравнений и неравенства, содержащие параметры”. Издательство “Просвещение”. Москва 1972 г. 6. Г. Корн и Т.Корн “Справочник по математике”. Издательство “Наука” физико–математическая литература. Москва 1977 г. 7. Амелькин В. В. и Рабцевич В. Л. “Задачи с параметрами” . Изд. “Асар”. Москва 1996 г. 8. Вишенський В.О., Перестюк М.О., Самойленко А.М. Задачі з математики. - К.: Вища школа, 1985. - 264 с. 9. Горнштейн П.И., Полонский В.Б., Якир М.С. Задачи с параметрами. - К.: Євро індекс Лтд, 1995. - 336 с. 10. Горделадзе Ш.Х., Кухарчук М.М., Яремчук Ф.П. Збірник конкурсних задач з математики: Навч. Посібник. - 3-є вид., - К.: Вища школа, 1988. - 328 с. 11. Дорофеев Г.В., Потапов М.К., Розов Н.Х. Пособие по математике для поступающих в вузы. - М.: Наука, 1976. - 638 с. 12. Дорофеев Г.В., Затакавай В.В. Решение задач, содержащих параметры. - М.: Перспектива, 1990. - Ч.2. - 38 с. 13. Цыпкин А.Г., Пинский А.И. Справочник по методам решения задач по математике для средней школы. - 2-е изд. перераб. и доп. - М.: Наука, 1989. - 576 с. 14. Ястребинецкий Г.А. Задачи с параметрами. - М.: Просвещение, 1986. – 128 15. Райхмист Р. Б. Графики функций: задачи и упражнения. –М: Школа-Пресс, 1997 16. Важенин Ю. М. Самоучитель решения задач с параметрами. – Екатеринбург УрГУ,1996Список дополнительной литературы Дорофеев, Г.В. Квадратный трехчлен в задачах. [Текст] – Львов: Квантор, 1991. Кочерова, К.С. Об уравнениях с параметром и модулем (графический способ решения) [Текст]/ К.С. Кочерова// Математика в школе – 1995. - №2. – С. 2-4. Мещерякова, Г.П. Уравнения и неравенства с параметром и задачи на экстремум [Текст]/ Г.П. Мещерякова, И.И. Чучаев // Математика в школе – 1999. - №6. – С. 72-74. Неискашова, Е.В. Квадратный трехчлен в задачах вступительных экзаменов [Текст]/ Е.В. Неискашова// Математика в школе – 2001. - №8. – С. 24-26. Потапов, М.К., Шевкин А.В. О решении уравнений вида |
Решить уравнение
с параметром -это значит, для каждого значения параметра
найти значения x
, удовлетворяющие условию этой задачи.
Как зависит от коэффициента а
график квадратичной функции?
Рассмотрим преобразование построение графика функций в зависимости от параметра на примере функции абсолютной величины числа. Простейшая функция задается уравнением y=IxI .Графиком этой функции является «прямой угол», с вершиной в начале координат, образованный биссектрисами первого и второго квадранта (четверти) на координатной плоскости. На чертежах показаны примеры преобразований (параллельных переносов) этого графика в зависимости от значений параметров a и b.
На чертеже предложены изображения пяти графиков функций, и даны пять формул. Можно сопоставить формулу и её графический образ.
2. находим точки пересечения графиков.
при 

























Получается, что a




Решением этой системы будет a



выражение больше 0, следовательно, парабола не имеет пересечений с осью ОХ. 








Это множество значений х не будет содержать двузначных натуральных чисел, если а
Это множество значений х не содержит двузначных натуральных чисел при a











имеет точно два решения

. В
, тогда
, 