Учебное пособие: Методические указания к выполнению курсового проекта по дисциплине Вяжущие вещества для студентов 3 курса специальности 270106
|
Название: Методические указания к выполнению курсового проекта по дисциплине Вяжущие вещества для студентов 3 курса специальности 270106 Раздел: Остальные рефераты Тип: учебное пособие | ||||||||||||||||||||||||||||||||||||||||||||||||||||||||||||||||||||||||||||||||||||||||||||||||||||||||||||||||||||||||||||||||||||||||||||||||||||||||||||||||||||||||||||||||||||||||||||||||||||||||||||||||||||||||||||||||||||||||||||||||||||||||||||||||||||||||||||||||||||||||||||||||||||||||||||||||||||||||||||||||||||||||||||||||||||||||||||||||||||||||||||||||||||||||||||||||||||||||||||||||||||||||||||||||||||||||||||||||||||||||||||||||||||||||||||||||||||||||||||||||||||||||||||||||||||||||||||||||||||||||||||||||||||||||||||||||||||||||||||||||||||||||||||||||||||
| КАЗАНСКИЙ ГОСУДАРСТВЕННЫЙ АРХИТЕКТУРНО-СТРОИТЕЛЬНЫЙ УНИВЕРСИТЕТ Кафедра строительных материалов
МЕТОДИЧЕСКИЕ УКАЗАНИЯ к выполнению курсового проекта по дисциплине Вяжущие вещества для студентов 3 курса специальности 270106 Казань 2010 Составители: Н.В.Секерина, З.А.Камалова, М.И.Халиуллин УДК 666.913+666.972 Методические указания к выполнению курсового проекта по дисциплине Вяжущие вещества для студентов 3 курса специальности 270106/ Каз.арх.-стр. университет: Сост.: Н.В.Секерина, З.А.Камалова, М.И.Халиуллин. Казань, 2010, 45 с. Настоящие методические указания переработаны в соответствии рабочей программой курса Вяжущие вещества для высших учебных заведений по специальности 270106 и учебным планом, утвержденным ученым советом университета 26.06.2000 г. Табл. 16, библиогр. 51 наим. Рецензент доцент кафедры ТСМИиК КазГАСУ, канд. техн. наук В.И.Санникова © Казанский государственный архитектурно-строительный университет, 2010 г. 1. ВВЕДЕНИЕ Содержанием курсового проекта является разработка технологии производства вяжущего или изделия на его основе с подбором и компоновкой оборудования. Цель курсового проектирования по дисциплине Вяжущие вещества – закрепление студентами теоретических разделов курса, углубление знаний по производству одного из видов вяжущих веществ, развитие навыков проектной работы. При разработке курсового проекта студент должен широко использовать специальную техническую литературу, проектные материалы и данные о производственном опыте передовых предприятий, а также новейшие достижения науки и техники, обеспечивающие высокие технико-экономические показатели проектируемого производства в объеме цеха, отделения или технологической линии. Результатами курсового проекта, представляемого к защите, являются пояснительная записка с писанием и обоснованием принятых проектных решений и необходимыми технологическими расчетами, а также графическая часть, содержание и требования к которой излагаются далее. 2. ТЕМАТИКА КУРСОВЫХ ПРОЕКТОВ Курсовой проект выполняется по одной из следующих тем: · Цех подготовки сырья завода по производству портландцемента; · Цех обжига портландцементного клинкера; · Цех по производству негашеной (гашеной) извести; · Цех по производству силикатного кирпича или других силикатных изделий; · Цех по производству строительного или высокопрочного гипса; · Цех по производству гипсовых перегородочных панелей, панелей оснований пола или сухой штукатурки; · Цех помола смешанных вяжущих веществ. 3. СОСТАВ И ОФОРМЛЕНИЕ ПРОЕКТА Курсовой проект состоит из графической части и расчетно-пояснительной записки и должен соответствовать «Стандарту предприятий» [1]. Графическая часть проекта выполняется на 1 листе формата АI (841х594 мм) в карандаше в соответствии с требованиями единой системы конструкторской документации (ЕСКД) [2] и технологической схемы производства на миллиметровой бумаге, включаемой в расчетно-пояснительную записку. На листе формата АI вычерчивается план и разрезы цеха с компоновкой и привязкой технологического оборудования. При выполнении курсового проекта рекомендуется применение типовых проектных решений с элементами их модернизации, нумерация оборудования наносится на этом чертеже в соответствии с экспликацией, приведенной на технологической схеме. Технологическая схема производства выполняется с указанием всей цепи машин и аппаратов в технологической линии с экспликацией принятого оборудования. Расчетно-пояснительная записка выполняется на бумаге формата А4 (297х210) мм чернилами, четко и разборчиво от руки и должна соответствовать требованиям ЕСКД к текстовым документам. Объем расчетно-пояснительной записки должен составлять 20-30 с. 4. СОДЕРЖАНИЕ РАСЧЕТНО-ПОЯСНИТЕЛЬНОЙ ЗАПИСКИ Расчетно-пояснительная записка к курсовому проекту должна содержать следующие разделы: 4.1. Введение Во введении дается краткий обзор состояния и перспективы развития производства данного вяжущего, изделия и применения его в строительстве с учетом последних научных данных и передового производственного опыта (отечественного и зарубежного). 4.2. Характеристика выпускаемой продукции В этом разделе должны быть охарактеризованы требования к составу и свойствам предусмотренной к выпуску продукции (вяжущие, изделия из него или полуфабрикаты) и область их практического применения со ссылкой на действующие ГОСТы или технические условия. 4.3. Выбор сырьевых (исходных) материалов и их характеристика В этом разделе должны быть охарактеризованы требования, предъявляемые к составу и свойствам сырьевых материалов, предназначенных для изготовления вяжущего или изделия на его основе и конкретные данные о выбранных или назначенных к использованию сырьевых материалах. При этом должны быть приведены ссылки на соответствующие ГОСТы. 4.4. Выбор способа и описание технологического процесса Выбор способа производства осуществляют путем сравнения между собой нескольких возможных способов получения данного вяжущего, их достоинств и недостатков. Для этого необходимо по литературным данным и сведениям, полученным в проектных организациях и на заводах, провести технико-экономический анализ показателей действующих предприятий, работающих по разным технологиям, и принять тот способ, который имеет преимущества перед другими. Описание технологического проекта должно быть четким, исчерпывающим и кратким. Главное внимание должно быть уделено обоснованию принятых технологических решений, назначению технологических операций, выбору оборудования и режимов его работы. При описании технологии необходимо делать ссылки на графические материалы (технологическую схему, чертежи цеха), использованные литературные источники и другие информационные материалы. В этом же разделе должны быть освещены вопросы, связанные с контролем производства, а также охраной труда и окружающей среды, т.е. выделены следующие подразделы: «Контроль производства», «охрана труда и техника безопасности», «Охрана окружающей среды». 4.5. Технологические расчеты Этот раздел должен включать в себя: выбор режима работы цеха (или отделения); составление материального баланса производства 1 тонны вяжущего; определение потребности цеха в сырье; расчет и подбор основного технологического оборудования с заполнением ведомости оборудования; расчет потребности цеха в электроэнергии. 4.6. Основные технико-экономические показатели В конце записки нужно дать краткое заключение о принятых технологических решениях и привести следующие показатели: · Номенклатура продукции; · Производительность цеха в натуральных единицах; · Режим работы: рабочих дней в году_________________________ рабочих смен в году__________________________ · Расход сырья: общий______________________________________ на 1 т продукции_____________________________ · Удельный расход электроэнергии. кВт; · Удельный расход условного топлива; · Съем продукции с 1 м2 производственной площади. 4.7. Перечень использованной литературы В конце расчетно-пояснительной записки необходимо привести список использованной литературы с указанием фамилии и инициалов авторов, полного названия книги, места издания, издательства, года издания, страницы. 5. ТЕХНОЛОГИЧЕСКИЕ РАСЧЕТЫ 5.1. Режим работы цеха Режим работы цеха определяется в зависимости от характера производства и в соответствии с нормами технологического проектирования. Цех обжига, как правило, работает в три смены по непрерывной неделе. Цех подготовки сырья (дробления или помола) чаще всего работает в 2 смены по режиму прерывной недели. В этом случае необходимо предусмотреть дополнительные складские помещения и бункеры для создания запаса подготовленных материалов и полуфабрикатов. При расчете годового фонда времени работы технологического оборудования необходимо учитывать коэффициент его использования (Ки ) в зависимости от остановки на капитальный и текущий ремонт. Ки принимается равным 0,80-0,95 [7,8]. В дальнейшем эти коэффициенты уточняются по отдельным видам оборудования. Производительность цеха по готовой продукции определяется по формулам:
где
где п – число смен;
где
5.2. Составление материального баланса Предварительно производится расчет теоретического удельного (на 1 тонну готовой продукции) расхода сырья. Если в процессе получения заданного вида вяжущего лежит химическое превращение (дегидратация двуводного гипса, разложение известняка); то расчет ведется по уравнению химической реакции. Если происходит получение смешанного вяжущего (т.е. химическая реакция не имеет места), то подсчитывают расход материалов с учетом влажности и производственных потерь, которые принимаются от 1 до 3%. Затем составляется материальный баланс производства единицы готовой продукции, в приходной части которого рассчитывается масса сырья, поступающего в производство, а в расходной части – масса получаемого продукта и потерь, имеющих место при переработке данного вида сырья. Таблица 1 Материальный баланс производства 1 тонны вяжущего
5.3. Определение потребности цеха в сырье Расчет производится на год, сутки, смену, час на основании удельного расхода сырья по формуле :
Результаты этих расчетов записываются в табл. 2. Таблица 2 Потребность цеха в сырье
5.4. Расчет и выбор основного технологического оборудования В данном разделе приводится подбор основного типового оборудования по заданной производительности проектируемого цеха и расчет количества машин, необходимых для выполнения заданной программы. Расчет производится, начиная с основного оборудования, а затем рассчитывается вспомогательное и транспортное оборудование. Определив потребную производительность для каждой операции, производят подбор соответствующего оборудования по каталогам и справочникам. Количество каждого вида оборудования определяется по формуле
где Техническая характеристика выбранного оборудования приводится в ведомости в виде таблицы. Таблица 3 Ведомость оборудования цеха
5.5. Расчет потребности цеха в электроэнергии
Расход электроэнергии устанавливается расчетным путем, исходя из технических характеристик основного и транспортного оборудования (табл.3). Расчет рекомендуется вести по форме, прилагаемой в виде табл. 4. Таблица 4
Коэффициент использования по времени следует принимать в следующих пределах: · для непрерывно действующего оборудования (шаровые мельницы, вращающиеся печи и др.) – 0,8-0,95; · для аппаратов периодического действия (варочные котлы, запарочные аппараты) – 0,5-0,6; · транспортное оборудование непрерывного действия (элеваторы, конвейеры, шнеки) – 0,8-0,9; · транспортное и грузоподъемное оборудование повторно-кратковременного режима (скиповые подъемники, краны и др.) – 0,3-0,4. Коэффициент загрузки по мощности условно можно определить по формуле:
где Значения коэффициента
Часовой расход электроэнергии в кВч получают умножением установленной мощности каждой машины (колонки 3 или 4, табл. 4) на коэффициенты использования по времени и загруженности по мощности (кол. 5 и 6, табл.4). Расход электроэнергии в смену, сутки, год устанавливают умножением часового расхода на соответствующее количество часов в смену, сутки, год. Удельный расход электроэнергии подсчитывается по формуле:
где 6. ОСОБЕННОСТИ ПРОЕКТИРОВАНИЯ ЦЕХА ПОДГОТОВКИ СЫРЬЯ И ЦЕХА ОБЖИГА ЦЕМЕНТНОГО ЗАВОДА Выполнение курсового проекта по названным выше темам рекомендуется вести в следующей последовательности. 6.1. Расчет состава сырьевой смеси Для определения норм расхода сырья производства 1 т клинкера и минералогического состава получаемого продукта необходимо рассчитать состав сырьевой смеси (шихты), т.е. определить процентное содержание в смеси каждого из сырьевых компонентов (известняка, глины). Данный расчет выполняется на основании заданного химического состава сырья, приведенного к 100% и числового значения коэффициента насыщения (КН). Расчет двухкомпонентной сырьевой смеси ведется в следующем порядке. 6.1.1. Принимаем следующие сокращенные обозначения главных окислов в клинкере, сырьевой смеси и ее компонентах (табл. 5). 6.1.2. Принимаем меньший по массе компонент (глинистый) за единицу, а больший компонент (карбонатный) выражаем через “X” частей этого компонента на 1 мас. часть. При этом состав смеси может быть выражен как Х+1 мас. частей. Таблица 5 Сокращенные обозначения главных окислов
6.1.3. Исходя из принятого в п.6.1.2. соотношения карбонатного и глинистого компонентов, можно написать следующие равенства
6.1.4. Указанные в п.6.1.3. значения
и, решая полученное отношение относительно Х, получаем расчетную формулу для определения соотношения между карбонатным (первым) и глинистым (вторым) компонентами:
6.1.5. Содержание 1-го и 2-го компонентов сырьевой шихты в процентах определяем по формулам:
где Х, 1 – количество частей 1-го и 2-го компонентов, найденные в п.6.1.4. 6.1.6. Определяем химический состав сырьевой смеси и клинкера. Для этого надо все численные значения химического состава каждого компонента умножить на коэффициент пересчета:
где а – процентное содержание каждого из компонентов сырьевой смеси, найденное в п. 6.1.5. Результаты подсчетов сводятся в табл. 6, где все цифровые данные суммируются по вертикали (это дает химический состав смеси) и горизонтали, что позволяет проверить правильность расчетов. Таблица 6 Химический состав сырьевой смеси и клинкера
Расчет предполагаемого химического состава портландцементного клинкера производится пересчетом химического состава сырьевой смеси по формуле:
где М – ичсленное содержание окисла в клинкере; Ппп – потери при прокаливании сырьевой шихты в процентах. Результаты расчетов приводятся в табл. 6.
6.2. Расчет нормативного расхода сырья (для производства 1 т клинкера) 6.2.1. Теоретический удельный расход сухого сырья на 1 т клинкера определяется по формуле:
где Ас – удельный расход сырьевой смеси (сухого сырья) на 1 т клинкера, кг; ппп – потери при прокаливании сырьевой смеси сухой, % (из табл. 6, п.6.1.6.). Удельный расход каждого из компонентов сырьевой смеси по сухому веществу определяется по формулам:
где а/ , a// - процентное содержание 1-го, 2-го компонента в сухой сырьевой смеси; А/ c , A// c – удельный расход на 1 т клинкера 1-го и 2-го компонентов, кг. 6.2.2. Теоретический удельный расход компонентов сырьевой смеси в состоянии естественной влажности по формулам:
где В/ в , В// в – удельный расход 1-го и 2-го компонентов сырьевой смеси в состоянии естественной влажности на 1 т клинкера, кг; А/ c , A// c – удельный расход 1-го и 2-го компонентов сырьевой смеси по сухому веществу на 1 т клинкера, найденное по формулам 16, 17 ( п.6.2.1.). W/ , W// - содержание естественной влаги в 1-ом и 2-ом компонентах сырьевой смеси, % (задается при расчете). Общий удельный расход сырья в состоянии естественной влажности определяется по формуле: Вв = В/ в + В// в , (20) 6.2.3. Расход каждого из компонентов сырьевой смеси в состоянии естественной влажности с учетом производственных потерь на 1 т клинкера устанавливают, пользуясь формулами:
где В/ н , В// н – производственные нормы расхода 1-го и 2-го компонентов сырьевой смеси на 1 т клинкера, кг; В/ в , В// в – удельный расход 1-го и 2-го компонентов сырьевой смеси в состоянии естественной влажности на 1 т клинкера, кг; p/ , p// - производственные потери 1-го и 2-го компонентов сырьевой смеси, %. Общий удельный расход сырья (Вн ) определяется по формуле:
6.2.4. На основании проведенных расчетов составляется материальный баланс производства 1 т клинкера, в приходной части которого указывают производственные нормы расхода каждого из компонентов сырьевой смеси, а в расходной части – масса получаемого клинкера и потерь, имеющих место при переработке сырья (табл. 1, п. 5.2.). 6.3. Расчет минералогического состава портландцементного клинкера Расчет минералогического состава портландцементного клинкера по его химическому составу производится по следующим формулам: % С3 S (трехкальциевый силикат) = 3,8 SiO2 (3КН-2) (24), % С2 S (двухкальциевый силикат) = 8,6SiO2 (1-КН) (25), % С3 А(трехкальциевый алюминат) = 2,65(Al2 O3 – 0,64Fe2 O3 ) (26), % C4 AF (четырехкальциевый алюмоферрит) = 3,04Fe2 O3 (27), % СаО4 = 1,7SO3 (28), где СаSO4 , Al2 O3 , Fe2 O3 , SO3 – содержание соответствующих окислов в клинкере, % (данный табл. 6, п. 6.1.6.). 6.4. Режим работы цеха Режим работы цеха выбирается в соответствии с п. 5.1.. Производительность по готовой продукции цехов подготовки сырья и обжига определяются по формулам 1, 2, 3 (п. 5.1.). При этом сырьевой цех должен быть спроектирован так, чтобы вырабатывал сырьевую смесь в количестве, необходимом для бесперебойной работы цеха обжига. Рассчитав производительность цеха в час, необходимо выбрать по каталогам [5-9] вращающиеся печи для обжига сырьевой шихты, часовая производительность которых равна или несколько превышает расчетную. Пример: Дано: Пгод = 1250000 т/год Определить производительность Ки = 0,95 цеха обжига в сутки, смену, час. Решение:
По каталогу выбираем вращающиеся печи размером 5х185 м с проектной производительностью 75 т/ч каждая. При мокром способе производства чаще всего используются вращающиеся печи размером 4х150 м; 4,5х170 м; 5х185 м; 7х230 м; при сухом способе – печи с циклонными теплообменниками размерами 4х60 м; 5х75 м; 7х95 м. Расчет проектной часовой производительности цеха обжига для случая, когда задано количество и тип печей, ведется по формулам:
где Пчас – часовая производительность цеха обжига, т/ч; п – количество однотипных печей (известно из задания); П – проектная часовая производительность одной печи, т/ч (эта величина берется по справочникам [5-9]. Годовая производительность цеха обжига в этом случае рассчитывается по формуле: где Пгод – годовая производительность цеха обжига в тоннах клинкера. Рассчитав производительность печей в час, смену, сутки, год и потребность в сырье для производства 1 т клинкера, необходимо определить расход сырья в час, смену, сутки, год. Результаты расчетов оформить в виде табл. 2 (п. 5.3.). 6.5. Расчет и выбор оборудования цеха подготовки сырья Шламбассейны – при мокром способе производства для обеспечения непрерывной работы обжигательных печей в отделении шламбассейнов устанавливают непрерывный режим работы в три смены независимо от режима работы других отделений сырьевого цеха. Для определения необходимого количества шламбассейнов требуется рассчитать расход шлама по формуле:
где Аш – расход шлама на 1 т клинкера, м3 ; Ас – удельный расход сухой сырьевой шихты на 1 т клинкера (см. п. 6.2.1.); W – влажность шлама, % (известно из задания или принимается по таблице-приложению); γо – средняя плотность шлама, кг/м3 (см. приложение). Емкость горизонтальных шламбассейнов должна обеспечить запас откорректированного шлама в количестве, необходимом для непрерывной работы обжигательных печей в течение 2,5 суток. Потребная емкость горизонтальных шламбассейнов определяется по формуле:
где Vпотр – потребная емкость горизонтальных шламбассейнов, м3 ; Пгод – годовая производительность цеха обжига, т/год; Аш – расход шлама для получения 1 т клинкера, м3 ; Ки – коэффициент использования печей (0,9-0,95). Пример: Дано:
Пгод – 114800 тонн в год; Аш – 1,58 м3 /т клинкера; Ки – 0,90; Решение:
По каталогу [5-9] выбираем к установке 2 горизонтальных шламбассейна емкостью 8000 м3 каждый. Смесительные силосы - при сухом способе производства необходимо рассчитать количество смесительных силосов, которые служат для корректирования и хранения сырьевой муки. Они должны обеспечить запас сырьевой муки в количестве, необходимом для бесперебойной работы печей с циклонными теплообменниками в течение 4-х суток. Полезная емкость смесительных силосов рассчитывается по формуле:
где Vпол – полезная емкость силосов, м3 ; Пгод – годовая производительность цеха обжига, т/год; Вс – расход сырьевой смеси для получения 1 т клинкера с учетом естественной влажности и производственных потерь, т (табл. 2). Зная полезную емкость смесительных силосов сырьевой муки, выбираем по каталогам [5, 7] к установке несколько силосов, суммарная полезная емкость которых равна или несколько больше рассчитанной. Количество запасных силосов рекомендуется принимать от 4 до 6 шт. Оборудование для помола и дробления сырья – расчет потребной часовой производительности дробильного отделения осуществляется, исходя из проектной часовой производительности цеха обжига с учетом числа смен работы дробилок в сутки по формуле:
где Ппотр – потребная часовая производительность дробильного отделения, т/ч; П – проектная часовая производительность цеха обжига, т/ч; Вс – расход сырья с учетом естественной влажности и производственных потреь, в тоннах на 1 т клинкера; Ксм – коэффициент сменности, выражаемый дробью, числитель которой равен числу смен работы обжигательных печей, т.е. трем, в знаменатель – числу смен работы дробильного отделения. Примеры. 1. Рассчитать потребную производительность дробильного отделения по дроблению известкового и глинистого компонентов.
Дано: Проектная часовая производительность цеха обжига П = 150 т/ч. На получение одной тонны клинкера потребуется 1,54 т известняка (в состоянии естественной влажности и с учетом производственных потерь) и 0,36 т глины. Дробильное отделение работает в две смены, а цех обжига – в три смены. Решение:
2. Рассчитать потребную часовую производительность отделения сырьевых мельниц для помола сырьевой смеси, если часовая производительность цеха обжига составляет 150 т/ч. На изготовление 1 т клинкера требуется 1650 т сухой сырьевой смеси (Ас ). Отделение сырьевых мельниц работает по непрерывному режиму в 3 смены. Решение:
3. Рассчитать потребную часовую производительность отделения болтушек для переработки глины, если часовая производительность цеха обжига составляет 150 т/ч клинкера. На получение 1 т клинкера требуется 0,28 т глины в состоянии естественной влажности. Режим работы отделения глиноболтушек – непрерывный.
Решение:
Потребная производительность отделения болтушек, выраженная в м3
глины, составит Определив потребную часовую производительность дробилок, сырьевых мельниц и болтушек, нужно по каталогам [5-12] выбрать необходимое число единиц оборудования. Для первичного дробления сырья при производстве портландцемента обычно применяют следующие типы дробилок: щековые, конусные; для мягких пород – валковые или самоочищающиеся молотковые. Для вторичного дробления сырья рекомендуется применять молотковые или конусные дробилки. Для помола сырья применяют, как правило, трубные многокамерные мельницы, при сухом способе производства – мельницы сепараторные; каскадные самоизмельчения «Аэрофол», при мокром способе производства для размучивания мягких пород сырья – глиноболтушки, мельницы роторные, каскадные, «Гидрофол». 6.6. Подбор оборудования цеха обжига При проектировании цеха обжига необходимо подобрать следующее оборудование, обслуживающее вращающуюся обжигательную печь: · Питатель печи сырьевой мукой или шламом; · Дымосос для удаления печных газов; · Электрофильтр для очистки отходящих газов; · Вентилятор подачи первичного воздуха в печи; · Холодильник; · Дробилка клинкера; · Вентиляторы общего и острого дутья (при использовании колосниковых переталкивающих холодильников); · Система обеспыливания холодильника (электрофильтр, дымосос); · Транспортные средства для доставки клинкера на склад. Питатель – при сухом способе производства производительность питателя должна быть равна проектной часовой производительности вращающейся печи. Питатель выбирается по таблицам [5-7, 9]. Для подачи в печь сырьевой муки рекомендуется применять шнековые, тарельчатые, скребковые, ячейковые питатели. При мокром способе производства производительность питателя
где П – проектная часовая производительность вращающейся печи, т/ч; Аш – расход шлама на производство 1 т клинкера, м3 . По рассчитанной производительности необходимо подобрать питатель [5-7, 9, 13]. Для подачи в печь шлама рекомендуется применять ковшовые, шламовые питатели. Дымосос – для удаления печных газов, он выбирается по таблицам [5, 7, 9] в зависимости от типаразмера вращающейся печи. Вентилятор – для подачи первичного воздуха в печь, выбирается по таблицам [5, 7, 9] в зависимости от типаразмера вращающейся печи. Холодильник – потребная производительность холодильника (в т клинкера в час) принимается равной производительности проектной печи. В настоящее время для охлаждения клинкера применяют, как правило, горизонтальные колосниковые холодильники переталкивающего типа [5, 7, 9]. Дробилка для клинкера – для измельчения клинкера применяются обычно молотковые дробилки, встроенные в колосниковые холодильники. Потребная производительность дробилки принимается равной проектной производительности печи. Выбор дробилки осуществляется по таблицам [5, 7, 9] Вентиляторы острого и общего дутья холодильника выбираются в зависимости от типа выбранного холодильника и его производительности [5, 7, 9]. Транспорт для доставки клинкера на склад – транспортирование клинкера на склад от холодильника производится при помощи пластинчатых или ячейковых транспортеров. Потребная производительность транспортеров должна выбираться с запасом 25-40% по отношению к производительности печи. Для обеспечения надежной работы печей необходимо предусмотреть один резервный транспортер. Выбор транспортера осуществляется по таблицам [5, 7, 9]. После подбора оборудования необходимо привести его техническую характеристику по форме табл. 3 (п. 5.4. настоящих указаний). 7. ОСОБЕННОСТИ ПРОЕКТИРОВАНИЯ ЦЕХА ПОМОЛА СМЕШАННЫХ ЦЕМЕНТОВ В настоящее время выпускают свыше 50 видов и разновидностей цемента для потребностей строительной индустрии: портландцемент, пуццолановый портландцемент, шлакопортландцемент, глиноземистый, сульфатостойкий, быстротвердеющий, цветной, высокодисперсные наполненные цементы (тонкомолотые цементы и вяжущие низкой водопотребности). Смешанные цементы получают несколькими способами: · совместным измельчением портландцементного клинкера, добавок и гипса; · раздельным помолом портландцементного клинкера, добавок и гипса с последующим их смешением. Помол компонентов для изготовления смешанных цементов может производиться в шаровых, вибрационных и др. мельницах. Выбор схемы помола смешанных цементов, типа и размеров цементных мельниц зависит от масштабов производства и заданного ассортимента выпускаемой продукции. Основными схемами помола смешанного цемента являются помол ее в трубных мельницах, работающих открытым циклом, и в мельницах, работающих в замкнутом цикле с центробежными сепараторами. При производстве смешанных цементов с удельной поверхностью 250-280 м2 /кг помол цемента целесообразно предусматривать в открытом цикле. При производстве высокопрочных и быстротвердеющих цементов с удельной поверхностью 350-500 м2 /кг, более экономично применение схемы помола по замкнутому циклу. Мельницы, работающие в замкнутом цикле с центробежными сепараторами, при такой тонкости помола смешанного цемента имеют более высокую производительность (на 15-20%) при меньшем удельном расходе электроэнергии. При проектировании заводов производительностью свыше 1.0 млн. тонн смешанного цемента в год для помола применяются главным образом мельницы размером 3,2х15 или 4х13,5 м. Применение мельниц размером 3,2х15 м, т.е. с отношением длины к диаметру в пределах 5-4:1 позволяет использовать их как для открытого, так и закрытого циклов помола. Проектирование цеха помола смешанных цементов ведется в следующей последовательности: · выбор технологической схемы; · технологические расчеты; · компоновка оборудования; · определение технико-экономических показателей. Расчетно-пояснительная записка должна содержать разделы п.4. 7.1. Выбор технологической схемы помола Смешанные цементы получают помолом клинкера, гипса и добавок (активных минеральных, инертных, воздухововлекающих, интенсификаторов помола). Помол может проектироваться как по открытому, так и по замкнутому циклу с центробежными сепараторами. Помол по открытому целесообразен при получении цементов с удельной поверхностью 250-280 м2 /кг. В связи с повышением доли высокомарочных цементов (с удельной поверхностью 320-500 м2 /кг) более экономичным является одностадийный помол по замкнутому циклу. Схемы помола смешанных цементов по замкнутому циклу включают воздушно-проходные или центробежные сепараторы . В сепараторах происходит разделение материала на фракции. Использование сепараторов позволяет осуществлять регулирование гранулометрического состава получаемого продукта, повысить эффективность работы схемы измельчения и обеспечить получение материала с высокими значениями удельной поверхности. Существует несколько схем измельчения материалов в двухкамерных цементных мельницах с сепараторами: · материал, поступивший на помол, пройдя первую камеру двухкамерной мельницы, поступает в сепаратор. Крупные фракции возвращаются на домол во вторую и частично в первую камеру; тонкие фракции из сепараторов и уловленная пыль представляют собой готовый цемент; · крупные фракции, выделяемые в сепараторах, направляются на домол в первую камеру, а тонкие, выделяемые в выносных циклонах, представляют собой готовый цемент. Очистка аспирационного воздуха цементных мельниц предусматривает три ступени: · аспирационная шахта; · циклон; · электрофильтр или рукавный фильтр. В зависимости от вида смешанного цемента необходимо выбрать технологическую схему его производства [14,с.199]. 7.2. Технологические расчеты 7.2.1. Режим работы цеха Цех помола работает по режиму непрерывной недели с двумя выходными днями в неделю в две или три смены. Расчет годового фонда времени и производительности цеха в час, смену, сутки.
где: п – количество смен где 2 • 52 = 104 – субботние и воскресные дни; 6 – количество праздничных дней в году;
Зная часовую производительность цеха, по каталогам [7,8,10,18,29] подбирают мельницы, количество которых соответствует количеству технологических линий.
Пример расчета.
Подобрать мельницы для помола смешанного цемента с удельной поверхностью 450 м2
/кг. Производительность цеха помола
. Количество рабочих суток: Годовой фонд рабочего времени: Суточная производительность: Сменная производительность: Часовая производительность с учетом производственных потерь и брака:
7.2.2. Составление материального баланса
7.2.3. Определение потребности цеха в сырье Расчет производится в соответствии с п.5.3. и результаты сводятся в табл.2. 7.2.4. Расчет и выбор основного технологического оборудования цеха помола смешанного цемента.
Расчет производится в соответствии с п.5.4. 7.2.4.1. Подбор оборудования для хранения, подачи клинкера, добавок и гипса в мельницу. Подбор данного оборудования ведется, исходя из часового расхода каждого компонента: где Подбор бункеров для хранения компонентов. Объем бункера: где Полезная емкость бункера: где t - запас материала, ч t = 3 •16 = 48 при двухсменной работе t = 3 •24 = 72 при трехсменной работе Соотношение между диаметром и высотой бункера: D:H = 1:0,8 до 1: 1,5. Бункера на выходе оборудуются питателями. Подбор питателя осуществляется по наибольшим размерам кусков материала. Для подачи компонентов в мельницу используют тарельчатые (дисковые) или ленточные питатели. Производительность ленточного питателя [7]: где В – ширина ленты, м (400, 500, 650, 800 мм) V – скорость ленты, м/с (0,1-0,3 м/с) По [7] определяем тип питателя. 7.2.4.2. Подбор оборудования воздухоочистительной аспирационной системы Для разделения материала на фракции в схемах помола смешанных цементов используются воздушно-проходные и центробежные сепараторы. Объем сепаратора определяется по формуле:
где Таблица 8 Напряжение объема сепаратора по воздуху или газу в зависимости от тонкости помола пыли
где где
По рис.158 каталога [8] определяем диаметр сепаратора. Цементные мельницы с сепаратором или без них должны быть обеспечены следующим оборудованием для аспирации и обеспыливания: · для 1 ступени – циклоны; · для 2 ступени – фильтры рукавные или электрофильтры. 7.2.4.3. Подбор циклона 1 ступени очистки Отделение пыли от газового потока осуществляется в циклонах за счет действия на частички пыли центробежной силы. Диаметр циклонов принимается в зависимости от количества пылевоздушной смеси и условной скорости потока. где Высота цилиндрической части циклонов должна быть равна примерно 0,75 его диаметра. Если диаметр циклона мал: 100, 150 или 254 мм, то устанавливают батарейные циклоны (рекомендуемое количество 2,4,6 или 8). 7.2.4.4. Подбор рукавных и электрофильтров для 2 ступени очистки При подборе рукавных фильтров для обеспыливания воздуха, отсасываемого от мельничной установки, т.е. от мельницы и сопряженного с нею в работе транспортного оборудования (Элеватора, шнеки, транспортные ленты и др.) исходят из допускаемого напряжения ткани рукавов фильтра, которое должно быть не более 2,0-2,5 м3 /мин на 1 м2 ткани и составлять 120-150 м3 /ч на 1 м2 ткани. Общая потребная поверхность фильтрующей ткани рукавных фильтров определяется по формуле:
где Vba * – общее количество воздуха, отсасываемого от всей системы (мельница и сопряженное с нею в работе транспортное оборудование) в м3 /ч; Р – напряжение ткани рукавных фильтров в м3 /ч на 1 м2 ткани. Рекомендуется использовать для 2 ступени очистки элетрофильтры типа УГ и УГТ, выбираемые по каталогу [7]. 7.2.4.5. Определение диаметров пылевоздухопроводов Пылевоздухопроводы соединяют между собой сепараторы и циклоны, циклоны и фильтры. Диаметр пылевоздухопровода принимается в зависимости от количества пылевоздушной смеси, проходящей соответственно от сепаратора и циклона, и скорости пылевоздушной смеси. где 7.2.4.6. При выходе из мельницы смешанный цемент проходит через аспирационную шахту , установленную за мельницей. Рекомендуемые размеры шахты: диаметр 3,3 м и высота 12 м. 7.2.4.7. Подбор оборудования для цехового транспорта Для транспортировки смешанного цемента определяют производительность аэрожелоба: _________ * - В общее количество воздуха входит воздух, отсасываемый от всей системы, полученный расчетом, и 15-25% воздуха, дополнительно присасываемого через неплотности обеспыливающей установки. где B- ширина желоба, м В=400-500 мм n– скорость движения материала в желобе, м/с ν = 0,7-2 м/с По производительности технологической линии подбирают пневматический насос для транспортировки готовой продукции и элеватор для подъема молотого материала в сепаратор по каталогам [7,8,9,11,28]. 7.2.4.8. Подбор силосов для хранения цемента Определяем геометрический объем силосного склада: где п – число суток нормативного запаса, сут. п не менее 10 суток Размеры и емкость силоса устанавливаются в зависимости от производительности завода. Для заводов небольшой мощности (100-200 тыс.т. в год диаметр силоса может быть принят 9 м; для более мощных заводов он принимается 12 или 18 м. При проектировании хранилищ для цемента силосы диаметром 12 м и менее располагаются в два ряда, а диаметром более 12 м – в один ряд. Соотношение диаметра силоса к его высоте должно быть примерно 1:4. 7.3 . После подбора технологического оборудования составляется ведомость оборудования цеха в соответствии с п.5.4. настоящих указаний (табл.3). 7.4 . Расчет потребности цеха в электроэнергии ведется в соответствии с п.5.5. 7.5. В заключении приводятся основные технико-экономические показатели производства смешанного вяжущего. 8. ОСОБЕННОСТИ ПРОЕКТИРОВАНИЯ ЦЕХА ПО ПРОИЗВОДСТВУ ВОЗДУШНОЙ ИЗВЕСТИ ИСИЛИКАТНОГО КИРПИЧА Порядок выполнения курсового проекта по названным выше темам должен быть следующим. 8.1. Введение Для написания введения рекомендуется пользоваться сведениями из технической литературы: по воздушной извести [14-17,41,44,46], силикатному кирпичу [18-20,31,32,42,45]. 8.2. Техническая характеристика выпускаемой продукции
При написании этого раздела необходимо пользоваться соответствующими ГОСТами и техническими условиями: для воздушной извести [21,22] , для силикатного кирпича [23]. 8.3. Характеристика сырья Для производства воздушной извести сырьем является известняк, а для производства силикатного кирпича - воздушная известь и кварцевый песок. Их техническая характеристика регламентируется стандартами [21,25,26]. Имеется положительный опыт применения в силикатном кирпиче золы ТЭС [32]. 8.4. Обоснование выбранной технологической схемы В данном разделе должно быть дано технико - экономическое обоснование выбранной технологии производства путем сравнения с технологическим показателем других способов, которые необходимо брать из технической литературы [16,24]- для воздушной извести, [18,19,31,32,42,45]- для силикатного кирпича, а также данных, собранных в ходе ознакомления действующих заводов во время учебно-ознакомительной практики. Выбор типа агрегата для обжига извести в зависимости от физико-химических свойств и фракционного состава карбонатного сырья должен осуществляться в соответствии с приведенными в таблице 9 данными [41]. Таблица 9 Критерии выбора агрегата для обжига извести в зависимости от свойств
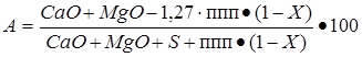
8.5. Описание технологического процесса Примеры технологических схем производства воздушной извести имеются в [9,16], силикатного кирпича [9,18,19,32] . В этом же разделе необходимо привести описание контроля производства, охраны труда в проектируемом цехе и охраны окружающей среды. Данные по контролю производства, качеству сырья и готовой продукции для воздушной извести приведены в [6,27,41] для силикатного кирпича в [19,20,27] . Данные по охране труда приведены [16, 41]. 8.6. Режим работы цеха Цех воздушной извести имеет три отделения: подготовки сырья , отделение обжига , отделение дробления и помола извести. Завод силикатного кирпича может иметь в своем составе цех обжига извести (если не работает на привозном сырье), цех подготовки силикатной смеси (дробление и помол извести и части песка, гашение силикатной смеси), цех прессования и автоклавной обработки. Цех обжига работает, как правило, по непрерывной рабочей неделе с коэффициентом использования оборудования (Ки =0.9-0.95) . Остальные цеха могут работать по прерывной или непрерывной рабочей неделе по режиму 1-3 смены в сутки. Отделение автоклавной обработки работает по шестидневной рабочей неделе с тремя сменами в сутки. 8.7. Расчет материального баланса Составление материального баланса (на 1 т воздушной извести, или на 1000 штук силикатного кирпича) производится в соответствии с п. 5.2. Материальный баланс представляется в форме табл. 1. Для определения расхода сырья используются приведенные в задании на курсовое проектирование данные по химическому составу карбонатного сырья. Определяется [14] теоретическая активность извести (%):
где CaO и MgO - содержание соответствующих окcидов в сырье , % ппп - потери при прокаливании; S - суммарное содержание в сырье SiO2 + R2 O3 , % Х - степень декарбонизации сырья при обжиге (принимаем Х =0,95). Для воздушной извести необходимо определить: - выход извести, B (%):
- расход известняка без учета влажности и производственных потерь для получения 1 т извести [14] (т):
- потери при прокаливании (т):
- содержание влаги (т):
где w - влажность карбонатного сырья согласно выданному заданию, %; - производственные потери (т):
где Пр. потери – производственные потери (при производстве воздушной извести Пр. потери 0,5…10% [41]); - расход известняка с учетом влажности и производственных потерь для получения 1 т извести (т):
Пример: Определить материальный баланс производства 1 тонны воздушной извести из известняка Яшкинского месторождения. Таблица 10 Химический состав известняка Яшкинского месторождения
Влажность карбонатного сырья w =2%. Производственные потери Пр. потери = 1% Активность извести (при R2 O3 = Al2 O3 + Fe2 O3 = 0,8 + 0,6 =1,4):
Выход извести:
Расход известняка без учета влажности и потерь:
Расход известняка с учетом влажности и производственных потерь:
Таблица 11 Материальный баланс производства 1 тонны воздушной извести
Для гашеной извести необходимо определить: - расход негашеной извести с учетом ее активности (А) для получения 1 т гашеной извести (кг): исходя из уравнения химической реакции:
56 кг СаО — 74 кг Са(ОН)2 х кг СаО — 1000 кг Са(ОН)2 где Пр. потери – производственные потери согласно выданному заданию, %; - расход воды с учетом производственных потерь (л):
где В - расход воды, приведенный в задании (для получения извести пушонки, обычно расход воды составляет В = 60…80% от массы СаО [14]) - производственные потери, в том числе на испарение воды (с учетом того, что количество воды, теоретически необходимое для гашения извести составляет Н2 О =32,14% от массы СаО [14]) (кг):
Пример: Определить материальный баланс производства 1 тонны гашеной извести из известняка Яшкинского месторождения. Химический состав известняка табл. 10. Расход воды для гашения извести В =60%. Производственные потери Пр. потери = 2%. Расход негашеной извести:
Расход воды:
Производственные потери:
Таблица 12Материальный баланс производства 1 т гашеной извести
Для силикатного кирпича (камней) необходимо определить расход компонентов силикатной смеси на 1000 штук условного кирпича с учетом активности извести и производственных потерь [18]: - расход сухой силикатной смеси в пересчете на 1000 шт. условного кирпича (кг):
где 0,25; 0,12; 0,065 – размеры условного кирпича, м; ρ ссм - средняя плотность силикатной смеси (ρ ссм = 2000 кг/м3 ); Пр. потери
- производственные потери (принимаем Пустотность силикатного кирпича (приведена в задании); - расход извести, (кг):
где А – активность извести; А ссм - активность силикатной смеси (принимаем А ссм = 8%); - для цветного кирпича определяется расход пигмента [18-20] (кг):
где Содержание пигмента на 1000 шт. условного кирпича – приведено в задании; - расход песка (кг):
где w п - влажность песка (принимаем w п =3%); - расход воды (л):
где w ссм - влажность силикатной смеси (принимаем w ссм = 7%); Потери воды - потери воды на испарение в процессе гашения извести (принимаем Потери воды = 2%); - определение массы 1000 шт. силикатного кирпича (камней) - сырца в пересчете на условный кирпич (кг):
- определение производственных потерь при производстве 1000 шт. силикатного кирпича (камней) - сырца в пересчете на условный кирпич (кг):
Пример: Определить материальный баланс производства 1000 цветного силикатного кирпича (сырье для получения извести - известняк Яшкинского месторождения, химический состав представлен в табл. 10). Пустотность кирпича - Пустотность = 15%. Пигмент -пиритные огарки, на 1000 шт. условного кирпича, Содержание пигмента = 50 кг [31, с. 32]. Определяем расход компонентов силикатной смеси на 1000 штук условного кирпича с учетом производственных потерь. Расход сухой силикатной смеси в пересчете на 1000 шт. условного кирпича (кг) с учетом производственных потерь:
Расход извести с учетом производственных потерь:
Расход пигмента с учетом производственных потерь:
Расход песка:
Расход воды:
Масса 1000 шт. силикатного кирпича (камней) - сырца в пересчете на условный кирпич:
Производственные потери при производстве 1000 шт. силикатного кирпича (камней) - сырца в пересчете на условный кирпич:
Таблица 13 Материальный баланс производства 1000 штук цветного силикатного кирпича
Затем производится расчет потребности цеха в сырье по формуле 4 8.8. Расчет и выбор основного технологического оборудования Расчет ведется в соответствии с п.5.4. Выбор шахтных и вращающихся печей, прессов, автоклавов, смесителей ведется по справочникам [9, 16, 31, 46]. Техническая характеристика оборудования приводится в виде ведомости в форме табл.3 (п.5.4.) 8.9. Расчет потребности цеха в электроэнергии и основных технико-экономических показателей
Расчет потребности цеха в электроэнергии и основных технико- экономических показателей производства осуществляется в соответствии 9. ОСОБЕННОСТИ ПРОЕКТИРОВАНИЯ ЦЕХА ПО ПРОИЗВОДСТВУ ГИПСОВЫХ ВЯЖУЩИХ И ИЗДЕЛИЙ ИЗ НИХ Проектирование цеха начинается с выбора сырья и его характеристик, составления технологической схемы и проведения технологических расчетов: · Расчет общей производительности; · Определение потребности в сырье; · Расчет основного технологического и транспортного оборудования; · Определение потребных емкостей бункеров, складских и бытовых помещений; · Расчет потребности цеха в энергетических ресурсах; · Составление основных положений по технике безопасности; · Определить технико-экономические показатели цеха, сравнив их с показателями действующих предприятий. Общими для всех технологических решений являются: 1. Измельчение гипсового камня до состояния щебня или муки: · Подача в бункера; · Тепловая обработка; · Дополнительный помол; · Подача в силосы готовой продукции. Пример технологического расчета
Дано: Состав гипсового камня в %: · Двуводный гипс – 97,38; · Минеральные примеси – 2,32; · Гигроскопическая влага – 0,3; · Содержание гидратной воды в гипсовом камне составляет 20,6% Состав вяжущего (полуводного гипса) в %: · Полуводный гипс – 87,8; · Неразложившийся двугидрат – 2,0; · Растворимый ангидрит – 7,7; · Минеральные примеси – 2,5. Содержание гидратной воды в вяжущем составляет 5,86%. Решение: Определяем состав 1 тонны вяжущего по массе. СаSO4 x 0,5H2 O = 1000x0,878 = 878 т; СаSO4 x 2H2 O = 1000x0,02 = 20 т; СаSO4 = 1000x0,077 = 77 т. Минеральные примеси составляют 1000 – (878 + 20 + 77) = 25 кг или 1000 х 0,025 = 25 кг. Определяем потребность в сыром двуводном гипсе для получения 1 т полуводного гипса. Молекулярные массы гипса и продуктов его обезвоживания: СаSO4 x 2H2 O = 172 + 40 + 32 + (4х16) + 2(2+16); СаSO4 x 0,5H2 O = 145 = 40 + 32 + (4х16) + 1,5(2х16); СаSO4 = 136 = 40 + 32 + (4х16). Потребность в сырье определяем, пользуясь уравнениями химических реакций образования продуктов дегидратации двуводного гипса: СаSO4 x 2H2 O → СаSO4 x 0,5H2 O + 1,5Н2 О; СаSO4 x 2H2 O → СаSO4 x 2Н2 О; На получение 145 мас. частей СаSO4 х 0,5 Н2 О расходуются 172 мас. ч. СаSO4 х 2Н2 О.
Растворимый ангидрит Таким образом расход сырья на получение 1000 кг гипса – полугидрата составляет: 1040 + 96,8 + 20 + 25 = 1181,8 кг, а с учетом технологических потерь (1,2%) и гигроскопической влаги камня (0,3%) действительный расход сырого двуводного гипса на получение 1000 кг полугидрата составит
Определяем количество выделившихся водяных паров из материалов. При образовании СаSO4 : 96,8 – 77 = 19,8 кг. Гигроскопической влаги: 1200 х 0,03 = 3,6 кг. Всего водяных паров: 162 + 19,8 + 3,6 = 185,4 кг. Производительность цеха по готовой продукции определяется по формулам 1, 2, 3 (см. п. 5.1.):
Таблица 12
Примечание: С учетом технологических потерь (1400 т), гидратной влаги (18240 кг), гигроскопической влаги (360,0) завод выдает в год 120000 –(1400 + 18240 + 360) = 100000 тонн строительного гипса. Таблица 13 Потребность цеха в сырье
10. ПОРЯДОК ВЫПОЛНЕНИЯ КУРСОВОГО ПРОЕКТА Задания выдаются студентам руководителями проектов в начале семестра. При выдаче задания руководитель дает студентам необходимые пояснения по содержанию задания и его выполнению, знакомит с методическими указаниями и списком рекомендуемой литературы. До начала непосредственного выполнения курсового проекта студент должен ознакомиться с рекомендуемой литературой, методическими разработками, а также с литературой, подобранной самостоятельно. Следующим этапом является выбор и обоснование технологической схемы производства и выполнение технологических расчетов. Принятые решения согласовываются и уточняются с руководителем. Затем вычерчивается технологическая схема производства, план и разрез цеха, пишется пояснительная записка. В начале третьей недели проект в готовом виде представляется на проверку руководителю, который одновременно является нормоконтролером и должен с этих позиций проверить проект и поставить свою подпись. 11. ЗАЩИТА КУРСОВОГО ПРОЕКТА Защита курсового проекта осуществляется перед комиссией в составе не менее двух преподавателей (из которых один является руководителем проекта), назначаемой заведующим кафедрой. Комиссия выносит соответствующую оценку, которая выставляется на последней странице расчетно-пояснительной записки и заносится в экзаменационную ведомость. Доклад автора курсового проекта должен содержать: краткое изложение задания, перечень использованных материалов, характеристику принятых решений и их обоснование, основные технико-экономические показатели проекта. При изложении содержания проекта надлежит четко указать новые технические и технологические решения, реализованные в проекте. ЛИТЕРАТУРА 1. Стандарт предприятия, курсовые проекты. Общие требования. –СТП КИСИ 5-02-85. –Казань: КазИСИ, 1985. –20 с. 2. Стандарт предприятия, Дипломные и курсовые проекты. Требования к оформлению пояснительной записки и чертежей. –СТП КазИСИ 5-04-83. –Казань: КазИСИ, 1983. –12 с. 3. Негинский М.С. Основы проектирования цементных заводов. –М.: Промстройиздат, 1949. –320 с. 4. Бутт Ю.М. и др. Химическая технология вяжущих материалов. –М.: Высшая школа. 1980. –472 с. 5. Справочник по производству цемента /под ред. Н.И.Холина –М.: Госстройиздат, 1963. –833 с. 6. Несвижский О.А., Дешко Ю.И. Справочник механика цементного завода. –М.: Стройиздат, 1977. –336 с. 7. Справочник по проектированию цементных заводов /под ред. С.И.Данюшевского. Л.: Стройиздат, 1969. –327 с. 8. Крашенинников М.Н. и др. Проектирование цементных и асбестоцементных заводов. –Л. – М.: Стройиздат, 1966. –345 с. 9. Строительные машины. –т.2 (справочник). –М.: Стройиздат. 10. Краткий справочник технолога цементного завода /под ред. И.В.Кравченко, Т.Г.Мешик. – М.: Стройиздат, 1974. – 242 с. 11. Механическое оборудование предприятий строительных материалов, изделий и конструкций. Атлас конструкций /под редакцией М.Я.Сапожников. –М.:Машиностроение, 1978. –111 с. 12. Дешко Ю.И. и др. Измельчение матриалов в цементной промышленности. –М.: Стройиздат, 1966. -271 с. 13. Боганов А.И. Вращающиеся печи цементной промышленности. – М.: Машиностроение, 1965. – 319 с. 14. Волженский А.Б. Минеральные вяжущие вещества. – М.: Стройиздат, 1986. – 464 с. 15. Монастырев А.В. Производство извести. –М.: Стройиздат, 1972. – 207 с. 16. Монастырев А.В. Производство извести. – М.: Высшая школа, 1971. – 272 с. 17. Табунщиков Н.П. Производство извести. –М.: Химия, 1974. – 239 с. 18. Вахнин А.П., Анищенко А.А. Производство силикатного кирпича. – М.: Высшая школа, 1977. – 160 с. 19. Троцко Т.Т., Барановский В.Б. Цветной силикатный кирпич. –Киев: Будивильник, 1977. – 87 с. 20. Мухина Т.Г. Производство силикатного кирпича. –М.: Высшая школа, 1967. – 179 с. 21. ГОСТ 9179-77. Известь строительная. –М.: Издательство стандартов. 1977. – 19 с. 22. ГОСТ 22688-79. Методы испытаний строительной извести. –М.: Издательство стандартов. 1979. – 15 с. 23. ГОСТ 379-95. Силикатный кирпич. –М.: Издательство стандартов. 1995. –17 с. 24. Русол В.С. Получение извести обжигом мелких фракций в установках скоростной термообработки. –Кишинев: Изд. ЦК КП Молдавии, 1973. –123 с. 25. ОСТ 21-2776. Породы карбонатные для производства извести. –М.: Издательство стандартов. 1976. – 10 с. 26. ОСТ 21-1-80. Песок для силикатного кирпича. Тех.условия. –М.: Издательство стандартов. 1980. –12 с. 27. Старостин В.А. Технологические измерения и контрольно-измерительные приборы в промышленности строительных материалов. –М.: Стройиздат. 1982. –286 с. 28. Журавлев М.И., Фоломеева А.А. Механическое оборудование предприятий вяжущих материалов и изделий на базе их. –М.: Высшая школа, 1981. –230 с. 29. Журавлев М.И. Оборудование заводов вяжущих материалов. –М.: Высшая школа, 1967. –264 с. 30. Машины и оборудование для производства железобетона и цемента. Каталог-справочник. –М.: Стройиздат, 1989. –182 с. 31. Хавкин Л.М. Технология силикатного кирпича. –М.: Стройиздат, 1982. 32. Дворкин Л.И., Пашков И.А. Строительные материалы из промышленных отходов. –Киев: Выща школа. 1980. – 247 с. 33. Пащенко А.А., Сербин В.П., Старчевская Е.А. Вяжущие материалы. –Киев: Вища школа, 1983. – 438 с. 34. Вихтер Я.И. Производство гипсовых вяжущих веществ. –М.: Высшая школа. 1974. –271 с. 35. ГОСТ 125-79. Вяжущие гипсовые. Тех.условия. –М.: Издательство стандартов. 1979. – 18 с. 36. Зубарев К.В. Справочник по производству гипса и гипсовых изделий. –М.: Стройиздат. 1963. – 464 с. 37. Копелянский Г.Д., Печуро С.С. Заводы гипса и гипсовых изделий. – М.-Л.: Стройиздат, 1952. –173 с. 38. Булычев Г.Г. Смешанные гипсы. –М.: Стройиздат, 1952. – 135 с. 39. Нагибин Г.В., Павлов В.Ф., Эллерн М.А. Технология теплоизоляционных материалов и гипсовых вяжущих. –М.: Высшая школа, 1978. –424 с. 40. Волженский А.В., Роговой М.И., Стамбулко В.И. Гипсоцементные и гипсошлаковые вяжущие изделия. – М.: Стройиздат, 1960. – 168 с. 41. Нормы технологического проектирования предприятий по производству извести СН 28-81-75 (Министерство пром. Строительных материалов СССР). М.: 1975. –48 с. 42. Куприянов В.Н. Технология производства силикатных изделий. –М.: Высшая школа, 1975. –270 с. 43. Холопова Л.И., Бушмина И.Ю. Окрашивание автоклавных силикатных материалов. –Л.:Стройиздат. 1971. –151 с. 44. Мазуров Д.Я. Теплотехническое оборудование заводов вяжущих материалов. –М.: Стройиздат. 1982. – 288 с. 45. Боженов П.И. Технология автоклавных материалов. –Л.: Стройиздат. 1978. –368 с. 46. Монастырев А.В., Александров А.В. Печи для производства извести. Справочник. –М.: Металлургия. 1979, -232 с. 47. Болдин В.П. Производство гипсовых вяжущих материалов. М.: Высшая школа. 1988. –167 с. 48. Брюкнер Х., Дейлер Е. И др. Гипс. Изготовление и применение гипсовых стриотельных материалов. –М.: Стройиздат. 1981. –233 с. 49. Строительные машины. т.2. Справочник /Под редакцией М.Н.Горбовца. М.: Машиностроение. 1991. –494 с. 50. Проектирование цементных заводов/Под редакцией А.В.Зозули и Ю.В.Никифорова. – С.Петербург.: Синтез, 1995. –445 с. 51. Сулименко Л.М. Технология минеральных вяжущих материалов и изделий на их основе. –М.: Высшая школа. 2000. – 303 с. Приложение 1 Средняя плотность шлама в зависимости от влажности
Условная влажность сырьевых материалов
Приложение 2 Насыпная плотность различных материалов
|
||||||||||||||||||||||||||||||||||||||||||||||||||||||||||||||||||||||||||||||||||||||||||||||||||||||||||||||||||||||||||||||||||||||||||||||||||||||||||||||||||||||||||||||||||||||||||||||||||||||||||||||||||||||||||||||||||||||||||||||||||||||||||||||||||||||||||||||||||||||||||||||||||||||||||||||||||||||||||||||||||||||||||||||||||||||||||||||||||||||||||||||||||||||||||||||||||||||||||||||||||||||||||||||||||||||||||||||||||||||||||||||||||||||||||||||||||||||||||||||||||||||||||||||||||||||||||||||||||||||||||||||||||||||||||||||||||||||||||||||||||||||||||||||||||||
Работы, похожие на Учебное пособие: Методические указания к выполнению курсового проекта по дисциплине Вяжущие вещества для студентов 3 курса специальности 270106
, (1),
, (2)
, (3)
, (5)
, (6)
, (7)
;
;
;
.
, (9)
(10)
(карбонатный компонент) , (11)
(глинистый компонент) , (12)
, (13)
, (14)
, (15)
, (16)
, (17)
, (18)
, (19)
, (21)
, (22)
т/сут;
т/смен;
т/ч.
, (30)
, (31)
м3
.
, (32)
т/ч;
т/ч.
т/ч.
т/ч.
м3
, где
(35)
(36)
(37)

3
3
, м3
(41)
, м (46)
, м3
(48)
,
(49)
.
(55)
, (56)


(60)
кг CaSO4
x 2H2
O
кг СаSO4
.
кг.
т;
т.