Реферат: «Изучение электропроводности растворов»
|
Название: «Изучение электропроводности растворов» Раздел: Остальные рефераты Тип: реферат | |||||||||||||||||||||||
| ГОУ гимназия №1505 «Московская городская педагогическая гимназия-лаборатория» Реферат «Изучение электропроводности растворов» Выполнил ученик 9 «Б» класса Сальников Александр Руководитель Шипарева Галина Афанасьевна Москва, 2010 Содержание Введение §1Электролиты. Электролитическая диссоциация. 1.1.Электролит 1.2.Степень электролитической диссоциации 1.3.Классификация электролитов 1.4.Электролитическая диссоциация 1.5.Диэлектрическая проницаемость 1.6.Теория электролитической диссоциации 1.7. Сильные электролиты §2Электропроводность электролитов. Факторы, влияющие на электропроводность растворов 2.1.Электропроводность электролитов 2.2.Эквивалентная электропроводность 2.3.Удельная электропроводность 2.4.Факторы, влияющие на электропроводность растворов §3 Измерение электропроводности Требования к оформлению: выравнивание текста по ширине, интервал 1,5 Введение Тема реферата актуальна, так как это основополагающая тема курса химии 9 класса. А реферат позволит расширить представления учащихся об электролитах, что особенно важно для учащихся, выбравших химию в качестве профильного предмета, а также для учащихся, проявляющих интерес к этому предмету. Цель данного реферата заключается в том, чтобы он включал в себя необходимую информацию, которая требуется при изучении темы, на которую данный реферат написан. Исходя из этого, задачи, которые возникали при написании данного реферата, связаны с подбором нужной информации по различным темам [w1] , связанные непосредственно с темой реферата, и подтверждением этой информации опытным путем. Самым полезным источником [w2] информации при написании данного реферата оказались лекции С. И. Левченкова по физической и коллоидной химии для студентов биофака ЮФУ [w3] . В данных конспектах лекций в доступной форме изложена информация об электролитах и теории электролитической диссоциации, а также об электропроводности растворов, и факторов, от которых она зависит. Также полезным источником информации учебник [w4] «Общая и неорганическая химия» для вузов по вопросам эквивалентной электропроводности. В учебнике «Физическая химия» находится полезная информация по степени электролитической диссоциации. А также полезной оказалась большая советская энциклопедия, являющаяся хорошим источником определений. §1Электролиты. Электролитическая диссоциация 1.1.Электролит — вещество, расплав или раствор, который проводит электрический ток вследствие диссоциации на ионы. (электролитическая диссоциация)[1] Проводники бывают первого и второго рода. К проводникам первого рода относят проводники, обладающие электронной проводимостью (посредством движения электронов). К проводникам первого рода относят все металлы. К проводникам второго рода относят проводники с ионной проводимостью. Электролиты — проводники второго рода, которые в растворе (или расплаве) состоят полностью или частично из ионов и обладают вследствие этого ионной проводимостью. Примерами электролитов могут служить кислоты, соли и основания. В растворах электролитов не все частицы диссоциируют на ионы. Количество частиц, продиссоциировавших на ионы в растворе электролита, характеризуется степень электролитической диссоциации. 1.2.Степень электролитической диссоциации — отношение количества вещества, распавшегося в растворе на ионы к общему количеству растворенного вещества[2] .
a-степень диссоциации n-количество вещества, распавшегося на ионы n0 - общее количество растворенного вещества На основе данного критерия можно проклассифицировать электролиты на три группы. 1.3.Классификация электролитов [3] [w5]
1.4.Электролитическая диссоциация Электролитическая диссоциация — процесс распада электролита на ионы при растворении его в воде или при плавлении.[4] На процесс электрической диссоциации наряду с сольватирующей способностью частиц (сольватация - электростатическое взаимодействие между частицами (ионами, молекулами) растворенного вещества и растворителя) влияет также диэлектрическая проницаемость. 1.5.Диэлектрическая проницаемость[5]
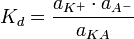
Чем дольше диэлектрическая проницаемость, тем больше степень диссоциации. 1.6.Теория электролитической диссоциации.[6] Классическая теория электролитической диссоциации базируется на идее о том, что не все частицы веществ диссоциируют, а лишь их часть. Отношение количества вещества, распавшегося в растворе на ионы, к общему количеству растворенного вещества характеризуется степенью диссоциации. электролитическая диссоциация бинарного электролита KA КА = К+ +А- Константа диссоциации (см.приложение) Kd определяется активностями
[w6]
(см. приложение) катионов
1.7.Сильные электролиты Однако классическая теория электролитической диссоциации применима лишь к растворам слабых электролитов, т.к. она базируется на идее о неполной диссоциации веществ, а в таких веществах, которые относятся к сильным электролитам, диссоциация проходит практически полностью, и говорить в данном случае о степени диссоциации не имеет смысла. §2Электропроводность электролитов. Факторы, влияющие на электропроводность растворов 2.1.Электропроводность электролитов - способность электролитов проводить электрический ток при приложении электрического напряжения.[7] Носителями электрического тока в растворах электролитов служат ионы, образующиеся вследствие электролитической диссоциации. Катионы и анионы под действием внешнего электрического поля движутся в противоположных направлениях. Доля общего количества электричества, переносимого отдельными ионами, называется числами переноса, сумма которых для всех видов ионов, участвующих в переносе, равна единице. Количественно электропроводность электролитов характеризуют эквивалентной электропроводностью λ 2.2.Эквивалентная электропроводность λ - проводящая способность всех ионов, образующихся в 1 грамм-эквиваленте(см. приложение) электролита. Эквивалентная электропроводность определяется проводимостью всех ионов, образующихся из количества электролита, соответствующего его химическому эквиваленту, в растворе данной концентрации. Наиболее эквивалентная электропроводность соответствует предельно разбавленному раствору. Величина λ связана с удельной электропроводностью σ соотношением:
2.3.Удельная электропроводность - мера способности вещества проводить электрический ток (единица измерения - Сименс/метр (См/м))[8]
Плотность то́ка
— векторная величина, имеющая смысл силы тока, протекающего через единицу площади. Например, при равномерном распределении плотности 2.4.Факторы, влияющие на электропроводность растворов. Существует три фактора, влияющие на удельную электропроводность растворов: 1.температура 2.концентрация 3.природа электролита (т.е. его степень электролитической диссоциации) 1.С увеличение температуры увеличивается скорость движения ионов (а, следовательно, и удельная электропроводность раствора электролита) за счет уменьшения вязкости раствора и уменьшения взаимодействия ионов[9] 2.Влияние концентрации раствора электролита на его электропроводность обуславливается тем, что имеющаяся около каждого иона ионная атмосфера несет заряд, противоположный иону, движется в противоположном направлении и тормозит движение иона. §3.Измерения электропроводности Я бы хотела, чтобы в этом параграфе был описан способ измерения удельной электропроводности при помощи датчика электропроводности Измерением электропроводности занимается наука кондуктометрия. Основными характеризующими величинами данной области электрохимии является эквивалентная и удельная электропроводность (см. стр. 6). метод кондуктометрии основывается на том, что в области разбавленных и умеренно концентрированных растворов электрическая проводимость растет с увеличением концентрации электролита. В практической работе обычно используют заранее построенную градуировочную кривую зависимости электрической проводимости раствора от концентрации тех или иных электролитов. В связи с относительно близкими значениями подвижностей ионов кондуктометрические измерения дают информацию главным образом лишь об общей концентрации ионов в растворе. Измерения электрической проводимости растворов широко применяют в титриметрическом анализе для определения точки эквивалентности (кондуктометрическое титрование). В методах кондуктометрического титрования измеряют электрическую проводимость раствора после добавления небольших определенных порций титранта и находят точку эквивалентности графическим методом с помощью кривой в координатах c – Vтитранта (удельная электропроводность – объем раствора титранта). Практически в этом методе могут быть использованы такие химические реакции, в ходе которых происходит резкое изменение (обычно возрастание) электрической проводимости после точки эквивалентности (реакции кислотно-основного взаимодействия, осаждения и т. д.). Токи, имеющие частоту порядка мегагерц и десятков мегагерц, называют токами высокой частоты. При таких частотах в растворе начинают играть роль эффекты молекулярной, или деформационной, и ориентационной поляризации. Поляризация обоих типов вызывает кратковременный электрический ток (ток смещения). Кроме того, поляризация молекул приводит к существенному изменению диэлектрической и магнитной проницаемостей раствора, что открывает новую возможность исследования свойств системы при титровании. При построении кривой высокочастотного титрования показания прибора откладывают по оси ординат как функцию объема добавленного титранта. Саша, не нужно делать словарь терминов. Словарь терминов дается в словарях и учебных пособиях. У тебя другой жанр работы! Все определения нужно дать в основном тексте работы. Приложение Словарь терминов А Активность ионов - эффективная (кажущаяся) концентрация ионов с учетом электростатического взаимодействия между ними в растворе Г Грамм-эквивалент- число граммов химического элемента или соединения, равное массе его эквивалента химического. Г.-э. химического элемента численно равен частному от деления атомной массы элемента на его валентность К Кондуктометрическое титрование – метод анализа, основанный на определении содержания вещества по излому кривой титрования. Кривую строят по измерениям удельной электропроводности анализируемого раствора, меняющейся в результате химических реакций в процессе титрования Константа диссоциации показывает склонность объекта диссоциировать обратимым образом на более маленькие объекты Н Напряжённость электри́ческого по́ля — векторная физическая величина, характеризующая электрическое поле в данной точке и численно равная отношению силы
П Прямая кондуктометрия – метод, позволяющий непосредственно определять концентрацию электролита путем измерения электропроводности раствора с известным качественным составом Т Титрант - реагент с точно известной концентрацией Титрование - метод количественного анализа, основанный на измерении объема раствора реактива известной концентрации, расходуемого для реакции с определяемым веществом. Х Хронокондуктометрическое титрование - метод, основанный на определении содержания вещества по затраченному на титрование времени, автоматически фиксируемого на диаграммной ленте регистратора кривой титрования Э Электри́ческая инду́кция (электри́ческое смеще́ние) - векторная величина, равная сумме вектора напряжённости электрического поля и вектора поляризации. [1] БСЭ [2] БСЭ [3] Ссылка на источник www.physchem.chimfak.rsu.ru [4] http://www.physchem.chimfak.rsu.ru/Source/PCC/Solutions_3.htm нужно указать на какое число действительна ссылка [5] http://www.physchem.chimfak.rsu.ru/Source/PCC/Solutions_3.htm [6] Карапетянц М.Х., Дракин С.и. Общая и неорганическая химия. Учебник для вузов. – 3-е издание, стер. – М.: Химия, 1994 [7] БСЭ [8] БСЭ [9] http://www.physchem.chimfak.rsu.ru/Source/PCC/Solutions_3.htm [w1] нужно кратко перечислить те вопросы, которые ты освещаешь в работе [w2] А почему этот источник оказался самым полезным? Укажи его основные достоинства (не только доступность!). [w3] Расшифруй! [w4] Автор у учебника есть? [w5] Почему приведены в качестве примеров только формулы кислот? А другие вещества могут быть сильными, средними и слабыми электролитами??? [w6] Нужно в основном тексте работы, т.е в данном параграфе привести определение термина активность |
|||||||||||||||||||||||


