Учебное пособие: Методические указания к практическим занятиям для студентов специальности 230201 Информационные системы и технологии
|
Название: Методические указания к практическим занятиям для студентов специальности 230201 Информационные системы и технологии Раздел: Остальные рефераты Тип: учебное пособие | |||||||||||||||||||||||||||||||||||||||||||||||||||||||||||||||||||||||||||||||||||||||||||||||||||||||||||||||||||||||||||||||||||||||||||||||||||||||||||||||||||||||||||||||||||||||||||||||||||||||||||||||||||||||||||||||||||||||||||||||||||||||||||||||||||||||||
| СТАРООСКОЛЬСКИЙ ТЕХНОЛОГИЧЕСКИЙ ИНСТИТУТ (ФИЛИАЛ)
СТАЛИ И СПЛАВОВ (ТЕХНОЛОГИЧЕСКОГО УНИВЕРСИТЕТА) Кафедра АиПЭ Основина О.Н. НАДЕЖНОСТЬ ИНФОРМАЦИОННЫХ СИСТЕМ методические указания к практическим занятиям для студентов специальности 230201 – Информационные системы и технологии (очная, очно-заочная формы обучения) Старый Оскол 2006 УДК 681.5 ББК 30.14 Рецензент: Заместитель зав.кафедрой АиПЭ по науке Боева Л.М. Основина О.Н. Надежность информационных систем. Методические указания к практическим занятиям. – С.: СТИ МИСиС, 2006. - 68 с. Методические указания к практическим занятиям по курсу «Надежность информационных систем» для студентов специальности 230201 – Информационные системы и технологии, очная, очно-заочная, формы обучения. Ó Основина О.Н. Ó СТИ МИСиС Содержание 1. Количественная оценка показателей надежности невосстанавливаемых систем 6 1.2 Основные теоретические положения по теме занятия 6 1.3 Примеры решения аудиторных задач 10 1.4 Задачи для самостоятельного решения 11 1.5 Контрольные вопросы и задания 11 2. Методы расчета надежности невосстанавливаемых систем 12 2.2 Основные теоретические положения по теме занятия 12 2.3 Примеры решения аудиторных задач 18 2.4 Задачи для самостоятельного решения 19 2.5 Контрольные вопросы и задания 20 3. Расчет надежности сложноструктурных систем логико-вероятностным методом 20 3.2 Основные теоретические положения по теме занятия 21 3.2.1. Методика расчета ПН невосстанавливаемых систем 24 3.2.2 Преобразование структуры типа «треугольник» в структуру типа «звезда» 25 3.2.4. Методика расчета ПН восстанавливаемых систем 27 3.3 Примеры решения аудиторных задач 30 3.4 Задачи для самостоятельного решения 34 3.5 Контрольные вопросы и задания 35 4. Марковские процессы с дискретными состониями 4.2 Основные теоретические положения по теме занятия 36 4.3 Примеры решения аудиторных задач 42 4.4 Задачи для самостоятельного решения 44 4.5 Контрольные вопросы и задания 45 5. Марковские процессы с дискретным состоянием и непрерывным временем 46 5.2 Основные теоретические положения по теме занятия 46 5.3 Примеры решения аудиторных задач 48 5.4 Задачи для самостоятельного решения 50 5.5 Контрольные вопросы и задания 51 6. Изучение методики организации и обработки результатов определительных испытаний на надежность 51 6.2 Основные теоретические положения по теме занятия 52 6.3 Примеры решения аудиторных задач 58 6.4 Задачи для самостоятельного решения 59 6.5 Контрольные вопросы и задания 59 7. Методика организации и обработки результатов контрольных испытаний на надежность 60 7.2 Основные теоретические положения по теме занятия 60 7.3 Примеры аудиторных задач 64 7.4 Контрольные вопросы и задания 65 Актуальность проблемы надежности современных информационных систем очень велика и продолжает возрастать во времени, требуя новых, системных подходов к ее решению. При создании таких больших систем, как например АСУ, ИС и АСОиУ на основе локальных вычислительных сетей (ЛВС), требуется оценка надежности всех без исключения разнородных компонентов: функций, техники, программ, персонала. Специфика этих компонентов велика, но тем не менее конкретные методы расчета их надежности основываются на общих концепциях и приемах, которые рассматриваются в дисциплине "Надежность информационных систем", и без овладения которыми инженер не сможет эффективно решать задачи проектирования и эксплуатации ИС. В свою очередь успешное овладение методами анализа, расчета и обеспечения надежности сложных систем прямо зависит от приобретенных практических навыков. Специалисты в области теории надежности считают, что изучение этой теории без надлежащей практической подготовки бесцельно. Ограниченный объем практических занятий обусловил выбор тех тем, которые должны были охватить основные стадии процесса анализа, оценки и обеспечения надежности сложных систем. Для активизации работы студентов предусматривается проведение практических занятий с выдачей индивидуальных заданий. Контроль и самопроверка результатов решения задач обеспечиваются получением числовых ответов. Последовательность тем практических занятий определяется рабочей программой курса. 1. Количественная оценка показателей надежности невосстанавливаемых систем Закрепление знаний основных законов распределения вероятностей, применяемых в теории надежности, базовых надежностных моделей, типовых задач, решаемых на ранних стадиях проектирования систем, основных групп показателей надежности (ПН) простых и сложных систем и привития практических навыков количественной оценки этих показателей. В результате проведения занятия студенты должны знать: основные законы распределения дискретных и непрерывных случайных величин и базовые надежностные модели на их основе; группы ПН, виды показателей, входящих в каждую группу, и приемы их количественной оценки; Студенты должны уметь: выбирать сочетания ПН различных групп для всесторонней оценки надежности систем; рассчитывать одни ПН через известные другие; оценивать надежность систем через ПН их элементов. 1.2 Основные теоретические положения по теме занятия Основные законы распределения наработки до отказа Экспоненциальное распределение. Непрерывная случайная величина — наработка системы до отказа может описываться различными законами распределения в зависимости от свойств системы и ее элементов, условий работы, характера отказов и др. Наибольшее распространение получило экспоненциальное (показательное) распределение, при котором функция распределения наработки до отказа: F(t)
= l-е
где Плотность распределения:
Функция надежности: P(t)=
e
Вероятность отказа системы до момента t 1 и вероятность безотказной работы до момента t 2 соответственно будут:
Средняя наработка до отказа:
т.е. равна величине, обратной параметру Дисперсия наработки до отказа:
Интенсивность отказов:
является постоянной величиной, не зависящей от времени и численно равной параметру распределения. Отметим одно характерное свойство, присущее только экспоненциальному распределению: вероятность Р (t 1, t 2) безотказной работы системы на интервале (t 1, t 2) (при условии, что в момент t 1 система работоспособна) зависит только от длины интервала t 2— t 1 и не зависит от времени t 1 предшествующей работы системы, т. е. от ее “возраста”:
Так как для экспоненциального закона характерно постоянство интенсивности отказов Нормальное распределение. В отличие от экспоненциального нормальное распределение используют для описания таких систем и особенно их элементов, которые подвержены действию износа. Функция и плотность распределения наработки до отказа Т при этом соответственно будут:
где Средняя наработка до отказа и дисперсия наработки до отказа:
Для практического использования соотношений (1.8) и (1.9) перейдем от случайной величины Т к иной случайной величине Z=(T—m)/ имеющей математическое ожидание M[Z]=0 и дисперсию D[Z] = 1. Согласно правилам определения закона распределения функции случайного аргумента плотность распределения величины Z :
Соответственно функция распределения величины Z
Очевидно, что функция В таблицах часто приводят значения не функции Ф( z ), а несколько иной функции
Функции Ф(z) и Ф0 связаны между собой соотношением
Приведем значения функции (1.12) для нескольких положительных z: Ф0 (0,5) =0,191; Ф0 (1) =0,343; Ф0 (2) =0,477. Нормальное распределение описывает поведение случайных величин в диапазоне (—
где с —
нормирующий множитель; При этом плотность распределения
Значение с выбирают из условия, что площадь под кривой плотности распределения равна единице. Использовав подстановку (1.11), можно показать, что
В усеченном нормальном распределении средняя наработка до отказа и дисперсия наработки до отказа
где Усеченное нормальное распределение обычно применяют, если m<3 Распределение Вейбулла — Гнеденко. В теории надежности получило применение распределение Вейбулла — Гнеденко, описываемое функцией и плотностью распределения соответственно
Это двухпараметрическое распределение, где параметр k
определяет вид плотности распределения, параметр Соотношения для определения показателей надежности для трех рассмотренных выше распределений даны в табл. 1.1. Табл. 1.1
Примечание:
1.3 Примеры решения аудиторных задач Пример 1
. Функция вероятности безотказной работы (ВБР) системы описывается выражением Необходимо определить значение ВБР и среднюю наработку до отказа системы для оперативного времени t
=
100 ч,
если интенсивности отказов ее элементов Неправильное решение задачи:
Правильное решение задачи:
Пример 2.
Функция ВБР объекта имеет вид Неправильное решение задачи: а) так как задан закон распределения Вейбулла:
при при б)
Из этого примера видно, что расхождение результатов расчета может быть недопустимо большим. В варианте «а» правильно рассчитан показатель Правильное решение задачи требует расчета значений показателя 1.4 Задачи для самостоятельного решения Задача
1. Наработка системы до отказа описывается экспоненциальным распределением с параметром Задача
2.
Наработка системы до отказа описывается нормальным распределением с параметрами m
= 400 ч, и 1.5 Контрольные вопросы и задания 1. Перечислите основные состояния, в которых может находиться система. 2. Что понимают под отказом системы? 3. Дайте определение понятия «надежность» и его составляющих. 4. По каким признакам выделены группы ПН? Перечислите их. 5. Назовите основные показатели безотказности (ремонтопригодности, долговечности, комплексные ПН). 6. Запишите основные расчетные соотношения, связывающие между собой показатели безотказности в общем случае. 7. Назовите области применения основных законов распределения наработки до отказа. 8. Дайте вероятностные и статистические определения показателей надежности невосстанавливаемых систем. 9. В чем отличие коэффициентов готовности и оперативной готовности невосстанавливаемых систем? 2. Методы расчета надежности невосстанавливаемых систем Освоение студентами следующих методик расчета надежности простых и сложных систем: 1) классический метод; 2) метод перебора состояний; 3) метод минимальных путей и сечений; 4) метод разложения относительно особого элемента. Закрепление знаний основных групп показателей надежности (ПН) простых и сложных систем и привития практических навыков количественной оценки этих показателей. В результате проведения занятия студенты должны знать: Особенности расчета надежности систем различной степени сложности с использованием вышеперечисленных методов, методологические основы этих методов и условия их применения для аналитической оценки показателей надежности систем, способы преобразования сложных структур в последовательно – параллельные. Студенты должны уметь: практически использовать изучаемые методы в инженерных расчетах надежности простых и сложных систем без восстановления; производить при необходимости преобразование сложноструктурных схем в эквивалентные по надежности последовательно – параллельные, оценивать при помощи вышеперечисленных методов показатели надежности невосстанавливаемых систем. 2.2 Основные теоретические положения по теме занятия При расчете вероятности безотказной работы, средней наработки до возникновения первого отказа элементы системы рассматриваются как невосстанавливаемые. В этом случае, если структура системы сводится к основному или резервному соединению элементов, при условии, что работа одного из параллельно соединенных элементов обеспечивает работоспособное состояние системы, показатели безотказности последней определяются по показателям безотказности элементов с использованием классического метода расчета надежности. Поскольку при основном соединении элементов (см. рис. 2.1, а) работоспособное состояние системы имеет место при совпадении работоспособных состояний всех элементов, то вероятность этого состояния системы определяется произведением вероятностей работоспособных состояний всех элементов. Если система состоит из п последовательно включенных элементов, то при вероятности безотказной работы каждого из элементов р i ( t ) вероятность безотказной работы системы
При параллельном соединении элементов и при условии, что для работы системы достаточно работы одного из включенных параллельно элементов, отказ системы является совместным событием, имеющим место при отказе всех параллельно включенных элементов. Если параллельно включены т элементов (см. рис. 2.1, б) и вероятность отказа каждого qj (t ) = 1— pj (t ), то вероятность отказа этой системы
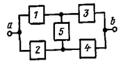
Если структурная схема надежности системы состоит из последовательно и параллельно соединенных элементов, то расчет ее надежности может быть произведен с использованием (2.1), (2.2).
![]() а) б) Рис. 2.1 . Соединение элементов системы: а – последовательное (основное); б – параллельное (резервное) Чтобы определить значение средней наработки системы до отказа и другие показатели надежности, требуется знать законы распределения времени безотказной работы элементов (наработки до отказа) системы. Поскольку на участке нормальной эксплуатации с удовлетворительной точностью в качестве закона распределения времени безотказной работы элементов может быть принят экспоненциальный, то при основном соединении элементов, если где Таким образом, при основном соединении элементов, имеющих экспоненциальный закон распределения времени безотказной работы, закон распределения времени безотказной работы системы также будет экспоненциальным, в соответствии с этим имеем:
При резервном соединении т элементов, имеющих экспоненциальный закон распределения времени безотказной работы, вероятность отказа группы параллельно включенных элементов:
Если все элементы равнонадежны и
Таким образом, при резервном соединении элементов экспоненциальный закон распределения времени безотказной работы не сохраняется. Рис. 2.2 . Мостиковая схема соединения элементов Во многих случаях рассмотренный выше способ расчета надежности не может быть использован, так как не всегда схема надежности содержит последовательно-параллельное соединение элементов. Существуют несколько разновидностей классического метода расчета надежности систем со сложной структурой, часть из которых будет рассмотрена ниже применительно к анализу надежности мостиковой схемы, изображенной на рис. 2.2. (Эта схема не сводится к последовательно-параллельному соединению элементов.) Для всех элементов схемы известны вероятности безотказной работы р1 , р2 , р3 , р4 , p5 и соответствующие им вероятности отказа типа «обрыв» q 1 , q 2 , q 3 , q 4 , q5 . Необходимо определить вероятность наличия цепи между точками а и b схемы. Метод перебора состояний. Расчету надежности любой системы независимо от используемого метода предшествует определение двух непересекающихся множеств состояний элементов, соответствующих работоспособному и неработоспособному состояниям системы. Каждое из этих состояний характеризуется набором элементов, находящихся в работоспособном и неработоспособном состояниях. Поскольку при независимых отказах вероятность каждого из состояний определяется произведением вероятностей нахождения элементов в соответствующих состояниях, то при числе состояний, равном т, вероятность работоспособного состояния системы
вероятность отказа
где т — общее число работоспособных состояний, в каждом j -м из которых число исправных элементов равно ij , а вышедших из строя — kj . Расчет с использованием метода перебора состояний удобно представить в виде табл. 2.1, где знаком плюс отмечены работоспособные состояния, а знаком минус — неработоспособные. В числовом примере все элементы приняты равнонадёжными с вероятностью безотказной работы, равной 0,9, за заданное время:
Из рассмотренного примера видно, что даже при сравнительно простой структуре применение метода перебора состояний сопряжено с громоздкими выкладками. Табл 2.1
Метод разложения относительно особого элемента.
Этот метод основан на использовании формулы полной вероятности. В сложной системе выделяется особый элемент, все возможные состояния Hi
которого образуют полную группу,
Второй сомножитель в (2.8) определяет вероятность состояния А при условии, что особый элемент находится в состоянии Hi . Рассмотрение Hi -го состояния особого элемента как безусловного позволяет упростить структурную схему надежности и свести ее к последовательно-параллельному соединению элементов. Так, в рассматриваемой мостиковой схеме выделение элемента 5 в качестве особого с двумя возможными состояниями (1 — наличие и 2 —отсутствие цепи) Р {Н 1 }=р5 ; Р {Н 2 }= q 5 позволяет от структурной схемы, представленной на рис. 2.2, перейти при безусловно исправном состоянии элемента 5 к схеме, представленной на рис. 2.3, а, При отказе элемента 5 структурная схема имеет вид, представленный на рис. 2.3, б. Если состояние А — наличие цепи между а и b , то в соответствии с (2.1) и (2.2) имеем:
Рис. 2.3. Структурные схемы мостикового соединения элементов, соответствующих наличию (а) цепи в элементе 5 и ее отсутствию (б) Сопоставление обоих методов расчета надежности показывает, что выделение особого элемента с последующим анализом упрощенных структурных схем существенно сокращает выкладки. Метод минимальных путей и сечений. В ряде случаев для анализа надежности сложной системы бывает достаточным определить граничные оценки надежности сверху и снизу. При оценке вероятности безотказной работы сверху определяют минимальные наборы работоспособных элементов (путей), обеспечивающих работоспособное состояние системы. При формировании пути, считая, что все элементы находятся в неработоспособном состоянии, последовательным переводом элементов в работоспособное состояние производят подбор вариантов соединений элементов, обеспечивающих наличие цепи. Набор элементов образует минимальный путь, если исключение любого элемента из набора приводит к отказу пути. Из этого вытекает, что в пределах одного пути элементы находятся в основном соединении, а сами пути включаются параллельно. Так, для рассмотренной мостиковой схемы (см. рис. 2.2) набор минимальных путей представлен на рис. 2.4. Поскольку один и тот же элемент включается в два параллельных пути, то в результате расчета получается оценка безотказности сверху:
При определении минимальных сечений осуществляется подбор минимального числа элементов, перевод которых из работоспособного состояния в неработоспособное вызывает отказ системы. При правильном подборе элементов сечения возвращение любого из элементов в работоспособное состояние восстанавливает работоспособное состояние системы. Поскольку отказ каждого из сечений вызывает отказ системы, то первые соединяются последовательно. В пределах каждого сечения элементы соединяются параллельно, так как для работы системы достаточно наличия работоспособного состояния любого из элементов сечения. Схема минимальных сечений для мостиковой схемы приведена на рис. 2.5. Поскольку один и тот же элемент включается в два сечения, то полученная оценка является оценкой снизу:
Рис. 2.4. Набор минимальных путей Рис. 2.5 . Набор минимальных сечений В рассматриваемом примере оценка безотказности снизу совпадает с фактической безотказностью, рассчитанной по первым двум методам. Таким образом, при составлении минимальных путей и сечений любая система преобразуется в структуру с параллельно-последовательным или последовательно-параллельным соединением элементов. 2.3 Примеры решения аудиторных задач Пример 1. Определить вероятность безотказной работы системы, структурная схема которой представлена на рис. 2.6.
![]()
Рис. 2.6Решение: Так как элементы рассматриваемой системы находятся в последовательно-параллельном соединении, то для расчета вероятности безотказной работы системы можно использовать классический метод: Пример 2. Определить вероятность безотказной работы системы, структурная схема которой представлена на рис. 2.7. Для расчета использовать метод минимальных путей и сечений. Рис. 2.7. Двойная мостиковая схема соединения элементов Решение: Определим минимальные наборы работоспособных элементов (путей), обеспечивающих работоспособное состояние системы. Схема минимальных путей представлена на рис. 2.8, а. Так как полученная схема является последовательно – параллельной, для расчета вероятности безотказной работы системы можно использовать классический метод:
а) б) Рис. 2.8. Набор минимальных путей (а) и набор минимальных сечений (б) Схема минимальных сечений представлена на рис. 2.8, б. Полученная схема также является последовательно – параллельной:
Решение: Используя формулу полной вероятности (2.8) и производя последовательное выделение двух особых элементов: пятого и шестого, получим вероятность безотказной работы двойной мостиковой схемы:
2.4 Задачи для самостоятельного решения Задача 1. Определить вероятность безотказной работы системы, структурная схема которой представлена на рис. 2.9.
Рис. 2.9 Задача 2. Определить вероятность безотказной работы системы, структурная схема которой представлена на рис. 2.10 с использованием методов: а) минимальных путей и сечений; б) разложения относительно особого элемента.
Рис. 2.10 2.5 Контрольные вопросы и задания 1. Какой элемент системы со сложной структурой выделяется в качестве особого? 2. Почему методы минимальных путей и сечений дают оценки надежности соответственно сверху и снизу? 3. Структурные схемы какого вида принято называть основным соединением элементов? 4. Назовите способы расчета показателей надежности системы через известные показатели надежности ее элементов при резервном соединении элементов. 5. В чем недостаток метода перебора состояний? 6. Что такое минимальный путь? 7. Что такое минимальное сечение? 8. Когда можно использовать классический метод расчета надежности? 3. Расчет надежности сложноструктурных систем логико-вероятностным методом Освоение студентами методики расчетов надежности сложно-структурных систем логико-вероятностными методами (ЛВМ) и привитие навыков их использования для оценки различных ПН. В результате проведения занятия студенты должны знать: особенности расчета надежности сложных систем с использованием ЛВМ, методологические основы этого способа и условия его применения для аналитической оценки ПН систем, способы эквивалентного преобразования сетевых НФС в последовательно-параллельные. Студенты должны уметь практически использовать положения ЛВМ в инженерных расчетах надежности сложно-структурных систем с восстановлением и без него; производить при необходимости преобразование сетевой НФС в эквивалентную ей по надежности параллельно-последовательную, оценивать с помощью ЛВМ различные ПН восстанавливаемых и невосстанавливаемых систем. 3.2 Основные теоретические положения по теме занятия Теоретической основой ЛВМ является математическая логика (булева алгебра), которая оперирует с логическими выражениями, имеющими значения «истинно» (1) или «ложно» (0). Логические выражения y являются функциями логических переменных x 1 , x 2 , …, xn , каждая из которых также может иметь значения 0 или 1. Из n переменных может быть образовано 2 n наборов и 22 n логических функций. Для преобразования алгебраических выражений используются следующие тождества и законы математической логики: закон коммутативности: закон ассоциативности: закон дистрибутивности: закон поглощения: Логические функции, которые применительно к задачам надежности принято называть функциями работоспособности (надежности), могут задаваться в словесной форме, таблицами истинности, алгебраическими выражениями или графиками. Для записи функции работоспособности в алгебраической форме используется одно из следующих выражений: или где yi – значение функции работоспособности для соответствующей строки, 0 или 1; mi – конъюнкция набора элементов i-ой строки; Mi – дизъюнкция набора элементов i -ой строки. Представление функции работоспособности в виде (3.1), включающем в каждую дизъюнкцию конъюнкции всех элементов, называют совершенной дизъюнктивной нормальной формой (СДНФ), а в виде (3.2) - совершенной конъюнктивной нормальной формой (СКНФ). Пример. В качестве примера рассмотрим функцию работоспособности системы, состоящей из трех элементов и заданной таблицей истинности 3.1. Табл. 3.1
Функция работоспособности в СДНФ имеет вид:
Функции работоспособности, записанные в СДНФ и СКНФ, не являются минимальными. Для минимизации функции работоспособности и приведения ее к бесповторной форме могут быть непосредственно использованы вышеприведенные тождества и законы. Для минимизации функции объединяют члены, различающиеся состоянием только одного элемента:
Функции работоспособности в бесповторной форме имеет вид:
Функция работоспособности в СКНФ в соответствии с (3.2) имеет вид:
Поскольку 1+x=1, то:
Для минимизации функции перемножим члены, стоящие в первой и второй, третьей и четвертой скобках. Учитывая, что
В соответствии с теоремой о поглощении из первой скобки уходят все конъюнкции, включающие x2 и x3 , а из второй скобки x1 :
И в СДНФ и в СКНФ получен одинаковый результат. Для записи функции работоспособности в минимальной бесповторной дизъюнктивной форме могут быть использованы минимальные пути, а в конъюнктивной – минимальные сечения. Принципы их определения рассмотрены в практическом занятии 2. Сопоставляя функции работоспособности в СДНФ и СКНФ, видим, что в них входят наборы из таблицы истинности, соответствующие y=1 и y=0. При расчете выбирают ту форму записи, которой соответствует меньшее число членов в (3.1) и (3.2). При числе переменных более трех таблицы истинности становятся громоздкими и непосредственная минимизация функции работоспособности становится затруднительной. Для снижения размерности задачи выполняют декомпозицию функции работоспособности, опирающуюся на теорему разложения математической логики. В качестве примера запишем функцию алгебры логики (ФАЛ) в виде СДНФ и СКНФ, описывающих условия работоспособности системы с НФС, изображенной на рис. 3.1.
![]()
Рис.3.1 ФАЛ, записанная через СДНФ по формуле (3.1), будет иметь вид:
ФАЛ, записанная по формуле (3.2) имеет вид:
Раскрыв скобки во втором выражении и сделав несложные преобразования, нетрудно убедиться, что эти выражения тождественны, однако запись ФАЛ через СКНФ получилась более громоздкой. Эта запись необходима при оценке ПН восстанавливаемых систем, о чем будет сказано дальше. При оценке надежности невосстанавливаемых систем запись ФАЛ через СКНФ может быть рекомендована лишь в том случае, когда в НФС явно преобладают параллельные соединения элементов. Особенностью ЛВМ является то, что для расчета ПН невосстанавливаемых и восстанавливаемых систем необходимо пользоваться различными методиками. 3.2.1. Методика расчета ПН невосстанавливаемых систем Обязательным условием выполнения расчетов ПН для невосстанавливаемых систем является получение ФАЛ в так называемой бесповторной форме. Как видно из приведенного примера, процедуры составления исходных ФАЛ и их приведение при необходимости в бесповторную форму для многокомпонентных систем могут оказаться весьма громоздкими и трудоемкими. Эти трудности возрастают при сетевых структурах систем, так как требуются специальные способы преобразования исходных повторных ФАЛ в бесповторные, то есть такие, в которых каждая логическая переменная присутствовала бы в прямом или инверсном виде лишь один раз. Для практического занятия достаточно изучить способ преобразования структуры типа "треугольник" в эквивалентную ей по характеристикам надежности структуру типа "звезда" и способ (алгоритм) разрезания (разложения исходной структуры по ключевым элементам). Рекомендованные способы преобразования НФС примерно равноценны лишь при условии разложения по одному ключевому элементу. Если таких элементов в исходной структуре несколько, проще использовать метод преобразования "треугольник-звезда". Однако в отличие oт алгоритма разрезания он может быть применен только тогда, когда в НФС имеются замкнутые контуры типа "треугольник". Перед тем, как рассмотреть способы получения бесповторных ФАЛ, сформулируем правила перехода от логической функции к вероятностной: 1) символ функции работоспособности 2) символы каждой логической переменной заменяются на вероятностный ПН соответствующего элемента системы, причем
3) конъюнкций из
4) дизъюнкция из М логических переменных переводится а выражение следующего вида:
где m полный набор номеров элементов НФС;
Перейдем к рассмотрению эквивалентных преобразований повторных ФАЛ в бесповторные. 3.2.2 Преобразование структуры типа «треугольник» в структуру типа «звезда» Сущность этого приема поясняется с помощью рис.3.2. Исходя из основного критерия эквивалентного преобразования равенства ПН цепей «треугольника» и «звезды» между одинаковыми точками и учитывая правила перехода от ФАЛ к ВФ (3.3) - (3.5), можно для структуры, показанной на рис. 3.2, составить систему уравнений:
Рис. 3. 2
В результате решения системы уравнений (3.6) определяются значения ПН элементов эквивалентной «звезды» Если в исходной НФС может быть выделено несколько звеньев типа «треугольник», преобразование делают одновременно для всех звеньев, как это показано на рис. 3.2. Для упрощения расчетов значений Еще раз обратившись к рис.3.2, определим простое правило составления уравнений (3.7): выражение записывается обязательно для вероятностей отказа, причем этот показатель для элемента «звезды», присоединяемого к какой-либо вершине «треугольника», равен произведению показателей элементов «треугольника», прилегающих к этой же вершине. Для дальнейших расчетов делается обратный перевод показателей Этот прием преобразования отличается от предыдущего универсальностью, то есть он может быть использован для любых типов структур. Однако он отличается большей трудоемкостью процедур, что определяет условие целесообразности его применения в тех случаях, когда преобразование «треугольник» — «звезда» не подходит. Метод основан на использовании формулы полной вероятности. Сущность приема заключается в следующем. В исходной НФС выбирают так называемый ключевой элемент с наибольшим числом связей с другими элементами структуры. После этого из исходной НФС получают две производные структуры: в первой этот элемент идеально надежен, во второй он всегда неработоспособен (отсутствует). Производные структуры могут быть представлены в виде схем или алгебраических выражений. При геометрической интерпретации в первой схеме вместо ключевого элемента ставится перемычка, во второй - делается разрыв. При алгебраической записи производных НФС их представляют в виде двух ФАЛ. Первую получают подстановкой в исходную ФАЛ вместо логической переменной ключевого элемента логическую единицу, вторую - подстановкой логического нуля. Первая производная ФАЛ умножается на истинное значение логической переменной ключевого элемента, вторая - на ее ложное значение (инверсию), после чего они арифметически суммируются. Если после первого шага разрезания производная НФС не превратится в параллельно-последовательную структуру, в каждой из них независимо друг от друга выбирают по указанному критерию следующий ключевой элемент и так до тех пор, пока преобразуемые структуры не примут параллельно-последовательный вид. Обращаем внимание на то, что в отличие от метода «треугольник – звезда» разложение по ключевым элементам должно выполняться итеративно. Одновременный выбор сразу нескольких ключевых элементов недопустим. Если необходимо выбрать несколько ключевых элементов, то алгебраическая форма разложения более целесообразна, так как уменьшает трудоемкость процедуры преобразований. Поэтому рассмотрим пример применения алгоритма разрезания с использованием алгебраической записи производной ФАЛ. Для расчетов с помощью ЛВМ средней наработки до отказа необходимо пользоваться формулой: предварительно составив ВФ для функции ВБР невосстанавливаемой системы Пример
. Пусть ВФ имеет вид Требуется определить Решение:
Аналогичный подход с использованием общей расчетной формулы: должен быть использован, если необходимо оценить интенсивность отказов систем. 3.2.4. Методика расчета ПН восстанавливаемых систем Способ расчета ПН восстанавливаемых систем с использованием ЛВМ имеет существенные отличия от вышерассмотренного подхода к расчету надежности систем без восстановления. Для этого случая предложена точная математическая модель, в основу которой положено составление исходной ФАЛ в виде СКНФ (3.2). Кроме обязательной записи ФАЛ для условия работоспособности системы через СДНФ, она к тому же не преобразуется в бесповторную форму. Полученную исходную ФАЛ рекомендуется упростить с помощью операции вынесения за скобки одинаковых членов в некоторых конъюнкциях. При этом должна быть сохранена конъюнктивная форма записи ФАЛ. Сгруппированные члены конъюнкций называют звеньями схемы ненадежности системы Каждое звено Представим функцию работоспособности, записанную через СДНФ для НФС, показанной на рис.3.1, в виде конъюнктивного набора звеньев:
Расчет ПН системы производится при следующих допущениях: 1) несмотря на повторную форму ФАЛ, зависимость отказов элементов отсутствует; 2) восстановительный ресурс не ограничен, а восстановление начинается немедленно после отказов; 3) потоки отказов и восстановлении элементов и системы близки к простейшим. В расчете используются следующие соотношения: а) ПН ветвей звеньев, состоящих из n элементов:
б) ПН звеньев, состоящих из m ветвей:
Учитывая, что
в) ПН системы, состоящей из r звеньев:
В заключение отметим, что если для восстанавливаемой системы требуется рассчитать только показатель Анализ рассмотренных методик позволяет оценить сильные и слабые стороны ЛВМ и тем самым определить область его применения: 1) ЛВМ позволяет оценивать качество структуры (структурную надежность) систем и степень влияния на ПН системы ее отдельных элементов; 2) ЛВМ применим при любых законах распределения случайных величин; 3) с помощью ЛВМ можно производить количественный расчет различных ПН невосстанавливаемых и восстанавливаемых систем с НФС любой сложности, если логические условия их нормального функционирования графически описываются последовательно-параллельными или сетевыми структурными схемами, а системы и их элементы характеризуются только двумя устойчивыми состояниями полной работоспособности или полного отказа. 3.3 Примеры решения аудиторных задач Пример 1. Рассчитать вероятность безотказной работы системы, НФС которой представлена на рис. 3.3.
Рис. 3.3 Решение:
В исходной НФС можно выделить две структуры типа «треугольник»:
Полученная схема является последовательно – параллельной структурой, поэтому вероятность безотказной работы можно рассчитать при помощи классического метода:
Рис. 3.4 Пример 2. Осуществить переход от ФАЛ к ВФ. Пусть исходная бесповторная ФАЛ имеет вид
Решение: ВБР системы запишется следующим образом:
Пример 3. Определить вероятность безотказной работы невосстанавливаемой системы, НФС которой изображена на рис. 3.1. Решение: ФАЛ, записанная через СДНФ по формуле (3.1), будет иметь вид Эта ФАЛ не является бесповторной. В ней элементами с наибольшим числом связей являются
Первая производная ФАЛ еще не стала бесповторной, вторая — бесповторная. Следует учитывать, что эти ФАЛ между собой независимы, поэтому наличие в них некоторых одинаковых логических переменных не имеет значения. Выбираем на втором шаге итерации в первой ФАЛ в качестве следующего ключевого элемента
На третьем шаге в выражении при
Обращаем внимание на то, что выражение при Полученное для
Пример 4. Невосстанавливаемая система описывается НФС, показанной на рис. 3.5. Элементы системы характеризуются следующими ПН:
Рис. 3.5 Необходимо рассчитать для оперативного времени
Решение: По заданной НФС составляется функция работоспособности в виде исходной ФАЛ. При заданной структуре более целесообразна запись ФАЛ через СДНФ:
В исходной ФАЛ нет контуров типа «треугольник», поэтому после предварительного группирования некоторых переменных применяем алгоритм разрезания. В качестве первого ключевого элемента наиболее целесообразно выбрать элемент
После первого шага разложения получилась бесповторная ФАЛ. По формулам (3.3) – (3.5) выполняем переход от ФАЛ к ВФ:
Запишем выражение для
Интенсивность отказов системы за 720 ч :
Пример 5 . Для восстанавливаемой системы с НФС, показанной на рис. 3.5, известны ПН элементов:
Рассчитать ПН системы: Решение : записываем функцию работоспособности в соответствии с формулой (3.2):
ПН ветвей:
Остальные ветви состоят из одиночных элементов, поэтому для них ПН ветвей совпадает с ПН элементов. ПН звеньев:
ПН системы:
Проверим расчетное значение
Сопоставление результатов расчетов обоими методами позволяет сделать вывод о их достаточно близком совпадении. 3.4 Задачи для самостоятельного решения Задача 1. Структурная надежностная схема невосстанавливаемой системы представлена на рис. 3.6. Известны показатели надежности элементов системы: p1 = p3 = p7 = 0,935, p2 = p6 = p10 = 0,863, p4 = p5 = p8 =0,9. Определить: - вероятность безотказной работы системы; - среднюю наработку системы до отказа; - интенсивность отказов.
Рис. 3.6
Задача 2. Из условия предыдущей задачи, рассматривая систему как восстанавливаемую, определить ее вероятность безотказной работы. 3.5 Контрольные вопросы и задания 1. Сформулируйте условия применимости ЛВМ для расчета надежности сложно- структурных систем. 2. Какие основные способы описания логических условий работоспособности систем используют в ЛВМ? 3. Что понимают под СДНФ и СКНФ? 4. Назовите основные правила перехода от ФАЛ к ВФ. 5. Какую ФАЛ называют бесповторной? 6. К каким процедурам сводится преобразование исходной повторной ФАЛ в эквивалентную ей бесповторную по методу «треугольник – звезда»? 7. К каким процедурам сводится преобразование исходной повторной ФАЛ в эквивалентную ей бесповторную для метода алгоритма разрезания? 8. Чем различаются методики аналитической оценки ПН для восстанавливаемых и невосстанавливаемых систем при использовании ЛВМ? 9. Как с помощью ЛВМ по известным 10. В каких случаях показатель 11. Перечислите основные достоинства и недостатки ЛВМ.
Освоение студентами методики расчетов надежности сложных систем с использованием метода переходных вероятностей, использующего аппарат марковских процессов с дискретным временем. В результате проведения занятия студенты должны знать: особенности расчета надежности сложных систем с использованием метода переходных вероятностей, методологические основы этого метода и условия его применения для аналитической оценки ПН восстанавливаемых систем. Студенты должны уметь практически использовать положения метода переходных вероятностей в инженерных расчетах надежности сложно-структурных систем с восстановлением; по размеченному графу состояний системы находить вероятности состояний. 4.2 Основные теоретические положения по теме занятия Рассмотрим физическую систему S , в которой протекает случайный процесс с дискретными состояниями: s1, s2, s3, …, si, …, (4.1) число которых конечно (или счетно). Состояния s 1, s 2, s 3, …, si , … могут быть качественными (т.е. описываться словами) или же каждое из них характеризуется случайной величиной. Для представления множества состояний (4.1) удобно пользоваться ориентированным графом состояний. Ориентированный граф – это совокупность точек (вершин) с соединяющими некоторые из них ориентированными отрезками (стрелками). Вершины графа будут соответствовать состояниям системы; стрелка, ведущая из одной вершины в другую, будет обозначать возможность перехода системы из одного состояния в другое непосредственно, минуя другие состояния. На практике очень часто встречаются системы, состояния которых образуют цепь (рис.4. 1), в которой каждое состояние si (кроме двух крайних s 0 и sn ) связано прямой и обратной связью с двумя соседними si -1 , si +1 , а каждое из двух крайних связано прямой и обратной связью только с одним соседним.
Такая схема случайного процесса называется схемой гибели и размножения , а сам процесс – процессом гибели и размножения . Предположим, техническое устройство (ТУ) состоит из n одинаковых узлов. Каждый из узлов может в момент t быть исправным или неисправным; если узел неисправен, его ремонтируют. Состояния si системы S (ТУ) могут быть пронумерованы по числу несправных узлов: S 0 - в ТУ нет неисправных узлов; S 1 – в ТУ один неисправный узел (какой - неважно); ………………………………………………………… Si – в ТУ i неисправных узлов (0<i<n ); ………………………………………………………… Sn – в ТУ все n узлов неисправны. Состояния s 0, ….., sn организованы по схеме гибели и размножения (рис. 4. 1); стрелки, идущие слева направо, отвечают увеличению числа неисправных узлов; перемещения системы S по этим стрелкам происходят под влиянием отказов узлов, т.е. перехода какого-то узла из исправного состояния в неисправное; стрелки, идущие справа налево – под влиянием ремонтов (восстановлений) узлов. Считается, что «перескок» системы S из состояния si не в соседнее с ним состояние si +1 или si -1 , а в какое-то другое из связанных с si состояний, практически невозможен (это связано с ординарностью потоков отказов и восстановлений). Очень многие случайные процессы организованы по схеме гибели и размножения. Если на графе состояний системы S стрелки, ведущие справа налево, отсутствуют, то говорят о процессе «чистого размножения», а в противоположном случае – о процессе «чистой гибели». При анализе случайных процессов, протекающих в системах с дискретными состояниями, важную роль играют вероятности состояний. Обозначим S ( t ) состояние системы в момент t . Вероятностью i -ого состояния в момент t называется вероятность события, состоящего в том, что в момент t система S будет в состоянии si : обозначим ее pi ( t ) :
где S ( t ) – случайное состояние системы S в момент t . Очевидно, что для системы с дискретными состояниями s 1, s 2, s 3, …, si , … в любой момент t сумма вероятностей состояний равна единице: как сумма вероятностей полной группы несовместных событий. Введем очень важное для дальнейшего понятие марковского случайного процесса. Случайный процесс, протекающий в системе S с дискретными состояниями s 1, s 2, s 3, …, si , … называется марковским , если для любого момента времени t 0 вероятность каждого из состояний системы в будущем (при t > t 0 ) зависит только от ее состояния в настоящем (при t = t 0 ) и не зависит от того, когда и как она пришла в это состояние; т.е. не зависит от ее поведения в прошлом (при t < t 0 ). «Настоящее» может быть задано не одним каким-то состоянием si
, а целым подмножеством состояний Марковские случайные процессы с дискретными состояниями и дискретным временем (цепи Маркова). Реализация случайного процесса блуждания системы по состояниям может иметь, например, такой вид:
Рассмотрим общий случай. Пусть происходит случайный процесс в системе S с дискретными состояниями s 1 , s 2 , …, si , …, sn , которые она может принимать в последовательности шагов с номерами 0, 1, 2, …, k , … Случайный процесс представляет собой последовательность событий вида
Распределение вероятностей (4.4) представляет собой не что иное, как одномерный закон распределения случайного процесса S ( t ), протекающего в системе S с «качественными» дискретными состояниями и дискретным временем t 0 , t 1 , t 2 , …, tk ,… Процесс, протекающий в системе S называется марковским процессом с дискретными состояниями и дискретным временем (или, короче, марковской цепью ), если выполняется следующее условие: для любого фиксированного момента времени (любого шага k 0 ) условные вероятности состояний системы в будущем (при k > k 0 ) зависят только от состояния в настоящем (при k = k 0 ) и не зависят от того, когда (на каком шаге, при k < k 0 ) и откуда система пришла в это состояние. Марковская цепь представляет собой разновидность марковского процесса, в котором будущее зависит от прошлого только через настоящее. Понятие «настоящего» может быть сформулировано по-разному; например, «на k 0 -ом шаге система находится в состоянии si », если вероятности состояний системы на последующих шагах зависят только от si , а не от предыдущих состояний системы. Если же эта вероятность зависит еще и от того, откуда (из какого состояния sj ) система пришла в состояние si , можно включить это состояние sj в описание «настоящего». Цепь, в которой условные вероятности состояний в будущем зависят только от состояния на данном, последнем, шаге и не зависят от предыдущих, иногда называют простой цепью маркова, в отличие от такой, где будущее зависит от состояний системы не только в настоящем на данном шаге, но и от ее состояний на нескольких предыдущих шагах; такую цепь называют сложной цепью Маркова. Из определения марковской цепи следует, что для нее вероятность перехода системы S в состояние sj на ( k +1) -м шаге зависит только от того, в каком состоянии si находилась система на предыдущем k -м шаге и не зависит от того, как она вела себя до этого k -ого шага. Основной задачей исследования марковской цепи является нахождение безусловных вероятностей
нахождения системы S
на любом (
k
-м)
шаге в состоянии si
; обозначим эту вероятность
Для нахождения этих вероятностей необходимо знать условные вероятности перехода системы S на k - м шаге в состояние sj , если известно, что она была в состоянии si . Обозначим эту вероятность
Вероятности Переходные вероятности
p 11 (k), p 22 (k), …, pjj (k), …, pnn (k). (4.8) Так как на каждом шаге система S
может находиться только в одном из взаимно исключающих состояний, то для любой i
-ой строки матрицы (5.7) сумма всех стоящих в ней вероятностей Матрица, обладающая таким свойством, называется стохастической
. Естественно, что все элементы стохастической матрицы отвечают условию Чтобы найти безусловные вероятности в сумме образующие единицу: Если известно, что в начальный момент система S находится во вполне определенном состоянии si , то вероятность pi (0) этого состояния в формуле (4.12) равна единице, а все остальные – нулю:
Цепь Маркова называется однородной , если переходные вероятности pij ( k ) не зависят от номера шага k : pij ( k )= pij . Матрица переходных вероятностей для однородной цепи Маркова имеет вид: При нахождении вероятностей состояний марковской цепи на k -ом шаге pi ( k ) ( k =1, 2, …) удобно пользоваться размеченным графом состояний системы S , где возле каждой стрелки, ведущей из состояния si в состояние sj , проставлена переходная вероятность pij ; вероятности задержки на размеченном графе не проставляются, а просто получаются дополнением до единицы суммы вероятностей, стоящих у всех стрелок, ведущих из данного состояния si . Образец такого размеченного графа состояний показан на рис. 4.2.
P31 P43 P45 Рис. 4.2. Для этого графа состояний вероятности задержек равны:
(на размеченном графе эти вероятности для простоты не проставляются). Теперь рассмотрим, как найти для однородной цепи Маркова безусловную вероятность нахождения системы S на k -ом шаге в состоянии sj ( j =1, 2, …, n ): если задана матрица переходных вероятностей Сделаем гипотезу, состоящую в том, что в начальный момент ( k =0) система находилась в состоянии si . Вероятность этой гипотезы равна: В предположении, что эта гипотеза имеет место, условная вероятность того, что система S
на первом шаге будет в состоянии sj
, равна переходной вероятности По формуле полной вероятности получим:
Таким образом, найдено распределение вероятностей системы S на первом шаге. Для нахождения распределения вероятностей на втором шаге, которое для цепи Маркова зависит только от распределение вероятностей на первом шаге и матрицы переходных вероятностей, опять сделаем гипотезу, состоящую в том, что на первом шаге система находится в состоянии si ; вероятность этой гипотезы нам уже известна и равна При этой гипотезе условная вероятность того, что на втором шаге система S будет в состоянии sj , равна: По формуле полной вероятности находим: Таким образом, получено распределение вероятностей (4.18) на втором шаге через распределение на первом шаге и матрицу 4.3 Примеры решения аудиторных задач Пример 1. Система S представляет собой техническое устройство (ТУ), а его возможные состояния: s 1 – ТУ работает исправно; s 2 – ТУ неисправно, но это не обнаружено; s 3 – неисправность обнаружена, ведется поиск ее источника; s 4 – источник неисправности найден, ведется ремонт ТУ; s 5 – проводится послеремонтный осмотр (после этого осмотра, если ТУ восстановлено в прежнем виде, оно возвращается в состояние s 1 , если нет – признается негодным и списывается); s 6 – ТУ списано за негодностью; s 7 – ведется профилактический осмотр ТУ (если обнаружена неисправность, ТУ направляется в ремонт). Граф состояний ТУ показан на рисунке 4.3. В дальнейшем мы всегда будем считать (не оговаривая это каждый раз отдельно), что переход («перескок») системы S из состояния si в другое состояние sj осуществляется мгновенно и что в любой момент времени система может находиться только в одном из своих состояний.
Рис. 4. 3 Пример 2. Рассматривается следующий процесс: система представляет собой техническое устройство (ТУ), которое осматривается в определенные моменты времени (скажем, через сутки), и ее состояние регистрируется в отчетной ведомости. Каждый осмотр с регистрацией представляет собой «шаг» процесса. Возможные состояния ТУ следующие: s 1 – полностью исправно; s 2 – частично неисправно, требует наладки; s 3 – обнаружена серьезная неисправность, требует ремонта; s 4 – признано непригодным, списано. Допустим, что как наладка, так и ремонт продолжаются менее суток и после их выполнения ТУ возвращается в состояние s
1
(полностью исправно) или списывается. Граф состояний ТУ имеет вид, изображенный на рис. 4.4. Очевидно, состояние s4
– поглощающее. Если известно, что в начальный момент ТУ полностью исправно, то
Рис. 4.4 Пример 3. В условиях примера 2 задана матрица переходных вероятностей Этой матрице соответствует размеченный граф состояний ТУ, изображенный на рис. 4.5. В начальный момент (t
0
=0
) ТУ находится в состоянии s
1
(исправно). Найти распределение вероятностей состояний ТУ для первых четырех шагов (k
=1, 2, 3, 4
); убедиться, что вероятность поглощающего состояния
P21 P13 P31 P12 P14 P24 P34 Рис . 4.5 Решение.
Так как в начальный момент (t
0
=0
) ТУ заведомо находится в состоянии s
1
, то:
Далее получим:
Мы убедились, что с возрастанием k
вероятность поглощающего состояния p
4
(k
) растет, тогда как вероятность p
1
(k
) состояния s
1
убывает. 4.4. Задачи для самостоятельного решения Задача 1. Рассматривается система S – станок с числовым программным управлением (ЧПУ), который может находиться в следующих состояниях: S1 – исправен и работает; S2 – неисправен; неисправность не обнаружена; S3 – неисправен, проводится средний ремонт; S4 – не работает, находится на профилактике; S5 – неисправен, проводится капитальный ремонт. Размеченный граф состояний станка с ЧПУ показан на рис. 4.6. Найти вероятности состояний станка с ЧПУ.
P14 P41 P43 P45 P31 P51 P12 P23 P25 Рис . 4.6 4.5 Контрольные вопросы и задания 1. При каких условиях марковские процессы с дискретным временем могут быть использованы для анализа надежности систем? 2. Какие характеристики надежности могут быть рассчитаны с использованием матрицы переходов? 3. Что называется ориентированным графом состояний? 4. Какой процесс называется процессом гибели и размножения? 5.Какой процесс называется марковским? 6. Какое условие должно выполняться для марковского процесса с дискретными состояниями и дискретным временем? 7. Какова основная задача исследования марковских цепей? 8. Что называется переходными вероятностями? 9. Какова методика определения вероятностей задержки системы в определенном состоянии? 10. Какая цепь Маркова называется однородной? 11. Какова методика нахождения распределения вероятностей состояний системы? 5. Марковские процессы с дискретным состоянием и непрерывным временем Освоение студентами методики расчетов надежности сложных систем с использованием метода переходных интенсивностей, использующего аппарат марковских процессов с непрерывным временем. В результате проведения занятия студенты должны знать: особенности расчета надежности сложных систем с использованием метода переходных интенсивностей, методологические основы этого метода и условия его применения для аналитической оценки ПН восстанавливаемых систем. Студенты должны уметь практически использовать положения метода переходных интенсивностей в инженерных расчетах надежности сложно-структурных систем с восстановлением; строить размеченный граф состояний системы; составлять систему уравнений Колмогорова непосредственно по виду графа состояний; определять вероятности состояний системы по размеченному графу состояний системы. 5.2 Основные теоретические положения по теме занятия Случайный процесс с дискретными состояниями и непрерывным временем называется марковским , если для любого момента времени t условные вероятности всех состояний системы S в будущем (при t < t 0 ) зависят только от того, когда и каким образом система пришла в это состояние. Другими словами, в марковском процессе будущее зависит от прошлого только через настоящее . Переходы системы S из работоспособного состояния в неработоспособное происходит под действием потока отказов, а переход системы из неработоспособного в работоспособное – под действием потока восстановлений. Теорию марковских процессов с дискретным состоянием и непрерывным временем будем излагать, предполагая, что переходы из состояния в состояние происходят под действием пуассоновских потоков событий (не обязательно стационарных). Отсутствие последействия в пуассоновском потоке позволит при фиксированном настоящем не заботиться о том, когда и как система оказалась в этом состоянии. Пусть на графе состояний системы S существует стрелка, ведущая из состояния si в одно из соседних состояний sj (рис. 5.1).
λij (t)
Рис . 5.1
Будем считать, что переход системы из работоспособного состояния si
в состояние отказа sj
осуществляется под воздействием пуассоновского потока отказов с интенсивностью Вероятность перехода системы из работоспособного состояния si
, в в котором она находилась в момент времени t
, в неработоспособное состояние sj
за элементарный промежуток времени Представим для вероятностей pi (t) систему обыкновенных дифференциальных уравнений (1) с переменными (в общем случае) коэффициентами. Эти уравнения называются уравнениями Колмогорова (по имени академика Колмогорова, предложившего такой метод анализа марковских процессов с дискретными состояниями и непрерывным временем):
( i =1, 2, …, n ). (5.1) Первая сумма в правой части формулы (5.1) распространяется на те значения j
, для которых возможен непосредственный переход из состояния отказа sj
в работоспособное состояние si
(т. е. для которых Систему дифференциальных уравнений (5.1) решают при начальных условиях, задающих вероятности состояний в начальный момент при t =0 :
причем для любого момента времени t выполняется нормировочное условие:
Это следует из того, что в любой момент t события образуют полную группу несовместных событий. Нормировочное условие (5.3) можно использовать вместо одного (любого) из дифференциальных уравнений (5.1). При составлении системы дифференциальных уравнений (5.1) удобно пользоваться размеченным графом состояний системы
, где возле каждой стрелки, ведущей из состояния si
в состояние sj
, стоит интенсивность Получить систему уравнений (5.1) можно непосредственно по виду графа состояний, если пользоваться следующим правилом: для каждого из возможных состояний системы записывается уравнение, в левой части которого Решение системы уравнений (5.1) осуществляется по известным правилам решения системы дифференциальных уравнений. Однако его можно существенно упростить, если учесть, что рассматриваемый процесс – процесс марковский стационарный, для которого производные 5.3 Примеры решения аудиторных задач Пример 1.
Определить вероятности состояний системы, структурная схема и граф состояний которой изображены на рис. 5.2. Известны интенсивности отказов элементов
а) б) Рис. 5.2
Решение. Число состояний системы – три. Состояние S0 – два элемента, входящие в систему, работоспособны. Состояние S1 – один из элементов, входящих в систему, в отказовом состоянии. Состояние S2 – оба элемента отказали. Интенсивности переходов системы в состояния S0 ; S1 ; S2 равны:
При помощи формулы 5.1 составим систему дифференциальных уравнений, с помощью которых можно определить вероятности состояний системы: Если считать рассматриваемый марковский процесс стационарным, то можно производные Четвертое уравнение для этой системы (при трех неизвестных) становится необходимым потому, сто первые три уравнения сводятся к двум. Решение системы уравнений дает
Пример 2. Размеченный граф состояний системы имеет вид, показанный на рис. 5.3. Написать уравнения Колмогорова для вероятностей состояний и указать, при каких начальных условиях их нужно решать, если в начальный момент система S с вероятностью 1/2 находится в состоянии S1 и с вероятностью 1/2 - в состоянии S2 .
λ35 λ54
Рис. 5.3 Решение. Уравнения Колмогорова имеют вид Любое из этих уравнений может быть отброшено, а соответствующая ему вероятность
Начальные условия, при которых надо будет решать систему дифференциальных уравнений, будут:
5.4 Задачи для самостоятельного решения Задача 1.
Техническая система S – вычислительный центр (ВЦ), состоящий из трех ЭВМ: 1, 2, 3. Каждая из ЭВМ выходит из строя (отказывает) независимо от других. Потоки отказов ЭВМ – пуассоновские с переменными интенсивностями, равными S1 – все ЭВМ исправны S2 – ЭВМ 1 отказала, ЭВМ 2 и ЭВМ 3 исправны; S3 – ЭВМ 2 отказала, ЭВМ 1 и ЭВМ 3 исправны; S4 - ЭВМ 3 отказала, ЭВМ 1 и ЭВМ 2 исправны; S5 - ЭВМ 1 и ЭВМ 2 отказали, а ЭВМ 3 исправна; S6 - ЭВМ 1 и ЭВМ 3 отказали, а ЭВМ 2 исправна; S7 - ЭВМ 2 и ЭВМ 3 отказали, а ЭВМ 1 исправна; S8 – все три ЭВМ отказали. Построить размеченный граф состояний ВЦ. Составить уравнения Колмогорова для вероятностей состояний p 1 ( t ),…, p 8 ( t ) . Записать нормировочное условие, позволяющее указать, при каких начальных условиях надо решать эту систему дифференциальных уравнений, если известно, что в начальный момент t =0 все ЭВМ исправны. 5.5 Контрольные вопросы и задания 1. При каких условиях марковские процессы с непрерывным временем могут быть использованы для анализа надежности систем? 2. Какое условие должно выполняться для марковского процесса с непрерывным временем? 3. Сформулируйте понятие «вероятностный процесс» и приведите примеры вероятностных процессов в ИС. 4. Изложите порядок определения вероятностей состояний марковского процесса с непрерывным временем по заданным интенсивностям переходов. 6. Изучение методики организации и обработки результатов определительных испытаний на надежность Закрепление знаний по организации и проведению определительных испытаний, методам оценки показателей надежности по результатам испытаний, а также привитие практических навыков планирования процедуры определительных испытаний и статистической обработки их результатов. В результате проведения занятий студенты должны: знать назначение определительных испытаний, основные планы и условия их проведения; методы статистической обработки результатов испытаний при определении оценок показателей надежности изделий; уметь разработать процедуру определительных испытаний с учетом эксплуатационных режимов и планов проведения; установить вид закона распределения времени безотказной работы или восстановления, а также оценить их параметры в условиях ограниченного статистического материала. 6.2 Основные теоретические положения по теме занятия Наиболее полная и достоверная информация о надежности изделий может быть получена в результате проведения испытаний. Это объясняется возможностью воспроизведения в процессе испытаний реальных условий функционирования отдельных изделий и сложных систем, а также исследования воздействия различных рабочих режимов и последствий всевозможных неблагоприятных факторов. Основными видами испытаний на надежность являются определительные испытания, предназначенные для статистической оценки числовых показателей надежности. Проведение определительных испытаний сопровождается значительными затратами времени и материальных средств. Действительно, поскольку оценки ПН связаны с вероятностными процессам повышение их достоверности требует достаточно большого количества испытываемых изделий. Продолжительность определительных испытаний обусловлена необходимостью выяснения сохраняемости свойств изделий на протяжении длительного интервала времени. Вышесказанное требует четкой организации и обоснованной методики проведения определительных испытаний. План проведения испытаний должен содержать следующие указания, шифруемые буквами на трех позициях: - начальный объем испытываемой выборки изделий обозначается буквой - восстановление отказавших при испытаниях образцов или его отсутствие обозначается следующим образом: U
-
отказавшие изделия не восстанавливают и не заменяют новыми, - признак окончания испытаний обозначается на третьей позиции следующим образом: N
- испытания завершаются после отказа всех N
поставленных на испытание изделий; Примерами шифров возможных планов могут быть Выбор плана непосредственно определяет организацию испытаний, их продолжительность, влияет на стоимость испытаний, а также на точность и достоверность получаемых результатов. Например, замена плана Увеличение объема выборки при плане Понятно, что выбор плана испытаний в каждом конкретном случае должен осуществляться в результате разумного компромисса между указанными факторами, носящими противоречивый характер, и возможностями их удовлетворения (ограничения на длительность испытаний, объем выборки, проведение восстановительных работ и пр.). Показатели надежности определяются в процессе статистической обработки результатов испытаний, представляющих собой зарегистрированный ряд времен безотказной работы и (или) восстановления. Понятно, что испытаниям подвергается не вся генеральная совокупность (все количество выпускаемых изделий), а лишь некоторая выборка объемом N . По результатам испытаний выборки судят о надежности всей генеральной совокупности. Естественные ограничения числа испытываемых изделий и продолжительности испытаний приводят к ограниченному объему статистического материала и, следовательно, необходимости учета особенностей его обработки. Статистическая обработка результатов определительных испытаний на надежность должна выполняться в следующей последовательности: представление экспериментальных данных в виде вариационного ряда времен безотказной работы или восстановления испытуемых изделий; построение гистограммы одной из количественных характеристик надежности; проверка допустимости предполагаемого закона распределения с использованием критерия согласия; интервальная или точечная оценка параметров принятого закона распределения. Исчерпывающей характеристикой надежности изделий является закон распределения времени безотказной работы. Однако, располагая ограниченным статистическим материалом, нельзя сделать достаточно достоверный вывод о виде закона распределения. В подобных ситуациях целесообразно воспользоваться рекомендациями теории проверки статистических гипотез [10, с. I49-158]. Применительно к задаче определения закона распределения времени до отказа по результатам определительных испытаний суть этих рекомендаций сводится к следующему. По данным полученного ряда времен безотказной работы изделий построим гистограмму одной из количественных характеристик надежности - вероятности безотказной работы где
Полученную гистограмму аппроксимируем кривой, которую назовем экспериментальной. По ее виду выдвигаем гипотезу о справедливости того или иного закона распределения случайной величины. Наиболее распространенными в теории и практике надежности являются законы экспоненциальный, нормальный, Вейбулла, гамма распределения. Строим теоретическую функцию распределения выбранного показателя надежности, соответствующего проверяемой гипотезе. Для того чтобы принять или отвергнуть выдвинутую гипотезу, рассмотрим некоторую величину Рассмотрим один из наиболее часто применяемых критериев согласия - 1. Определяем меры расхождения U по формуле: где k - число разрядов гистограммы, на которое разбивается весь диапазон значений времен безотказной работы или восстановления, полученных в процессе испытаний;
Для определения 2. Определяем число степеней свободы r как число разрядов k минус число наложенных связей s :
3. С помощью специальных таблиц (см. например, [10, с.567]) находим вероятность того, что расчетное значение случайной величины Заметим, что при применении критерия Пирсона достаточно большим должен быть, не только объем выборки, но и число попаданий случайной величины в отдельные разряды (не менее 5-10 значений). Если указанное условие не выполняется, для оценки правдоподобности выдвинутой гипотезы используется критерий А.Н. Колмогорова. Последний по сравнению с критерием 1. Определяем максимум модуля рассогласования 2. Вычисляем величину З. По специальной таблице [10, с.157] определяем вероятность Применительно к рассматриваемой задаче считаем, что проверяемая гипотеза о законе распределения времени до отказа подтверждается, если Следует помнить, что любое значение искомого параметра, вычисленное на основе ограниченного экспериментального материала, всегда содержит элемент случайности. Это приближенное, в некоторой степени случайное значение называется оценкой параметра. С задачей оценивания параметров закона распределения случайного времени приходится сталкиваться при статистической обработке результатов определительных испытаний, особенно при ограниченном объеме выборочных данных. Различают "точечные" и интервальные оценки. При достаточном по объему статистическом материале (порядка нескольких сотен значений) оценкой для математического ожидания параметра, например наработки на отказ, является среднее арифметическое наблюдаемых значений При Если объем статистических данных невелик (порядка нескольких десятков значений), замена, математического ожидания средним арифметическим приводит к существенной ошибке в оценке параметров, тем большей, чем меньше объем выборки. В подобных ситуациях следует воспользоваться интервальными оценками. При интервальных оценках определяется, какой интервал с заданной доверительной вероятностью где
Вероятность того, что математическое ожидание оцениваемого параметра выйдет за границы доверительного интервала называется уровнем значимости Обычно доверительные вероятности принимают равными 0,9; 0,95; 0,99 или уровни значимости соответственно 0,1; 0,05; 0,01. При оценки параметров законов распределения довольно часто достаточно установить только нижнюю или только верхнюю границы доверительного интервала, то есть имеет место односторонняя оценка. Доверительная вероятность в этом случае определяет меру доверия к невыходу оцениваемого параметра за соответствующую границу интервала. Причем Отметим, что доверительная вероятность характеризует степень достоверности интервальной оценки. Ширина доверительного интервала определяет точность оценки параметров. Для выбора методики определения числовых значений доверительного интервала необходимо знать вид закона распределения времени, а также величину доверительной вероятности. В случае экспоненциального закона распределения нижняя и верхняя границы интервальной оценки интенсивности отказов вычисляются по формулам
Для вычисления Входными параметрами являются: вероятность того, что число степеней свободы, равное - Величина В случае нормального закона распределения с точечными оценками параметров
где Доверительные границы дисперсии времени безотказной работы вычисляются с помощью формул:
6.3 Примеры решения аудиторных задач Пример1.
При испытаниях 10 образцов электрохимических элементов, отказы которых распределены нормально, был получен следующий ряд времен безотказной работы в часах: Определить Решение.
Используя известные формулы [10, с.317] для точечных оценок математического ожидания и дисперсии нормально распределенных величин, получим Нижнюю границу вычислим по формуле:
Здесь Для оценки верхней границы воспользуемся выражением:
Значит, можно с вероятностью не менее 0,9 утверждать, что среднее квадратичное отклонение времени безотказной работы испытываемых изделий не превысит 77,4 ч, а наработка на отказ будет не менее 109,6 ч. Пример 2.
При испытаниях по плану Определить двусторонний доверительный интервал для интенсивности отказов при Решение.
Для вычисления
Нижняя граница интенсивности отказов
Верхняя граница интенсивности отказов
Из решения задачи следует, что с вероятностью, не меньшей 0,9, можно считать, что интервал интенсивностей 6.4 Задачи для самостоятельного решения Задача 1. Определить число изделий, которое необходимо поставить на испытания по плану NUN , с тем чтобы обеспечить ширину доверительного интервала для Т 1 (точность результата испытаний) не больше 20% от предполагаемого Т 1 , равного 1000 часов при достоверности результата не менее 0,96. Задача 2. Определить доверительный интервал для Т 0 при доверительной вероятности 0,9 , если результаты испытаний по плану NRT следующие: N =2 ; T =72 ч ; tp =140 ч ; число отказов n =4. Задача 3. Определить двухсторонний доверительный интервал для КГ при доверительной вероятности 0,9 при условии, что T 0 = 100 ч, T = 1 ч, число восстановлений 10. 6.5 Контрольные вопросы и задания 1. Назовите цель определительных испытаний. 2.Какие существуют планы испытаний? 3. Что даст замена плана 4. Какие можно предложить планы для сокращения времени испытания? 5. Как скажется уменьшение выборки на достоверности и точности испытаний? 6. Как изменится достоверность испытаний, если при тех же требованиях к точности увеличить объем выборки? 7. Чем вызвана необходимость в интервальных оценках ПН вместо точечных? 8. Что такое уровень значимости? 9. Назовите особенности статистической обработки ограниченного объема полученного ряда времен работы до отказа. 10. Чем необходимо руководствоваться при выдвижении гипотезы о справедливости того или иного закона распределения? 7. Методика организации и обработки результатов контрольных испытаний на надежность Закрепление знаний по организации контрольных испытаний, правилам принятия решений о соответствии изделий установленным уровням надежности, а также привитие практических навыков выбора плана испытаний и способа статистической обработки их результатов. В результате проведения занятий студенты должны: знать назначение контрольных испытаний; основные статистические методы контроля надежности; методику организации проведения испытаний различными методами при заданных уровнях надежности и величинах ошибок первого и второго рода; уметь выбрать метод контрольных испытаний; рассчитать планы контроля по числу зарегистрированных отказов для заданной длительности испытаний; принять решение о соответствии или несоответствии контролируемых изделий установленному уровню надежности или о продолжении испытаний. 7.2 Основные теоретические положения по теме занятия Контрольные испытания предназначены для установления факта соответствия (или несоответствия) надежности выпускаемых изделий установленному уровню. Результаты контрольных испытаний менее информативны по сравнению с определительными, однако они в ряде случаев вполне удовлетворяют практическим запросам и требуют меньших затрат времени и средств на их организацию и проведение. Применяют один из трех основных методов статистического контроля надежности: одноступенчатый, двухступенчатый или метод последовательного анализа. При методе последовательного анализа объем выборки заранее не планируется. По результатам испытаний выборки случайного объема принимается одно из трех решений: принять или забраковать всю партию изделий, продолжить испытания. Испытания оканчиваются в случае первого или второго решения. Метод последовательного анализа наиболее экономичен по среднему объему испытываемой выборки, легко реализуем на практике. Недостаток данного метода - увеличение длительности контроля - может быть сведен к минимуму рациональной организацией испытаний. Метод последовательного анализа может быть рекомендован при испытаниях серийной продукции. При проведении контрольных испытаний о показателях надежности всей партии судят по результатам контроля случайной выборки ограниченного объема. Вполне понятно, что случайный характер и ограниченный объем выборки могут привести к ошибкам при оценке качества всей партии. При обработке результатов контроля нужно пользоваться задаваемыми предварительно ошибками первого и второго рода. Ошибка первого рода заключается в том, что испытываемая партия, будучи кондиционной, оценивается по результатам выборки как негодная. Назовем вероятность забраковать кондиционную партию риском поставщика и обозначим Кроме того, при контрольных испытаниях вводится два уровня ПН. Например, Проведение контроля ПН связано с принятием решения о приемке или браковке партии изделий. Процедура принятия решения сводится к проверке с помощью некоторого критерия соответствия результатов выборочного контроля требованиям заказчика. Причем используемый критерий в значительной мере задает методику построения графика для проведения испытаний. При проведении контроля ПН в качестве критерия применяется так называемое отношение правдоподобия где Понятно, что при контроле кондиционной партии Однако при решении вопроса о надежности всей партии возможны ошибки первого и второго рода. Чтобы их вероятности 1) если 2) если 3) если Величины Параметрами, по которым оценивается надежность, обычно служат число дефектных изделий в испытываемой выборке и число отказов за время испытаний, если задан закон распределения времени безотказной работы. Последнее относится как к восстанавливаемым, так и невосстанавливаемым изделиям. Если контроль проводится по числу дефектных изделий При контроле надежности небольшой по объему партии (число изделий не более 150) справедливо описание распределения числа дефектных изделий законом Пуассона. При контроле надежности больших партий (не менее 1000 экземпляров), а также восстанавливаемых изделий целесообразно пользоваться биномиальными планами. Методики расчёта планов контроля в табличной и графической формах для указанных законов распределения дефектных изделий рассмотрены в [7, с. 250-253]. Если для контролируемой партии известен закон распределения времени до отказа, можно воспользоваться методикой контроля надежности по числу зарегистрированных отказов для заданной длительности испытаний t . В случае экспоненциального закона распределения отношение правдоподобия Если подставить Партия принимается, если за время испытаний Партия бракуется, если число отказов Данные выражения, называются линиями приемки и браковки. Приемочные и браковочные числа отказов для ряда значений времени испытаний могут быть вычислены заранее и представлены в виде таблиц плана. Для практических целей удобнее план контроля построить в графической форме, которая изображена на рис. 7.1. Процедура контроля при этом следующая. В ходе испытаний фиксируется число отказов за время t , которое может быть представлено соответствующей точкой на плане испытаний. Если точка располагается выше линии браковки 1, испытания прекращаются и выносится решение о некондиционности испытываемой партии. Если точка попадает в зону приемки, контролируемая партия соответствует требованиям заказчика. При расположении точек между линиями приемки и браковки принимается решение о продолжении испытаний. Недостатком планирования контрольных испытаний является возможность многократных последовательных попаданий в зону неопределенности. Может быть назначена предельная продолжительность испытаний независимо от полученного результата. Она планируется так, чтобы результаты, испытаний могли быть использованы при их обработке другими методами. Из анализа планов контроля следует, что чем меньше риски поставщика и потребителя, тем шире зона неопределенности. Следовательно, при повышении достоверности результатов контроля увеличивается время испытаний и наоборот.
Рис. 7.1
Планы графиков контроля могут быть построены по трем характеристическим точкам Методика составления планов контроля и принятия решений в случае нормального закона распределения времени до отказа приведена в [7, с.254-256]. Построить график контрольных, испытаний, основанных на последовательном анализе, для следующих исходных данных: Для построения графика контрольных испытаний определим три характеристические точки:
График плана контрольных испытаний представлен на рис. 7.2.
Рис. 7.2
Рабочей точке 7.4 Контрольные вопросы и задания 1. Когда применяют контрольные испытания на надежность? 2. Чем различаются основные методы контрольных испытаний? 3. Преимущества метода последовательного анализа перед методом одноступенчатого контроля. 4. Проведите сравнительную характеристику методов последовательного и усечённого последовательного контроля. 5. Что учитывают ошибки первого и второго рода? 6. Для чего вводятся оценочные нормативы? 7. Что такое отношение правдоподобия? 8. Каковы основные этапы метода последовательного анализа? 9. Что такое, план последовательного контроля и как он строится? 10. Назовите различия в организации испытаний по методу последовательного анализа при контроле по длительности испытаний и числу дефектных изделий. 11. При каких условиях последовательные испытания должны продолжаться? Список литературы 1. Черкесов, Г.Н. Надежность аппаратно-программных комплексов [Текст]: учебное пособие/ Г.Н. Черкесов. - СПб.: Питер, 2005. – 479 с.: ил.; 24см. – Библиогр.: с.473. – 4000 экз. – ISBN 5-469-00102-4. 2. Ястребенецкий, М.А. Надежность автоматизированных систем управления технологическими процессами [Текст]: учебное пособие для вузов/ М.А. Ястребенецкий, Г.М. Иванова. - М.: Энергоатомиздат, 1989. – 264 с.: ил.; 21 см. – Библиогр.: с. 259-260. – 8700 экз. – ISBN 5-283-01549-1. 3. Вентцель, Е.С. Теория случайных процессов и ее инженерные приложения [Текст]: учебное пособие для вузов/ Е.С. Вентцель, Л.А. Овчаров. – 2-е изд., стер. - М.: Высшая школа, 2000. – 383 с.: ил.; 21 см. – Библиогр.: с.378-379. – 8000 экз. – ISBN 5-06-003831-9. 4. Вентцель, Е.С. Теория вероятностей [Текст]: учебник для вузов/ Е.С. Вентцель – 5-е изд. стер. - М.: Высш. шк., 1998. – 576 с.: ил.; 21 см. – 12000 экз. – ISBN 5-06-003522-0. 5. Гмурман, И.Е. Теория вероятностей и математическая статистика [Текст]: учебник для вузов/ И.Е. Гмурман; - 5-е изд. стер. – М.: Высшая школа, 2005. – 576 с.: ил.; 21 см. – 8000 экз. – ISBN 5-06-004214-6. Учебное издание Основина Ольга НиколаевнаНАДЕЖНОСТЬ ИНФОРМАЦИОННЫХ СИСТЕМ
Методические указания к практическим занятиям Редактор: Иванова Н.И. Компьютерный набор: Основина О.Н. Корректор: Иванова Н.И.
Подписано в печать___________ Бумага для множительной техники Формат ______ Усл. печ. л._____Тираж _____ экз. Заказ ______
Отпечатано с авторского оригинала в отделе оперативной печати СТИ МИСиС г. Старый Оскол, м-н Макаренко 40 |
|||||||||||||||||||||||||||||||||||||||||||||||||||||||||||||||||||||||||||||||||||||||||||||||||||||||||||||||||||||||||||||||||||||||||||||||||||||||||||||||||||||||||||||||||||||||||||||||||||||||||||||||||||||||||||||||||||||||||||||||||||||||||||||||||||||||||
Работы, похожие на Учебное пособие: Методические указания к практическим занятиям для студентов специальности 230201 Информационные системы и технологии
(1.5)


,

; (2.6)
, (2.7)
.














,
, (3.5)
(3.6)
(3.8)
.
;
;
.
и
(3.11)
;
(3.12)






Рис. 4. 1
(k
=
0, 1, 2, …).
(4.7)
(4.14)







,
. (6.4)
;
. (6.6)


. (7.2)
