Реферат: по спецкурсу физика и техника вакуума. Вакуумные трубопроводы. Сварные герметичные соединения
|
Название: по спецкурсу физика и техника вакуума. Вакуумные трубопроводы. Сварные герметичные соединения Раздел: Остальные рефераты Тип: реферат |
| БЕЛОРУССКИЙ ГОСУДАРСТВЕННЫЙ УНИВЕРСИТЕТ ФИЗИЧЕСКИЙ ФАКУЛЬТЕТКАФЕДРА ФИЗИКИ ТВЕРДОГО ТЕЛАРеферат по спецкурсу физика и техника вакуума. Вакуумные трубопроводы. Сварные герметичные соединения. Работа студента 5-го курса Эйзнера А.Б. Проверил преподавательДрако В.М. Минск 2002 г. Оглавление. 1. Вакуумные трубопроводы 3 2. Сварные герметичные соединения 6 1. Вакуумные трубопроводы. Элементы вакуумной системы, размещающиеся в вакуумных машинах и установках, связаны между собой по средствам соединительных соединений – трубопроводов. Трубопроводы могут быть гибкими или жесткими. Гибкие сложнее жестких и применяются для соединения элементов, не имеющих общей конструкционной базы. Допуск на их установку в этом случае допускает нескольких миллиметров. Конструктивные формы трубопроводов показаны на рис. 1. Длинна трубопровода обычно выбирается исходя из конструктивных соображений, связанных с удобством размещения элементов в каркасе вакуумной установки. Диаметр трубопровода определяется при проектировочном расчете исходя из требований к его проводимости.
Рис.1 Конструктивные формы трубопроводов: а – жесткий трубопровод; б – изогнутый трубопровод; в – сильфон гидроформованный; г – сильфон мембранный сварной. Вакуумные трубопроводы должны выдерживать атмосферное давление без разрушения или потери устойчивости. Номинальный диаметр отверстия в трубе называется условным проходным диаметром и обозначается Dy . Толщина S стенок трубопровода из условий его прочности для тонких стенок S/Dy < 0,05 определяют по формуле :
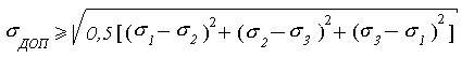
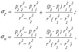
где pатм – атмосферное давление; С – прибавка на коррозию и технологический допуск; sдоп – допускаемое напряжение. Допускаемое напряжение принимается равным наименьшему из трех значений: st B / 2,6 ; st T / 1,5 ; st ДП / 1,5 , где st B , st T , st ДП – соответственно предел прочности, условный предел текучести, условный предел длительной прочности материала труб при их рабочей температуре. Величина прибавки С колеблется в пределах (0,05…0,18) S . Если в результате расчета S по выше приведенной формуле окажется, что S/Dy ≥ 0,05, то расчет следует уточнить по формулам, справедливым для толстостенных цилиндров. Распределение касательных sТ и нормальных sn напряжений в толстостенной трубе может быть определено по формулам:
где p1 и p2 – давления на наружной и внутренней стороне цилиндра; r1 и r2 – радиусы наружной и внутренней поверхностей цилиндра; r – текущее значение радиуса цилиндра. Если p2 = 0, то наиболее опасным является напряженное состояние внешних волокон трубы. Главные напряжения при r = r1 :
Исходя из четвертой теории прочности имеем:
Толщину стенки цилиндрических трубопроводов (м), особенно в случаях больших диаметров, следует проверять по условию устойчивости:
где ET – модуль упругости материала трубопровода; Dy и l – диаметр условного прохода и длинна трубопровода; С – допуск на толщину стенки, м. Зависимость модуля упругости от температуры для типовых конструкционных материалов трубопроводов показана на следующем рисунке 2:
Рис. 2 Зависимость модуля упругости материалов трубопровода от температуры: 1 – углеродистая сталь; 2 – легированные стали аустенитного класса.
2. Сварные герметичные соединения Для герметичного соединения деталей в вакуумной технике могут применяться следующие виды сварок: · газовая ацетиленовая; · электродуговая; · газодуговая в защитной среде; · холодная методом пластической деформации; · диффузионная в вакууме и сварка трением; · электронно-лучевая. Газовая ацетиленовая сварка применяется для малоуглеродистых сталей с толщиной стенки в месте сварки не более 2 мм. Герметичные соединения получают при сварке с отбортовкой; стыковая сварка деталей сверхвысоковакуумных систем не рекомендуется. Электродуговая сварка может применяться для соединения деталей низковакуумных систем с толщиной стенки более 2 мм. Лучшие результаты можно получить при автоматической сварке под слоем флюса. Для сверхвысоковакуумных систем она не рекомендуется из-за недостаточной герметичности. Газодуговая сварка в защитной среде с плавящимся и неплавящимся электродом для соединения различных металлов может применяться для всех типов вакуумных систем. Нержавеющая сталь, медь, алюминий при толщинах в месте сварки 0,1 до 2 мм свариваются в среде аргона или гелия вольфрамовым неплавящимся электродом. Лучшие результаты получаются при автоматической сварке в камерах, в которых после откачки воздуха напускается инертный газ. Холодная сварка методом пластической деформации применяется для соединения небольших деталей из пластичных материалов (медь, алюминий). Требует сложного прессового оборудования. Диффузионная сварка в вакууме и сварка трением применяется для соединения разнородных материалов: меди и керамики и т. д. Электронно-лучевая сварка применяется для соединения химически активных и тугоплавких материалов, ответственных узлов из стали, меди и алюминиевых сплавов. Сварка ведется в вакуумных камерах при давлении не более 10 -3 Па. Ко всем видам вакуумно-герметичной сварки предъявляются специальные требования. 1. Для получения герметичных соединений сварка должна вестись с постоянной скоростью; перерывы и подварки часто служат местом появления микротрещин, создающих течи. 2. Сварку желательно вести со стороны, обращенной в процессе эксплуатации в вакуум, для уменьшения количества щелей, карманов и неровностей тыльной стороны шва. 3. Допускается вогнутый шов в стыковых и угловых соединениях, получающийся при сварке без присадочного материала. 4. После изготовления сварные швы обязательно должны проверяться на герметичность с помощью вакуумных течеискателей. К конструкции и технологии обработки деталей, которые подготавливаются к сварке, предъявляются дополнительные требования: · детали перед сваркой тщательно очищаются и обезжириваются; · сопряжения между свариваемыми деталями должны выполняться по скользящей посадке. Детали для угловых швов можно подготавливать согласно одному из вариантов, показанных на рис. 3.
Рис.3 Конструкция угловых сварных соединений: а – без отбортовки; б – с отбортовкой; в – соединение деталей разной толщины. Вариант рис. 3, а рекомендуется для некруглых, а вариант рис. 3, б — для круглых деталей. Соединение тонкостенной трубы с толстой плитой показано на рис. 3, в. Особенностью этой сварки является дополнительное кольцо, выравнивающее толщины свариваемых деталей. Без этого кольца сварка невозможна из-за оплавления тонкостенной детали. Сварка фланца с обечайкой может быть выполнена различными способами, показанными на рис. 4.
Рис.4 Сварка фланцев с обечайкой: а – с подкладкой; б – без подкладки; в – с проточкой во фланце. Во всех случаях фланцы не требуют припуска на дополнительную обработку после сварки, так как соединяются одинаковые по толщине тонкостенные элементы, а массивный фланец не успевает даже нагреться за время сварки Сильфоны из нержавеющей стали, широко применяемые в высоковакуумной технике, могут иметь толщину стенки от 0,05 до 0,25 мм. Соединения сильфонов при сварке с трубами, фланцами и валами показано на рис. 5.
Рис.5 Сварка сильфонов: а – с трубой; 1 – труба; 2 – охранное кольцо; 3 – сильфон; б – с фланцем; 1 – фланец; 2 – охранное кольцо; 3 – сильфон; в – с валом; 1 – вал; 2 – охранное кольцо; 3 – сильфон. Примеры конструкций плоских, цилиндрических и угловых сварных вакуумных соединений с отбортовкой и без нее показаны на рис. 6.
Рис.6 Примеры конструкций вакуумных сварных соединений: а – стыковые без отбортовки для плоских деталей; в-ж – стыковые с отбортовкой для плоских деталей; з,к – угловые с отбортовкой для плоских деталей;л – соединение фланца с тонкостенной оболочкой; м – соединение днища с тонкостенной оболочкой. |









