Реферат: Эластичность и структура налогообложения
|
Название: Эластичность и структура налогообложения Раздел: Остальные рефераты Тип: реферат | ||
| Министерство образования и науки Российской Федерации МОСКОВСКИЙ ГОСУДАРСТВЕННЫЙ ИНСТИТУТ ЭЛЕКТРОНИКИ И МАТЕМАТИКИ (ТЕХНИЧЕСКИЙ УНИВЕРСИТЕТ) УТВЕРЖДАЮ ________________ М. Ф. Гуськова «___» ____________ ______ г. РЕФЕРАТ По дисциплине “Экономическая теория ” по теме: Эластичность и структура налогообложения. Руководитель темы ________________ М. Ф. Гуськова подпись Исполнитель темы ______________М.А.Мельников подпись ( группа С-75 ) Москва 2008 Содержание Введение…………………………………….……………………………….…………3 1.Эластичность спроса…………………………………………………….…………..41. 1. Изменение эластичности спроса…………………………………………...……51.2. Ценовая эластичность спроса……………………………………………………6 1.3. Эластичность спроса по цене……………………………………………….……7 2. Эластичность предложения…………………………………………………..……8 2.1. Факторы ценовой эластичности предложения……………….…………………9 2.2. Фактор времени и эластичность предложения………………...………………10 3. Налоги………………………………………………………………………………11 3.1. Классификация и структура налогов…………………………...………………12 Заключение……….……………………………………………..…………………….16 Список литературы……….………………………………….……………………….17 Введение В данном реферате рассматривается эластичность спроса по ценам, доходам, перекрестная эластичность, что позволяет оценить влияние перечисленных показателей на спрос, а также теория потребительского выбора, которая объясняет, каким образом покупатели предпочитают тратить получаемые ими доходы в целях максимального удовлетворения своих потребностей. Поэтому понятие эластичности имеет огромное значение для производителей товаров, т.к. дает ответ на вопрос о том на какую величину изменится объем спроса и предложения при изменении цены. Эластичность – одна из самых важных категорий экономической науки. Впервые она была введена в экономическую теорию А. Маршаллом и представляет собой выраженное в процентах изменение одной переменной в ответ на выраженное в процентах изменение другой переменной. Понятие эластичности позволяет выяснить, как происходит адаптация рынка к изменениям его факторов. Также данный реферат посвящен государственному налогооблажению, что является неотъемлемой частью экономической жизни страны. Подробна разобрана структура налогообложения, приведена схемя. 1.Эластичность спросаВ экономике широко распространено использование процентного исчисления для выражения способности одной переменной реагировать на изменение другой. Мера реакции одной величины на изменение другой называется эластичностью. Эластичность показывает, на сколько процентов изменится одна переменная экономическая величина при изменении другой на один процент. Примером может служить эластичность спроса по цене, которая представляет собой процентное изменение величины спроса на товар, вызванное 1-процентным изменением его цены, при неизменности всех прочих факторов, влияющих на объем спроса. Если обозначить цену Р, а величину спроса Q, то показатель (коэффициент) ценовой эластичности спроса Ер равен:
где Q — изменение величины спроса, %; Р — изменение цены, %; «Р» в индексе означает, что эластичность рассматривается по цене. Аналогично можно определить показатель эластичности по доходам или какой-то другой экономической величине. Показатель ценовой эластичности спроса для всех товаров является отрицательной величиной. Действительно, если цена товара снижается — величина спроса растет, и наоборот. Однако для оценки эластичности часто используется абсолютная величина показателя (знак «минус» опускается). Например, снижение цены стирального порошка на 5% вызвало увеличение спроса на него на 10%. Показатель эластичности будет равен:
Если абсолютная величина показателя ценовой эластичности спроса больше 1, то мы имеем дело с относительно эластичным спросом. Иными словами, изменение цены в данном случае приведет к большему количественному изменению величины спроса. Если абсолютная величина показателя ценовой эластичности спроса меньше 1, то спрос относительно неэластичен. В этом случае изменение цены повлечет за собой меньшее изменение величины спроса. При коэффициенте эластичности равном 1 говорят о единичной эластичности. В этом случае изменение цены приводит к такому же количественному изменению величины спроса. Существует два крайних случая: 1. Существование только одной цены, при которой товар будет приобретаться покупателями. Любое изменение цены приведет либо к полному отказу от приобретения данного товара (если цена повысится), либо к неограниченному увеличению спроса (если цена снизится). При этом спрос является абсолютно эластичным, показатель эластичности бесконечен. Графически этот случай можно изобразить в виде прямой, параллельной горизонтальной оси (рис. 1, а). Например, спрос на помидоры, продаваемые отдельным торговцем на городском рынке, абсолютно эластичен. Однако рыночный спрос на помидоры не является эластичным.
Рис. 1. Крайние случаи эластичности: а — спрос абсолютно эластичен, б — спрос абсолютно неэластичен 2. Изменение цены не отражается на величине спроса. График абсолютно неэластичного спроса (рис. 1,б) выглядит как прямая, перпендикулярная горизонтальной оси. Примером может служить спрос на отдельные виды лекарств, без которых больной не может обойтись, и т. п. Таким образом, абсолютная величина показателя ценовой эластичности спроса может изменяться от нуля до бесконечности:
1. 1. Измерение эластичности спросаГлавным фактором, влияющим на спрос, является цена. Эластичность спроса по цене (прямая эластичность спроса)— это степень чувствительности спроса на какой-нибудь товар к изменению цены на этот товар. Прямая эластичность спроса по цене показывает, на сколько процентов увеличится (уменьшится) спрос при уменьшении (увеличении) цены на данный товар на один процент. Для того, чтобы измерить эластичность спроса по цене необходимо подсчитать процентные изменения величины спроса и цены и соотнести их: Из этой формулы видно, что показатель эластичности зависит не только от соотношения приростов цены и объема или от наклона кривой спроса, но и от их фактических значений. Даже если наклон кривой спроса является постоянным, показатель эластичности будет различным для разных точек на этой кривой. 1.2. Ценовая эластичность спроса Согласно закону спроса, потребители при снижении цены будут приобретать большее количество продукции. Однако степень реакции потребителей на изменение цены может значительно варьироваться от продукта к продукту. Более того, как правило, реакция потребителей в отношении одной и той же продукции существенно варьируется при изменении цен в различных пределах. Экономисты измеряют степень чуткости, или чувствительности, потребителей к изменению цены продукции, используя концепцию ценовой эластичности. Для спроса на некоторые продукты характерна относительная чуткость потребителей к изменениям цен; небольшие изменения в цене приводят к значительным изменениям в количестве покупаемой продукции. Спрос на такие продукты принято называть относительно эластичным или просто эластичным. Что касается других продуктов, потребители относительно нечутки к изменению цен на них, то есть существенное изменение в цене ведет лишь к небольшому изменению в количестве покупок. В таких случаях спрос относительно неэластичный или просто неэластичный. Степень ценовой эластичности или неэластичности спроса экономисты измеряют при помощи коэффициента Ed, вычисленного по следующей формуле: процентное изменение количества Ed= спрашиваемой продукции процентное изменение цены Процентные изменения вычисляются путем деления величины изменения в цене на первоначальную цену и следующего за этим изменения в количестве спрашиваемой продукции на то количество продукции, на которое спрос предъявлялся первоначально. Поэтому формулу можно представить в виде: изменение количества Ed= спрашиваемой продукции
изменение цены 1.3. Эластичность спроса по цене Для принятия ценовых решений необходимо рассчитать перекрестные коэффициенты эластичности спроса от цен. Спрос на какой-либо товар зависит не только от его цены, но и от уровня цен на другие товары (в первую очередь заменяющие его). Коэффициент перекрестной эластичности показывает, на сколько процентов изменится спрос на данный товар при изменении цены на другой товар на один процент, при условии, что остальные цены и доход останутся неизменными.
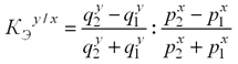
где KЭ y/x – коэффициент перекрестной эластичности спроса на товар у при изменении цены товара х; p1 x – начальный уровень цены товара х; p2 x – конечный уровень цены товара х; q1 y – начальный уровень объема спроса на товар у; q2 y – конечный уровень объема спроса на товар у. Взаимодополняющие товары – коэффициент перекрестной эластичности отрицательный. Взаимозаменяющие товары – коэффициент перекрестной эластичности положительный. Независимые товары – коэффициент перекрестной эластичности равен нулю. Учет перекрестной эластичности спроса по цене может существенно повлиять на принятие стратегических и тактических решений на конкурентном рынке Спрос на данный товар зависит не только от его собственной цены, но и от цен других товаров. Например, спрос на отечественные машины зависит не только от цены отечественных машин, но и от цен на иномарки сходного класса, запчасти, бензин и т.д. Перекрестная эластичность спроса по цене ( Формула расчета коэффициента эластичности:
Возможны три случая: 1. Если при росте (снижении) цены товара B спрос на товар A растет (снижается) то такие товары называются взаимозаменяемыми. В этом случае: Например, «Кока-Кола» подорожала на 10%, в результате чего спрос на нее снизился, зато спрос на «Пепси-Колу» вырос, допустим, на 15%. Следовательно, перекрестная эластичность спроса на «Пепси» по цене «Кока-Колы» равна:
10% Если же «Кока-Кола», напротив, подешевеет (процентное изменение цены будет отрицательным), то спрос на «Пепси» упадет (процентное изменение спроса будет отрицательным). Тогда и в числителе, и в знаменателе будут стоять числа с отрицательными знаками, но результат все равно будет положителен. 2. Если при росте (снижении) цены товара B спрос на товар A снижается (растет) то такие товары называются взаимодополняющими. В этом случае: Например, запчасти для автомобилей подорожали на 10%, в результате чего спрос на машины упал на 5%. Следовательно, перекрестная эластичность спроса на автомашины по цене запчастей равна:
10% В свою очередь при удешевлении запчастей спрос на машины возрастет, но эластичность спроса на автомобили по цене запчастей останется отрицательной. 3. Если при росте (снижении) цены товара B спрос на товар A не изменяется, то такие товары называются независимыми. В этом случае: Пусть подорожал (подешевел) цемент. Скорее всего, это не окажет никакого влияния на спрос на хлеб. Поэтому эластичность спроса на хлеб по цене цемента будет нулевой. 2. Эластичность предложения Концепция ценовой эластичности применима также и к предложению. Если производители чувствительны к изменениям цен, предложение эластично. И наоборот. Формула эластичности подходит и для определения степени эластичности или неэластичности предложения. Единственное необходимое изменение заключается в замене "процентного изменения количества спрашиваемой продукции" на "процентное изменение количества предлагаемой продукции". Важнейшим фактором, влияющим на эластичность предложения, является количество времени, имеющегося в распоряжении производителей, для того чтобы отреагировать на данное изменение цены продукта. Вообще говоря, следует ожидать, что чем продолжительнее время, которым располагает производитель, для того чтобы приспособиться к данному изменению цены, тем больше изменится объем производства и тем больше соответственно эластичность предложения. Потому, что реакция производителей на рост цены продукта X зависит от их способности перераспределить ресурсы в пользу производства продукта X за счет сокращения производства других продуктов. А перераспределение ресурсов требует времени: чем продолжительнее время, тем сильнее "подвижность" ресурсов. Следовательно, больше изменится объем производства и выше будет эластичность предложения. 2.1. Факторы ценовой эластичности предложения Измерив эластичность предложения по цене, можем получить ответ на вопрос, насколько производство той или иной продукции реагирует на изменение цены. Коэффициент ценовой эластичности предложения рассчитывается по той же формуле, что и коэффициент ценовой эластичности спроса. Различие лишь в том, что вместо величины спроса берется величина предложения: Eс = П1 -П0 : Ц1 -Ц0 (П1 +П0 )/2 (Ц1 +Ц0 )/2 где П0 и П1 — прежняя и новая величины предложения Ц0 и Ц1 — прежний и новый уровни цен «с» в индексе означает эластичность предложения. Поскольку кривая предложения обычно имеет положительный наклон (величина предложения растет по мере роста цены и снижается вместе с ее падением), эластичность предложения по цене положительна. Подобно эластичности спроса, эластичность предложения по цене бывает не только прямой, но и перекрестной. Последняя показывает, на сколько процентов изменяется предложение одного товара при изменении цены другого товара на 1%. Например, на сколько процентов вырастет предложение природного газа (добываемого попутно с нефтью) при возрастании цены нефти на 1%. В отношении прямой эластичности предложения по цене возможны три случая: 1. Если при некотором процентном изменении цены величина предложения товара изменяется в большей степени, чем цена, то предложение эластично по цене. В этом случае: 2. Если при некотором процентном изменении цены величина предложения товара изменяется в меньшей степени, чем цена, то предложение неэластично по цене. В этом случае: 3. Если при некотором процентном изменении цены величина предложения товара изменяется в той же степени, что и цена, то предложение характеризуется единичной эластичностью по цене. В этом случае: Ер s =1 Ценовая эластичность предложения выступает как прямая линейная зависимость между экономическими переменными, показывающими процентное изменение цен и объема предлагаемых к продаже товаров.
При единичной эластичности предложения 1% увеличения цены товаров вызывает 1% увеличения их предложения. В этом случае имеет место равновеликое изменение цен и количества предлагаемых товаров, коэффициент которого равен единице. Рис. 2. Варианты эластичности предложения: кривая А — единичная эластичность; кривая В — эластичное предложение; кривая С — неэластичное предложение В случае эластичного предложения 1% увеличения цены способен вызвать увеличение количества предлагаемого к продаже товара более, чем на 1%. Коэффициент эластичности здесь больше единицы. При неэластичном предложении увеличение цены не оказывает какого-либо влияния на увеличение количества предлагаемых к продаже товаров. Теоретически можно предусмотреть случай бесконечно эластичного предложения, которое на графике имело бы вид горизонтальной линии. Оно возможно как реакция увеличения поставок товара на рынок при крайне незначительном увеличении его цены. 2.2. Фактор времени и эластичность предложения Предложение, поскольку оно связано с изменением производственного процесса, медленнее адаптируется к изменению цены, чем спрос. Поэтому фактор времени является важнейшим в определении показателя эластичности. Обычно при оценке эластичности предложения рассматриваются три временных периода: краткосрочный, среднесрочный и долгосрочный. Кратчайший период , слишком короткий для производителя не хватит времени для того, чтобы изменить объем производства. Например, садовод, вырастивший яблоки и приехавший на рынок их продавать, не может изменить количество предлагаемых им яблок, какая бы ни сложилась рыночная цена. В этом случае предложение является неэластичным. Караткосрочный период достаточен для расширения или сокращения производства на уже существующих производственных мощностях, но недостаточен для введения новых мощностей. Эластичность предложения в этом случае более эластичное. Долгосрочный период предполагает расширение или сокращение фирмой своих производственных мощностей, а также приток новых фирм в отрасль при расширении спроса на данную продукцию или уход из нее при сокращении последнего. Эластичность предложения будет выше, чем в двух предыдущих случаях. 3. Налоги Налог - обязательный, индивидуально безвозмездный платёж, взимаемый с организаций и физических лиц в форме отчуждения принадлежащих им на праве собственности, хозяйственного ведения, или оперативного управления денежных средств, в целях финансового обеспечения деятельности государства или муниципальных образований (Ст.8 Налогового кодекса РФ)]. Согласно Налоговому кодексу РФ, налог считается установленным лишь в том случае, когда определены налогоплательщики и элементы налогообложения, а именно: объект налогообложения, налоговая база, налоговый период, налоговая ставка, порядок исчисления налога, порядок и сроки уплаты налога. Близким по смыслу понятием является сбор, уплата которого согласно российскому закону происходит не безвозмездно, а является одним из условий совершения в отношении плательщиков сборов государственными органами и должностными лицами юридически значимых действий, включая предоставление определенных прав или выдачу разрешений (лицензий). Налоговые правоотношения основаны на властном подчинении одной стороны другой. Они предполагают субординацию сторон, одной из которых — налоговому органу, действующему от имени государства, — принадлежит властное полномочие, а другой, налогоплательщику, — обязанность подчинения. Требования налогового органа и налоговое обязательство налогоплательщика следуют не из договора, а из закона. С публично-правовым характером налога и государственной казны и с фискальным суверенитетом государства связаны законодательная форма учреждения налога, обязательность и принудительность его изьятия, односторонний характер налоговых обязательств. Вследствие этого спор по поводу невыполнения налогового обязательства находится в рамках публичного (в данном случае налогового), а не гражданского права. 3.1. Классификация и структура налогов По способу взимания налогов различают прямые и косвенные налоги. Прямые налоги взимаются в процессе накопления материальных благ непосредственно с доходов или имущества налогоплательщиков. В этом случае размер налогового оклада точно известен налогоплательщику или его возможно рассчитать. В качестве примера можно привести подоходный налог, уплачиваемый физическими лицами, налог на прибыль предприятий и организаций, налог на имущество, переходящее в порядке наследования или дарения, и др. Косвенные (иначе – адвалорные) налоги взимаются через цену товара. Это своеобразные надбавки, включаемые государством в цену товаров и услуг (акцизы, налог на добавленную стоимость, налог с продаж, налог с оборота, специальный налог на поддержание основных отраслей народного хозяйства и др.). Сумму, уплачиваемую налогоплательщиком, в этом случае подсчитать практически не представляется возможным. Однако очевидно, что основную часть бремени по уплате этих налогов несут конечные потребители, т.е. физические лица. По субъекту-налогоплательщику выделяются следующие группы налогов: · налоги с физических лиц (подоходный налог с физических лиц, налог на имущество физических лиц, налог на имущество, переходящее в порядке наследования и дарения, курортный сбор и др.); · налоги с предприятий и организаций (налог на прибыль, налог на добавленную стоимость, акцизы, налог на пользователей автомобильных дорог, налог на имущество предприятий и организаций, сбор за использование наименований «Россия», «Российская Федерация» и образованных на их основе слов и словосочетаний и др.). Данная разновидность не случайно названа налоги с предприятий и организаций, а не налоги с юридических лиц. Это вызвано тем, что некоторые организации выступают плательщиками какого-либо налога, не являясь при этом юридическим лицом, в частности филиалы, представительства, обособленные структурные подразделения. Смешанные налоги, которые уплачивают как физические лица, так и предприятия и организации (госпошлина, некоторые таможенные пошлины, налог с владельцев транспортных средств и др.). По органу, который устанавливает и конкретизирует налоги Действующие в Российской Федерации налоги можно разделить на три группы в зависимости от того, какой орган их вводит и имеет право изменять и конкретизировать: федеральные налоги, региональные налоги и местные налоги. Федеральными признаются налоги и сборы, устанавливаемые Налоговым кодексом Российской Федерации и обязательные к уплате на всей ее территории. Региональными признаются налоги и сборы, устанавливаемые в соответствии с Налоговым кодексом Российской Федерации, вводимые в действие законами субъектов Российской Федерации и обязательные к уплате на территории соответствующих субъектов Российской Федерации. Устанавливая региональный налог, представительные органы власти субъектов Российской Федерации определяют следующие элементы налогообложения: налоговые льготы, налоговую ставку в пределах, установленных налоговым законодательством, порядок и сроки уплаты налога, а также форму отчетности по данному региональному налогу. Местными признаются налоги и сборы, устанавливаемые и вводимые в действие в соответствии с Налоговым кодексом Российской Федерации нормативными правовыми актами представительных органов местного самоуправления и обязательные к уплате на территории соответствующих муниципальных образований. К федеральным налогам и сборам относятся: · налог на добавленную стоимость; · акцизы на отдельные виды товаров (услуг) и отдельные виды минерального сырья; · налог на прибыль (доход) организаций; · налог на доходы капитала; · подоходный налог с физических лиц; · взносы в государственные социальные внебюджетные фонды; · государственная пошлина; · таможенная пошлина и таможенные сборы; · налог на пользование недрами; · налог на воспроизводство минерально-сырьевой базы; · налог на дополнительный доход от добычи углеводородов; · сбор за право пользования объектами животного мира и водными биологическими ресурсами; · лесной налог; · водный налог; · экологический налог; федеральные лицензионные сборы. К региональным налогам и сборам относятся: · налог на имущество организаций; · налог на недвижимость; · дорожный налог; · транспортный налог; · налог с продаж; · налог на игорный бизнес; · региональные лицензионные сборы. При введении в действие налога на недвижимость прекращается действие на территории соответствующего субъекта Российской Федерации налога на имущество организаций, налога на имущество физических лиц и земельного налога. К местным налогам и сборам относятся: · земельный налог; · налог на имущество физических лиц; · налог на рекламу; · налог на наследование или дарение; · местные лицензионные сборы. По уровню бюджета, в который зачисляется налоговый платеж налоговые платежи можно подразделить на закрепленные и регулирующие (разноуровневые). Закрепленные налоги непосредственно и целиком поступают в конкретный бюджет или внебюджетный фонд. Среди закрепленных налогов выделяют налоги, которые поступают в федеральный бюджет, в региональный бюджет, в местный бюджет, во внебюджетный фонд. Регулирующие (разноуровневые) налоги поступают одновременно в бюджеты различных уровней в пропорции согласно бюджетному законодательству. В современных условиях в налоговой системе России действуют такие регулирующие налоги, как налог на прибыль с предприятий и организаций и подоходный налог с физических лиц. Суммы отчислений по таким налогам, зачисляемые непосредственно в республиканский бюджет республики в составе Российской Федерации, в краевые, областные бюджеты краев и областей, областной бюджет автономной области, окружные бюджеты автономных округов и бюджеты других уровней, определяются при утверждении бюджета каждого из субъектов федерации. По целевой направленности введения налога можно выделить налоги абстрактные (общие) и целевые (специальные). Абстрактные (общие) налоги вводятся государством для формирования бюджета в целом, тогда как целевые (специальные) налоги вводятся для финансирования конкретного направления затрат государства К специальным относятся, например, сбор на нужды образовательных учреждений, взимаемый с юридических лиц, целевые сборы на содержание милиции, на благоустройство территорий и другие цели. Как правило, для целевых налоговых платежей создается специальный фонд (внебюджетный) или в самом бюджете для подобного вида налогов вводится специальная статья. Заключение Делая заключение по данной теме, я пришел к выводу, что изучение спроса на продукцию является очень важной задачей фирмы в условиях рынка. Одной из важнейших характеристик спроса является его эластичность. Оценка эластичности спроса (по цене, доходам покупателей и другим параметрам) позволяет фирме выбрать верную стратегию поведения на рынке. Также была подробно рассмотрена и разобрана система государственного налогообложения, приведена ее классификация, что позволяет лучше понять всю систему налогов Список литературы 1. Любимов Л.Л., Раннева Н. А. Основы экономических знаний. – М.: Издательство «Вита-Пресс», 1997. – 496 с. 2. Фишер С., Дорнбуш Р., Шмалензи Р. Экономика. Пер. с англ. со 2-го изд. – М.: «Дело », 2001. – 864 с. 3. http://ru.wikipedia.org/wiki 4. http://www.rus-nalog.ru/classnal.html |


