Реферат: Концепция замещения на пределе и равновесие потребителя. Эффекты замещения и дохода
|
Название: Концепция замещения на пределе и равновесие потребителя. Эффекты замещения и дохода Раздел: Остальные рефераты Тип: реферат | ||||||||||||||||||||||||||||||||||||||||||||||||||||||||||||||||||||||||||||||||||||||||||||||||||||||||||
| Силантьев В.Б., профессор кафедры ЭММ филиала ВЗФЭИ в г. Уфе ЭКОНОМИЧЕСКАЯ ТЕОРИЯ. Часть I. Общие основы экономической теории и микроэкономика Конспект лекций. Содержание: 1. Введение: предмет, метод, базовые понятия экономической теории 1.1. Предмет и метод общей экономической теории. 1.2. Базовые понятия экономической теории. Микро- и макроэкономика 1.3. Экономические системы и основные экономические школы. 1.4. Предмет, метод и базовые понятия микроэкономики 2. Рыночная система: спрос, предложение, ценообразование, конкуренция, государственное регулирование. Рыночное равновесие 2.1. Индивидуальный и рыночный спрос и предложение. Модель рынка 2.2. Эластичность спроса и предложения 2.3. Рыночное равновесие и саморегулирование. Общественное и государственное регулирование рынка 2.4. Развитие и применение теории спроса и предложения 3. Основы теории потребительского поведения 3.1. Основы, развитие и применение теории полезности 3.2. Полезность и ценность. Изолинии полезности и бюджетные линии. 3.3. Концепция замещения на пределе и равновесие потребителя. 3.4. Эффекты замещения и дохода 4. Теории производства, предприятия (предпринимательства) и фирмы 4.1. Теория производства. Производственная функция и закон убывающей предельной производительности 4.2. Взаимосвязь между производительностью и издержками: изокванты и изокосты 4.3. Равновесие производителя, условия минимизации издержек и максимизации прибыли 4.4. Рост производства, изоклиналь, эффекты масштаба и разнообразия 5. Основы теории предпринимательства и фирмы 5.1. Основные понятия предпринимательства 5.2. Природа фирмы 5.3. Развитие теории фирмы 5.4. Классификация фирм 6. Экономические издержки и экономическая прибыль 6.1. Бухгалтерские и экономические издержки и прибыль: специфика и взаимосвязь 6.2. Природа и взаимосвязь постоянных, переменных, валовых, средних и предельных издержек. Семейства кривых издержек и прибыли 6.3. Взаимосвязь между производственными и трансакционными издержками. 6.4. Особенности формирования издержек и прибыли в коротком и долгом периодах, взаимосвязь между ними 7. Типы и модели рынка и фирмы 7.1. Конкуренция: сущность, виды, закономерности развития, влияние на эффективность производства и предпринимательства. Эффективная конкуренция 7.2. Рынок и фирма в условиях совершенной конкуренции 7.3. Чистая монополия и монополистическая конкуренция 7.4. Виды и модели олигополии: от дуополии Курно до современной теории игр 8. Рынки факторов производства 8.1. Основы теории рынков факторов, особенности конкуренции, ценообразования, формирования спроса и предложения. Капитальные и арендные (прокатные) цены 8.2. Рынок труда и зарплата. Стоимость человеческого капитала как капитализированная зарплата 8.3. Рынок капитала и процент. Инвестиции как капиталообразование 8.4. Рынок земли. Капитальная цена земли и земельная рента 9. Общественное благосостояние, общее равновесие и эффективность. Необходимость вмешательства государства в экономику 9.1. Сущность и условия общественного благосостояния 9.2. Сущность и условия общего экономического равновесия 9.3. Принцип оптимума Парето 9.4. Несовершенство рынка и необходимость вмешательства государства в экономику 10. Внешние эффекты и общественные блага. Фиаско рынка и участие государства в экономике 10.1. Внешние эффекты 10.2. Общественные блага 10.3. Общие (совместно используемые) ресурсы 10.4. Микроэкономические основы государства Лекция 1. Введение: предмет, метод, базовые понятия экономической теории План 1.1. Предмет и метод общей экономической теории. 1.2. Базовые понятия экономической теории. Микро- и макроэкономика 1.3. Экономические системы и основные экономические школы. 1.4. Предмет, метод и базовые понятия микроэкономики 1.1. Предмет и метод общей экономической теории С момента появления экономической науки ее предмет, основные понятия, определения, структура и логика, разделы учебников изменялись вместе с изменениями условий общественной жизни и прошли следующие основные этапы: Экономия (economy , Ксенофонт, 424 г. до н.э., или Р.Х.) – первая из известных экономических наук как наука о ведении домашнего хозяйства в качестве элемента воспитания достойных граждан. Экономика считалась полезной для античного общества древних Греции и Рима в отличие от презренной хрематистики (Аристотель, ) – искусства делать деньги (в сфере оптовой торговли и ростовщичества). По мнению Аристотеля, экономика развивается в сфере производства полезных благ, а хрематистика – в сфере обращения. Политическая экономия (political economy , 1615 г, трактат Антуана де Монкретьена) – фундаментальная экономическая наука, изучающая методологические и теоретические проблемы экономической деятельности, производства, распределения, обмена и потребления экономических благ, рационального использования экономических ресурсов. В различных школах экономической мысли существовали следующие определения предмета политической экономии: Меркантилизм – наука о видах деятельности, связанных с обменом и торговлей между людьми (и странами); классическая политэкономия – наука о богатстве общества («богатстве народов»); марксистская политэкономия – наука о производственных отношениях – отношениях между людьми, складывающихся в процессе производства, распределения, обмена и потребления жизненных благ на разных этапах развития человеческого общества; маржинализм – экономическая наука о деятельности людей по удовлетворению своих потребностей путем использования ограниченных производственных ресурсов; новая историческая школа – наука о повседневной деловой жизни и деятельности людей в разные эпохи и в разных странах. Экономикс (economics, А. Маршалл, экономика во множественном числе, с акцентом на разнообразие) – наука об использовании людьми всех редких или ограниченных производственных ресурсов (земли, труда, капитала, предпринимательских способностей, прав собственности и хозяйствования, информации, ноу-хау) для производства товаров и услуг, их распределения и обмена между членами общества в целях потребления. К концу прошлого века сложилось основное течение (main stream) современной экономической теории на основе синтеза ее основных альтернативных направлений. В их числе: неоклассика – развитие классической ЭТ под влиянием «маржиналистской революции» и концепции «замещения на пределе». Неоклассическая микроэкономика сложилась в насторящем виде к концу 30-х гг. XX в.; кейнсианство – экономическое течение современного либерализма, обосновывающее необходимость государственного стимулирования эффективного спроса. Закладывает основы современной теоретической макроэкономики и быстро эволюционирует в соответствии с развитием реальной экономики; неоклассический синтез – синтез неоклассической микроэкономики с кейнсианской макроэкономикой; монетаризм — неоклассическая экономическая теория, приписывающая денежной системе определяющую роль в процессе изменения экономической конъюнктуры; новая политическая экономия (теории рациональных ожиданий и общественного выбора) – наука, изучающая различные способы и методы, посредством которых люди используют правительственные учреждения в собственных интересах; институционализм — экономическая наука об институтах, внутри и посредством которых осуществляется кругооборот экономических благ; неокейнсианский синтез теорий неоэкономики – совокупность экономических теорий глобализации, постиндустриализации, экономики знаний и др. В зависимости от уровня и масштаба экономики, с которыми связана экономическая теория, она подразделяется на микроэкономику и макроэкономику. Микроэкономика (microeconomics ) – раздел экономической науки, изучающий деятельность отдельных экономических агентов (индивидов, домохозяйств, фирм и др.) и их поведение на отраслевых и функциональных рынках. Макроэкономика (macroeconomics ) – раздел экономической науки, изучающий экономику как единое целое, – проблемы безработицы, инфляции, финансов, государственного регулирования, взаимодействия политики и экономики и т. д. В зависимости от целей познавательной деятельности экономическая наука подразделяется на позитивную и нормативную. Позитивная экономическая наука (positive economics ) – познание, объяснение и прогнозирование объективно складывающихся экономических явлений и процессов. Нормативная экономическая наука (normative economics ) — выяснение условий достижения индивидами, фирмами или обществом в целом максимального результата при данных затратах, наука о рациональном (прежде всего в рамках рыночной экономики) поведении людей и деятельности институтов. Метод (от греч. methodos – путь к чему-либо) – учение о происхождении, структуре и способах применения всей совокупности познавательных средств. В наиболее широком смысле к методу науки относятся логика и весь разработанный в ее рамках научный аппарат. Формальная логика – наука, изучающая мысль со стороны ее структуры, формы; совокупность общезначимых форм и средств мысли, необходимых для рационального познания. Понятие — мысль о предмете. Суждение — метод соединения понятий, в результате которого формулируется утверждение, отрицающее или подтверждающее что-либо. Умозаключение – метод мышления, с помощью которого из исходного знания получается новое знание. Анализ – метод научного (рационального) мышления, который предполагает не только изучение частей, из которых состоит целое, но и установление отношений между частями. Служит установлению одинаковой структуры предметов, что позволяет переносить знание, полученное при изучении одних предметов, на другие. В результате анализа общих свойств или отношений понятия о них сводятся к более общим и простым понятиям. Разделение классов (множеств) предметов на подклассы называют классификацией. Синтез – метод теоретического исследования, заключающийся в соединении частей в целое и изучении тех свойств целого, которые характеризуются знаменитой максимой – целое больше суммы частей . Индукция – метод познания «от частного к общему» и вид обобщения на основе эмпирических данных. Дедукция – метод познания, заключающийся в переходе от общего к частному. Сравнение – метод определения сходств и различий явлений и процессов. Аналогия – метод теоретического исследования, основанный на переносе свойств с известного объекта на неизвестный. Антиномия (от греч. antinomia – против закона) — противоречие, в котором тезис и антитезис имеют равную силу. Апория (от греч. aporia – затруднение, недоумение) – утверждение, противоречащее практическому опыту. Проблема – четко сформулированный вопрос или комплекс вопросов, возникший в процессе познания. Гипотеза – метод познания, заключающийся в выдвижении научно обоснованного предположения о природе, структуре или закономерностях развития явлений и процессов. Доказательство – метод (процесс) нахождения убедительных оснований. Диалектическая логика – наука о наиболее общих законах процесса познания. Полезно сопоставить квадриги законов формальной и диалектической логики: тождества – противоречия – исключенного третьего (Аристотель) – достаточного основания (Лейбниц); единства и борьбы противоположностей – отрицания отрицания – меры (взаимоперехода качественных и количественных изменений) – необходимого и достаточного разнообразия (взаимоперехода равновесной динамики и динамического равновесия). Математическая логика – наука, применяющая математические средства и методы для исследования мышления, познания и понимания с помощью измерений и вычислений, т.е. искусственных формализованных языков. Модель экономическая – формализованное описание экономического явления или процесса, структура которого определяется как его объективными свойствами, так и субъективным опосредствованным (целевым, методологическим, методическим) характером исследования. 1.2. Базовые понятия экономической теории, микро- и макроэкономика Наука как упорядоченное знание (А. Эйнштейн, Е. Гинзбург) является системой идеологических систем. Идей упорядочения знаний может быть много. Поэтому много и научных систем economics. Выбор не может быть безупречным. «Наука, при всех своих недостатках, на сегодня является единственной рефлексивной и самокорректирующейся из разработанных человечеством идеологических систем; несмотря на интеллектуальную инерцию, встроенный консерватизм и сплочение рядов в попытке подавить распространение ереси [и околесицы заблуждений], научное сообщество остается верным идеалу интеллектуальной состязательности, в которой единственным разрешенным оружием являются факты и аргументы, [рассуждения и] логические доказательства. Отдельно взятые ученые иногда не соответствуют этим идеалам, но научное сообщество в целом являет собой образцовый пример открытого общества» (М. Блауг. Методология ..., с. 96). [Его основой является неформализованный (эзотерический, значимый для посвященных) институт интеллектуальной собственности]. Экономика (от греч. Oikonomike – искусство ведения хозяйства, домоводство, эконом, oikonomos – управляющий домом, бережливый, хозяйственный человек, заведующий хозяйством) – БЭС, С. 1245: 1. Народное хозяйство, включающее отрасли материального производства и непроизводственной сферы; 2. Научная дисциплина, занимающаяся изучением секторов (промышленность, сельское хозяйство, услуги [нефинансовый, финансовый, органов общего государственного управления, домохозяйств, некоммерческих неприбыльных предприятий, обслуживающих домашние х-ва (экономику)]) и отраслей хозяйства страны или отдельных ее регионов, а также некоторых условий и элементов пр-ва. (Далее дается 26 уточнений термина и соответственно его определения). 1. Атомистическая – экономика, характеризующаяся высокой степенью конкуренции, возникающей со стороны большого числа независимых производителей во всех отраслях. ... ощутимо воздействовать на цены отдельные производители и покупатели не могут. Возможна атомистическая структура отдельных отраслей. 2. Дефицитная – форма плановой государственной экономики, при которой упор делается на регулирование материальных потоков вне тесной увязки с финансами, ценами, кредитами. В такой экономике создается условный дефицит большинства товаров. 3. Закрытая – не экспортирующая и не импортирующая товары и услуги. 4. Классическая саморегулирующаяся –модель экономики с настолько гибкими ценами на конечную продукцию и факторы производства, что их изменение позволяет уже в краткосрочный период выровняться соотношению между совокупным спросом и предложением. 5. Командная – ... при которой материальные ресурсы оставляют государственную собственность, а направление и координация экономической деятельности осуществляются посредством централизованного планирования, управления и контроля. 6. Конкурентная, см. рыночная свободная – экономика, основанная на свободной рыночной конкуренции товаров, услуг и ценных бумаг без вмешательства в процесс купли-продажи государства или органов МСУ. 7. Латентная – разновидность теневой экономики, имеющей ярко выраженный криминогенный характер, когда значительную часть экономики составляет хозяйственно-скрытая деятельность, запрещенная законом, в том числе связанная с нарушением правил валютных операций, взяточничеством, приписками, кражами, обманом покупателей, спекуляцией (?!), вымогательством. 8. Математическая экономика –направление теоретической экономикой, использующее математическое моделирование и методы для выявления закономерностей и методов в экономических системах. Развивалась в трудах (А. Курно, Л. Вальраса, В. Парето, Е. Слуцкого) Дж. Фон Неймана, К. Эрроу, М. Моришимы и др. 9. Многоукладная экономика по Громану – народное х-во есть органическое единство многоукладных форм. Борьба между ними происходит по-разному в условиях прогрессивного развития и при регрессе. Громан Владимир Густавович (1874-1932) экономист и статистик, единомышленник В. Базарова, рассматривал экономику переходного периода как разновидность капиталистической, выступал за ГМК германского образца. 10. Неофициальная – скрываемые от контроля виды экономической деятельности, либо запрещенные законы, либо разрешенные, но не зарегистрированные в установленном порядке или отражаемые в учете не в полном объеме. 11. Открытая – экономика, интегрированная в мировую, в которой не существует ограничений на экспорт и импорт товаров и услуг, или эти ограничения минимальны. 12. Подпольная – контрабанда и нелегальная торговля товаром, производство и распространение которого запрещено законом. 13. Экономика предложения – теория, согласно которой для борьбы с инфляцией необходимо адекватное предложение товаров, а для стимулирования их производства – более высокие темпы увеличения капиталовложений через снижение налогов и налоговые кредиты, а рост производства компенсирует потери от первоначального снижения налогов. Теория возникла в 70-е гг. в противовес теории эффективного спроса. Теория опровергает кейнсианский тезис о том, что снижение налогов увязано [исключительно] с ростом совокупного спроса. 14. Экономика предприятия – совокупность экономических процессов, протекающих на предприятии. Частная дисциплина экономической науки, часть микроэкономики, делится на функциональные дисциплины (экономика производства, сбыта, снабжения и т.п.) и «институциональные» дисциплины (науки о банках, страховых компаниях, торговле и т.п.). 15. Экономика растущая – экономика, в которой чистый объем частных внутренних инвестиций больше нуля, или, что то же самое, валовой объем частных внутренних инвестиций больше суммы амортизационных отчислений. (Рост экономический, с. 903: критерий экономического развития (с ростом) выражается в росте ВВП, ВНП или НД в абсолютной величине или на душу населения. Интенсивный – за счет более эффективного использования ресурсов, экстенсивный – за счет увеличения объема используемых ресурсов. Гармоничный, устойчивый, равновесный ...). 16. Экономика рыночная – система организации национальной экономики, основанная на товарно-денежных отношениях, множественности форм собственности, свободной конкуренции производителей и граждан, являющихся собственниками своей рабочей силы. В ее рамках функционируют следующие основные рынки: 1) товаров и услуг, 2) труда, 3) финансовых ресурсов, 4) землепользования (и 5) землевладения, 6) капитала, 7) технологий, 8) информации, 9) инноваций, 10) ноу-хау, 11) прав собственности, в т.ч. интеллектуальной. По степени государственного регулирования различают 1) рыночную модель, 2) либеральную модель, 3) модель социально ориентированную (со значительным вмешательством государства), 4) модель «социального рыночного хозяйства» (термин впервые появился в 1947 г. в работе госсекретаря Федерального министерства экономики ФРГ профессора А. Мюллера-Армака. Затем разрабатывалась В. Репке, Л. Эрхардом и др. Создание социального рыночного хозяйства как главной задаче экономической политики впервые объявил канцлер К. Аденауэр. Модель СРХ рассматривалась как «третий путь» между капитализмом и тоталитарной административной экономикой). При всей множественности и специфичности вариантов главными принципами современной рыночной экономики являются: 1) многоукладность, 2) активное вмешательство государства, 3) использование высокоразвитой технологии как основы экономического роста, 4) свобода предпринимательства, профессионального и потребительского выбора, 5) основой выбора являются экономические интересы (предприниматели заинтересованы в максимизации прибыли, потребители – полезности), 6) свобода конкуренции – столкновения и борьбы интересов, 7) развитое денежное хозяйство, 8) интеграция денежных рынков в финансовую систему. 17. Экономика рыночная регулируемая – рыночная экономика, в которой весьма существенно присутствие государства, прямого или косвенного государственного регулирования рынка. 18. Экономика смешанная – структура экономического пространства, когда частная система управляется рыночным механизмом, а общественные институты и правительство, опираясь на рыночный механизм, воздействуют на экономику посредством директив и налоговой политики. 19. Экономика со снижающейся деловой активностью – экономика с отрицательными темпами роста, явлением, возникающим из-за того, что объем чистых внутренних инвестиций меньше нуля, т.е. (с отрицательной капитализацией – декапитализацией) валовой объем частных внутренних инвестиций меньше общей суммы амортизационных отчислений. 19. Экономика статичная – 1. Экономика, в которой объем чистых частных внутренних инвестиций равен нулю, а валовой объем частных внутренних инвестиций равен сумме амортизационных отчислений; 2) в которой предложение ресурсов, техника и технология, вкусы потребителей не изменяются и поэтому ее будущее вполне предсказуемо. 20. Теневая экономика – скрываемые от гос-ва и общественности социально-экономические отношения, в т.ч. по использованию гос. собственности в личных или групповых интересах. Структура теневой экономики: 1) криминальная экономика – «встроенные» в официальную экономику экономическая преступность (хищения, корыстные должностные и хозяйственные преступления), подпольная, скрываемая от всех форм контроля экономическая деятельность (наркобизнес, торговля оружием, людьми, азартные игры, проституция), общеуголовная преступность против частной собственности, бизнеса, личной собственности граждан, как форма внеэкономического перераспределения доходов и имуществ (грабеж, разбой, кража, рэкет, мошенничество); 2) фиктивная экономика – официальная экономика, показатели которой фальсифицируются, т.е. фиктивные результаты выдаются в действующей системе учета и отчетности за реальные; 3) неформальная экономика – система неформальных взаимодействий между субъектами, основанная на личных (родственных, этнических, земляческих, профессиональных, политических и других внеэкономических) отношениях и непосредственных контактах между ними и дополняющая или заменяющая официально (или институционально) установленный порядок организации и реализации экономических связей. 21. Традиционная –экономика, в которой традиции и обычаи определяют порядок использования редких ресурсов (и вообще экономических благ). 22. Экономика труда (промышленности, торговли, здравоохранения, образования, науки ..., НТП, ... ВПК и т.п.) – наука, изучающая конкурентные формы и методы сознательного использования обществом (бизнесом, государством и т.д.) экономических законов в области повышения эффективности. Организации и условий труда, его материального и морального стимулирования, воспроизводства рабочей силы (с. 1247). [Экономика труда – это исследование функционирования и результатов рынка труда в сфере труда. ... прежде всего поведение работодателей и работников в ответ на действие общих стимулов в виде заработной платы, цен, прибыли, и неденежных факторов в области трудовых взаимоотношений, например, условий труда. – Эренберг Р.Дж., Смит Р.С. Современная экономика труда. Теория и государственная политика. – М.: изд-во МГУ, 1996.- 800 с. С. 3]. 23. Экспериментальная экономика –наука, которая изучает экономические явления и процессы посредством экспериментов на реальных экономических объектах и моделях (если физических, то – физическая экономика, математических – математическая). Экспериментирование на реальных объектах называется полевым или реальным (или российским ?!), а на моделях – лабораторным, компьютерным, имитационным (или математическим). Лабораторными м.б. также человеко-машинные эксперименты, в которых участники взаимодействуют между собой и с ЭВМ (деловые игры, стендовое экспериментирование). Теория экономическая – совокупность (система) научных взглядов на экономические системы, экономическое развитие и экономические законы и закономерности. Э.т. изучает наиболее общие существенные связи, необходимые причинные зависимости, внутренне присущие экономическим процессам развития рыночной и других типов экономики. Изучает развитие способа производства и распределения, направления использования результатов труда, отношения собственности. Теоретическое выражение экономических общественно-производственных отношений происходит через экономические категории (общественное разделение труда, товар, деньги, капитал, рынок, цена, спрос, предложение, равновесие, национальное богатство и др.) – БЭС, с. 1090. Теория экономическая чистая – основанная на абстрактных предпосылках (априоризм, по Блаугу, сравнить с терминами инструментализм, абсолютизм, релятивизм, сциентизм и др., теория экономического равновесия, воспроизводства, роста, динамики, цикла, информации, неопределенности, риска, ... классическая, неоклассическая, кейнсианская ...). Наука – 1. Система знаний о закономерностях развития какой-либо объективной реальности, 2. Отдельная отрасль таких знаний (особая сфера профессиональной деятельности). Наука экономическая – наука о хозяйстве, управлении хозяйством, отношениях между людьми, а также людьми и окружающей средой, возникающими в процессе производства, распределения, обмена, потребления продукта, благ, услуг. Экономическая наука сочетает признаки точной и описательной наук, во многом является эмпирической, основанной на опыте, относится к общественным, гуманитарным наукам (точнее – занимает особое, промежуточное место между точными и дескриптивными, гуманитарными и естественными, общественными и техническими, чистыми и эмпирическими науками, имеет тенденции гуманитаризации, юридизации, математизации, экологизации, интеграции и дифференциации и т.д.). П. Самуэльсон предложил систему определений экономической теории , «или политической экономии», отметив, что она «тесно соприкасается с другими университетскими предметами (в их числе он называет социальные науки: социологию, политологию, психологию, антропологию, а также историю статистику, логику, математику). Эти определения совпадают с определениями предмета и, отчасти, метода экономической теории. Предмет – это любая вещь, любое явление, материальное или духовное – все на что направлена познавательная, научная деятельность. Поэтому ЭТ – это : 1) наука о видах деятельности, связанных с обменом и денежными сделками между людьми; 2) наука об использовании людьми редких или ограниченных производственных ресурсов (земли, труда, товаров производственного назначения, например машин и технических знаний) для производства товаров в целях потребления; 3) наука о деловой жизнедеятельности людей, извлечении ими средств к существованию и использованию этих средств; 4) наука о том, как человечество справляется со своими задачами в области потребления и производства; 5) наука о богатстве (и бедности). Проведя час в библиотеке грамотный человек сможет во много раз удлинить этот список. «В наше время», по Самуэльсону, главное определение – второе . (5-е издание, перевод 1964 г., переиздано в 1992. 1-е издание появилось в 1947 «Основы экономического анализа»: все разделы экономической теории вращаются вокруг двух осевых проблем: равновесия и максимума). Оно и закрепилось в большинстве учебников типа «экономикс» : например, у Макконнелла и Брю в 11-м издании «Экономикс: принципы, проблемы и политика» в первом переводе на русский 1992 г. (1-е издание предпринято в 1960 г.): «Экономикс исследует проблемы эффективного использования ограниченных производственных ресурсов или управления ими с целью достижения максимального удовлетворения материальных (?!) потребностей человека. ... все сегодняшние кричащие проблемы – инфляция, безработица, военные расходы, бюджетные дефициты, бедность и неравенство, загрязнение окружающей среды, правительственное регулирование бизнеса и пр. – уходят своими корнями в проблему эффективного использования редких ресурсов» (с. 18, начало гл. 1 «Предмет и метод экономикс»). В 16-м издании (за 50 лет!) Сэмуэльсона, Нордхауса: «Как же определить этот бурно развивающийся предмет? Из наиболее важных определений следует, что экономика изучает следующие основные вопросы: (1) Как в обществе устанавливаются цены на труд, капитал и землю и как эти цены влияют на использование ресурсов. (2) Ситуации на финансовых рынках и анализ размещения капитала в остальной экономике. (3) Распределение доходов и способы поддержания малоимущих, не нарушающие эффективное функционирование экономики. (4) Влияние государственных расходов, налогов и дефицита бюджета на экономический рост. (5) Изменения уровней безработицы и производства, влияющие на деловые циклы, и разработка государственной политики стимулирования экономического роста. (6) Модели международной торговли и влияние торговых барьеров. (7) Экономический рост в развивающихся странах и способы повышения эффективности использования ресурсов. Этот список уже достаточно велик, хотя его можно расширять и дальше (в 15-м издании было почти 20 определений!). Но если все их свести к одному общему знаменателю, мы получим следующее определение. Экономика (экономическая теория) – это наука, изучающая, как общество использует ограниченные ресурсы для производства полезных товаров и распределяет их между людьми. В этом определении выражены две ключевые идеи экономики: количество товаров (благ) является ограниченным, и общество должно эффективно использовать имеющиеся ресурсы. ... Еще ни одно общество не достигло утопии неограниченных возможностей (удовлетворения всех потребностей). 2-ой смысл ограниченности (редкости) благ вытекает из альтернативного характера их полезности (возможности удовлетворения одним и тем же благом разных потребностей или альтернативных вариантов использования благ, особенно ресурсов). ... Эффективность означает наилучшее использование ресурсов общества для удовлетворения нужд и потребностей людей. ... экономика работает эффективно, если невозможно улучшить экономическое положение ни одного человека. Не ухудшив при этом положения другого». Но точнее предмет ЭТ определяет Р.М. Нуреев: «В развитии предмета ЭТ можно выделить три этапа: экономия, политическая экономия, экономикс. Предмет экономической теории как науки определился далеко не сразу, он является результатом длительного исторического развития». Его развитие продолжается, то с ускорением, то с замедлением. Economics – множественное число., означает дивергенцию ЭТ на микро- и макроэкономику. Есть две версии: (1) основоположником микроэкономики считают А. Смита (классическая политическая экономия), а макроэкономики Дж.М. Кейнса (сына Джона Невилла Кейнса, предложившего разделение ЭТ на 3 части: позитивную, нормативную и искусство оперирования категориями обеих) (2) Основателями микроэкономики считают Дж. Н. Кейнса и А. Маршалла (неоклассическая ЭТ), а макроэкономики Дэвида Юма и А. Смита. Как бы то ни было, именно «конвергенция этих двух ветвей – микроэкономики и макроэкономики (синтез всех основных направлений, в т.ч. позитивной и нормативной ЭТ ) – сформировала современную ЭТ. Когда то граница между ними была вполне различимой; однако, совсем недавно эти две ветви слились в одну, когда экономисты стали применять методы микроэкономики для изучения безработицы и инфляции». (Принципы замещения на пределе в теории экономического роста и т.д.). 1.3. Экономические системы и основные экономические школы 1.3.1. Экономические системы Экономические системы - это единство отношений, складывающихся по поводу производства, распределения, обмена и потребления экономических благ. Существуют основные фундаментальные задачи - что, где и для кого производить? Каким образом распределяются общественные ресурсы по отраслям и сферам экономики?. В зависимости от способов решения этих задач различают три экономические системы - традиционную, рыночную и командно-административную (плановую). Однако, различные общества представляют собой смешанную экономику с элементами рынка, традиции и государственного регулирования. Другая классификация экономических систем: доиндустриальная, индустриальная и постиндустриальная. Критерием является главная сфера экономики, основной лимитирующий фактор и господствующая социальная группа. В доиндустриальном обществе характерны отношения натурального производства, т.е. производство благ и услуг для собственного потребления. Разделение труда было не развито. Эффективность общественного производства низка. В индустриальном обществе рынок определяет социальный механизм, осуществляющий постоянную связь между производителями и потребителями экономических благ и ресурсов. Рынок представляет собой систему отношений, в которой связи покупателей и продавцов столь свободны, что формируются равновесные цены. Рынок выступает как форма взаимосвязи обособленных товаропроизводителей, каждый из которых действует на свой страх и риск. Значительного развития достигает разделение труда. В процессе обмена происходит учет и общественная оценка реализуемых благ. Общественные потребности выявляются с помощью системы цен. В индустриальном обществе цены передают информацию, которая служит стимулом к применению наиболее эффективных методов производства и наиболее эффективному распределению и использованию ограниченных ресурсов. Однако рынку свойственна и ограниченность, а именно не способность решать социальные проблемы и осуществлять перспективные решения, например долгосрочные рискованные проекты. Ограничения рынка может компенсировать государство. Государство наиболее активно участвует в экономических процессах в рамках командно административной экономической системы. Централизованное принятие решений осуществляется посредством планирования. Планирование выполняет функцию распределения экономических ресурсов между экономическими субъектами и определяет основные пропорции производства благ и услуг в общественном производстве. Существует тенденция возрастания роли государственного сектора экономики в постиндустральной информационной экономике. Так, с превращением информации в основной фактор производства и в наиболее значимое благо, возрастает значение и других благ высшего порядка, в предоставлении которых государство имеет преимущества. Ключевое значение для характеристики экономической системы имеет понятие собственности. Собственность - есть отношение между людьми, предполагаемое обращение с объектами собственности как со своими и чужими (присвоение - отчуждение) и определяющее положение людей в производстве и жизненном общественном процессе. Различают три основные права собственности (совокупность властных прав, санкционированных поведенческих отношений, складывающихся между людьми): владение, пользование, распоряжение. 1.3.2. Основные экономические направления и школы Современная экономическая теория состоит из 8-ми основных направлений, общий синтез которых в настоящее время начинается: 1. Неоклассическое направление; 2. Кейнсианство; 3. Неоклассический синтез; 4. Монетаризм; 5. Неокейнсианский синтез; 6. Новая классическая экономика (теории предложения и рациональных ожиданий); 7. Теория общественного выбора; 8. Институционализм. Возможно неокейнсианский синтез является началом качественно нового этапа развития экономической теории. 1. Неоклассическое направление Во второй половине XIX в. складываются предпосылки для смены общей парадигмы экономической науки. Капитализм прочно утверждается в развитых странах. Разработка общих принципов политической экономии заменяется исследованием различных проблем экономической практики, качественный анализ вытесняется количественным. Авторы все чаще стремятся найти пути оптимизации использования ограниченных ресурсов, широко применяя для этого теорию предельных величин, дифференциальное и интегральное исчисление. Страницы экономических сочинений заполняются математическими формулами и графиками, иллюстрирующими различные рыночные ситуации. Новые веяния находят отражение и в изменении названия самой науки. Понятие "политическая экономия" ( political economy ) вытесняется понятием " Экономикс " ( economics ). Под " Экономикс " понимается аналитическая наука об использовании людьми ограниченных ресурсов (земля, труд, капитал, предпринимательские способности) для производства различных товаров и услуг, их распределения и обмена между членами общества в целях потребления. Рождение нового термина связано с именем одного из основоположников неоклассического направления английского экономиста Альфреда Маршалла (1842-1924). В 1890 г . выходят его "Принципы экономики" ( Principles of Economics ), главным предметом анализа которых является уже не теория стоимости, а теория цены. Механизм ценообразования рассматривается с точки зрения соотношения спроса и предложения. В основу теории спроса А. Маршалл положил маржинализм - учение о предельной полезности, развитое в работах У. Джевонса , К. Менгера , Э. Бем-Баверка , Ф. Визера , Л. Вальраса и других; в основу теории предложения - концепцию факторов производства, дополненную позднее теорией предельной производительности Дж. Б. Кларка. Если классики буржуазной политэкономии стремились к выявлению прежде всего объективных закономерностей, то А. Маршалл исходит из субъективных оценок хозяйствующих субъектов («свобода выбора» ). Под политической экономией в XX в . на Западе начинают понимать не экономическую теорию в целом, а экономическую политику как самостоятельную отрасль экономической науки. Теория маржиналиетов и А. Маршалла отличалась статичностью построения, преодолеть которую стремился первоначально лишь Йозеф Шумпетер (1883-1950). Уже в начале века он предпринял попытку динамического моделирования развития капитализма, стремясь показать влияние инновационного процесса на изменение таких важных показателей, как предпринимательская прибыль, капитал и процент ("Теория экономического развития", 1911). Продолжением этой работы стала монография "Экономические циклы" (1939), посвященная теоретическому, историческому и статистическому анализу процесса циклического развития капитализма. В этой работе и. Шумпетер показывает взаимосвязь между тремя видами колебаний: короткими "циклами Китчина " (2 года 4 месяца), средними "циклами Жуглара " (10 лет) и длинными "циклами Кондратьева" (55 лет). 2. Кейнсианство Теория Маршалла фактически абстрагировалась от деятельности монополий. Однако после кризисов 20-ЗО-х годов и особенно Великой депрессии 1929-1933 гг. не заметить влияния монополий на ценообразование было уже нельзя. В 1933 г . выходят "Теория монополистической конкуренции" Э. Чемберлина и "Экономика несовершенной конкуренции" Дж. Робинсон, в которых исследуется механизм монополистического ценообразования. Однако подлинную революцию в экономической теории произвела опубликованная в 1936 г . "Общая теория занятости, процента и денег" Джона Мейнарда Кейиса (1883-1946). С его именем связано рождение нового направления западной экономической мысли кейнснаиства , поставившего в центр проблемы макроанализа . Такой подход не только способствовал более глубокому отражению объективной реальности в экономической теории, но и в значительной степени поставил нормативный аспект в зависимость от позитивного . Койне отказывается от некоторых основных постулатов неоклассического учения, в частности, от рассмотрения рынка как идеального саморегулирующегося механизма. Рынок, с точки зрения Кейнса , не может обеспечить "эффективный спрос", поэтому государство должно его стимулировать посредством денежно-кредитной и бюджетной политики. Эта политика должна поощрять частные инвестиции и рост потребительских расходов таким образом, чтобы способствовать наиболее быстрому росту национального дохода. Практическая направленность теории Кейнса обеспечила ей широкую популярность в послевоенные годы. Кейнсианские рецепты стали идеологической программой смешанной экономики и теории "государства всеобщего благоденствия". С начала 50-х годов неокейнсианцы ( Р.Харрод , Е.Домар , Э.Хансен и др.) активно разрабатывают проблемы экономической динамики и прежде всего темпов и факторов роста, стремятся найти оптимальное соотношение между занятостью и инфляцией. На это же направлена концепция "неоклассического синтеза" П.Э.Самуэльсона , пытавшегося органически соединить методы рыночного и государственного регулирования. Посткейнсианцы (Дж .Р обинсон, П.Сраффа , Н.Калдор и др.) в 60-70-е годы сделали попытку дополнить кейнсианство идеями Д.Рикардо . Неорикардианцы выступают за более уравнительное распределение доходов, ограничение рыночной конкуренции, проведение системы мер для эффективной борьбы с инфляцией. Однако 70-е годы стали периодом разочарования в кейнсианстве. Предлагаемые рецепты оказались недостаточно эффективными, чтобы остановить рост инфляции, падение производства и увеличение безработицы. Кейнсианская парадигма не сумела полностью вытеснить неоклассическую . Попытка объединить обе парадигмы в форме неоклассического синтеза не увенчалась успехом, так как не отличалась цельностью; при анализе макроэкономических процессов отрицалось то, что служило базой для микроэкономического анализа. Более того, в 70-80-е годы новые направления неоклассики (монетаризм, новая классическая экономика, теория общественного выбора) заметно теснят кейнсианство (см. рис. 14-1). 3. Неоклассический синтез – мейнстрим XX века. Подавляющее большинство учеников по экономической теории соответствуют логике синтеза кейнсианского и неоклассического направления, который был начат нобелевскими лауреатами Дж. Хиксом и П. Самуэльсоном. Наиболее полно он представлен в их знаменитой модели «IS-LM». 4. Монетаризм Первыми наступление начали монетаристы . Монетаризм, как и классический либерализм в целом, рассматривает рынок в качестве саморегулирующейся системы и выступает против чрезмерного вмешательства государства в экономику. Это направление характеризуется пристальным вниманием к денежной массе, находящейся в обращении, которую монетаристы считают определяющим фактором развития экономики. Главным пунктом критики стали вопросы экономической политики (проблемы инфляции, политики занятости и т.д.). Исходные предпосылки этой критики были сформулированы Милтоном Фридменом в его работах "Очерки позитивной экономики" (1953), "Капитализм и свобода" (1962) и позднее в написанной совместно с Розой Фридмен книге "Свобода выбора" (1979). Его методологией является неопозитивизм, пытающийся примирить рационализм и эмпиризм. В основе теории лежит, по мнению М. Фридмена , возникшая в результате соглашения исследователей абстрактная гипотеза, из которой выводятся эмпирически проверяемые следствия (прогнозы). Если они подтверждаются практикой, то теория считается истинной, если нет, то она отвергается. Поскольку практические предложения кейнсианцев потерпели фиаско, то должна быть отвергнута и их теория. Однако подобная участь может постичь и монетаризм, так как и его теория напрямую ставится в зависимость от бесконечного числа подтверждений и всегда можно найти противоречащие ей факты. Это тем более нетрудно сделать, так как многие предпосылки монетаристов явно далеки от реальности (совершенная конкуренция, гибкость цен, полнота экономической информации, зависимость роста национального дохода от темпов роста денежной массы и т.п.). Методологическ ая уя звимость теории монетаристов обусловила ее критику со стороны не только кейнсианцев , но и более последовательных представителей классического либерализма. 5. Новая классическая экономика Если в центре внимания кейнсианцев находится эффективный спрос, то их критики акцентируют основное внимание на предложении товаров и услуг. В 70-е годы сложилось даже особое направление- «экономика предложения» ( А. Лаффер , Дж. .Гилдер, М. Эванс, М. Фелдстайн и др.). Для оздоровления экономики, считают они, необходимы снижение налогов и предоставление льгот корпорациям. Сокращение дефицита государственного бюджета будет в таких условиях способствовать оздоровлению экономики. Представители ведущего направления новой классической экономики теории рациональных ожиданий (Дж. Мут, Р. Лукас, Т. Сарджент, Н. Уоллес, Р. Барро и др.) попытались построить более цельную теорию путем подведения единого микроэкономического основания под анализ макропроблем . В центре их внимания оказались экономические агенты, способные быстро адаптироваться к меняющейся хозяйственной конъюнктуре благодаря рациональному использованию получаемой информации (теория рациональных ожиданий). Поскольку каждый индивид способен правильно адаптироваться в меняющемся мире, отпадает необходимость вмешательства государства в экономику. Последовательно отстаивая неоклассические постулаты, сторонники теории рациональных ожиданий возрождают идеальную рыночную модель. Возвращая нас в XIX в., они абстрагируются от явлений, типичных для смешанной экономики второй половины XX в. (несовершенной конкуренции и государственного сектора, безработицы и инфляции, кризисов и антикризисной политики и т.д.). К тому же "новые классики" недооценивают фактор времени, необходимого на сбор и обработку информации, а также различные возможности получения информации, которыми обладают разные субъекты. В результате домохозяйка в их теориях оказывается более способной к преодолению фактора неопределенности и к обработке экономической информации, чем профессиональные экономисты и специализированные государственные учреждения. 6. Неокейнсианский синтез. Как полагают специалисты, неокейнсианский синтез проявился в 70-80-е годы XX в. и дополняет неоклассический синтез. Исследование и описание его еще только начинается. 7. Теория общественного выбора Этот недостаток пытались преодолеть сторонники сформировавшейся в 50-бО-е годы теории общественного выбора (Дж .Б ьюкенен, Г.Таллок , М.Олсон , Д.Мюллер, Р.Толлинсон , У.Несканен и др.). Говоря о неэффективности государственного регулирования, сторонники теории общественного выбора перенесли анализ с влияния денежно-кредитных и финансовых мер на экономику на сам процесс принятия правительственных решений. Главный тезис этой теории люди действуют в политической сфере, преследуя свои личные интересы, а бизнес и политика тесно взаимосвязаны. Теория общественного выбора базируется на принципах индивидуализма. Ее сторонники считают, что люди руководствуются такими принципами не только в коммерческой деятельности, но и будучи на службе у государства. Однако и теория общественного выбора не сумела преодолеть известную абстрактность неоклассической парадигмы в целом и прежде всего ее внеисторического характера, абсолютизации рыночной стадии развития мировой цивилизации. 8. Институционализм Обострение внутренних противоречий рыночной экономики способствовало зарождению институционально-социологического направления. Его истоки восходят к идеям исторической школы в Германии (Ф.Лист, К.Книс , Б.Гильденбрандт , В.Рошер , Г.Шмолер , В.Зомбарт , М.Вебер). Новая историческая школа критиковала экономистов (марксистов, маржиналистов и др.) за чрезмерное увлечение голыми абстракциями, пропагандируя необходимость эмпирических исследований, основанных на богатом историческом материале. Представители исторической школы определяли национальную (политическую) экономию как науку о повседневной деловой жизни и деятельности людей, извлечении ими сре дств к с уществованию и использовании этих средств. Классический институционализм , возникший в Америке в конце XIX в., окончательно оформляется как самостоятельное течение в 20-ЗО-е годы. Его основоположником считают Торстейна Вселена (1857-1929). Представители этого течения (Дж .Р . Коммонс , У.К. Митчелл, Дж. Гэлбрейт , Г. Мюрдаль и др.) широко используют в своем анализе понятие "институты" (от лат. institutum - установление, учреждение), под которыми понимают корпорации, профсоюзы, государство, а также различные психологические, этические, правовые, технические и т.п. социальные явления. До развертывания НТР это течение не пользовалось на Западе заметным влиянием; взрыв его популярности в 70-80-е годы был связан с концепциями "постиндустриального", "информационного", "сервисного" общества, теориями конвергенции различных социально-экономических систем. Институциональный анализ более трезво оценивает объективную реальность. Он исходит из того, что современное общество отнюдь не венец совершенства: люди, как правило, нерациональны, а экономика далека от состояния равновесия. Неоклассическая концепция, с их точки зрения, явно идеализирует действительность, выполняя, скорее, апологетическую, чем познавательную, функцию. Реальная действительность гораздо сложнее и уже давно не укладывается в маржинальные предпосылки анализа. Объектом исследования должен быть не экономический человек, а всесторонне развитая личность. Понять ее и правильно оценить тенденции развития общества можно лишь на путях междисциплинарного анализа, который, кроме экономики, должен включать социальную психологию, социологию, право, политологию и другие гуманитарные науки. На базе институционализма в конце 60-х годов возникла «радикальная политэкономия» , представители которой ( Г.Шерман , Т.Вайскопф , Э.Хант и др.) в своей критике капитализма используют ряд теоретических положений К.Маркса. На вызов традиционного институционализма представители неоклассической теории (основного течения современной экономической науки) ответили расширением сферы неоинституциональных исследований. Неоинституционализм опирается на традиции австрийской школы применительно к анализу социальных институтов. При этом сами институты рассматриваются с позиции методологического индивидуализма. К этому направлению относятся теория прав собственности, теория общественного выбора и др. 8 Классификация современных экономических теорий полагает начало их синтеза. Палитру современных подходов хорошо отражает классификация, предложенная Б. Кларком. Она позволяет не только показать многообразие современных подходов, но и отметить точки их соприкосновения и взаимного перехода: от консервативного направления - через классический и современный либерализм - к радикальным течениям.Сильно упрощая все богатство идей современных школ, их можно поместить в двумерной системе координат. Несмотря на ограниченность такого подхода, он выделяет главное, намечая возможные точки соприкосновения различных, нередко противоположных концепций. Такое знание чрезвычайно полезно, поскольку помогает понять причины вероятных объединений и временных компромиссов между приверженцами различных течений как в процессе борьбы за власть, так и при формировании новой экономической парадигмы. Подведем итоги. В ходе развития экономической теории ее предмет определялся по-разному. Меркантилисты считали ее предметом деятельность, связанную с внешней торговлей и притоком денег в страну. Классики политэкономии рассматривали ее как науку о богатстве, представители исторической школы определяли как учение о повседневной деятельности людей. Маржиналисты и неоклассики связали такую деятельность с использованием редких (ограниченных) ресурсов в условиях рыночного хозяйства. Кейнсианцы добавили к этому необходимость изучения и формирования экономической политики государства; институционалисты обратили внимание на социальные аспекты данной политики. Марксисты, исследуя общественное производство, диалектику производительных сил и производственных отношений, пришли к выводу, что политическая экономия изучает законы, управляющие производством, распределением, обменом и потреблением жизненных благ на различных ступенях развития человеческого общества, экономические закономерности исторического развития. Тем самым экономическая теория позволяет выявить исторические особенности систем, понять закономерности развития мировой цивилизации. Экономическая теория, как и любая другая наука, обладает не только специфическим предметом, структурой, логикой содержания и рвгвити, но и особым методом исследования. Слово «метод» происходит от греческого «methodos», что буквально означает «путь к чему-либо». Поэтому метод в самом широком смысле можно определить как деятельность, направленную на достижение какой-либо цели. Метод науки, с одной стороны, отражает уже познанные законы исследуемой сферы окружающего мира, а с другой - выступает как средство последующего познания. Академик Л.И. Абалкин опубликовал исследование под названием «Метод политической экономии как обобщенное выражение ее развития». Профессор Р.М. Нуреев пишет об эволюции метода экономической теории. Таким образом, метод одновременно является и результатом процесса исследования, и его предпосылкой. Сохраняя свойства и законы изучаемого объекта, он в то же время несет на себе отпечаток целесообразной деятельности познающего его субъекта. Объективное переходит в субъективное, и наоборот . 1.4. Предмет, метод, базовые понятия микроэкономики 1.4.1. Особенности предмета и метода микроэкономики Микроэкономика является частью курса экономической теории. Это комплекс знаний, направленных на объяснение поведения отдельных хозяйствующих субъектов хозяйственных единиц, их взаимодействие на рынках, в результате которого формируются цены на производимые товары и услуги, а также факторы производства. Объекты микроэкономического анализа - цены и объемы производства и потребления конкретных благ, состояние отдельных товарных рынков, распределение производственных ресурсов между альтернативными целями. Микроэкономическая теория подразделяется на две основные формы: позитивная микроэкономика и нормативная микроэкономика. Позитивная микроэкономика - это та часть микроэкономической теории, которая изучает факты и зависимости между этими фактами и отвечает на вопрос "что есть или может быть?" Нормативная микроэкономика - это та часть микроэкономической науки, которая предлагает рецепты действий и отвечает на вопрос "что должно быть?" Методология микроэкономики - это совокупность приемов, способов познания экономических отношений и процессов на уровне отдельных хозяйственных единиц. К основным общенаучным методам, применяемым в микроэкономической теории можно отнести формально-логические методы (анализ и синтез, индукция и дедукция, сравнение, аналогия) и диалектические (научная абстракция, сочетание исторического и логического), а также построение экономических моделей и проведение экспериментов. Экономическая модель представляет собой упрощенное отображение экономической действительности с помощью уравнений и графиков, описывающих взаимосвязи различных переменных (экономических данных). Экономические модели отражают функциональные зависимости между переменными. 1.4.2. Базовые понятия микроэкономики Потребности – это недостаток чего-либо необходимого для поддержания жизнедеятельности и развития личности, фирмы и общества в целом. Экономические потребности формируют экономические интересы. Первый уровень потребностей – потребность в материальных благах, необходимых для выживания человека. Более высокие уровни потребностей рой уровень потребностей это потребности в нематериальных благах (например, потребность в социальной защищенности, в уважении и в самореализации). Потребности формируют экономические интересы. Средства, удовлетворяющие потребности, называются благами. Одни блага имеются в неограниченном размере, а другие в ограниченном (экономические блага). Экономические блага подразделяются на взаимозаменяемые (субституты) и взаимодополняемые (комплиментарные). Экономические ресурсы или факторы производства – это элементы, используемые для производства экономических благ. К важнейшим из них в современном обществе относятся земля, труд, капитал, предпринимательские способности и информация. Экономический выбор – это выбор наилучшего из альтернативных вариантов использования ресурсов. Экономический выбор рассматривается с использованием кривой производственных возможностей. Каждая точка на этой кривой представляет собой комбинацию благ двух видов. Граница области производственных возможностей характеризует одновременно возможный и желательный выпуск продукции. Для определения выбора вводится понятие издержек упущенных возможностей или альтернативных издержек. Это издержки одного блага , выраженные в другом благе, которым пришлось пожертвовать. Кривая производственных возможностей выпукла вправо-вверх. Это связано с тем, что одни ресурсы могут использоваться более производительно при производстве одного блага, а другие - при производстве другого блага. Экономические блага выступают как средство связи между экономическими агентами. Основными экономическими агентами являются индивиды (домохозяйства), фирмы и государство. Экономический кругооборот – это круговое движение реальных экономических благ, сопровождающееся встречным потоком денежных доходов и расходов. Домохозяйства являются собственниками экономических ресурсов. Они предъявляют спрос на блага и услуги. Фирмы предлагают блага и услуги, предъявляя при этом спрос на факторы производства. Лекция 2. Рыночная система: спрос, предложение, ценообразование, конкуренция, государственное регулирование. Рыночное равновесие План 2.1. Индивидуальный и рыночный спрос и предложение. Модель рынка 2.2. Эластичность спроса и предложения 2.3. Рыночное равновесие и саморегулирование. Общественное и государственное регулирование рынка 2.4. Использование (применение) теории спроса и предложения 2.1. Индивидуальные и рыночные спрос и предложение. Модель рынка Тема занимает центральное место в изучении микроэкономики. Спрос – это желание и способность покупать экономические блага. Он показывает количество продукта, которое потребители будут покупать по альтернативным ценам. Обратная связь между ценой блага и величиной потребительского спроса на это благо отражает закон спроса. Существует обратная зависимость между ценой блага и величиной спроса, которая может быть выражена как в табличной, так и в графической форме. Графическое изображение данной зависимости называют графиком или кривой спроса. Различают индивидуальный и рыночный спрос, где рыночный спрос - это агрегированный индивидуальный спрос. Факторы, влияющие на спрос условно можно разделить на две группы: ценовые и неценовые факторы. Реакция покупателей на изменение цены блага предполагает изменение величины спроса, которое показывается перемещением от одной точки кривой спроса к другой точке этой кривой. Реакция же потребителей на изменение неценовых факторов приводит к изменению спроса и показывается сдвигом всей кривой спроса. Предложение представляет собой желание и возможность продавцов поставлять блага на рынок для продажи. Предложение показывает количество блага или услуг, которые производители готовы продать по альтернативным ценам. Связь между ценой блага и величиной его предложения выражена законом предложения. Эта зависимость может быть выражена в табличной или графической форме. Графическое отображение зависимости называют графиком предложения. Предложение, как и спрос, может испытывать на себе влияние ценовых и неценовых факторов. Реакция продавцов на изменение цены блага предполагает изменение величины предложения, которое показывается перемещением от одной точки к другой, но уже по кривой предложения. Соответственно реакция продавцов на изменение неценовых факторов ведет к изменению предложения и представляет собой сдвиг всей кривой предложения. Неценовые факторы предложения: характер применяемых технологий, налоги и субсидии, количество продавцов, прочие факторы. 2.2. Эластичность спроса и предложения Чтобы рассмотреть величину этих изменений необходимо изучить эластичность спроса и предложения, поскольку эластичность измеряет степень изменения одной переменной (функции) в ответ на изменение другой (аргумента). Степень изменения количества спрашиваемых благ и услуг в ответ на изменения в цене представляет эластичность спроса по цене Числовыми показателям эластичности спроса и предложения по цене являются соответственно коэффициент эластичности спроса по цене и коэффициент эластичности предложения по цене. Коэффициент эластичности спроса по цене определяется как частное отделения процентного изменения величины спроса на процентное изменение цены. Коэффициент эластичности для эластичного спроса будет больше единицы, для неэластичного спроса - меньше единицы, для единичной эластичности будет равен единице. Для совершенно неэластичного спроса коэффициент эластичности стремится к 0,а для совершенно эластичного спроса - к бесконечности. Графическое изображение кривых спроса, имеющих разную степень эластичности Факторы ценовой эластичности спроса: наличие заменителей данного блага; временные рамки, в пределах которых принимается решение о покупке; значимость блага для потребителей; удельный вес расходов на благо в доходе потребителя. Эластичность предложения по цене представляет собой степень изменения в количестве предлагаемых благ и услуг в ответ на изменения в их цене. Коэффициент изменения эластичности предложения по цене - как частное от деления процентного изменения объема предложения на процентное изменение цены. В определении показателя эластичности по цене важнейшим является фактор времени. В зависимости от времени, имеющегося в распоряжении производителей, для того, чтобы отреагировать на изменение цены продукта обычно рассматриваются три временных периода: текущий , краткосрочный и долгосрочный. В текущий период производитель не имеет возможности отреагировать изменением производства на изменение уровня цен и предложение в этом случае не является эластичным. Краткосрочный же период уже позволяет отреагировать изменением производства на изменение уровня цен, в результате эластичность предложения повышается. Долгосрочный же период предполагает адаптацию производителей к изменению цен, поэтому эластичность предложения будет выше, чем в двух предыдущих случаях. Перекрестная эластичность спроса и эластичность спроса по доходу Помимо ценовой эластичности спроса и предложения имеют место и другие типы эластичности: перекрестная эластичность спроса по цене и эластичность спроса по доходу. Перекрестная ценовая эластичность спроса - это степень изменения в количестве спрашиваемого блага в ответ на изменение в цене на другое благо. Коэффициент перекрестной эластичности спроса по цене равен отношению процентного изменения в количестве спрашиваемого блага к процентному изменению цены другого блага. Основные формы перекрестной эластичности: положительная (свойственна взаимозаменяемым благам); отрицательная (свойственна взаимодополняемым благам); нулевая (свойственна благам , не являющимся ни взаимодополняемыми, ни взаимозаменяемыми). Эластичность спроса по доходу - это степень изменения количества спрашиваемых благ и услуг в ответ на изменение в размере доходов потребителей. Коэффициент равен отношению процентного изменения величины спроса на благо к заданному изменению доходов потребителей при прочих равных условиях. Основные формы эластичности спроса по доходу: положительная (объем спроса растет с ростом дохода) свойственна нормальным благам, предметам роскоши; отрицательная (объем спроса падает с ростом дохода) свойственна низшим благам, некачественным благам; нулевая (объем спроса не чувствителен к изменению дохода). Эластичность спроса и изменения в суммарной выручке. Суммарная (общая) выручка представляет собой всю выручку, полученную от реализации Q единиц блага по цене Р: ТR = Q*Р. Если спрос эластичен то относительное увеличение величины спроса превосходит относительное снижение цены . Падение цены вызовет увеличение суммарной выручки производителей блага. Если спрос неэластичен, то относительное увеличение величины спроса меньше, чем относительное снижение цены. Падение цены вызовет уменьшение суммарной выручки производителей блага. Если спрос на благо имеет единичную эластичность, то относительные изменения цены и величины спроса равны. Понижение цены не оказывает воздействия на общую выручку. 2.3. Рыночное равновесие и саморегулирование. Общественное и государственное регулирование рынка Рыночная цена фиксируется в точке пересечения спроса и предложения. В точке равновесия объем спроса равен объему предложения и является равновесным объемом. Равновесная цена - цена такого уровня, когда величина предложения равна объему спроса. Если имеет место ситуация, в которой при данной цене величина спроса превосходит предложенное количество блага, то возникает дефицит. Когда же величина предложения блага по данной цене превышает величину спроса на него, то имеет место избыточное предложение. Изменение любого рыночного условия, колебания проса и предложения, изменяют равновесную цену и равновесное количество блага на рынке. Механизм установления рыночного равновесия заключается в следующем. Если рыночная цена не равна равновесной, то действия покупателей и продавцов двигают ее в направлении равновесной цены. Существует два основных подхода к анализу установления равновесной цены Л. Вальраса и А. Маршалла. Согласно первому подходу, если существует избыток спроса, в результате конкуренции покупателей происходит повышение цены до тех пор, пока не исчезнет избыток. Согласно второму подходу, продавцы реагируют на разность цены спроса и цены предложения увеличением объема предложения. Увеличение объема предложения приводит к достижению равновесной цены. Равновесие может быть устойчивым и неустойчивым. Устойчивой, динамической моделью является паутинообразная модель. Представление процесса ценообразования в паутинообразной модели таково: если цена отклоняется от равновесного значения, то происходит колебания цен и количеств товара, продаваемого на рынке. В итоге цена уравновешивает спрос и предложение. Логика шагов следующая: высокая цена блага приводит к росту предложения, но покупать станут меньше. Чтобы реализовать накопившиеся товары снизится цена, что приведет к оттоку производителей и к дефициту. Равновесие является устойчивым, если угол наклона кривой предложения круче угла наклона кривой спроса (эластичность предложения меньше) и наоборот. Цена совершает регулярные колебания вокруг положения равновесия, если углы наклона кривых спроса и предложения равны. В условиях совершенной конкуренции в результате установления равновесия выигрывают и потребитель и производитель. Поскольку цена равновесия обычно ниже максимально предлагаемой потребителями цены, возникает излишек потребителя. Разница между выгодами потребителей и выручкой. 2.4. Развитие и применение теории спроса и предложения Основные области использования теории спроса и предложения, эластичности: анализ поведения потребителя; определение ценовой политики фирмы; определение стратегии фирм и деловых предприятий, максимизирующей их прибыли; разработка структуры налогообложения; прогнозирование изменений в доходах потребителей и продавцов из-за изменения цены продукта. Особенно наглядно это при формировании налоговой политики государства. Введение фиксированного налога на единицу продукции равносильно смещению кривой предложения вверх. Сумма налога распределяется между производителями и потребителями, а также включает избыточное налоговое бремя, которое представляет чистые потери для общества. Эластичность позволяет определить, какую часть налога выплачивают потребители, а какую производители. В случае, если эластичность спроса превышает эластичность предложения, большую часть налога выплачивают производители и наоборот. Налог на товар обычно уменьшает благосостояние как покупателей, так и производителей. Величина сокращения излишков потребителей и производителей обычно превышает налоговые поступления. Уменьшение общего излишка, а также налоговых поступлений - называются безвозвратными потерями в результате введения налога. Покупатели сокращают потребление, а продавцы - производство. Чем выше эластичность спроса и предложения, тем выше безвозвратные потери. Лекция 3. Основы теории потребительского поведения План 3.1. Основы, развитие и применение теорий полезности и ценности. Закон убывающей предельной полезности 3.2. Изолинии полезности и бюджетные линии. Предельная норма замещения 3.3. Концепция замещения на пределе и равновесие потребителя 3.4. Эффекты замещения и дохода 3.1. Основы, развитие и применение теорий полезности и ценности. Закон убывающей предельной полезности Дальнейшее рассмотрение важнейшего элемента рыночного механизма, каким является спрос, предполагает: более глубокое объявление закона спроса, обобщение спроса индивидуальных потребителей, построение экономической модели потребительского поведения. Этим вопросом занимались представители австрийской школы К.Менгер, Е.Бем-Баверк, Ф.Визер. Цель потребителя – получить товары и услуги для удовлетворения своих запросов и удовольствия, т.е. максимизировать полезность. Полезность - это способность экономического блага удовлетворять человеческим потребностям. Различают общую и предельную полезности. Общая полезность – это полезность определенного запаса блага. Общая полезность увеличивается при увеличении запаса блага до максимального значения, а затем убывает. Предельная полезность – это полезность дополнительной единицы блага. Предельная полезность неуклонно убывает и при убывании общей полезности становится отрицательной. Функция полезности функция показывает, что рост общей полезности обычно описывается логистической (S-образной) кривой. Когда ускорение роста сменяется замедлением, происходит убывание предельной полезности блага с ростом его количества. MU – предельная полезность равна частной производной общей полезности данного блага. Основные постулаты теории потребительского поведения: Множественность видов потребления и стремление потребителя к разнообразию потребительского набора. Ненасыщаемость и «ненасытность». Потребитель стремится иметь большее количество благ. Конечно, предельная полезность благ положительна лишь до их определенного объема. Но предполагается, что рационально ведущий себя потребитель никогда не допускает «перепотребления», т.е. потребительский выбор всегда предполагает положительную предельную полезность благ. Транзитивность. Постоянство и согласованность вкусов потребителей. Субституция. Потребитель согласен отказаться от небольшого количества блага, если ему предложат взамен большее количество блага - субститута. Убывающая предельная полезность. Положение равновесия потребителя (в кардиналистической теории) будет достигнуто в случае, если доход потребителя распределен таким образом, что взвешенные предельные полезности равны. В ординалистской теории если достигнута предельная норма замещения благ, равная обратной величине соотношения их цен:
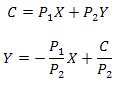
Потребительский выбор – это выбор, максимизирующий функцию полезности рационального потребителя в условиях ограниченности ресурсов (денежного дохода). Функция максимизируется в том случае, когда денежный доход потребителя распределяется таким образом, что каждый последний рубль, затраченный на приобретение любого блага, приносит одинаковую предельную полезность. Соотношение между предельными полезностями двух благ равно соотношению их цен. Возникает равенство предельных выгод и предельных затрат потребителя. 3.2. Бюджетные линии и кривые безразличия. Равновесие потребителя Существуют ограничения потребительского выбора. Возможный выбор для потребителя связан с бюджетными ограничениями. Бюджетное ограничение обслуживает выбор тех комбинаций благ, который потребитель может позволить себе купить на свой доход. Графическим изображением этой взаимосвязи является бюджетная линия. Потребитель максимизирует полезность путем выбора такого потребительского набора, удовлетворяющего бюджетному ограничению, при котором отношение предельной полезности к цене одинаково для всех благ. В результате такого выбора достигается потребительское равновесие - при котором потребитель максимизирует полезность, получаемую им от покупки разных товаров при имеющемся бюджете. И которое означает, что любое увеличение полезности от потребления одного блага будет требовать сокращение полезности от потребления другого блага. Линия бюджетного ограничения (бюджетная линия) показывает возможные комбинации благ, которые он может приобрести при заданном уровне своих доходов и существующих ценах. Наклон бюджетной линии равен относительной цене благ. Осуществление потребительского выбора характеризуется при помощи набора безразличия - набора вариантов потребительского выбора, каждый из которых обладает одинаковой полезностью. Графическим отображением набора безразличия является кривая безразличия. Она отображает изменяющиеся сочетания двух разных благ в условиях, когда общая их полезность для потребителя остается неизменной. Набор кривых безразличия для одного потребителя и для одной пары благ составляет карту кривых безразличия. Характеристики кривых безразличия: Чем выше расположена кривая безразличия, тем предпочтительнее для потребителя наборы благ, которые она представляет. Имеют отрицательный наклон. Не пересекаются. Выпуклы: их наклон уменьшается по мере движения вниз и вправо вдоль этих кривых. Абсолютная величина наклона кривой в любой точке есть отношение предельной полезности блага , отсчитываемого по вертикальной оси, к предельной полезности блага, отсчитываемого по горизонтальной оси. Можно построить кривую, проходящую через любую точку, отражающую любой набор благ. Кривые безразличия и бюджетная линия используются для графической интерпретации ситуации , когда потребитель максимизирует полезность , получаемую от покупки двух различных благ при имеющемся бюджете. Это фиксируется в касательной точке бюджетной линии - наиболее высокой точке из всех достижимых кривой безразличия. Эта точка, показывающая наибольшее возможное удовлетворение потребителя, является точкой потребительского равновесия. В этой точке наклон кривой безразличия (предельная норма замещения благ) равен наклону бюджетной линии (относительной цене благ). 3.3. Концепция замещения на пределе и равновесие потребителя Основной заслугой неоклассического направления экономической теории следует считать интеграцию теории предельной полезности с теорий ценности, спроса и предложения. Благодаря этой интеграции теория предельной полезности и вообще маржинализм развиваются в универсальное математическое направление, которое, в свою очередь, обеспечивает современное широкое использование математических методов и моделей в развитии и применении экономической теории. Концепция замещения на пределе (предельной нормы замещения) и правила равновесия потребителя выходят далеко за пределы теории полезности и рационального потребительского поведения и находят применение практически во всех областях микроэкономики. П. Самуэльсон показал, что применение понятия предельной нормы замещения вполне позволяет обойтись без тяжеловесного и небезупречного научного аппарата не только кардиналистской, но и орданалистской теории предельной полезности и безупречно с математической и логической точек зрения связать динамику количеств благ с динамикой цен. Для этого достаточно найти совместное решение уравнений бюджетных линий для двух состояний равновесия, пользуясь методом сравнительной статики, разработанным для теории спроса и предложения. и рыночного равновесия.
Решение уравнения дает вывод о том, что предельная норма замещения благ равна обратному соотношению их цен:
В теории производства аналогичные выводы будут сделаны относительно замещения факторов производства в зависимости от соотношения их производительности и цен. 3.4. Эффект замещения и эффект дохода Изменение цены блага вызывает реакцию потребителя как суммарный результат действия эффекта замещения и эффекта дохода. Первый проявляется в реакции потребителя на повышение цены нормального блага, входящего в потребительскую корзину, что приводит к сокращению покупки подорожавшего блага и к увеличению покупки благ, которые могут заменить подорожавшие. Что касается второго, то он определяет увеличение потребления нормального блага в результате падения его цены за счет увеличения реального дохода, вызванного снижением цены, и наоборот, сокращение потребления нормального блага в результате роста его цены за счет сокращения реального дохода, вызванного ростом цены. Для низших товаров и товара Гиффена ситуация зависит от степени влияния эффектов дохода и замещения на потребительский выбор. Если для нормальных товаров эффект замещения и эффект дохода суммируются, то для низкокачественных товаров они вычитаются. Если расходы на низкокачественное благо занимает в бюджете потребителя значительное место, то положительный эффект замещения перекрывается отрицательным эффектом дохода. Спрос на товары Гиффена изменяется в том же направлении, что и цена. Спрос на другие низкокачественные товары изменяется в противоположном направлении изменению цены, т.к. эффект дохода перекрывается эффектом замещения. Лекция 4. 8.1.1 Основы теории производства4.1. Теория производства. Производственная функция и закон убывающей предельной производительности 4.2. Взаимосвязь между производительностью и издержками: изокванты и изокосты, предельная норма замещения 4.3. Равновесие производителя, условия минимизации издержек и максимизации прибыли. 4.4. Развитие производства, изоклиналь и эффекты масштаба и разнообразия 4.1. Теория производства. Производственная функция и закон убывающей предельной производительности. Совокупный и предельный продукт Под производством в современной микроэкономике понимается деятельность по использованию факторов производства (ресурсов) с целью достижения наилучшего результата. Выручка, или валовой доход - это сумма денег, полученная фирмой за реализованную продукцию. ТR = P*Q Под затратами, или совокупными издержками (TC), понимаются денежные средства, которые фирма направляет на приобретение производственных ресурсов. Прибыль фирмы - разность между ее валового дохода и совокупных издержек. Цель фирмы - максимизация прибыли. Экономическая деятельность фирмы может быть описана производственной функцией, которая показывает максимальный выпуск продукции при использовании имеющихся ресурсов. Q = f (F1, F2, …, Fn), где: Q - максимальный объем производства при заданных затратах, F1 - количество использованного фактора f1; F2 - количество использованного фактора f2; Fn - количество использованного фактора fn. Совокупный продукт (TP) - это количество экономического блага, произведенное с использованием некоторого количества переменного фактора. Разделив совокупный продукт на израсходованное количество переменного фактора, можно получить средний продукт (AP). Предельный продукт (MP) определяется как прирост совокупного продукта, полученный при применении дополнительной единицы переменного ресурса. Дополнительные издержки, связанные с увеличением выпуска продукции на одну единицу - есть предельные издержки (MC). Предельная производительность - величина изменения общего объема производства, связанная с вовлечением дополнительных единиц ресурсов. Основная закономерность, действующая для фирмы в краткосрочном периоде - это снижение, начиная с определенного момента прироста продукции, приходящейся на единицу переменного фактора производства, при условии, что используется определенное количество постоянного фактора производства. Иначе говоря, снижается предельный продукт фактора производства. В этом и заключается закон убывающей предельной производительности. Изменения предельных издержек и предельной производительности осуществляется в противоположных направлениях. Предельный продукт для каждой точки на кривой совокупного выпуска равен тангенсу угла наклона касательной к кривой в этой точке. Если совокупный продукт достигает своего максимума, предельный продукт равен нулю. Закон убывающей предельной производительности носит не абсолютный, а относительный характер. Действительно, во-первых, он применим лишь на краткосрочном отрезке времени, когда хотя бы один из факторов производства остается постоянным. Во-вторых, он не учитывает технический прогресс, повышающий эффективность производства. 4.2. Изокванты и изокосты. Равновесие производителя Спрос на ресурсы является производным от спроса на блага, производимые из этих ресурсов. Если обозначить предельный продукт в денежном выражении MRP, а предельные издержки через MRC, то правило использования ресурсов может быть выражено равенством MRP = MRC Это означает, что для того, чтобы максимизировать прибыль, каждый производитель (фирма) должен использовать дополнительные (предельные) единицы до тех пор, пока каждая дополнительная единица ресурса дает прирост совокупного дохода, превышающего прирост совокупных издержек. Правило наименьших издержек - это условие, согласно которому издержки минимизируются в том случае, когда последний рубль, затраченный на каждый ресурс, дает одинаковую отдачу, одинаковый предельный продукт. Данное правило обеспечивает равновесное положение производителя.
Правило минимизации издержек аналогично правилу максимизации полезности для потребителя. Правило максимизации прибыли на конкурентных рынках означает, что предельные продукты всех факторов производства в стоимостном выражении равны их ценам, или что каждый ресурс используется до тех пор, пока его предельный продукт в денежном выражении не станет равен его цене.
Согласно теории предельной производительности, каждому фактору производства в условиях свободной конкуренции полагается тот доход, который он создает. 4.3. Условия минимизации издержек и максимизации прибыли Предположим, что производственная функция задается не одним, а двумя переменными факторами, а объем производства является величиной постоянной. Производственная функция описывает максимальный объем выпуска продукции, который фирма может произвести для каждого определенного сочетания используемых ресурсов. В таком случае можно изобразить изокванту, или кривую равного продукта. Она представляет собой кривую, которая показывает бесконечное множество комбинаций факторов производства (ресурсов), обеспечивающих одинаковый выпуск продукции. Производственная функция фирмы может быть представлена группой (картой) изоквант, каждая из которых показывает максимальный выпуск продукции, достигаемый при использовании определенных сочетаний ресурсов. Изокванты всегда имеют наклон вниз, т.к. предельный продукт всех использованных факторов производства положителен. Форма каждой изокванты может быть описана при помощи определения предельной нормы технического замещения в каждой точке изокванты. Предельная норма технического замещения (MRTS) аналогична предельной норме замещения (MRS).
Так, предельная норма технической замены труда капиталом представляет собой количество, на которое затраты капитала могут быть сокращены, когда используется дополнительная единица труда, а выпуск продукции остается неизменным.
MRTS указывает на возможность фирмы проводить замещение одних производственных факторов другими. Возможность замещения одних производственных факторов другими в производственном процессе различна для каждой производственной функции: от функции, в которой факторы идеально заменяемы, до функции в которой пропорции используемых факторов производства неизменны. Максимизировать выпуск при данных издержках позволяет прямая равных издержек, или изокоста (по смыслу аналогичная бюджетной линии в теории потребительского поведения и спроса). Уравнение изокосты:
Для труда и капитала:
Касание изокванты с изокостой определяет положение равновесия производителя. Поскольку позволяет достичь максимального объема производства при имеющихся ограниченных средствах, которые можно затратить на покупку ресурсов. Учитывая, что в точке касания изокванта и изокоста имеют одинаковый наклон и что наклон изокванты измеряются предельной нормой технического замещения, можно записать условие равновесия как
Уравнение показывает, что при минимальных издержках каждый дополнительный рубль затрат, на производственные факторы добавляет одинаковое количество выпускаемой продукции, т.е. затраты на производство дополнительной единицы продукции одни и те же независимо от того, какой дополнительный фактор производства используется. При долговременном анализе необходимо выбрать оптимальный масштаб, объем производства фирмы. Неизменный эффект масштаба означает, что удвоение использования всех факторов ведет к удвоению выпуска продукции. Положительный эффект масштаба означает, что при этом выпуск продукции возрастает более, чем в два раза. Сокращающийся эффект масштаба означает, что выпуск продукции увеличивается менее, чем в два раза. Если расстояния между изоквантами, показывающими равномерное изменение выпуска продукции уменьшается, имеем положительный эффект масштаба, если увеличиваются - убывающий эффект масштаба. Траектория расширения экономической деятельности фирмы показывает, как изменяются минимизирующие издержки сочетания факторов производства по мере роста его объема. Данная траектория представляет полезную информацию для принятия долговременных плановых решений. 4.4. Рост производства, изоклиналь, эффекты масштаба и разнообразия
О LE С С, Рис. 4.4.1. Оптимум производителя В этом случае будет достигнут оптимум производителя,
который определяется равенством предельной нормы замещения труда капиталом (
MRSLK
)
отношению цены труда к цене капитала ( Цель производителя – достичь максимального выпуска продукции при имеющихся ресурсах. На рис. 4.4.1 иллюстрируется оптимум производителя. Точки А, Е, В лежат на одной изокосте СС и, следовательно, обойдутся предприятию в одну и ту же сумму издержек С . Но наиболее предпочтительна комбинация E , так как она обеспечивает больший объем выпуска (Q* > Q2 ). С другой стороны, комбинация М столь же технически эффективна, как и комбинация Е (достигается тот же объем Q* при иной комбинации объемов К и L) – они лежат на одной и той же изокванте. Но при данных ценах ресурсов точка М экономически неэффективна (за ту же сумму средств С ) можно получить больший объем Q* ). Если бюджет производителя будет возрастать, он получит возможность выходить на новые изокванты. Каждая точка касания соответствует такой комбинации факторов, которая дает минимум затрат для производства данного объема продукции, обозначенного на изокванте. Соединив точки, получим линию роста фирмы (S), которая получила название изоклинали (рис.4.4.2).
Рис. 4.4.2. Линия роста фирмы (изоклиналь) Изоклиналь показывает темп роста соотношения между факторами в процессе расширения производства. На рис. 7-5 изображена ситуация, когда труд в ходе развития производства используется в большей мере, чем капитал. Форма изоклинали зависит как от формы изоквант, так и от цен на ресурсы, соотношение между которыми определяет угол наклона изокост. Поэтому линия роста фирмы может быть либо прямой, либо кривой, исходящей из начала координат и направленной в сторону более интенсивного использования ресурса. По мере увеличения количества используемых ресурсов расстояние между изоквантами может быть разным. Если оно уменьшается, то это свидетельствует о том, что существует возрастающая отдача от масштаба, т. е. увеличение выпуска достигается при относительной экономии ресурсов. Если расстояние между изоквантами увеличивается, это свидетельствует об убывающей отдаче от масштаба. Наконец, если увеличение производства требует пропорционального увеличения ресурсов, производство развивается при постоянной отдаче от масштаба. Таким образом, изокванта позволяет не только показать путь экономии использования имеющихся у фирмы ресурсов, но и определить минимально эффективный размер предприятия в отрасли. В случае возрастающей отдачи от масштаба фиргме целесообразно наращивать объем производства, так как это приводит к относительной экономии имеющихся ресурсов. Убывающая экономия от масштаба свидетельствует о том, ччто минимально эффективный размер предприятия уже достигнутт и дальнейшее наращивание производства нецелесообразно. Следовательно, анализ выпуска с помощью изоквант позволяют определить техническую эффективность производства. В точ1ке касания изокосты и изокванты достигается не только техническая, но и экономическая эффективность, т. е. та технология. которая обеспечивает максимальный выпуск продукции при имеющемся бюджетном ограничении фирмы. КРАТКИЕ ВЫВОДЫ 1. Процесс производства – это деятельность людей, связанная с использованием полезных свойств производственных факторов для изготовления экономических (редких) благ. Одна из главных проблем рыночной экономики – добиться того, чтю-бы полезность произведенной продукции превышала полезность затраченных ресурсов. 2. Теория производства изучает соотношение между количеством применяемых ресурсов и объемом выпуска. 3. Основной инструмент анализа производства – производственная функция, описывающая количественную зависимость между выпуском продукции и затратами ресурсов. Один и тот же объем выпуска может быть достигнут при различных комбинациях ресурсов (технологиях). 4. Предельный продукт МР – дополнительное количество продукции, получаемой в результате использования одной дсо-полнительной единицы вводимого переменного фактора производства. Предельный продукт в денежной форме представляет собой дополнительный доход, получаемый фирмой от использования дополнительной единицы вводимого переменного ресурса. Его величина характеризует предельную доходность переменного ресурса MRP. 5. Соотношение "затраты выпуск" позволяет сформулировать закон убывающей доходности (производительности). Этот закон гласит, что по мере увеличения некоторого вводимого фактора производства величина предельного продукта изменяется, вначале возрастая, а затем уменьшаясь до нуля, после чего она становится отрицательной. Общий выпуск продукции будет максимальным в точке, соответствующей нулевому значению предельного продукта. 6. Максимально возможный объем производства, достигаемый в результате использования имеющихся ресурсов, считается технически эффективным. 7. Экономическая эффективность – это производство данного объема продукции с минимальными издержками. 8. Изокванта – кривая, показывающая различные комбинации ресурсов, таких, как труд и капитал, которые могут быть использованы для производства заданного количества продукции при данном состоянии технологии. Чем дальше от начала координат расположена изокванта, тем больший объем выпуска она отражает, а следовательно, тем больше ресурсов должна для этого использовать фирма. Наклон изокванты отражает заме-щаемость одного фактора производства другим в производственном процессе. 9. Изокоста – линия, показывающая комбинации ресурсов, которые можно приобрести за одинаковую сумму денег. Если любое сочетание ресурсов можно приобрести за одну и ту же сумму, то математическим выражением зависимости выпуска от затраченных ресурсов служит уравнение равных затрат. Изокоста аналогична бюджетной линии потребителя, но относится к приобретению ресурсов фирмой. 10. Равновесие производителя достигается в точке касания изокосты и изокванты, определяющей наименьшую стоимость ресурсов при заданном объеме производства. ВОПРОСЫ И ЗАДАНИЯ 1. На какие практические вопросы хозяйственной деятельности дает ответы теория производства? 2. Что такое производственная функция и в чем ее назначение? 3. Раскройте смысл предельного продукта и предельной доходности переменного ресурса. Объясните, почему динамика предельного продукта подчиняется закону убывающей доходности? 4. В чем заключается различие между технической и экономической эффективностью? 5. Чем объясняется разнообразие форм кривых равного выпуска продукции (изоквант)? Может ли изокванта быть вогнутой к началу координат? 6. Существует ли различие между правилом максимизации прибыли и правилом наименьших издержек? Если да, то в чем оно состоит? 7. Если фирма применяет обеспечивающее максимальный выпуск продукции отношение труда к капиталу, то гарантирует ли такое отношение ресурсов одновременно и наименьшие издержки? Обоснуйте ответ. 8. Что такое предельная норма технического замещения ресурса и чем она характеризуется? Проиллюстрируйте ответ графически. 9. Раскройте смысл процесса отдачи от масштаба и объясните принципы возрастающей, убывающей и постоянной отдачи от масштаба. 10. Объясните, почему равновесие (оптимум) производителя достигается в точке касания изокванты и изокосты? Что это значит? 9 ЛИТЕРАТУРА1. БаррР. Политическая экономия: В 2 т. Т. 1. М., 1994. С. 424-448. 2. Гальперин В, М., Игнатьев С. М., Моргунов В. Н. Микроэкономика. СПб., 1994. Гл. 7. 3. Гребенников П. И.. Леусский А. И., Тарасович Л, С. Микроэкономика. СПб., 1996. Гл. 1. 4. Ивашковский С. Я. Микроэкономика. М., 2002. Гл. 7. 5. Курс экономической теории / Под ред. М. Н. Чепурина, Е. А. Киселевой. Киров, 2004. Гл. 10. 6. Макконнелл К. Р., Брю С. Л. Экономикс: принципы, проблемы и политика. М., 2006. 7. Пиндайк Р., Рубинфельд Д. Микроэкономика. М., 2000. Гл. 6. 8. Чеканский А., Фролова Н, Микроэкономика. М., 2005. Гл. 8. 9. Морган Дж, М. Руководство по изучению учебника "Экономика" С. Фишера, Р. Дорнбуша, Р. Шмалензи. М., 1997. Гл. 8. 10. Сборник задач по экономике / Отв. ред. Ю. Е. Власьевич. М., 1996. Раздел II. Тема 5. 11. Чепурин М., Киселева Е. и др. Сборник задач по экономической теории. Киров, 2005. Тема 10. Лекция 5. 9.1.1.1.1 Основы теории предпринимательства и фирмыПлан 5.1. Основные понятия предпринимательства и фирмы 5.2. Природа фирмы 5.3. Развитие теории фирмы 5.4. Классификация фирм Учебные цели лекции: • знать, что представляет собой фирма как экономический субъект рынка, какие функции она выполняет; • уметь объяснить основные черты фирмы и ее отличия от рынка как альтернативной формы координации хозяйственных связей производителей; • понимать причины возникновения классических фирм и их организационные формы; • видеть новые явления в институциональной структуре экономики, влекущие появление новых типов фирм; • знать типы контрактов и уметь объяснить их экономическое содержание; • уметь объяснить, в каких сферах целесообразно использование тех или иных форм предпринимательской деятельности; • понимать причины возникновения государственных предприятий, их природу и основные функции государственного сектора в рыночной экономике. Задача данной главы – объяснить менеджерам причины появления фирм в рыночной экономике, раскрыть их природу, показать, какие факторы влияют на выбор размера и организационно-правовых форм предпринимательской деятельности. 9.1.29.1.3 5.1. Основные понятия предпринимательства и фирмыПредпринимательство и представления о нем прошли долгий путь развития от первых проявлений предприимчивости людей вплоть до современной фирменной организации предприятий и соответствующих представлений о предпринимательстве и фирме. Предпринимательство ныне понимается как инициативная самостоятельная деятельность людей (самодеятельность), направленная на получение материальных и духовных благ, прибыли или личного дохода, осуществляемая от своего имени, под свою имущественную и иную ответственность или от имени и под юридическую ответственность юридического лица в зависимости от организационно-правовой формы предприятия. Лицо, занимающееся предпринимательством, предприниматель может осуществлять любые виды хозяйственной деятельности, не запрещенные законом, включая коммерческое посредничество, торгово-закупочную, консультационную и иную деятельность, в том числе операции с ценными бумагами, без применения наемного труда и с его применением, без образования юридического лица и с образованием юридического лица (фирмы). Предприниматель, осуществляющий свою деятельность без образования юридического лица, отвечает по свои обязательствам, связанным с этой деятельностью, всем своим имуществом, за исключением того имущества, на которое по закону не может быть обращено взыскание. Далеко не все люди имеют предпринимательские способности. Предпринимателем считается физическое лицо, прошедшее государственную регистрацию, вставшее на учет в налоговых органах, получившее при необходимости лицензии, свидетельства или иные подобные документы, выдаваемые уполномоченные ораны. Лицо, занимающееся предпринимательской деятельностью без создания предприятия и образования юридического лица, имеет статус индивидуального предпринимателя. Предприятие – это самостоятельный хозяйствующий субъект с правами юридического лица. Предприятие имеет право выполнять любую хозяйственную деятельность, не запрещенную законом и отвечающую целям, предусмотренным в Уставе предприятия, прошедшем государственную регистрацию. Предприятие имеет имя, права юридического лица, самостоятельный баланс (бюджет), расчетный и иные банковские счета, печать со своим наименованием. В состав предприятия как имущественного комплекса входят все виды имущества (активов), предназначенные для его деятельности, включая земельные участки, здания сооружения, оборудование, инвентарь, сырье, продукцию, права требования, долги, а также права на обозначения, индивидуализирующие предприятие, его продукцию, работы и услуги (фирменное наименование, товарные знаки, знаки обслуживания) и другие исключительные права, если иное не предусмотрено законом или договором. Развитие организационно-правовой формы предприятия привело к возникновению и последующему развитию его фирменной организации. Крупная фирма объединяет несколько предприятий. Есть и более тонкие различия между понятиями предприятия и фирмы, которые, как правило, к сожалению не учитываются в учебниках по экономической теории (См., например, Экономическая теория: учеб. / Под ред. И.П. Николаевой. – 2-е изд. – М.: ТК Велби, Изд-во Проспект, 2006. – 575 с. – С. 96). Типы фирм: индивидуальная фирма (sole proprietorship) – фирма, которой торой владеет одно физическое лицо, самостоятельно ведущее дело в собственных интересах и отвечающее за него всем личным имуществом; партнерство ( partnership) – фирма, принадлежащая одновременно двум и более лицам, которые совместно владеют и управляют предприятием, получают согласованные части прибыли и несут неограниченную ответственность за деятельность фирмы; корпорация ( corporation) – фирма, имеющая форму юридического лица и принадлежащая группе акционеров, причем имущество и собственность этой фирмы отделены от имущества и ответственности ее совладельцев, ответственность каждого из которых за дела фирмы ограничена его вкладом. Виды ресурсов фирмы (по классификации от О. Уильямсона): Общие – ресурсы, ценность которых не зависит от нахождения в данной фирме; Специфические – ресурсы, ценность которых внутри фирмы выше, чем вне ее; Интерспецифические – взаимодополняемые, взаимоуникальные (комплексные) ресурсы, максимальная ценность которых достигается только в данной фирме или посредством нее. Трансакционные издержки (transaction costs) – затраты в сфере обмена, связанные с передачей прав собственности; относительная ценность ресурсов, используемых для планирования, координации (согласования интересов и заключения контрактов), адаптации и контроля за выполнением поставленных задач в различных структурах, упорядочивающих отношения между экономическими агентами, обменивающимися правами собственности и свобод, (а также взаимными требованиями друг к другу и в отношении третьих лиц). Трансформационные издержки (transformation costs} – элементы затрат производства, возникновение которых связано с использованием ресурсов для производства продукта посредством изменения их физической формы, а также перемещением его в пространстве и и/или во времени. Доход (revenue; валовой доход – total revenue, TR) – денежные средства, полученные от продажи данного продукта (или нескольких продуктов). Показатели дохода: средний доход (average revenue) – доход, получаемый от продажи единицы продукта: AR = TR/Q ; предельный доход (marginal revenue) – дополнительный доход, полученный в результате роста объема продаж товара на единицу. Предельный доход определяется как отношение прироста валового дохода к приросту объема продаж: MR = ΔTR/ΔQ
, где ΔQ
= 1, точнее, в динамике: Показатели прибыли (profit, π): нормальная прибыль (normal profit) – прибыль, равная альтернативным издержкам (доходу) предпринимателя, удерживающая его в отрасли (согласно неоклассической догме – нулевая экономическая прибыль (zero profit) – альтернативная стоимость использования предпринимательской способности, см., например, Сборник задач по микроэкономике. К «Курсу микроэкономики» Р.М. Нуреева / Гл. ред. д.э.н., проф. Р.М. Нуреев. – М.ю: Норма, 2005. – 432 с. – С. 101.). Поэтому нормальная прибыль является, подобно нормальной амортизации, нормальным величинам зарплаты, прибыли, процента, ренты, дивиденда и вообще любой цены, одновременно элементом издержек и доходов, связывая микроэкономику с макроэкономикой. Так, когда фирма получает только нормальную прибыль, то ее доход полностью расходуется на покрытие всех затрат фирмы. То же можно сказать и отношении всех других нормальных доходов; экономическая (чистая) прибыль (economic profit) – разница между полным, в том числе нематериальным, непроизведенным (вмененным) доходом и всеми альтернативными (вмененными) затратами фирмы; валовая (бухгалтерская) прибыль – прибыль, равная разнице между совокупной денежной выручкой от продажи товаров (или услуг) и внешними затратами, связанными с их производством и реализацией. Парадокс прибыли (paradox of profits) – возникающая в краткосрочном периоде экономическая прибыль при нулевых барьерах входа и выхода становится объектом конкуренции, перераспределяющей не только прибыль, но и все другие доходы и даже ресурсы таки образом, что это приводит к исчезновению в долгосрочном периоде избытка над нормальной прибылью, (а также избытков над всеми другими доходами, согласно критерию эффективности В. Парето). Правило максимизации прибыли: MRP = Р . Правило минимизации издержек:
в числителе – MRPFi – предельный (marginal, M ) денежный (денежная выручка – revenue, R ) продукт (product, P ); в знаменателе – цена (price, P ) i -го фактора (factor, Fi ). В неоклассических моделях учитываются 4 фактора – капитал (capital, K ), труд (labor, L ), земля (terra, T ), предпринимательские способности (предпринимательство – enterprise, E ). Условие равновесия фирмы – состояние, в котором фирма получает максимально возможную прибыль: MR = М С . Условие равновесия фирмы на конкурентном рынке в долгосрочном периоде: MR = МС = АС = Р . Фирма, или компания, – производственная единица, преобразующая факторы производства в обладающие более высокой ценностью промежуточные н конечные товары и услуги. Фирма – основная производственная единица и важнейший элемент теории рынка, она служит для объяснения того, как взаимодействуют производители и как их решения по ценообразованию и выпуску влияют на рыночное предложение и цену. Термин «фирма» появился значительно раньше, чем возникли сами фирмы в современном их понимании. Он происходит от латинского слова firma (подпись), означавшего торговое имя купца, коммерсанта, занимавшегося перепродажей разнообразных товаров на рынках средневековых городов. В современных условиях фирма представляет собой многоплановое явление хозяйственной жизни, содержание которого может быть раскрыто через ряд признаков. Признаки фирмы: 1. Фирма – это организация, т. е. совокупность людей, объединенных общей целью, для достижения которой используются соответствующие структуры, умения и навыки экономических агентств. В этом смысле ни Робинзон, живущий на необитаемом острове, ни отдельный ремесленник, изготовляющий садово-огородный инвентарь для продажи, ни бабушка, торгующая квашеной капустой или семечками на рынке, не могут рассматриваться в качестве фирмы. Фирма – это такой агент, который возникает на основе сознательно сформированной группы людей для реализации ее интересов посредством производственной деятельности. 2. Фирма является самостоятельным экономическим агентом: а) имеет в собственности, хозяйственном ведении или оперативном управлении обособленное имущество; б) отвечает по своим обязательствам этим имуществом; в) обладает организационной обособленностью (фирма как целостная единица в отличие от предприятия никому более не подчинена); г) имеет производственную и экономическую свободу (фирма сама решает, что, как и для кого производить, кому, когда и по какой цене продавать произведенный продукт, каким образом распределять конечный доход). Самостоятельность фирмы выражается в особом ее наименовании – торговой марке. 3. Фирма выполняет особые функции в экономике: предъявляет спрос на ресурсы, комбинирует их определенным образом в соответствующие технологии, производит товары и услуги с последующей их реализацией на рынке. При этом производственная функция фирмы связана с приобретением лишь редких ресурсов и выпуском таких же редких (экономических) благ, т. е. продуктов, которых недостаточно для удовлетворения потребностей всех желающих при нулевой цене. В свою очередь недостаточность благ для полного обеспечения потребностей общества составляет основу рационального использования ресурсов и эффективного обмена, осуществляемых фирмой посредством альтернативного выбора. Следовательно, фирма – это инструмент альтернативного использования ресурсов в экономике между конкурирующими целями. 4. Фирма самостоятельно поддерживает и воспроизводит производственный потенциал, т. е. осуществляет самофинансирование деятельности, что обеспечивается за счет прибыли – разницы между совокупной выручкой и совокупными издержками. Это отличает фирму от некоммерческих организаций, деятельность которых не предполагает получения прибыли. ВЫВОД . Фирма представляет собой сложное организационно-экономическое и правовое образование, исследование которого ведется с разных точек зрения. Именно поэтому в экономической науке нет однозначной трактовки природы фирмы и причин ее возникновения. 5.3. Природа фирмы в неоклассической и институциональной теориях В современной экономической литературе существует две основные теории фирмы – неоклассическая и институциональная. неоклассическая теория фирмы. В основе этой теории лежит стандартный неоклассический подход, разграничивающий функции фирмы и рынка: фирма специализируется на функции производства, обеспечивающей трансформацию ресурсов в продукт, а рынок – на обмене, посредством которого осуществляется размещение (аллокация) ресурсов, с одной стороны, и распределение произведенной продукции – с другой. В случае совершенной конкуренции рынок задает фирме соответствующий уровень цен на ресурсы и произведенную продукцию, и ее задача состоит в выборе объема производства, максимизирующего прибыль. В условиях несовершенной конкуренции в центре внимания фирмы оказывается решение вопроса не только об объеме производства, но и об уровне цены, соответствующей той же целевой функции – максимизации прибыли. Предполагается также, что те фирмы, которые не максимизируют прибыль, под влиянием рыночной конкуренции постепенно уходят из отрасли, уступая место другим. Такой подход к трактовке фирмы в экономической литературе получил название технологического. В нем фирма выглядит, как механизм, выполняющий чисто техническую задачу по преобразованию редких ресурсов в товары и услуги и взаимодействующий с внешней средой (рыночной структурой – конкурентной или монопольной), которая определяет способ максимизации прибыли как целевой функции фирмы. При этом все внимание сосредоточивается на происходящем не внутри «черного ящика», а как бы за его пределами. Методологическое значение такой трактовки заключается в объяснении поведения фирмы, определении объема выпуска и цены как в условиях совершенной, так и несовершенной конкуренции. Другими словами, технологический подход помогает понять проблему ценообразования и определения размеров производственных единиц. Он показывает, что технология (т. е. определенное соотношение факторов производства) выступает как фактор, диктующий больший или меньший размер фирмы. Согласно неоклассической теории размеры фирмы определяются функцией роста фирмы (графиком изоклинали) и эффектами экономии а) от масштаба, б) от разнообразия. Функция роста фирмы («путь развития» или изоклиналь) определяется соотношением технологии и цен необходимых для нее ресурсов. Экономия от масштаба достигается путем применения на крупных предприятиях мощного, высокоспециализированного, а потому эффективного оборудования. В результате обеспечивается рост производительности и снижение средних затрат на единицу продукции. Экономия от разнообразия имеет место, когда рост производительности и сокращение затрат достигается за счет соединения «под одной крышей» нескольких различных видов деятельности. Источником экономии от разнообразия служит как использование одного и того же ресурса или одной и той же технологии одновременно в нескольких производственных процессах, так и дополняющий характер спроса. Например, на бензозаправочной станции нередко организуется мойка, диагностика и даже мелкий ремонт машин, ведется розничная торговля запчастями и лакокрасочными материалами и т. д. Производство достигает оптимальных размеров выпуска при полном исчерпании положительного эффекта от масштаба и разнообразия. Оптимален размер, когда долгосрочные средние издержки достигают минимального значения. Однако если после этого объема средние издержки начинают расти, то фирма может организовать два, три или больше филиалов (предприятий), каждый из которых оптимален для данных технологии и отрасли. Отсюда следует, что фирма и предприятие – не одно и то эюе. Фирма может включать несколько предприятий, причем самых разных как по сфере деятельности, так и по применяемым технологиям. ВЫВОД . Технологическая трактовка фирмы представляет не только теоретический интерес, но и практическую ценность. Вместе с тем она не дает ответа на вопрос: почему существуют фирмы, как они связаны с рынком, правом, государством, другими общественными институтами? Эти ответы дали представители институциональной теории. институциональная теория фирмы. В ее основе лежит не разграничение функций фирмы и рынка, которое позволяет показать поведение фирмы в соответствии с ее целевой функцией, а сопоставление фирмы и рынка как альтернативных способов координации хозяйственных действий людей. Сравнительные особенности рынка и фирмы:
Фирма возникает в результате сознательных, согласованных действий экономических агентов, в то время как рынок – продукт спонтанного, стихийного хозяйственного развития. Это означает, что фирма – коалиция ресурсов, принадлежащих различным агентам. В ее состав могут входить поставщики, потребители, акционеры, кредиторы, управляющие, наемный персонал и т. д., заключающие между собой соответствующие контракты. Поэтому данная теория получила еще название контрактной теории фирмы. В ее рамках выделяются два основных подхода к объяснению возникновения и природы фирмы: концепция агентских отношений и концепция трансакционных издержек. Концепция агентских отношений рассматривает рынок как совокупность лиц, обменивающихся правами собственности. Поскольку на рынке ресурсы рассредоточены между разными владельцами, то произвести товар или услугу с помощью лишь одного собственника ресурса невозможно. Приходится заключать соглашения и вступать в агентские отношения с множеством обладателей прав собственности на ресурсы. Агентскими называются отношения, в рамках которых один экономический субъект привлекает другого экономического субъекта для оказания определенных услуг от своего имени, что предполагает делегирование некоторых прав на принятие решений от поручителя (принципала) к исполнителю (агенту). Главный довод, объясняющий выгодность фирмы в рамках концепции агентских отношений, – синергетический (суммарный) эффект, получаемый ее участниками от кооперации своих действий, т. е. от производства группой (коллективом). Производство группой становится фирмой тогда, когда группа обеспечивает выпуск большего по стоимости продукта, чем это было бы возможно через обособленное производство с помощью рыночного обмена. Иначе говоря, в концепции агентских отношений существование фирмы выводится из экономии на производственных издержках, достигаемой на основе «сложения сил» всех собственников ресурсов. В концепции трансакционных издержек фирма выступает как инструмент экономии не производственных затрат, а затрат рыночного обмена, которые получили в экономической теории название трансакционных ( См., Р. Коуз. Фирма, рынок и право). Следовательно, производственные ресурсы будут интегрироваться в рамках фирмы, если в результате их взаимодействие начнет осуществляться с меньшими трансакционными издержками . Концепция транакционных издержек позволила лучше понять природу и необходимость не только фирмы, но и рынка. Ведь если фирмы позволяют устранить многие трансакционные затраты и фактически сократить суммарные издержки на производство благ, то почему существует рынок? Почему все производство не осуществляется одной гигантской фирмой? Ответ заключается в том, что любая иерархическая структура, в том числе и фирма, так же не свободна от определенных издержек, как и рынок. Разница лишь в том, что в рамках фирмы (иерархии) эти издержки принимают другой характер – издержек бюрократического контроля. С увеличением размеров фирмы происходит постепенное сокращение дохода от предпринимательской функции, так как издержки бюрократического контроля на организацию дополнительных хозяйственных действий внутри фирмы будут возрастать. При превышении определенного размера фирма теряет управляемость, так как в силу вступает действие принципа убывающей доходности управления. Затраты на поиск и обработку информации внутри фирмы стремительно растут, подчинение работников целям фирмы с помощью системы стимулов, контроля и надзора обходится все дороже и дороже. Именно поэтому организация экономики всей страны по типу «одной гигантской фабрики» и «одной конторы», как хотели, было, в России большевики-ленинцы, ведет не к сокращению, а, напротив, к возрастанию трансакционных затрат – в специфической форме затрат бюрократического контроля. ВЫВОД . Ни у рынка нет абсолютных преимуществ перед организацией (иерархией), ни у организации перед рынком. В каждом случае есть свои плюсы и минусы. Поэтому, когда фирма решает, как организовать ту или иную сделку – обратиться к внешнему поставщику или изыскать внутренний источник, – она должна взвесить издержки и выгоды того и другого вариантов. В этом ключ к решению вопроса об оптимальных размерах фирмы с точки зрения институционального подхода. Графическая иллюстрация оптимального размера фирмы дана на рис. 5.1. Он определяется точкой Е, в которой предельные затраты на организацию административного контроля внутри фирмы становятся равными предельным затратам использования механизма рынка МС*. В точке равновесия этих издержек общие трансакционные издержки TC * минимальны. Следовательно, до этой границы выгодна фирма (иерархия), после – рынок (разумеется, с учетом конкретных технологических, отраслевых и других условий: оптимальный размер металлургического комбината будет совершенно иным, чем размер нотариальной конторы или туристического агентства). Взаимодействие собственников ресурсов может характеризоваться большим разнообразием, что обусловливает и разнообразие типов трансакций . В их числе:: а) общие или специальные (в зависимости от уникальности ресурса); б) мимолетные или длительные, однократные или постоянно повторяющиеся; в) слабо или сильно зависящие от непредвиденного будущего; г) с легко или трудно измеримыми результатами.
Число трансакций внутри фирмы Рис. 5.1. Оптимальный размер фирмы в теории трансакционных издержек: а – общих; б – предельных. Фирма как коалиция ресурсов, принадлежащих различным агентам, предполагает заключение контракта (трудовой договор между работодателем и работником при поступлении на работу, контракт на поставку сырья, материалов, оборудования и т. д.). Контракт – соглашение между экономическими агентами или их группами, включающее обязательства сторон поставить товар или услугу, с одной стороны, и осуществить оплату – с другой, в заранее оговоренном порядке. Типы контрактов: классический контракт – двусторонний контракт, основанный на существующих юридических правилах, четко фиксирующий условия сделки и предполагающий санкции в случае невыполнения этих условий; неоклассический контракт – долгосрочный контракт в условиях неопределенности, когда невозможно заранее предвидеть все последствия заключаемой сделки. Для решения возникающих споров стороны обращаются в арбитраж, который решает, насколько правильно данный контракт выполняется. Поэтому договор с самого начала приобретает тройственный характер. Устные договоренности здесь учитываются наряду с письменными; отношенческий, или имплицитный, контракт – долгосрочный взаимовыгодный контракт, в котором неформальные условия имеют перевес над формальными. Его выполнение гарантируется заинтересованностью участвующих сторон. Для его осуществления требуется, как правило, контролируемый (планомерный) порядок, предполагающий иерархию. В обычном рыночном обмене контракт носит классический характер. При создании фирмы заключается отношенческий контракт, т. е. контракт, в котором оговариваются общие условия и цели установления отношений между собственниками ресурсов, а также определяются механизмы принятия решений и снятия спорных вопросов. Заключение отношенческого контракта между собственниками ресурсов – один из кон-ституирующих признаков фирмы как экономического института. Потребность в заключении отношенческого контракта особенно велика, когда сделка связана с использованием специфических или интерспецифических ресурсов. Напротив, когда ресурс носит общий характер, его использование далеко не всегда предполагает заключение указанного контракта. Ресурсы принято считать общими, если их ценность не зависит от участия в данной фирме (организации): внутри и вне ее они оцениваются одинаково (например, знание таблицы умножения, умение грамотно писать и т. п.). Специфические ресурсы – такие ресурсы, ценность которых внутри фирмы (организации) выше, чем вне ее (например, специалист по маркетингу в риэлторской компании, уникальное оборудование, сделанное по индивидуальному заказу). Интерспецифические ресурсы – взаимодополняемые, взаимоуникальные ресурсы, ценность которых может получить полное развитие только в данной фирме (организации) и посредством нее. Это означает, что альтернативные издержки использования таких ресурсов равны нулю. Если фирма распадается, то каждый из владельцев интерспецифического ресурса не сможет найти замены на рынке или в рамках другой организации (например, специалист редкого языка). Заметим, что не всякий долговременный контракт принимает форму полноценной фирмы. Если в долговременном контракте есть возможность оговорить все возможные будущие события, то образование фирмы необязательно. Однако во многих случаях включить в контракт все будущие события практически невозможно, поскольку способности человеческого предвидения ограниченны. Как правило, в контракт удается включить лишь несколько самых важных особых условий. Поэтому фирма всегда выступает как неполный контракт, т. е. она заменитель (несовершенный, но достаточно эффективный) долговременного контракта. Заключение неполного контракта между участниками фирмы неизбежно ведет к неравному распределению прав: по обоюдному согласию один из участников (предприниматель, менеджер) наделяется правами при наступлении не оговоренных в контракте событий принимать решения по своему усмотрению , другой соглашается подчиняться его контролю и командам. Поэтому фирма предстает в одно и то же время и как неполный контракт, определяющий ее внутреннее устройство, и как система авто' ритарной власти, действующая в рамках этого устройства. Такое вынужденное неравное распределение прав во многих случаях оказывается выгодным участникам фирмы, поскольку является условием их оппортунистического поведения. Оппортунистическое поведение – это поведение экономического агента в соответствии с собственными интересами, ущемляющее при этом интересы партнеров. Примеры оппортунистического поведения: 1. Действия менеджеров крупных компаний, управляющих банков и т.п., сопровождающиеся неоправданным риском, махинациями с ценными бумагами, мошенничествами для личной материальной или моральной выгоды; 2. Отлынивание – действия индивидов в целях уменьшения собственного вклада в затраты без соответствующего уменьшения получаемого дохода. Вероятность оппортунистического поведения повышается с ростом размеров фирмы, поскольку в больших коллективах проконтролировать действия управляющих и специалистов и оценить вклад каждого работника в общее дело крайне трудно. Поэтому, как считают экономисты, чем крупнее фирма, тем слабее связь между вознаграждением работника и его личным вкладом, а значит, сильнее стимулы к отлыниванию и другим формам оппортунизма. Но в крупных фирмах сильнее действуют факторы традиций, имиджа, карьеры и т.д. ВЫВОД. Фирма необходима тогда, когда благодаря ей достигается более высокая эффективность, чем это было бы под силу нескольким мелким организационным единицам, из которых она формируется. И. наоборот, для повышения экономической эффективности требуется контроль за размерами фирмы и их ограничение. 5.4. Классификация фирм по размеру, юридической и организационно-правовой форме Фирмы различаются по размерам, регионам, отраслям и секторам деятельности, формам собственности и хозяйствования, числу занятых, инновационной и инвестиционной активности, ориентации на внешние и внутренние потребности, скорости роста и многим другим признакам. Виды фирм по размеру. Размер фирмы оценивается по одному или нескольким критериям: численности работников, величине капитала, активов, рыночной капитализации, объему продаж. В соответствии с критерием численности в США, например, выделяют четыре категории фирм: очень мелкие фирмы – до 20 занятых, мелкие – от 30 до 99, средние – 100 – 499, крупные – 500 и более. Показатель варьирует по отраслям: в розничной торговле к мелкому бизнесу относятся фирмы с числом занятых до 100 человек, в обрабатывающей промышленности – до 500. В России в сфере услуг и торговли малым считается предприятие с численностью работающих до 25 человек, в сфере науки – до 100, в промышленности и строительстве – до 200. В Германии используется несколько критериев:
Преимущества мелких фирм. Малые предприятия по природе более инновационны. Создание мелких фирм часто связано с попыткой использовать какое-либо новшество, ориентированное на спрос и быструю реализацию. Так, американские компании с числом занятых менее 1 тыс. человек разрабатывают в 17 раз больше крупных технических нововведений, чем фирмы с числом занятых свыше 10 тыс. человек. Широкое развитие мелких лавочек, кафе, ресторанов и закусочных в России, на услуги которых постоянно растет спрос, – это для нас также новшество. К преимуществам мелких фирм следует отнести и то, что они тратят намного меньше времени на процесс от разработки нового продукта до выхода его на рынок. Если мелким фирмам требуется в среднем 2,3 года, то большим – 3,1 года. В результате инновационные возможности мелких и средних фирм обеспечивают не менее 20–25% вклада в общий экономический рост США. Поэтому в США и во всем мире, в том числе в России, существуют программы поддержки малого бизнеса, например, налоговые и кредитные льготы. Преимущества крупных фирм. Переоценивать роль мелкого бизнеса нельзя. Хотя в общей численности фирм на долю мелких приходится 80–90%, их удельный вес в производстве ВВП составляет 5–6%. А это значит, что проблемы современной экономики не могут быть решены усилиями разрозненных, хотя и многочисленных, мелких фирм. Сложность и масштабность этих проблем стимулируют укрупнение фирм, что достигается их слиянием, поглощением более мелких фирм, созданием совместных предприятий, консорциумов и т. п. Для крупных фирм характерны, как правило, небольшие рыночные трансакционные издержки и, напротив, большие издержки бюрократического контроля. В свою очередь мелкие фирмы характеризуются относительно низкими издержками бюрократического контроля, но вынуждены нести высокие рыночные трансакционные издержки. Расчеты показывают, что на крупных фирмах трансакционные издержки составляют 5–10% от фактических издержек производства, а бюрократические издержки – 30–40%; на средних фирмах – соответственно 50–60 и 20–30%; на мелких трансакционные издержки возрастают до 70–80%, а бюрократические снижаются до 10–20%. Виды фирм по размерам и организационно-правовой форме С правовой точки зрения под фирмой подразумевается самостоятельный хозяйствующий субъект с правами юридического лица, который соединяет под своим управлением факторы производства – капитал, землю и труд – для производства товаров и услуг. Правовая форма – это комплекс правовых норм; определяющих отношения участников предприятия со всем окружающим миром. Основные организационно-правовые формы предпринимательской деятельности: 1. Единоличная (частнопредпринимательская) фирма. 2. Партнерство (товарищество). 3. Корпорация (акционерное общество). 4. Государственное предприятие. 1. ЕЛИНОЛИЧНАЯ (частнопредпринимательская) ФИРМА – это фирма, принадлежащая одному лицу, которое владеет всеми ее активами и несет персональную ответственность по всем ее обязательствам (является субъектом неограниченной ответственности). Собственник классической частнопредпринимательской фирмы – центральная фигура (принципал), с которой владельцы всех остальных факторов производства заключают контракты. Он владеет обычно наиболее важным (специфическим) ресурсом. Таким ресурсом могут быть особые интеллектуальные, предпринимательские и тому подобные способности. Цель частнопредпринимательской фирмы – получение остаточного дохода, остающегося после осуществления всех платежей владельцам привлекаемых факторов. Преимущества частнопредпринимательской фирмы: • простота организации. Благодаря ей коммерческое предприятие, основанное на единоличной собственности, создается без особых затруднений: • свобода действий владельца фирмы. Ему нет необходимости согласовывать принимаемые решения с кем бы то ни было (он самостоятелен в ведении всех своих дел); • сильная экономическая мотивация (получение всей прибыли, точнее, остаточного дохода одним лицом – владельцем фирмы). Недостатки частнопредпринимательской фирмы: • ограниченность финансовых и материальных ресурсов. Это обусловлено не только нехваткой собственного капитала, но и трудностями привлечения кредитных ресурсов. Кредиторы весьма неохотно идут на предоставление ссуд единоличным собственникам, полагая, что эта форма бизнеса не столь привлекательна для них, как другие формы. Поэтому основным источником финансирования частнопредпринимательской деятельности служат сбережения собственника и средства, взятые в долг у родственников, близких друзей и т. п. Со временем капитал можно нарастить, пустив в дело полученную прибыль, однако и в этом случае рост фирмы будет медленным. Поэтому по размерам индивидуальные предприятия, как правило, невелики; отсутствие развитой системы внутренней специализации производственных и управленческих функций (особенно в условиях малых и средних предприятий); определенные налоговые проблемы. Они возникают в связи с тем, что дополнительные выплаты, осуществляемые частнопредпринимательской фирмой (например, на медицинское страхование и страхование жизни) не рассматриваются налоговыми органами ряда стран как ее расходы и поэтому не подлежат исключению из прибыли при расчете налого-облагаемой базы. (Корпорации, напротив, пользуются налоговыми льготами в отношении подобных выплат.) Единоличный собственник должен оплачивать подобные расходы из прибыли, остающейся в его распоряжении после налогообложения: трудности при передаче прав собственности. В отличие от корпораций никакое имущество единоличного предприятия не может быть передано членам семьи при жизни владельца. Это ограничивает маневренность единоличной формы организации бизнеса, создает дополнительные проблемы в процессе накопления капитала; неограниченная ответственность собственника по всем обязательствам, взятым на себя его предприятием. Если к фирме предъявлены иски, в том числе в судебном порядке, ее собственник отвечает перед судом и несет полную персональную ответственность. Это означает, что для урегулирования претензий может быть конфисковано не только имущество фирмы, но и личная собственность владельца. Аналогичный исход бывает и в случае банкротства. Все это ставит единоличного собственника в рискованное положение. 2. ПАРТНЕРПСТВО (товарищество). Эта форма подобна единоличной собственности во всех отношениях, за исключением того, что в ней существует более чем один собственник. В полном товариществе все партнеры также несут неограниченную ответственность. Модифицированной формой полного товарищества является смешанное (коммандитное) товарищество, или товарищество на вере. Основная его особенность заключается в том, что наряду с одним или несколькими участниками, отвечающими по обязательствам товарищества всем своим имуществом, имеется один или несколько участников, ответственность которых ограничивается их вкладами в дело. Коммандитные товарищества в некоторых случаях могут выпускать акции на сумму вкладов внешних участников. Такие участники называются акционерными коммандитистами, а общество – акционерной коммандитой. 3. КОРПОРАЦИЯ (по российскому законодательству – акционерное общество). Она представляет собой обезличенное предприятие с правом юридического лица, созданное в разрешительном порядке и обладающее уставным капиталом, разделенным на определенное число равных долей – акций. Отличительные черты и преимущества корпораций: • существуют независимо от их собственников; • ограниченная ответственность. Ответственность членов общества, которых называют акционерами, ограничивается нарицательной стоимостью приобретенных ими акций. В случае возникновения претензий к акционерному обществу закон запрещает конфискацию личного имущества его собственников; • акционеры имеют право на долю доходов корпорации. Часть прибылей, выплачиваемая владельцу акций, называется дивидендом. Та часть, которая не выплачивается в качестве дивидендов, называется нераспределенной прибылью; • право акционеров передавать свои акции другим лицам; • акционерные общества бывают двух типов – открытые и закрытые. Акции открытых обществ распространяются в свободной продаже на условиях, устанавливаемых законами и иными правовыми актами. Акционерные общества открытого типа создаются для того, чтобы собрать большой капитал. Акционерное общество, акции которого распределяются только среди его учредителей или иного заранее определенного круга лиц, называется закрытым. Такое общество не вправе проводить открытую подписку на выпускаемые им акции. Преимущества, связанные с ограниченной ответственностью, возможностью передачи собственности, а также способность акционерного общества привлекать капитал сверх вкладов владельцев определили широкое распространение корпоративной формы организации бизнеса в промышленности, торговле, банковском и страховом деле, в других сферах экономики. Поэтому в настоящее время акционерные общества – наиболее распространенная форма предпринимательства, своего рода "арматура" мировой экономики. Это объясняется отчасти тем, что их деятельность хорошо отработана исторической практикой. Первые предшественники таких обществ появились еще в XV–XVI вв., когда были созданы банки Св. Георгия в Генуе и Св. Амвросия в Милане. В XVII в. возникли крупные торговые компании: голландская Ост-Индская компания (1600г.), французская "Компани дез Энд оксиданталь" (1628 г.). К этому времени относится и появление столь известного сегодня понятия «акция», которое впервые упоминается в Уставе голландской Ост-Индской компании, участники которой именовались акционерами. Недостатки корпораций: • порядок уплаты налогов, предусматривающий двойное налогообложение: уплату налога с прибыли, которая сокращает величину дохода, причитающегося акционерам, и уплату налога с дивиденда, получаемого владельцами акций; • затраты времени на регистрацию акционерного общества и бюрократическую волокиту, иногда имеющую место в процессе образования общества. 4. государственное предприятие – производственная единица, характеризующаяся двумя основными чертами: а) имущество такого предприятия и управление им полностью или частично находятся в руках государства и его органов (объединений, министерств, ведомств): они либо владеют капиталом предприятия и обладают безраздельными полномочиями распоряжаться им и принимать решения, либо объединяются с частными предпринимателями, но влияют на них и контролируют их; б) в своей деятельности оно руководствуется не только поиском наибольшей прибыли, но и стремлением удовлетворить общественные потребности, что может ограничивать экономическую эффективность или даже вести в некоторых случаях к потерям, которые, однако, оправданны. От государственных предприятий следует отличать государственные учреждения, которые преследуют внеэкономические цели (больницы, школы, общественные службы) и не участвуют в собственно рыночном обмене. Причины возникновения предприятий государственного сектора: 1. Исторические причины. В ряде стран Европы государственные предприятия возникли по воле государственной власти в эпоху меркантилизма. Во Франции, например, одним из наиболее известных инициаторов создания государственных мануфактур в XVIII в. был тогдашний министр финансов Кольбер. В России активный процесс создания государственных мануфактур, основанных на крепостном труде, осуществлялся Петром I. 2. Некоторые государственные предприятия появились в результате экспроприации, вызванной особыми политическими обстоятельствами (например, конфискация французским государством заводов Рено и Берлие, чьи хозяева были обвинены в сотрудничестве с фашистами в годы Второй мировой войны). 3. Государственные предприятия могут также возникать в результате выкупа частных предприятий, находящихся на грани банкротства или испытывающих серьезные трудности в области технической модернизации. Во многих странах правительство национализирует частные предприятия, предоставляющие общественные услуги и не способные функционировать без постоянной бюджетной поддержки. 4. Основная финансовая причина возникновения государственных предприятий – стремление государства иметь постоянный и стабильный источник доходов. С этой целью государство устанавливает монополию на производство некоторых товаров массового спроса (табак, водка, спички). 5. Технические причины. Под ними подразумеваются причины, обусловленные техническими свойствами таких производств, которые не в состоянии развиваться в рамках частной инициативы (железные дороги, электростанции, атомная энергетика и т. п.). 6. Идеологические причины возникновения государственных предприятий имеют место тогда, когда расширение госсектора в экономике происходит в условиях социальных или экономических реформ. Чаще всего такие реформы происходят на фоне политических перемен. Например, в Великобритании широкая национализация промышленных предприятий происходила в 1950–1960-х гг., когда у власти находились лейбористы. Во Франции идейным истоком национализации в послевоенный период послужила программа Национального совета Сопротивления. В бывших социалистических странах национализация проводилась для создания так называемой общенародной (государственной) собственности как условия реализации социалистических идеалов. Предприятие является государственным, если государство контролирует структуру и функционирование производственной единицы. Правовой статус государственных предприятий в различных странах отличается большим разнообразием. В зависимости от способа и степени участия государства в собственности предприятия и в его управлении различают три основные формы государственных предприятий: • бюджетные предприятия, • государственные корпорации; • смешанные компании. Бюджетные предприятия. В эту группу входят предприятия, не имеющие ни юридической, ни хозяйственной самостоятельности. По своему положению они относятся к системе государственного административного управления и непосредственно подчиняются каким-либо министерствам, ведомствам или органам местного самоуправления или структурно входят в них. Они не платят налогов на полученную прибыль, все их доходы и расходы проходят через госбюджет. Внешними источниками финансирования они обычно не пользуются, а субсидируются за счет государственной казны. Руководители предприятий назначаются соответствующими государственными органами и наряду с остальным персоналом считаются государственными служащими. К числу бюджетных предприятий обычно относятся службы связи, верфи, предприятия ВПК и т. п. Такие предприятия выступают в качестве неких "продолжений государства" и представляют собой самые старые и классические формы государственных предприятий. Государственные корпорации. Это довольно распространенная организационно-правовая форма государственных предприятий. Наряду с хозяйственной деятельностью, государственные корпорации выполняют, как правило, определенные регулирующие и управленческие функции в установленных пределах от имени государства. Это значит, что государственные корпорации сочетают черты коммерческого предприятия и государственного органа. Они могут быть образованы в форме акционерного общества, все акции которого принадлежат государству. Смешанные компании. Они образуются в форме акционерных обществ и товариществ с ограниченной ответственностью, акции которых принадлежат государству и частным вкладчикам. Смешанные компании действуют в соответствии с законом об акционерных обществах и являются юридическими лицами, участвуя в хозяйственном обороте на коммерческой основе наравне с частными фирмами. Тем не менее они обычно пользуются определенными привилегиями по сравнению с частными фирмами, которые могут выражаться в предоставлении государственных субсидий и дотаций, льготном режиме получения импортных лицензий, гарантированных поставках сырья и полуфабрикатов с других государственных предприятий по твердо фиксированным ценам, гарантированном рынке сбыта производимой продукции, экспортных дотациях и т. д. Собственный капитал смешанных фирм складывается из акционерного капитала, капитализированной прибыли и эмиссионного дохода, если их акции реализуются на фондовой бирже. Государство и частные акционеры получают доход от их деятельности в виде дивидендов. Смешанные компании имеют более широкие возможности, чем государственные корпорации, пользоваться заемными средствами. Роль государственного сектора – способствовать функционированию национальной экономики в условиях, близких к экономическому оптимуму, критерием которого является более эффективное использование ресурсов страны и увеличение ВВП. Эта роль имеет двоякое проявление: а) государственные предприятия выполняют функцию компенсатора по отношению к частному сектору. В период депрессии, например, инвестиции в государственный сектор заменяют недостаточные частные вложения; б) государственные предприятия могут играть роль инициатора по отношению к частному сектору. Производя с меньшими издержками и продавая по более низким ценам продукцию, госсектор может оказывать благотворное воздействие на всю экономику. Следовательно, создавая предприятия, государство получает инструмент управления национальной экономикой. ПРИЛОЖЕНИЕ. Цитаты из СМИ: «По данным Госкомитета по поддержке и развитию малого предпринимательства, в 1996 г.: • на долю малого бизнеса приходилось 10–12% ВВП; • в стране работало 810 тыс. малых предприятий; • в них трудились 14 млн. человек; • диапазон вовлеченности трудоспособного населения в малый бизнес колеблется от 2% в Мордовии до 31% в Москве; • объем инвестиций малых предприятий составил 28,8 трлн. неде-номинированных рублей, или 11% от всех инвестиций в стране». (Докучаев Д. Известия. 1997. 22 янв.). «Из 200 крупнейших российских компаний к сырьевому сектору относится 90, на их долю приходится почти 81% общего объема реализации». (Эксперт. 2000. 2 окт.). КРАТКИЕ ВЫВОДЫ Труд, сырьевые ресурсы и капитал не обладают полезностью до тех пор, пока они не объединены и не используются в процессе производства. Функция фирмы состоит в том, что она соединяет эти ограниченные ресурсы и управляет процессом их обработки, с тем чтобы обеспечить выпуск необходимых потребителям товаров и услуг и реализовать их на рынке. Фирма – это такое институциональное образование в рыночной экономике, которое призвано играть координирующую роль в процессе использования редких ресурсов и минимизировать трансакционные издержки участников. 3. Неоклассическая теория фирмы строится на разграничении функций фирмы и рынка как альтернативных способов организации экономической деятельности: фирма специализируется на функции производства, обеспечивающей трансформацию ресурсов в продукт, а рынок – на обмене, посредством которого осуществляется размещение редких ресурсов и распределение произведенной продукции. 4. Институциональная (контрактная) теория фирмы объясняет выгодность фирмы экономией производственных издержек (концепция агентских отношений) и издержек рыночного обмена (концепция трансакционных издержек). В противоположность рынку, где господствует спонтанность, фирма представляет собой иерархическую систему, в рамках которой все ключевые вопросы решаются на основе единоначалия, административным образом. 5. Фирма как иерархический институт тоже несет определенные издержки – издержки бюрократического контроля. С ростом размеров фирмы начинает действовать принцип убывающей доходности управления, поэтому ее оптимальные размеры определяются равенством предельных издержек управления внутри фирмы и предельных затрат на использование механизма рынка. 6. В реальной экономике все фирмы являются юридическими лицами и имеют соответствующую правовую форму. Правовая форма – это комплекс правовых норм, определяющих отношения фирм с окружающим миром. К основным организационно-правовым формам относятся: единоличная (частнопредпринимательская) фирма; партнерство (товарищество); корпорация (акционерное общество). Все они различаются по видам собственности, правовым полномочиям и обязательствам. Наиболее значимой в современной экономике является корпорация, поскольку она позволяет мобилизовать через фондовый рынок гигантские капиталы и решать самые сложные хозяйственные проблемы. 7. Важную роль в рыночной экономике играют и государственные предприятия, которые в зависимости от способа и степени участия государства в собственности и управлении могут иметь следующие правовые формы: бюджетные предприятия ; государственные корпорации («паблик корпорейшнз»); смешанные компании. 8. Роль государственного сектора заключается в том, чтобы способствовать функционированию национальной экономики в условиях, близких к экономическому оптимуму: обеспечивать возможность более эффективного использования ресурсов страны и увеличения совокупного продукта. Вопросы 1. Как и почему в рыночной экономике появились фирмы? Как соотносятся между собой фирма и рынок? 2. Что такое трансакционные издержки и почему без них в экономике никогда не появились бы фирмы? 3. Почему существует рынок, если фирмы позволяют устранять определенные затраты и фактически сокращать издержки производства? 4. Почему рыночная экономика не превращается в одну гигантскую фирму? 5. Чем определяются оптимальные размеры фирмы? Что такое малое предприятие? 6. Что такое контракт и какие типы контрактов рассматриваются в теории фирмы? 7. Что такое организационно-правовая форма предприятия и какие формы предпринимательской деятельности используются в современной мировой экономике? 8. В чем преимущества корпорации по сравнению с другими видами фирм? 9. Какие черты присущи государственному предприятию и какую функцию оно выполняет в экономике? 10 Литература1. Барр Р. Политическая экономия: В 2 т. Т. 1. – М., 1994. 2. Ивашковский С. Н. Микроэкономика: Учебник. – М., 2002. – Гл. 8. 3. Коуз Р. Фирма, рынок и право. – М., 1993. – Гл. 1-3. 4. Курс экономической теории / Под ред. М. Н. Чепурина, Е. А. Киселевой. – Киров, 2004. – Гл.9. 5. Менар К Экономика организации. – М., 1996. – Гл. 1, 5. 6. Самуэлъсон П., Нордхаус В. Экономика, 16-е изд. – М., 2006. 7. Теория фирмы / Под ред. В. М. Гальперина. – М., 1997. – Гл. 5. 8. Чепурин М., Киселева Е. и др. Сборник задач по экономической теории. – Киров, 2005. – Тема 9. Лекция 6. Экономические издержки и экономическая прибыль 5.1. Бухгалтерские и экономические издержки и прибыль: специфика и взаимосвязь 5.2. Природа и взаимосвязь постоянных, переменных, валовых, средних и предельных издержек. Семейства кривых издержек и прибыли 5.3. Взаимосвязь между производственными и трансакционными издержками. 5.4. Особенности формирования издержек и прибыли в коротком и долгом периодах, взаимосвязь между ними 5.1. Бухгалтерские и экономические издержки и прибыль: специфика и взаимосвязь В данной теме анализируется выбор производителей, препятствия и ограничения, стоящие на путях к достижению этих целей. Главной целью частной фирмы является максимизация прибыли, а главными препятствиями - издержки производства и спрос на произведенную продукцию. Издержки производства определяются стоимостью факторов производства, а именно затратами на привлечение труда, капитала и земли. Все издержки производства благ и услуг измеряются стоимостью наилучшей упущенной возможности использования затраченных на их создание факторов производства. Следовательно, все издержки представляют собой альтернативные издержки. Существуют различные классификации издержек. Согласно одной классификации издержки подразделяются на явные и неявные. Явные, или денежные издержки представляют собой альтернативные издержки , которые принимают форму денежных платежей собственникам ресурсов и полуфабрикатов. Неявные или вмененные издержки определяют альтернативные издержки использования ресурсов, которые принадлежат фирме и принимают форму упущенных возможностей Различие между явными и неявными издержками позволяют определить различие между бухгалтерской и экономической прибылью. Бухгалтерская прибыль получается, если из выручки фирмы вычесть явные издержки. Чистая экономическая прибыль равна разнице между бухгалтерской прибылью и величиной неявных издержек. Нормальная прибыль включается в неявные издержки. 5.2. Природа и взаимосвязь постоянных, переменных, валовых, средних и предельных издержек. Семейства кривых издержек и прибыли С точки зрения мобильности факторов производства, выделяют переменные и постоянные издержки. Издержки, связанные с обеспечением постоянных затрат являются постоянными. Переменные затраты изменяются в зависимости от объема выпуска продукции, а с их обеспечением связаны переменные издержки. Сумма постоянных и переменных издержек представляет собой валовые или общие издержки. Затраты же на единицу продукции имеют соответственно форму средних постоянных, средних переменных и средних общих издержек. Большое значение имеет выделение краткосрочного и долгосрочного временного интервала. Краткосрочным является такой интервал, в течение которого увеличение объема производства возможно осуществить только за счет увеличения переменных издержек. В течение долгосрочного временного интервала расширение производства возможно как за счет переменных, так и за счет постоянных издержек. Теперь рассмотрим производство в краткосрочном периоде. Когда существует один переменный фактор производства, действие закона убывающей отдачи определяет форму кривых издержек. Существует обратная зависимость между предельным продуктом переменного фактора производства и предельными издержками производства. Кривые средних переменных и средних валовых издержек U- образны. Кривая краткосрочных предельных издержек возрастает после определенной точки и пересекает линии средних переменных и средних валовых издержек в их точках минимума. Если предельные издержки меньше, чем средние общие издержки, средние общие издержки уменьшаются и наоборот. Это означает, что АТС будут падать до тех пор, пока кривая МС проходит ниже кривой АТС. Поскольку МС можно рассматривать как добавочные издержки либо к сумме общих, либо к сумме переменных издержек, ясно, почему кривая МС пересекает кривую AVC в точке минимума. 5.3. Взаимосвязь между производственными и трансакционными издержками. 5.4. Взаимосвязь между краткосрочными и долгосрочными издержками На долгосрочном временном интервале все издержки могут выступать как переменные. Первоначально расширение производственных мощностей сопровождается сокращением долговременных средних издержек, Однако, в дальнейшем увеличение объемов производства приведет к росту долговременных средних издержек. Экономия или ущерб от роста масштабов производства означает соответственно положительный или отрицательный эффект от изменения масштабов производства. Представим, что небольшое предприятие сначала развернуло минимальные производственные мощности, а затем благодаря успешной производственной деятельности расширяется все больше и больше. Сначала средние общие издержки при расширении производственных мощностей будут снижаться. Однако в дальнейшем ввод все больших и больших мощностей приведет к росту SАС. Кривая SAC1 показывает динамику краткосрочных средних издержек для самого маленького предприятия, SAC5 для самого большого. Строительство все более крупных предприятий будет приводить к снижению минимальных издержек на производство единицы продукции вплоть до достижения размеров третьего предприятия. Однако за этими пределами расширение производственных мощностей будет означать повышение минимального уровня краткосрочных общих издержек. При любом объеме производства меньше 20 единиц минимальные издержки производства единицы продукции достигаются на предприятии 1. Однако, если объем фирмы превышает 20 единиц, но меньше 30 единиц, она сможет добиться более низких издержек производства , построив более крупное предприятие - предприятие 2. При объеме производства от 30 до 50 единиц наименьшие издержки производства единицы продукции обеспечит предприятие 3 и т.д. Кривая долгосрочных издержек LAS для отдельной фирмы состоит из участков кривых SAC применительно к различным размерам тех предприятий , которые могут быть построены. Eсли бы возможно было построить предприятия любых размеров, то получилась бы огибающая LAC. LAC никогда не поднимается выше любой кривой краткосрочных средних издержек. Кривая долгосрочных средних издержек показывает минимальные средние издержки производства, когда все факторы производства переменные. Это означает , что фирма имеет в своем распоряжении достаточно много времени для изменения размеров предприятий. Кривая LAC является огибающей для всех краткосрочных кривых средних издержек. Когда эффект масштаба постоянный, кривая долговременных издержек является горизонтальной прямой. Когда эффект масштаба сначала возрастающий, потом убывающий, огибающая кривая приобретает U-образную форму и не включает всех точек минимума кривых краткосрочных средних издержек. Точки минимальных средних издержек самого маленького и крупнейшего из предприятий не находятся на кривой долгосрочных средних издержек вследствие возрастающего и падающего эффекта масштаба. Предельные издержки в долгосрочном периоде изображаются кривой долгосрочных предельных издержек, которая растет более медленно, чем краткосрочные кривые предельных издержек. Любая предпринимательская фирма в своей деятельности стремится минимизировать издержки и максимизировать прибыль. Лекция 7. Типы и модели рынка и фирмы 7.1. Модели рынка 7.2. Рынок и фирма в условиях совершенной конкуренции 7.3. Чистая монополия и монополистическая конкуренция 7.4. Виды и модели олигополии: от дуополии Курно до современной теории игр 7.1. Модели рынка
Чистая конкуренция. Максимизация прибыли в краткосрочном периоде Рассмотрим функционирование совершенно конкурентной фирмы. Совершенно-конкурентная фирма - это фирма, принимающая цену на свою продукцию как данную, не зависящую от продаваемого ее объема продукции. Кривая спроса такой фирмы представляет собой кривую абсолютно эластичного спроса. Краткосрочная кривая предложения совершенно конкурентной фирмы совпадает с кривой ее предельных издержек в той ее части, которая расположена выше минимально возможных средних переменных издержек. Основная проблема фирмы - поиск объема выпуска, который максимизирует прибыль. Прибыль определяет разницу между валовым доходом и совокупными издержками. Валовой доход определяется путем умножения цены проданного блага на количество проданной продукции. Доход от единицы продукции представляет собой средний доход. Дополнительный доход от продажи единицы продукции выражает предельный доход. В краткосрочном периоде для максимизации прибыли фирма сравнивает получаемый ею валовой доход с валовыми издержками или сравнивает предельный доход с предельными издержками. В зависимости от уровня рыночной цены фирма может получать прибыль или убытки. Согласно первому способу фирма будет осуществлять деятельность, если сумма убытка будет меньше ее совокупных постоянных издержек. Максимизация прибыли на основе предельного анализа предполагает такой объем выпуска, при котором предельная прибыль положительна. Главным условием максимизации прибыли является равенство предельного дохода и предельных издержек. В таком случае равновесный выпуск продукции представляет собой выпуск, при котором рыночная цена равняется предельному продукту и предельному доходу. Рыночная краткосрочная кривая предложения отражает суммарный объем продукции, поставляемый всеми фирмами, предлагающими стандартизированный продукт на рынок по любой возможной цене. Краткосрочная рыночная кривая предложения получается путем суммирования объемов предложения всех фирм при каждой возможной цене. 7.2. Максимизация прибыли в долгосрочном периоде. Чистая конкуренция и эффективность В долгосрочном временном интервале все производственные ресурсы мобильны. Число фирм в отрасли может изменяться. Если экономическая прибыль в отрасли превышает экономическую прибыль в других отраслях, то в данную отрасль устремляются фирмы из других отраслей. Если же экономическая прибыль отрицательна, то фирмы покидают данную отрасль. Совершенно конкурентная фирма в долгосрочном периоде функционирует только при условии, что цена не опускается ниже долгосрочных средних издержек. В случае, когда достигается равенство цены товара и минимально возможных в долгосрочном периоде издержек производства, достигается долгосрочное конкурентное равновесие. Долгосрочная кривая предложения совершенно конкурентной фирмы представляет собой ту часть ее кривой долгосрочных предельных издержек, которая расположена выше минимально возможных долгосрочных средних издержек. Кривая рыночного предложения на долгосрочном временном интервале получается путем горизонтального суммирования кривых предложения фирм в отрасли. Совершенная конкуренция отличается от других рыночных структур тем, что общество извлекаем максимальную полезность от использованных ресурсов и технологий. Не возможно улучшить положение одних субъектов без ухудшения положения других (оптимум по Парето). Слабые стороны конкурентной рыночной модели состоят в следующем: отсутствуют мотивы равномерного распределения доходов; не учитываются внешние издержки; нет заинтересованности в производстве общественных благ; не обеспечивается ни широкого диапазона выбора продуктов, ни условий для разработки новых продуктов. 7.3. Фирма в условиях несовершенной конкуренции Если на рынке существуют такие продавцы или покупатели, которые способны воздействовать на рыночную цену, то такая конкуренция уже имеет форму несовершенной конкуренции. В зависимости от степени контроля за ценами, можно выделить такие формы несовершенной конкуренции, как монополия, олигополия и монополистическая конкуренция. Чистая монополия характеризуется наличием единственного продавца товара, который не имеет близких заменителей. Фирма с монопольной властью устанавливает цену на свой товар и определяет объем его производства. Основой для диктата цен являются непреодолимые барьеры для вступления в отрасль для других фирм. Различают три вида монополий : закрытые монополии, которые имеют юридическую защиту от конкурентов, естественные монополии, которые защищены эффектом экономии на масштабах производства и открытые монополии, которые не имеют какой-либо специальной защиты от конкурентов. Кривая спроса фирмы-монополиста совпадает с кривой рыночного спроса. Она является убывающей, так как объем продаж можно увеличить только за счет снижения цены. В результате предельных доход будет меньше, чем цена для каждого уровня выпуска, кроме первого, и кривая предельного дохода лежит ниже кривой спроса. Фирма-монополист, как и любая другая фирма, оптимизирует прибыль при равенстве предельного дохода предельным издержкам. Соответственно определяется цена продукции. Фирмы – монополисты способны проводить ценовую дискриминацию, т.е. установление разных цен на один и тот же продукт для разных категорий покупателей. Следует учитывать влияние фирм, обладающих монопольной властью на эффективность распределения и использования ресурсов, которое проявляется по крайней мере в трех формах: Имеет место ограничение объемов производства и установление более высокой цены. Отсутствие стимула к снижению производственных издержек. Фирма слабо заинтересована в научно-исследовательских разработках. Возникают огромные расходы, связанные с сохранением и укреплением монопольной власти. Выясним теперь специфику монополистической конкуренции. В этом случае на рынке действует большое количество продавцов, производящих дифференцированную продукцию, и возможно появление новых продавцов. Кривая спроса фирмы действующей в условиях монополистической конкуренции является убывающей, но намного более эластична, чем кривая спроса фирмы монополиста. Следовательно, фирма имеет определенную монопольную власть и имеют место издержки потери эффективности, хотя и в меньшей мере, чем для фирмы-монополиста. Следующий вид совершенной конкуренции – олигополия. Олигополия – рыночная структура, состоящая из небольшого числа фирм, причем по крайней мере некоторые из них имеют большие размеры относительно размеров рынка. На олигополистическом рынке фирмы обладают способностью влиять на цену товара, варьируя его предложение на рынке. Олигополистическое поведение на рынке подразделяется на олигополию, основанную на соглашении и олигополию доминирующей фирмы. Соглашение предполагает согласование между несколькими фирмами о разделе рынка и ценах. Олигополия доминирующей фирмы определяет организацию рынка, при которой на нем господствует крупная фирма, цены которой являются базовыми для всех остальных продавцов. Лекция 8. 10.1.1 Рынки факторов производства. Факторное распределение доходов8.1. Основы теории рынков факторов, особенности конкуренции, ценообразования, формирования спроса и предложения. Капитальные и арендные (прокатные) цены 8.2. Рынок труда и зарплата. Стоимость человеческого капитала как капитализированная зарплата 8.3. Рынок капитала и процент. Инвестиции как капиталообразование 8.4. Рынок земли. Капитальная цена земли и земельная рента 8.1. Основы теории рынков факторов, особенности конкуренции, ценообразования, формирования спроса и предложения. Капитальные и арендные (прокатные) цены Рынки факторов производства - это рынки, на которых в результате взаимодействия спроса и предложения формируются цены на труд, капитал и природные ресурсы в форме заработной платы, процентного дохода и ренты. Спрос на ресурсы производства вторичен и определяется спросом на продукции, производимую с помощью факторов производства. Особенностью рынков ресурсов в условиях совершенной конкуренции является то, что ни продавец, ни покупатель не могут влиять на цены факторов производства. На рынках ресурсов производства в условиях несовершенной конкуренции либо покупатель, либо продавец могут оказывать влияние на цены ресурсов производства. Для каждого типа и качества ресурсов производства существуют отдельные рынки: рынок труда, рынок капитала, рынок природных ресурсов. В условиях совершенной конкуренции основными факторами спроса на ресурс являются эффективность этого ресурса при создании товара и рыночная цена этого товара. Основным правилом спроса на производственные ресурсы со стороны отдельной фирмы является учет предельной доходности и предельных издержек ресурса. Основное правило использования ресурсов заключается в том, что фирма должна привлекать ресурсы таким образом, чтобы величина предельной доходности ресурса равнялась предельным издержкам. Спрос фирмы на производственные ресурсы в условиях совершенной конкуренции показывает кривая, которая отражает изменение требуемого фирмой объема ресурсов при изменении цен на них и неизменных заданных прочих факторах, влияющих на спрос. Кривая спроса на производственные ресурсы со стороны фирмы в условиях совершенной конкуренции совпадает с кривой предельной доходности. Причиной этого является то, что цена на продукт и предельный доход в условиях совершенной конкуренции равны. Нисходящий наклон кривой спроса на производственные ресурсы обусловлен законом убывающей предельной производительности. Точка пересечения кривой спроса с кривой предельных издержек показывает оптимальное количество используемого фирмой ресурса. Кривая спроса на производственный ресурс в условиях совершенной конкуренции имеет отрицательный наклон, определяющийся ценовой эластичностью. На ценовую эластичность спроса на ресурс влияют: ценовая эластичность проса на продукт, доля ресурса в общих производственных затратах, взаимозаменяемость ресурсов, эластичность предложения других ресурсов. Неценовые факторы спроса на ресурс вызывают сдвиг всей кривой спроса . К таким факторам относят спрос на конечную продукцию, цены и объемы предлагаемых ресурсов-заменителей и комплиментарных ресурсов, изменения в технологии производства. На рынке несовершенной конкуренции фирма монополист может контролировать объем и цену ресурса. Ситуация, при которой фирма выступает единственным покупателем на рынке, называется монопсонией. Способность нескольких покупателей оказывать влияние на цены ресурсов характерна для олигопосонии. При олигопсонии несколько фирм , объединившись, обладают властью монопсонии. Фирма - монопсонист максимизирует прибыльность при использовании ресурсов при условии равенства предельных издержек на ресурс и предельного дохода от использования ресурса. Каждый из рынков ресурсов - рынок труда, рынок капитала, рынок природных ресурсов имеет свои существенные особенности. Рынок производственных ресурсов и распределение доходов Особенностями рынка труда являются: Воздействие на мобильность этого ресурса неэкономических факторов (регистрация, престижность профессии, жилищные и социальные условия. Рынок труда легко подвергается монополизации как со стороны предложения, так и со стороны спроса. На совершенно конкурентном рынке труда в результате взаимодействия спроса и предложения формируются равновесная цена на труд в форме заработной платы. Основными видами заработной платы являются номинальная и реальная заработная плата. Номинальная заработная плата представляет собой сумму денег, выплаченную за труд, в то время, как реальная заработная плата определяется определенным количеством благ и услуг, которые можно приобрести за номинальную заработную плату. В зависимости от конкретных условий может применяться как сдельная, так и повременная заработная плата. Дифференциация заработной платы определяется различием квалификации работников, выравнивающими различиями в уровне оплаты труда, географические и социальные условия труда. Рассмотрим рынок труда в условиях несовершенной конкуренции. Монопсония на рынке труда может возникнуть при следующих условиях: на рынке труда действуют, с одной стороны, значительное количество квалифицированных рабочих, не объединенных в профсоюз, а с другой - либо фирма-монопсонист, либо несколько фирм, объединенных в группу и выступающих как единый наниматель труда; данная фирма (группа фирм) нанимает основную часть из суммарного количества специалистов какой то профессии; этот вид труда не имеет высокой мобильности (например из-за определенных социальных условий, географической разобщенности, необходимости переучиваться по новой специальности и т.д.); фирма-монопсонист сама устанавливает ставку заработной платы, а работники либо вынуждены соглашаться с этой ставкой, либо искать другую работу. Монопсонист всегда будет нанимать меньше работников и платить им более низкую зарплату. Другим вариантом монополизации рынка труда является создание в отрасли профсоюза, т.е. монополия на рынке труда возникает со стороны предложения. В развитых странах профсоюзами широко используется способ повышения заработной платы путем сужения предложения труда. Если профсоюз объединяет всех работников отрасли, то , как правило, профсоюз добивается установления минимальной заработной платы. Уникальная ситуация складывается на рынке труда, когда единому профсоюзу , объединяющему работников отрасли, противостоит фирма-монопсонист. В условиях двойной монополии профсоюзы и предприниматели стремятся заключить коллективные соглашения. Лекция 9. Общественное благосостояние, общее равновесие и эффективность. Необходимость вмешательства государства в экономику План 9.1. Сущность и условия общественного благосостояния 9.2. Сущность и условия общего экономического равновесия 9.3. Принцип оптимума Парето 9.4. Несовершенство рынка и необходимость вмешательства государства в экономику Индивидуальное и общественное благосостояние рассматриваются в экономической теории в полном соответствии со здравым смыслом (см., толковые словари). Благосостояние с древнейших времен понимается как достаток, благополучие, отсутствие нужды, зажиточность, т.е. как состояние обеспеченности благами, доступности благ. Идея равновесия, как частного, так и общего, считают многие, заимствована экономистами-классиками вместе с системными представлениями из естествознания – механики, физики, химии, термодинамики, биологии и медицины. Равновесным считается такое состояние экономической системы, к которому она стремится, когда все силы, действующие на нее извне и изнутри, уравновешены, полностью сбалансированы. Но это только половина правды. Вторая половина – в том, что теория общего равновесия в ее современном виде возникла из теории общественного благосостояния, появилась как одно из ее следствий. Наоборот, современные представления о благосостоянии основываются на использовании концепций и моделей равновесия. Короче говоря, благосостояние предполагает равновесие, а равновесие – благосостояние. Они обусловливают и обеспечивают друг друга. Судьба теорий благосостояния и равновесия по крайней мере не менее драматична, чем других экономических теорий. Более чем 130-летний путь их совместной разработки показал, что общее экономическое равновесие возникает не как простая сумма частных равновесий, а лишь при достижении общего благосостояния. И наоборот, общественное благосостояние не сводится к простой сумме частных благосостояний (благ и достижений каждого), а возможно лишь при условии общего равновесия. Причем в основе и того, и другого лежит рациональная индивидуальная экономическая деятельность, соответствующая всем микроэкономическим принципам и правилам наилучших (оптимальных) альтернативных решений при использовании всех возможностей не только максимизации полезности и доходов, но и минимизации затрат и издержек, необходимых для всех видов частного равновесия. Понятия эффективности и оптимальности привнесены в теорию общего равновесия и благосостояния в конце XIX – начале ХХ и стали основой развития математизации и моделирования в экономике. 8.1. Сущность и условия общественного благосостояния Не только истоки, но и основы экономических теорий общественного благосостояния и общего равновесия современная неоклассическая микроэкономика унаследовала от классической политической экономии. Более того, они теряются в глубине истории экономических знаний. Объективно под благосостоянием, благоденствием или благополучием всегда подразумевалась, с одной стороны, обеспеченность человека, людей, населения, нации экономическими благами, с другой – соответствующее рациональное отношение к экономическим благам. Поэтому объективному смыслу благосостояния не противоречит, а соответствует и дополняет его комплементарный субъективный смысл благосостояния как человеческой способности, умения не только соизмерять и оценивать свойства экономических благ – редкость, полезность, ценность, но и создавать их и пользоваться ими. Эту, еще доклассическую, двойственность понятия благосостояния подчеркивали классики: «Каждый человек богат или беден в зависимости от того, в какой степени он может пользоваться предметами первой необходимости, удобства и удовольствия» (Смит А. Исследование о природе и причинах богатства народов. – М.: Соцэкгиз, 1935. Т. 1. С. 30; Рикардо Д. Сочинения. В 3-х т. –М.: Госполитиздат, 1955. Т. 1. С. 226). Современная микроэкономика образует достаточно определенный и завершенный научно-учебный цикл от категории «экономическое благо » до теории экономического благосостояния, согласно которой благосостояние каждого отдельного субъекта трактуется как условие благосостояния всех, или общественного благосостояния в целом. Кстати, эту идею К. Маркс считал особенно важной для своей теории коммунизма. Но в микроэкономике делаются иные акценты и выводы. Состоятельный («благосостоятельный» – обеспеченный, свободный, самодостаточный) экономический субъект должен «знать, уметь, хотеть, мочь» все для того, чтобы самостоятельно и в своих собственных, а не чьих-либо иных, даже общественных, даже национальных, интересах решать все свои экономические проблемы. В том числе проблемы собственника и хозяина, работодателя и работника, производителя и потребителя, продавца и покупателя, кредитора и заемщика, должника, проблемы потребительского и производственного выбора, в том числе максимизации полезности, производительности, эффективности, своей выручки, своих доходов, в том числе прибыли, зарплаты, процента, ренты, своей конкурентоспособности, кредитоспособности, платежеспособности и т.д. Разумеется, каждый человек в силу особенностей личных врожденных и приобретенных способностей, социального, профессионального, имущественного положения, родственных и иных связей способен к решению этих проблем в своей особой, отличной от других степени. И, кроме того, в неполной, как правило, степени реализует свои способности и другие возможности. Поэтому теоретически благосостояние каждого должно измеряться и оцениваться относительно уровня его субъективных способностей и объективных возможностей, а в конечном счете относительно степени реализации тех и других. Более того, основное назначение теории благосостояния как составной части микроэкономической теории состоит в том, что она должна показать, описать и объяснить, как экономический субъект (человек как физическое лицо, фирма или другая организация как юридическое лицо, государство в целом или его орган как экономический субъект) не только поочередно, но и одновременно выполняет множество микроэкономических функций, добиваясь их согласования, непротиворечивости, взаимодополняемости, синергетики. Теория благосостояния демонстрирует возможности и значение синтеза позитивной и нормативной экономической теории. Используемые позитивной экономикой предположения и получаемые выводы не только могут, но и должны быть многократно перепроверены, подтверждены или опровергнуты. Позитивная экономическая теория основана на применении критерия опровергаемости или фальсифицируемости. Но теория благосостояния имеет двойственный, не только позитивный, но и нормативный характер. Многие существенные характеристики благосостояния определяются ценностными суждениями. Любой экономист, да и любой субъект вообще, в зависимости от своей субъективной ценностной установки может их принять или отвергнуть, и нет иного – не волевого, не субъективного – способа подтвердить или опровергнуть их. Поэтому в отношении ценностных суждений особенно важны логичность и непротиворечивость. Теория благосостояния научна не только потому, что ее выводы непосредственно опираются на положения позитивной экономической теории. Последняя используется также для изучения и оценки возможности достижения некоторого экономического результата, признанного желательным на основе ценностных, т.е. нормативных суждений. Результат позитивной переоценки ценностных суждений, как и любой другой вывод позитивной экономической теории, не только может, но и должен затем подвергаться многократной альтернативной проверке и перепроверке на возможность доказательства его ложности, ошибочности в определенных условиях. Т.е. проверке на доказательство возможности его опровержения – «фальсифицируемости», которую Карл Поппер показал в качестве главного критерия научной обоснованности и убедил в этом большинство своих младших современников-экономистов. (См., Блауг М. Методология экономической науки, или Как экономисты объясняют. Пер. с англ. / Науч. ред. и вступ. ст. В.С. Автономова. –М.: НП «Журнал Вопросы экономики», 2004. С.43, 76, 107, 150 и др.). Потребности, интересы и ценностные суждения людей весьма разнообразны. Поэтому обычно желательное для одних состояние экономики оказывается, как правило, нежелательным или даже неприемлемым для других. Из кажущейся безысходности такого положения в свое время были сделаны марксистские выводы о неизбежности классовой борьбы, ее обострения, необходимости революционного уничтожения классов. Теория общественного благосостояния объясняет, что такие ситуации возникают не в виде исключения, а закономерно и столь же закономерно могут быть разрешены различными способами, каждый из которых может быть выбран обществом в зависимости от преобладающих ценностных установок. А преобладающими могут быть весьма различные ценности – материальные и духовные; экономические и финансовые; культурные и технологические; модернистские и традиционные; индивидуальные, корпоративные, региональные и национальные; этнические, исторические, охлократические, демократические, аристократические, сословные, монархические, олигархические и др. Таким образом, действительный общественный выбор (social choice, англ. ). той или иной системы общественного благосостояния несравненно разнообразнее и сложнее, чем пресловутый выбор между социализмом и капитализмом. Один из наиболее известных авторов лучших в мире учебников по экономике П. Самуэльсон добился больших успехов потому, что всегда считал, что при решении проблем благосостояния всегда и во всем «следует исходить из индивидуальных предпочтений» (Samuelson P. Foundations of Economic Analysis. New York, 1955. P. 223). В это и состоит практическая реализация знаменитого микроэкономического принципа методологического индивидуализма . В нем состоит главный секрет успеха, объясняющий большинство достижений цивилизации и природу общественного благосостояния в целом. Почти 230-летний опыт развития и применения классической теории «богатства народов» и общественного благосостояния подтвердил один из ее фундаментальных исходных принципов – принцип «невидимой руки» А. Смита, гласящий, что каждый, кто рационально действует в своих собственных интересах в конкурентной экономике, одновременно наиболее эффективно участвует в повышении благосостояния общества в целом. Формы такого участия могут быть самыми различными: от рационального потребительского поведения, производства и предпринимательства до банковского, финансового, юридического, медицинского, культурного, информационного, образовательного и жилищно-коммунального обслуживания, научно-исследовательской деятельности, спекулятивного посредничества и управления. К настоящему времени в рамках основных направлений и этапов развития экономической теории возникли различные версии теории общественного благосостояния – классическая (от А. Смита до Л. Вальраса, а ныне модифицированная монетаристами и «новыми классиками»), неоклассическая (от Л. Вальраса до Дж. М. Кейнса и как современная альтернатива всего кейнсианского во всех его видах), кейнсианская и кейнсианско-неоклассический синтез благосостояния (от Дж. Хикса и П. Сэмюэльсона до монетаризма и новых классиков). Между ними существуют существенные различия. В классической версии развития теории благосостояния предполагалось, что цены продуктов определяются так называемыми «естественными ценами» трех факторов производства – труда, земли и капитала, издержками их воспроизводства. Соответственно, факторные цены (доходы) изучались и объяснялись отдельными теориями. Земельная рента трактовалась как дифференциальный излишек над предельными издержками возделывания худших земель. Заработная плата определялась издержками производства средств существования наемных рабочих. Прибыль на капитал рассматривалась как остаточная величина, т.е. остаток выручки после возмещения всех издержек, процентных и рентных платежей. Попытки классиков, в том числе К. Маркса, свести все цены, все формы доходов и издержек к единой субстанциально-стоимостной основе в рамках единой непротиворечивой системы экономических категорий успешного завершения не получили, и, как теперь считается, в принципе не могли получить, т.к. исходили из неполных представлений об экономических благах. Неоклассическая версия теории переводит объяснение всех проблем общественного благосостояния, всех форм издержек и доходов, всех товарных и факторных цен на общую основу трактовки экономического блага как соотношения трех его свойств: редкости, полезности, ценности, – и предельного замещения одного свойства другим как условия максимизации полезности блага и благосостояния. Джон Мейнард Кейнс достигает того, что не удалось знаменитой австрийской школе. Он имплантирует в экономическую теорию благосостояния категории психологических склонностей и «основной психологический закон». Успех хорошо подготовлен полувековой практикой борьбы между австрийской, кембриджской и лозаннской школами неоклассики. Кейнсианство занимает доминирующее положение в экономической теории и политике развитых стран почти на 40 лет. Но кейнсианско-неоклассический синтез (чаще его называют упрощенно –неоклассический) возникает практически одновременно с кейнсианством и вскоре (с изданием в 1947 году книги Пола Сэмюэлсона «Основы экономического анализа», в центре которой оказалась взаимосвязь максимизации и равновесия) становится «основным течением» (main stream , англ.) в экономической науке. С политико-экономическим применением теории дело пошло сложнее и медленнее. На рубеже 70-80-х гг. возникла неоконсервативная революция тэтчеризма и рейганомики с новыми неоклассическими модификациями представлений о благосостоянии. Можно предположить, что возрождение кейнсианско-неоклассического синтеза в начале нового века следует считать не простым возвратом к нему, а началом нового (более высокого) синтеза общественного благосостояния в условиях «постиндустриализации» и глобализации экономики. Если «постиндустриальный синтез » представлений о благосостоянии и, главное, средств и методов его достижения удастся, то это будет лучшим доказательством того, что экономическая теория учит нас «есть слона по частям». Современная теория общественного благосостояния является одним из наиболее существенных и продуктивных научно-экономических обобщений. Она возникла из многих источников, что своеобразно отражается в ее разнообразных трактовках. Авторы специального учебника по микроэкономике, в том числе С.М. Игнатьев (ныне президент Центрального банка РФ), например, считают, что кроме исходного классического (от Адама Смита), она имеет еще два непосредственных источника и, соответственно, бицентристский характер. (См., Гальперин В.М., Игнатьев С.М., Моргунов В.И. Микроэкономика / Под общ. ред. Л.С. Тарасевича. В 2-х тт. – СПб.: «Экономическая школа», 1996. Т. 2. С. 439-440). Одним из источников-центров является нормативный анализ персонального благосостояния, или полезности, извлекаемой индивидом из окружающей его среды. Нормативные установки на благосостояние авторы возводят (или низводят?) к концепции утилитаризма, основоположником которой считается Иеремия Бентам (1748-1832). Другим ее источником-центром стала математическая теория выборов и коллективных решений. Ее начала заложили французские математики Жан Шарль Борда (1733-1799) и Мари Жан Антуан Никола Кондорсе (1743-1794). Значительный вклад в нее внес исследователь математической логики Чарлз Латуидж Доджсон (1832-1898), более известный как Льюис Кэрролл, автор сказочных повестей – логических упражнений «Алиса в Стране чудес» и «Алиса в Зазеркалье». Формирование современной теории благосостояния завершили Кеннет Эрроу и Дункан Блэк (см.: Arrow K. Social Choice and Individual Values. New York, 1951; Black D, The Theory of Committees and Elections. Cambridge Univ. Press, 1958) вместе с обособлением от нее теории общественного выбора Джеймса Бьюкенена (см. о ней в следующей главе). Знаменитый парадокс Эрроу – так называемая теорема о невозможности , которую разработал и доказал К. Эрроу, показывает, что формирование общественного благосостояния возможно только в процессе рыночной конкуренции, что этот процесс нельзя заменить никаким плановым расчетом, поскольку задача обобщения индивидуальных функций полезности независимых и равноправных субъектов в единую общую функцию полезности не имеет решения. Другими словами, даже имея полную совокупность индивидуальных предпочтений (функций полезности), из них нельзя сконструировать критерий и функцию общественной полезности. Действительно, несмотря на многочисленные попытки, предпринимавшиеся за полувековой период, эта задача никем не решена до сих пор. Приложением теоремы о невозможности является парадокс голосования Эрроу , устанавливающий невозможность гарантированного выявления действительных предпочтений общества простым большинством голосов при самом демократическом всеобщем и тайном голосовании. Замечательно, что именно в применении к экономике получено строгое математическое доказательство одного из основных этических принципов – высшей ценностью является свобода (суверенитет) личности , т.е. признания способности и права человека самостоятельно судить о степени удовлетворения своих потребностей, уровне своего благосостояния, выбирать наиболее полезные для себя блага, принимать решения в ответ на изменения внешних условий и воздействий – в том числе рыночной конъюнктуры, цен, соотношения доходов и расходов и т.д. В классической политической экономии этот принцип назывался естественным правом . Основой популяризации доказательства Эрроу является понятие нетранзитивности коллективных предпочтений, в точнее – непередаваемости индивидуальных предпочтений на уровень коллективных предпочтений. Нетранзитивность возникает потому, что демократический принцип равенства голосов («один человек – один голос») не учитывает различий в интенсивности индивидуальных предпочтений , которые следует интерпретировать как индивидуальные стремления к благосостоянию (возможности, знания, усилия, умения, необходимые для его достижения). Математизация теории общественного благосостояния усиливает ее нормативный характер и существенно ограничивает и дополняют общепризнанный вывод о том, что основным источником теории общественного благосостояния является классическая теория воспроизводства и общего рыночного равновесия (условий реализации), включающая трактовки физиократов (Ф. Кенэ), А. Смита, Джеймса Милля, Дж. Ст. Милля, К. Маркса. Современная теория общественного благосостояния предполагает использование современных экономико-математических концепций и моделей общего равновесия и в совокупности с ними показывает, почему и как возникает оптимальное (наилучшее) распределение благ между потребителями и производственных ресурсов между производителями этих благ, когда критерием оптимальности считается максимум общественного благосостояния. Вместе с тем, само общественное благосостояние до сих пор не имеет не только единого общепризнанного измерения, но даже критерия такого измерения. Исследования продолжаются, выдвигаются все новые и новые критерии и показатели общественного благосостояния (критерии Бентама, Парето, Пигу, Калдора-Хикса, Ситовски, Бергсона, Роулза, Нордхауза-Тобина и др.). Но, видимо, решение не сводится к выбору одного из них или конструированию некоего интегрального показателя.(Хотя и сейчас делаются такие попытки (см, например, Корнейчук Б. Созидательное благосостояние как целевой фактор //Экономист, 2004, № 12. С. 76-79). Необходимо искать не единственный критерий и показатель общественного благосостояния, а наиболее обоснованную систематизацию всех необходимых его критериев и показателей. Но этот поиск и обоснование, в свою очередь, зависят от общественного выбора. Единственное, что можно утверждать: из всех имеющихся попыток систематизации представлений об общественном благосостоянии и, соответственно, его критериев и показателей следует вывод, что, его максимизация возможна только при условии оптимизации общего динамического равновесия экономики. 8.2. Сущность и условия общего экономического равновесия Оптимальность распределения экономических ресурсов и потребительских благ, обеспечивающих достижение общего благосостояния, не может быть определена из условий лишь частичного равновесия на рынках этих ресурсов и благ, даже если рассматривать все эти условия в совокупности. Ведь каждое из них в решающей степени зависит от ситуации на смежных рынках, от их взаимосвязи и взаимозависимости. Поэтому общественное благосостояние необходимо рассматривать как следствие общего конкурентного равновесия, соответствующего критерию оптимальности, или эффективности, предложенного Вильфредо Парето (1848-1923) в дополнение к модели общего равновесия своего старшего современника и научного руководителя, основателя лозаннской математической школы Леона Вальраса. Главная отличительная особенность математической школы в экономике состоит в том, что экономисты-математики любую экономическую ситуацию моделируют как систему, способную при определенных условиях достигать равновесных состояний, которые в свою очередь можно оптимизировать в зависимости от принятого критерия. Перевод теории общего благосостояния в русло математического моделирования, которой совершил один из главных деятелей «маржиналистской революции» зав. кафедрой политической экономии лозаннского университета профессор Леон Мари Эспри Вальрас (1834-1910), был связан с созданием им первой модели общего экономического равновесия в виде системы уравнений спроса и предложения на всех товарных и функциональных рынках. Модель Вальраса показывает, что экономическая система, в которой на всех рынках действует совершенная конкуренция, способна достичь состояния общего экономического равновесия. Эта модель стала обобщением всех основных идей, концепций и моделей, вообще говоря, – всех имевшихся к тому времени достижений микроэкономики. Все они рассмотрены в предыдущих главах, здесь можно лишь напомнить их: 1. Функция и закон спроса; 2. Функция и принцип предложения; 3. Функции полезности (полной, средней, предельной) и закон убывающей предельной полезности; 4. Модели потребительского поведения (уравнивания относительных предельных полезностей в целях максимизации полной полезности); 5. Модели рынков (товарных и функциональных или факторных) и конкуренции; 6. Модели рыночного равновесия; 7. Модели (функции) издержек производства (полных, постоянных, переменных, средних и предельных) и их минимизации; 8. Модели (функции) факторных доходов (зарплаты, прибыли, процента, ренты) и их максимизации. Л. Вальрас исходил из того, что, с одной стороны, каждый потребитель максимизирует полезность при данных бюджетных ограничениях (исходя из своего дохода), с другой – каждый получатель дохода максимизирует его с учетом необходимых для получения дохода издержек, которые являются ограничениями, аналогичными бюджетным. В результате рыночной конкуренции устанавливаются (нащупываются – tatonnement, франц.) равновесные цены, соответствующие условиям максимизации полезности и доходов. Вальрас упрощает модель рыночной экономики. В качестве ее субъектов он рассматривает покупателей и продавцов. Покупатели предметов потребления получают необходимые для этого средства-доходы, продавая предпринимателям производительные услуги-факторы производства. Предприниматели-покупатели факторов производства получают свои доходы, продавая потребителям произведенные предметы потребления. Потребительское поведение – максимизация полезности – реализуется на рынке потребительских товаров и услуг. Предпринимательское поведение – максимизация прибыли – реализуется в согласованном поведении предпринимателей на двух рынках – товарном или конечной продукции и функциональном, т.е. рынке факторов производства или производительных услуг. Каждый рынок описывается двумя системами уравнений – системой всех индивидуальных функций спроса и системой всех индивидуальных функций предложения. В качестве переменных аргументов этих функций Вальрас учитывает только цены всех товаров и услуг. Доходы, уровень благосостояния, количество и качество товаров и услуг, факторов производства и производительных услуг, производителей и потребителей, продавцов и покупателей предполагаются неизменными. Поэтому модель не может служить для описания, исследования и объяснения рыночной и в целом экономической динамики. Это сугубо статическая модель, состоящая из четырех систем уравнений. Модель статического общего равновесия. Общее число уравнений равно числу неизвестных – числу искомых равновесных цен. Поэтому задача имеет строгое математическое решение. Наиболее адекватной моделью «нащупывания» равновесных цен Л. Вальрас, основываясь на своих наблюдениях за работой Парижской фондовой биржи, где практически не совершалось неравновесных сделок, считал модель аукциониста. Продавцы стремятся к повышению цен, покупатели – к снижению. Независимый аукционист, олицетворяющий собой рынок, соизмеряет эти стремления и согласует их. Вальрас предполагает, что опыт и интуиция аукциониста по смыслу и результату действия эквивалентны решению системы уравнений – равенств функций спроса и предложения: QD i = Q(P1 , P2 , ... Pi , ... Pn ); QS i = Q(P1 , P2 , ... Pi , ... Pn ); i = 1...n; QD j = Q(P1 , P2 , ... Pj , ... Pm ); QS j = Q(P1 , P2 , ... Pj , ... Pm ); j = 1...m; где QD i и QS i – соответственно функции спроса и предложения на i–й потребительский товар или услугу; i = 1...n – совокупность всех потребительских товаров и услуг; QD i и QS i – соответственно функции спроса и предложения на j–й фактор производства или производственную услугу; j = 1...m – совокупность всех факторов производства (используемых ресурсов) и производственных услуг. Итак, следуя основным микроэкономическим принципам, строго формализуя и математизируя рассуждения, Вальрас впервые обосновал теоретическую концепцию и построил модель общего равновесия конкурентной рыночной экономики. Не всегда отмечается (может быть потому, что это вполне очевидно), что Вальрас исходил при этом из представлений об общественном благосостоянии, утвердившихся в классический период развития экономической науки. Его собственный вклад в теорию общественного благосостояния состоит в том, что он впервые показал: во-первых, как возникает и действует объясненный на основе теории предельной полезности и закона спроса и предложения механизм рыночной конкуренции и формирования равновесных цен одновременно и согласованно на всех рынках; во-вторых, почему рыночная экономика совсем не обязательно остается в состоянии общего хаоса, взаимной неудовлетворенности и противоборства всех против всех, а вполне может достигать общего равновесия и к взаимной удовлетворенности обеспечивать общественное благосостояние. В модели общего равновесия Вальраса нет таких парадоксальных «теорем невозможности» (К. Эрроу), как в теории общего благосостояния. Наоборот, здесь парадоксальной выглядит точность и доказательность формулировок. Эту особенность своей модели подчеркивал сам Вальрас. Вполне серьезно он усматривает аналогию рыночной тенденции к равновесию с законом всемирного тяготения: «С одной стороны, максимальная эффективная полезность, с другой стороны, единица цены, будь то продукта на рынке продуктов, услуги на рынке услуг или чистого дохода на рынке капиталов, – таково, следовательно, двойное условие, согласно которому стремится организоваться мир экономических интересов подобно тому, как мир астрономических движений стремится организоваться согласно двойному условию притяжения, прямо пропорционального массам и обратно пропорционального квадрату расстояния» (См., Вальрас Л. Элементы чистой политической экономии (1874). Цит. по Всемирная история экономической мысли: В 6 т. Т. 3 / МГУ им. М.В. Ломоносова; Гл. редколл.: В.Н. Черковец (гл. ред.) и др. – М.: Мысль, 1989. С.163). Нужно отметить, что Вальрас предложил достаточно простую (в математическом смысле простую) алгебраическую модель. К настоящему времени достаточно хорошо исследованы более сложные – векторные, матричные, топологические модели. За более чем 100-летний период развития теория общего экономического равновесия получала в основном новые макроэкономические эконометрические трактовки, дополнения и уточнения. Идеи Вальраса получили развитие в работах нобелевского лауреата В. Леонтьева, предложившего метод макроэкономического балансирования «завтраты-выпуск», в разработках динамических моделей равновесия и межотраслевого баланса Национального бюро экономических исследований США, Госплана СССР, Центрального экономико-математического института Академии наук СССР, затем России, других мировых научных центров. Но все это уже макроэкономические модели, а концептуальные микроэкономические основы теории общего равновесия со времен Вальраса и Парето практически не изменились. 8.3. Принцип оптимума Парето Современная трактовка единства и взаимозависимости общего экономического равновесия и общественного благосостояния впервые была найдена Вильфредо Парето – профессором кафедры политической экономии Лозаннского университета, которой руководил Л. Вальрас. В работе «Курс политической экономии», опубликованной в 1906 г., В. Парето предложил совместное решение проблем одновременного достижения общего равновесия и общественного благосостояния на основе сочетания двух предпосылок. Во-первых, В. Парето первым предложил универсальное экономическое применение основного маржиналистского принципа максимизации в качестве принципа упорядоченного выбора путем «замещения на пределе» или «принципа равенства предельной нормы замещения». Согласно ему рациональное поведение экономических субъектов должно максимизировать достижение любой цели (полезности, доходов, производительности, объемов производства и продаж, конкурентоспособности и т.д.) путем упорядоченного перебора всех возможных сочетаний переменных факторов в условиях их убывающей предельной отдачи и при наличии определенных ограничений на их использование. Во-вторых, В. Парето первым из экономистов-математиков пришел к выводу не только о невозможности, но и необязательности непосредственного (кардиналистского) соизмерения и агрегирования индивидуальных оценок не только полезности, но и благосостояния. Парето обобщил и расширил предложенное Эджуортом понятие сравнительной (порядковой или ординалистской) полезности и предложил понятие сравнительного благосостояния . Рассуждения В. Парето упрощенно можно представить в следующем виде (см., рис. 9.1 – 9.3).
Рис. 9.1. Парето-оптимальность (предпочтительность, несравнимость) и Парето-эффективность. На рис. 9.1 представлена взаимозависимость благосостояний двух субъектов, А и В . Каждая точка на плоскости UA UB представляет определенную комбинацию благосостояний двух субъектов. Область комбинации точек с координатами UA и UB , ограниченная кривой UAB , представляет множество возможных благосостоянии двух субъектов, а сама кривая UAB называется границей возможных благосостоянии, за пределами которой повышение благосостояния ни того, ни другого невозможно. Ее конфигурация, подобно кривой производственных возможностей, определяется наличными ресурсами экономики, знаниями и применяемой технологией. При увеличение производственных ресурсов и по мере НТП граница возможных благосостояний сдвигается вправо-вверх. Любое изменение состояния экономики называется Парето-улучшением по отношению к любому другому ее состоянию, если может быть достигнуто улучшение благосостояния хотя бы одного субъекта при условии, что благосостояние всех остальных по крайней мере не понизится. Такое новое (измененное) состояние экономики называется Парето-предпочтительным . На рис. 9.1 Парето-улучшениями будут все перемещения точек множество возможных благосостояний вправо-вверх (указано направлением стрелок от «вверх-вертикально» до «вправо-горизонтально»), вплоть до выхода на границу возможных благосостояний. Соответственно, все экономические ситуации, моделируемые точками, лежащими правее и выше остальных точек, являются Парето-предпочтительными. Парето-предпочтительными являются и все точки границы возможных благосостояний по отношению ко всем точкам, лежащим левее и ниже этой границы, но не по отношению друг к другу. Перемещение точки по линии UAB , т.е. по границе возможных благосостояний, нельзя рассматривать как Парето-улучшения, поскольку при этом повышение благосостояния одного субъекта достигается за счет снижения благосостояния другого. Все точки границы возможных благосостояний называются Парето-несравнимыми. Парето-несравнимые состояния (точки), возникающие внутри множества возможных благосостояний, могут быть представлены комбинацией Парето-улучшений, Парето-ухудшений и Парето-несравнимых изменений. (На рис. 9.2 перемещение из точки 1 в точку 2 показано как комбинация Парето-ухудшения (тонкий пунктир), Парето-улучшения (жирный пунктир) и Парето-несравнимого изменения (сплошная стрелка). Переход из точки 1 в точку 2 означает Парето-улушение для субъекта В, но понижает благосостояние субъекта А, и наоборот. Поэтому состояния экономики, моделируемые точками 1 и 2 являются Парето-несравнимыми. Следовательно, понятие Парето-предпочтительности применимо лишь в том случае, если определенную пару точек в пространстве благосостоянии можно соединить вектором (направленным отрезком прямой), имеющим неотрицательный наклон (между вертикалью и горизонталью, так как это показано на рис. 9.1).
Рис. 9.2. Парето-улучшения, ухудшения и несравнимость. Парето-оптимальным, или, что то же, Парето-эффективным, называется такое состояние экономики, при котором благосостояние ни одного субъекта не может быть увеличено без уменьшения благосостояния хотя бы одного другого. На рис. 9.1 и 9.2 Парето-оптимальные состояния двухсубъектной модели экономики представляют все точки линии «граница благосостояний». Т.о. Парето-оптимальность (Парето-эффективность) являются особым предельным состояниями экономики, когда достигнут максимум общественного благосостояния и дальнейшее повышение благосостояния любого субъекта экономики, независимо от того, богач он или бедняк, обязательно приведет к снижению благосостояния хотя бы одного другого, причем не обязательно самого богатого. Парето-оптимальность и Парето-предпочтительность связаны друг с другом. Парето-оптимальным является такое состояние экономики, по отношению к которому не существует ни одного Парето-предпочтительного состояния (изменения). Граница возможных благосостояний представляет собой такое предельное подмножество Парето-оптимальных состояний, которое остается после исключения из всего множества возможных благосостояний всех тех, которые не соответствуют критерию Парето-предпочтительности. После выбраковки всех точек, лежащих внутри области возможных благосостоянии, ниже ее границы (см., рис. 9.1), останется лишь сама эта граница, UAB , все точки которой окажутся Парето-оптимальными относительно всех точек, лежащих внутри области возможных благосостоянии, но Парето-несравнимыми друг с другом. Модель Парето позволяет соизмерять и учитывать интересы и предпочтения различных субъектов экономики, которые, как правило, не совпадают, а часто и противоречат друг другу. Изменения, благоприятные и желательные для одного, может оказаться неблагоприятными и нежелательными для другого. Поэтому Парето-улучшения, ведущие к Парето-оптимальности, являются экономической основой предотвращения социальных конфликтов и достижения социального партнерства в условиях рыночной конкуренции, которая не только стимулирует экономическую активность, но и порождает тенденцию к общему рыночному равновесию и максимальному общественному благосостоянию. Модель Парето, определяющая предельное подмножество равновесных состояний экономики, оптимальных по критерию максимизации общественного благосостояния не позволяет выделить из них единственное, наилучшее (optimum optimorum). Как отмечалось выше (см., п. 9.1), это вопрос общественного выбора , теория которого возникла на полстолетия позже критерия оптимума Парето. Сам Парето предполагал, что в экономике могут возникать ситуации как с единственным оптимумом, так и с множеством оптимумов, соответствующих различным способам распределения собственности на ресурсы. Для обоснования возможности возникновения единственного оптимума общего равновесия при максимальном общественном благосостоянии В. Парето использовал модель «коробка Эджуорта», с помощью которой объяснял, как возникает упорядоченность выбора максимума общественного благосостояния при полной самостоятельности и независимости поведения экономических субъектов, максимизирующих свое собственное благосостояние.
11 XA
|
||||||||||||||||||||||||||||||||||||||||||||||||||||||||||||||||||||||||||||||||||||||||||||||||||||||||||
| Экстерналии |
Частные |
Социальные |
Национальные |
| Позитивные |
ПЧ |
ПС |
ПН |
| Негативные (О) |
ОЧ |
ОС |
ОН |
| Нейтральные |
НЧ |
НС |
НН |
На третьей координате объемной матрицы следует расположить еще три вида экстерналий: детерминированные, вероятностные и чисто случайные. На этой основе возможно использование и порядковых, а в дальнейшем и метрических шкал количественной характеристики экстерналий.
10.2. Общественные блага.
До сих пор предполагалось, что все экономические блага являются частными благами, что их использование (производство, распределение, обмен и потребление) наиболее эффективно регулируется рынком и конкуренцией. Главные признаки частного (рыночного, конкурентного) блага – его исключаемость и конкурентность . Исключаемость блага означает, что получение выгод от его присвоения (потребления или иного использования) одним каким-либо экономическим субъектом исключает возможность получения таких же выгод от этого же блага любым другим субъектом. Конкурентность блага означает, что доступ к нему возможен лишь в результате успешной конкуренции. Когда конкуренция приводит к исключаемости, а исключаемость вызывает конкуренцию, благо является (или становится) частным и рыночным. Но конкурентность и исключаемость отнюдь не всегда бывают абсолютными, чаще они имеют относительный частичный характер, особую качественную определенность и определенный количественный уровень. Общественные блага характеризуются в зависимости от степени их неисключаемости и неконкурентности.
Место и роль рынка и конкуренции в экономике, так же, как и государства, надо рассматривать как величины переменные и, в определенном смысле, как альтернативные варианты развития. Товарное производство и обмен возникают примерно в то же время, что и государство, в четвертом-третьем тысячелетии до н.э. (Р.Х.) в древних цивилизациях Ближнего Востока, Египта, Индокитая, Средиземноморья. Тенденции их развития включают периоды синхронного и асинхронного усиления и ослабления. Поэтому с развитием общества и экономики, углублением разделения труда и специализации появляется не только все больше экономических благ, имеющих ярко выраженные семь основных свойств товаров – редкость, полезность, ценность, конкурентность, исключаемость, взаимозаменяемость и взаимодополняемость , но и экономических благ с ослабленными товарными свойствами, в том числе с пониженной конкурентностью и исключаемостью или не имеющими их вовсе. Далее, как принято, мы будем акцентировать внимание на них, хотя надо признать, что не меньшее значение имеют и все другие свойства.
Важно не упускать из виду, что для общественных благ, как и для внешних эффектов, принцип соизмерения результатов и затрат, предельной полезности и ценности, т.е. эффективность общественных благ (в том числе «общественных работ ») имеет не меньшее значение, чем для частных благ и рыночных эффектов. Отличие лишь в том, что кроме частных (внутренних) значений и измерений полезности (выгоды) и издержек, необходимо учитывать и их внешние (социальные и/или общественные) значения и измерения. Вопрос о том, какие общественные блага производить, правительство решает, соизмеряя их относительные предельные полезности или относительную предельную выгоду. Максимум общей полезности (выгоды) достигается при данных ограничениях при условии, когда относительных предельные полезности (отношения полезностей к ценам) принятого набора общественных благ равны ( MUi /Pi = MUM, i = 1... n, где MUi и Pi – предельная полезность и цена i-го блага соответственно, MUM – предельная полезность денег).
Конечно, ситуация усложняется, когда возникает необходимость качественно дифференцировать и количественно характеризовать свойства конкурентности и исключаемости благ. В таком случае вновь можно использовать матричную форму классификации:
| Конкурентность блага |
Исключаемость блага |
||
| Высокая (В) |
Низкая (Н) |
Нулевая (О) |
|
| Высокая (В) |
ВВ |
ВН |
ВО |
| Низкая (Н) |
НВ |
НН |
НО |
| Нулевая (О) |
ОВ |
ОН |
ОО |
Легко представить крайние сочетания, с одной стороны, высокой, с другой – нулевой конкурентности и исключаемости благ. Крайние сочетания ВВ и ОО представляют чистые частные и чистые общественные блага . К чистым частным благам относятся большинство товаров и услуг. Любое чистое частное благо имеет высокую конкурентность в том смысле, что рыночный спрос всегда оказывается достаточно платежеспособным для возмещения издержек, необходимых для его создания и доведения до потребления. Любое чистое частное благо имеет высокую исключаемость в том смысле, что его покупка становится вполне достаточной защитой прав собственности (владения, распоряжения, пользования и др.) на это благо и исключает доступ к нему других лиц. Например, безусловно частными или чистыми частными благами, имеющими высокую конкурентность и исключаемость, являются многие потребительские блага: жилище, одежда, пища, питьевая вода, бытовая техника, автомобиль, персональный компьютер, интеллектуальная и промышленная собственность, авторское право и т.д.
Но и определение чистых общественных благ имеет существенное значение. Во-первых, их число и разнообразие тоже растет. Во-вторых, необходимо достаточно точно определять меру ответственности государства не только перед обществом в целом, но и перед каждым гражданином за обеспечение их этими благами. Чистые общественные блага неконкурентны и неиключаемы. Они не могут ни создаваться, ни использоваться исключительно за частный счет в рыночных условиях, хотя желательно как можно полнее использовать все возможности их софинансирования с участием государства и бизнеса. Не только невозможно, но и вредоносно ограничивать доступ к ним и к участию в их софинансировании любого члена общества. Например, неконкурентны и неисключаемы основныеые виды безопасности – национальной, общественной, оборонной, пожарной , эпидемиологической, санитарной, имущественной, предпринимательской и т. д. Точнее, неисключаемы минимально необходимые уровни основных видов безопасности. Но неразумно ограничивать любые частные возможности и усилия по обеспечению безопасности. Наоборот, надо способствовать обеспечению частной безопасности, имея в виду не только ее позитивные внешние эффекты, но и возможности ее трансформации в общественное благо безопасности. Особое значение имеет государственное обеспечение безопасности собственности, предпринимательства и в целом экономической безопасности личности – системы ЭБЛ. (См., Экономическая и национальная безопасность: Учебник / Под ред. Е.А. Олейникова. – М.: Изд-во «Экзамен», 2004).
Из других возможных комбинаций уровней конкурентности (неконкурентности) и исключаемости (неисключаемости) благ выделяются сочетания низкой и нулевой конкурентности и достаточно высокой исключаемости благ. Такие блага называют исключаемыми общественными . В отношении таких благ возможен контроль собственника или управляющего над процессом использования таких благ. К ним относятся, например, услуги коммерческих учебных заведений, муниципальных пляжей, соляриев, городских парков, спортивных сооружений, платных туалетов, других общественных помещений с установленным и контролируемым режимом совместного использования.
Блага, сочетающие высокую конкурентность с низкой исключаемостью и даже направленностью на максимально возможный охват потребителей, называются общими или совместно потребляемыми . К ним относятся благоустроенные пешеходные пути и освещение городских территорий, городские очистные сооружения и уборка мусора, муниципальный транспорт, эфирное радиовещание и телевидение, национальные парки и т.д. В одном из учебников говорится, что «в современном мире подобных благ осталось уже не так много». Трудно с этим согласиться. По сути к общим совместно потребляемым благам относится уже сейчас или в ближайшей перспективе информационная реклама, все больший объем Интернет-ресурсов, мультимедийное дистанционное обучение, электронное правительство, ГАС-выборы и т.д.
Вообще, надо признать, что рост разнообразия экономических благ и эффектов – это общая закономерность, охватывающая не только частные, но и общественные блага, не только рыночные, но и внешние эффекты.
Выше было показано, что внешние нерыночные эффекты возникают в связи с производством, распределением, обменом и потреблением вполне частных, конкурентных благ. Еще дальше за пределы возможностей рынков выходят внешние эффекты общественных (нерыночных, неконкурентных, неисключаемых) благ. Получение выгод от потребления или иного использования общественных благ одним каким-либо экономическим субъектом не исключает, а чаще всего, наоборот, предполагает получение таких же выгод от этого же блага любыми другими или даже всеми другими экономическими субъектами.
Внешние эффекты общественных благ, в том числе общественных работ , иногда могут развиваться с опережением относительно всех других экономических эффектов. Это происходит не всегда, а лишь в определенных условиях, когда производство и потребление общественных благ и регулирование внешних эффектов значительно отстало от необходимого уровня и требует ускоренного наращивания. Абсолютизация этого явления породила в свое время немало социалистических и коммунистических ожиданий и надежд, не все из которых оказались утопичными. Некоторые из них, например, относительно возможностей государственной системы организации и финансирования развития науки, здравоохранения, образования, промышленности в СССР в значительной степени оправдывались до тех пор, пока условия не изменились вновь в пользу частной собственности, частных благ, рынка и конкуренции.
Возможности создания и использования общественных благ в значительной мере зависят от того, как успешно будет решаться «проблема безбилетника» (неплательщика) . Она возникает, когда потребитель, оплачивающий неисключаемые общественные блага, не получает никаких преимуществ перед тем, кто потребляет их, не оплатив. Это внешний эффект особого рода. В нем сочетаются свойства положительных (для реципиента-неплательщика) и отрицательных (для генератора и третьих лиц) экстерналий. Причем отрицательные экстерналии возникают не только для создателей общественного блага, но и для всех других его потребителей, поскольку значительные неоплаты приводят к сокращению его производства или снижению его качества.
Типичным примером в учебниках считается безбилетник на транспорте. Но к этой же проблеме относится и уклонение от уплаты налогов. Недобор налогов из-за уклонения налогоплательщиков от их уплаты (проблема соотношения неправомерности и недобросовестности уклонения здесь не рассматривается) ослабляет возможности государственного бюджета, в том числе по финансированию науки и образования, повышению зарплаты бюджетникам и т.д. Поэтому проблема неплательщика имеет важные не только микро-, но и макроэкономические аспекты.
10.3. Общие (совместно используемые) ресурсы.
Это особый вид общественных благ. К сожалению по достоинству он представлен далеко не всегда. (Редкое исключение: вопрос о «ресурсах совместного пользования» вкратце рассматривается в одном из лучших учебников – Пиндайк Р., Рабинфельд Д. Микроэкономика. 5-е международное издание / Пер. с англ. – СПб.: Питер, 2002. С. 287-289.). Под общностью в данном случае понимается не юридическая категория общей собственности, а общий режим совместного хозяйственного использования ресурсов, необходимость которого определяется существенными неэкономическими ограничениями, исключающими их свободное воспроизводство. Хотя именно в связи с неэкономическими ограничениями воспроизводимости, необходимо учитывать их существенные экономические особенности. Во-1-х, они имеют, как правило, не потребительский, а производственный характер. Во-2-х, это капитальные блага, для которых необходимо определять режим использования в долгом периоде не только в хронологическом, но и в экономическом смысле, когда следует предполагать и рассматривать возможности любых изменений относительно вероятности сохранения и исчерпания данного ресурса. В-3-х, обычно они имеют устойчивую асимметрию свойств конкурентности и исключаемоссти, т.е. конкурентны (являются объектами конкуренции), когда не имеют свойства исключаемости, и, наоборот, перестают быть конкурентными, когда приобретают исключаемость или, другими словами, «неисключаемы, когда конкурентны» (создание и использование знаний, информации, в том числе, геологоразведка), и «неконкурентны, когда исключаемы» (использование невоспроизводимых природных ресурсов, в том числе добыча нефти и газа).
К настоящему времени достаточно четко определились именно эти два вида общих (совместно используемых) свободно не воспроизводимых ресурсов. Они расположены на полюсах системы ресурсов: невоспроизводимые природно-сырьевые ресурсы и практически безграничные интеллектуально-информационые ресурсы. Доступ к ним, особенно в России, только казался практически свободным потому, что они имеют большое разнообразие и огромные масштабы. К сожалению, только в последние годы стали осознаваться смысл и значение проблем ограниченности невоспроизводимых природных ресурсов и невоспроизводимости ограниченных (редких) природных ресурсов. Информационные и интеллектуальные ресурсы нельзя считать свободно воспроизводимыми в силу их уникальности, неповторимости фундаментальных открытий и изобретений, талантов и творчества их авторов.
К невоспроизводимым природно-сырьевым ресурсам относятся участки территории и акватория страны, региона, недр, полезных ископаемых, воздушного пространства (авиамаршруты), шельфов, электромагнитных полей (радиочастоты). Неэкономические (физические, химические, био-, физио-, этологические и др.) ограничения имеет воспроизводство лесного и сельского хозяйства, рыбных промыслов и других экосистем, в том числе почвы (гумуса) и других биогеоценозов. Как правило эффективные масштабы (границы) их воспроизводства не совпадают с контурами системы и объектов собственности. Нечто подобное возникает и в отношении воспроизводства, создания и использования информационных и интеллектуальных ресурсов.
Исторически сложилось такое положение, когда российское государство стало основным продавцом природно-сырьевых ресурсов и основным покупателем информационно-интеллектуальных ресурсов. Может быть это явление следует рассматривать не только в качестве особенности национальной экономики России, но и как общую экономическую закономерность экономики с доминированием в национальных активах общих свободно невоспроизводимых ресурсов?
Не всегда строго юридически, но всегда в виде реального права, а также институционально, организационно и экономически общий режим использования невоспроизводимых природно-сырьевых ресурсов оформился и закрепился как естественная монополия государства (или органов местного самоуправления, муниципалитетов) на их продажу, предоставление в аренду, в концессию и другие формы пользования. Результаты фундаментальной науки и связанного с ними образования (подготовки молодых ученых и специалистов для фундаментальной науки) редко находят покупателей и заказчиков в частном, не только потребительском, но и предпринимательском, секторе экономики. Поэтому в научной и образовательной сфере вполне естественно возникает государственная монопсония, когда государство в общенациональных интересах играет роль организатора, координатора, заказчика, покупателя, кредитора, финансиста, лицензиара и носителя других функций, необходимых для обеспечения национальной конкурентоспособности в сфере фундаментальной науки и образования.
Важной особенностью общих ресурсов является неэластичный характер их предложения. Как было показано выше (глава ...), в таких случаях возникают многочисленные, разнообразные, большой величины рентные доходы (рента природная, земельная, горная, абсолютная, относительная, монопольная, экономическая, квазирента и др.). В последнее время в теории ренты рассматриваются такие ее новые виды, как рента государственная, финансовая, страховая, инфрамаржинальная, отстроченная, региональная, интеллектуальная и др.
Думается, что некоторые признаки общих, совместно используемых, свободно невоспроизводимых ресурсов, генерирующих рентные доходы, имеют многие элементы национального богатства и национальных активов – здоровье нации, человеческий капитал, национальный экологический потенциал и др. В связи с этим развиваются новые ресурсные и рентные концепции доходов, издержек, налогообложения и др.
Система форм собственности на общие ресурсы не только в России, но и в целом в мире, находится в процессе становления. Дискутируются вопросы собственности на ресурсы мирового океана, атмосферы, космоса. В ходе дискуссии выясняется, что крупные частные собственники и представители крупного бизнеса далеко не всегда отдают предпочтение частной собственности на ресурсы, а представители государственной власти и управления ратуют за передачу общих национальных ресурсов в частную собственность. Например, лесопромышленники России не считают необходимой приватизацию лесных угодий, предусмотренную проектом Лесного кодекса, внесенного в начале 2004 года Министерством экономического развития и торговли РФ (Новая экономическая газета. № 21(218) 22-28 мая 2004. С.2). Аналогичные заявления неоднократно делались крупными финансистами, нефте-, газо-, рыбо- и другими промышленниками, представителями региональных властей. Можно рассчитывать на то, что адекватное понимание сложных взаимосвязей и взаимодействий в системе форм собственности и хозяйствования в отношении большинства видов общих, совместно используемых ресурсов должно возникнуть в первой половине нашего века.
Конституция и Гражданский кодекс РФ, другие кодексы РФ (земельный, водный, лесной), многочисленные проекты поправок к ним предусматривают возможность использования практически всех форм собственности: государственной (федеральной и субъектов федерации), частной, муниципальной, коллективной, корпоративной, кооперативной. Огромное разнообразие и соответственно возможности использования имеют смешанные, в том числе межнациональные и транснациоальные формы собственности. Хотя специалисты уже предупреждают о том, что свобода не только международного, но и гражданского рыночного оборота прав на использование недр может перерождаться в спекуляцию недрами (Стратегический ответ России на вызовы нового века / Под общ. ред. Л.И. Абалкина. – М.: Изд-во «Экзамен», 2004. С.344).
Значение государственной собственности на национальные природные ресурсы недооценивается, скорее всего, потому, что в сколько-нибудь значительных размерах ни одна из развитых стран, за исключением США, их не имеет, а когда внезапно они обнаруживаются, как, например, в Норвегии нефтяные месторождения, то никому не приходит в голову оспаривать то, что это общенациональное достояние. А национальная элита США, как известно, в сферу своих национальных интересов включает запасы всех мировых природных ресурсов. Судя по всему, они намерены активно контролировать распределение и использование не только природной, но и интеллектуальной ренты.
10.4. Микроэкономические основы государства.
Государство возникло и развивается как одно из наиболее сложных общественных образований. Микроэкономика не может дать полного описания природы, функционирования и развития государства как такового. Достаточно сказать, что и в микроэкономике оно играет множество ролей и выполняет множество функций.
Почему-то считается, что не должно существовать непосредственных взаимоотношений государства со всеми микроэкономическими субъектами производства и потребления, рынка, конкуренции, сделок – фирмами и домохозяйствами. Но в действительности они существуют, в том числе взаимоотношения органов и субъектов власти и бизнеса, особенно крупного бизнеса, саморегулирующихся и общественных организаций. И эти отношения должны быть цивилизованными, легитимными, легальными, транспарентными, прозрачными, а не теневыми и коррумпированными.
Государство играет роль арбитра, третейского судьи, внешнего регулятора и вмешивается в экономику, когда возникают критические ситуации рыночных фиаско, чрезмерной дифференциации в распределении доходов и собственности, социальных конфликтов и экономических кризисов, опасные для самого существования государства и контролирующей его национальной элиты. Но в нормальных социально-экономических и политических условиях оно же выполняет практически все экономические функции. Это – функции собственника и работодателя, покупателя и продавца, кредитора и заемщика, арендатора и арендодателя, страховщика и страхователя, лицензиара и лицензиата и т.д. И тогда оно участвует в экономике подобно всем другим экономическим субъектам.
Как отмечалось выше (см., гл.9) вмешательство государства в экономику в основном связано с обеспечением общего равновесия и благосостояния, точнее с необходимостью преодоления угроз их существованию. Наоборот, участие государства в экономике необходимо в основном для урегулирования внешних эффектов, создания и распределения общественных благ, обеспечения совместного воспроизводства и использования общих, особенно невоспроизводимых, ресурсов. При всей условности аналогии, существенное различие между вмешательством и участием можно представить, сравнивая вмешательство и участие родителей в жизни детей, особенно молодых семей.
Провалы, фиаско рынка, вызывающие необходимость вмешательства государства в экономику, удобно трактовать как рыночные фиаско 1-го рода – неравновесные, а вызывающие необходимость участия государства в экономике как рыночные фиаско 2-го рода – экстернальные. Соответственно, надо различать и рентное перераспределение доходов 1-го и 2-го рода. Здесь много можно позаимствовать из теории ренты К. Маркса.
Нужно отметить, что эти вопросы (роли государства, государственной собственности, внешних эффектов, общественных благ, ресурсов, ренты) всегда были и сейчас остаются в центре исследований и дискуссий не только научного, но и политического характера не столько потому, разработаны недостаточно, но по двум другим существенным причинам.
Во-первых, все элементы, функции, структуры микроэкономических систем, их субъекты и функционеры, а также межсистемные связи и взаимодействия развиваются неравномерно, их несоответствия пульсируют, то возрастают, то уменьшаются. Поэтому ситуации нарушения микроэкономических условий общего равновесия и общественного благосостояния и соответственно рыночные фиаско 1-го рода и необходимость вмешательства государства в экономику возникают довольно часто, но, как правило, в особенных видах, существенно отличающихся друг от друга. Внешние эффекты, общественные блага, общие ресурсы и вызываемые ими рыночные фиаско 2-го рода , и, соответственно, необходимость участия государства в экономике тоже являются величинами переменными, вероятностными, случайными, трудно предсказуемыми. Обнаружение, измерение и оценка всех названных выше событий и изменений требуют постоянного мониторинга для соответствующего рационального определения функций и роли государства в экономике.
Во-вторых, в обществе и экономике возникает не только рыночная конкуренция, но и борьба за использования возможностей государства в различных политико-экономических целях и интересах. Борьба идет между объединениями потребителей и производителей, различных слоев населения, в том числе особых (доходных, имущественных, региональных, этнических, отраслевых, секторальных, электоральных и др.) групп домохозяйств и бизнеса. Природа, экономическое содержание, политические формы борьбы за государственную власть, экономические функции государства меняется по ходу развития экономики и общества. История знает не только скандальные избирательные компании, но и дворцовые перевороты с отцеубийствами, казнями монархов, имперские завоевания, классовую борьбу с революциями и гражданскими войнами.
В настоящее время наилучшее микроэкономическое объяснение того, как государство вовлекается в экономику, дает теория общественного выбора (ТОВ). Ее основоположником считается американский экономист-институционалист Джеймс Бьюкенен (нобелевская премия 1986 г. «за исследование договорных и конституциональных основ теории принятия экономических и политических решений»). ТОВ развивает знаменитый принцип «невидимой руки» А. Смита. Государственные деятели и служащие, как и все люди, стремятся к максимизации для себя полезности своей государственной деятельности и ее результатов. Полезность может иметь различные формы – голоса избирателей, чувство собственного достоинства и значения, решения в пользу лоббистов, авторитет в политических кругах, пресловутая «роль в истории», наконец, так называемый «поиск ренты».
Поиском ренты называется деятельность, направленная на получение каких-либо выгод и преимуществ путем использования политических институтов или административных полномочий («административного ресурса»). Согласно ТОВ, поиск ренты следует считать вполне рациональным экономическим поведением, а вопрос о его юридической состоятельности выходит за пределы экономической проблематики. Поэтому улучшение результатов государственной деятельности для общества, нации, избирателей, самого государства с экономической точки зрения определяется не выбором «хороших» государственных деятелей, а совершенством системы законов, обеспечивающих общественный контроль над их деятельностью. В связи с этим нужно еще раз вспомнить парадокс Эрроу (см. о нем в предыдущей главе).
Вопрос о соотношении рынка и государства будет рассматриваться и в дальнейшем. Здесь нужно отметить, что доминирование его неолиберального решения (конкуренции как можно больше, государства как можно меньше) имеет рациональное объяснение. Во-первых, объективно исторически значение рыночных благ, в том числе ресурсов в жизни человека и общества выше, чем общественных. Подобное соотношение существует и между рыночными эффектами, с одной стороны, и экстерналиями – с другой .
Во-вторых, рынок – это не субъект, а наиболее эффективный экономический механизм взаимодействия самостоятельных продавцов и покупателей, учитывающий и балансирующий их взаимные требования и обязательства. Конечно, ситуация на рынке зависит от того, кто и как на нем действует. Ясно, что рынок, его механизмы и участники тоже страдают от коррупции и зачастую не меньше, а больше, чем государство. Но он имеет более надежные антикоррупционные средства, чем государство. Свободная рыночная конкуренция не только нивелирует субъективные недостатки участников, но и стимулирует каждого к поиску собственных возможностей их преодоления. Государство, даже самое демократическое, наоборот, означает персонификацию властных, управленческих, судебных полномочий, что затрудняет контроль над их употреблением.
Своеобразная неолиберальная микроэкономическая презумпция преимуществ рынка и рыночной конкуренции перед государством и государственным регулированием оправдывается историческим опытом развитых стран и России. Но дальнейшее экономическое развитие ведущие ученые-экономисты России и мира связывают не только с рынком, а с «управлением рыночными силами», «перераспределением уже действующих рыночных сил» и с «созданием новых рыночных сил в экономике», когда государство «существенно меняет свое содержание и функции, сохраняя в то же время многое из того, что необходимо сделать для завершения создания современного рынка» (См., Стратегический ответ России на вызовы нового века / Под общ. ред. Л.И. Абалкина. – М.: Изд-во «Экзамен», 2004. С. 15, 180-181 и др.).
12 ВОПРОСЫ ДЛЯ САМОПРОВЕРКИ
1. Почему в рыночной экономике возникают нерыночные (внешние) эффекты?
2. Какое негативное влияние на экономику могут оказывать положительные экстерналии?
3. Почему надо различать «эстернальные» и «неравновесные» фиаско рынка?
4. Объясните необходимость, возможности и пределы государственного регулирования экстерналий.
5. В каких масштабах и формах государство может и должно участвовать в производстве общественных благ?
6. Какие блага являются, а какие становятся общественными и почему? Приведите примеры подобных превращений.
7. Какие общественные блага могут и должны стать частными? Приведите примеры подобных превращений.
8. Как оцениваются общие ресурсы? Почему рента, возникающая при их использовании, не зависит от эффективности этого использования? Кто и как может присваивать природно-ресурсную ренту?
9. Что собой представляет и за что подвергается критике так называемая «теорема Коуза»?
10. Почему и как теневая экономика возникает в связи с существованием и развитием внешних эффектов и общественных благ?
11. Что вы знаете о так называемой «трагедии общественных ресурсов»?
12. Что вы знаете о киотском соглашении и как оцениваете возможности и перспективы создания рынков прав на загрязнение окружающей среды?
12.1.1.1 Приложение: цитаты из СМИ
Оксана. Дмитриева у К. Прошутинской 13.10.07: Почему зарплата служащих госкорпораций РАО ЕЭС и Газпрома превышает зарплату других госслужащих в сотни раз. Газпром должен оставаться естественной монополией. Аэрофлот разбит и уже не встанет.
Сергей (Федорович) Лисовский, зампред. Комитета ГД по АПК: мальчики от экономики продолжают эксперименты по учебникам на стране. Помощь государства экономике должна быть рассчитана на определенный срок. Приватизация Россия осуществлялась не по закону, принятому ВС РСФСР, а по указам президента. Все принятые решения были ошибочны. Кудрин сказал, что Стабфонд приносит 15% годовых. Когда запад узнает реальную экономику IPO, у него пропадет желание их приобретать. Нужно создавать условия. Дали АПК копейки, а ждут чудес.
Антон Смирнов, гл. ред. ж-ла «Слияния и поглощения»: гос-во в экономике – абсолютное зло. Никогда гос-во не будет строить автомобили лучше частников, никогда не освоит венчурный бизнес.
Ген. Ник. Селезнев: наши бизнес-предприятия набрали столько долгов, что расплачиваться снова придется народу. С созданием госкорпораций опоздали. Специалистов растеряли. Примаков договаривался о создании самолета. Он ушел – пришел Боинг. В реформе ЖКХ государство снова обманывает людей. Лисовский: Госкорпорации появились вовремя, именно сейчас появилась возможность закупать их продукцию. Государство-корпорация –это журналистский термин. Но оно появляется в России.
Вл-р Рожановский: по Смиту, государство лучший регулятор-контролер (не управленец!) по сравнению с бизнесом. У него д.б. 20-25% экономики. ЖКХ не может быть частным, т.к. рассчитано на бедных людей.





