Реферат: Локальная гладкость и асимптотика решения метода конечных суперэлементов в угловых точках разбиения
|
Название: Локальная гладкость и асимптотика решения метода конечных суперэлементов в угловых точках разбиения Раздел: Остальные рефераты Тип: реферат
| ||||||
| РОССИЙСКАЯ АКАДЕМИЯ НАУК Ордена Ленина Институт прикладной математики им. М.В. Келдыша М.П. Галанин, С.А. Лазарева Локальная гладкость и асимптотика решения метода конечных суперэлементов в угловых точках разбиения Москва – 2008 Аннотация(*) В работе представлены результаты теоретических исследований характеристик метода конечных суперэлементов Федоренко (МКСЭ). Определены регулярность приближенного решения МКСЭ, его асимптотика в окрестности угловых точек разбиения области на подобласти-суперэлементы. M. Galanin, S. Lazareva Local regularity and asymptotic behavior of the finite superelement method solution near the corner points of decomposition Abstract In this paper characteristics of Fedorenko finite superelement method (FSEM) is theoretically investigated. Regularity of the approximate solution is given. Asymptotics near the corner points of decomposition on subdomains-superelements is examined. Содержание Введение .……………………………………………………………………....3 2. Обозначения и определения. 8 3. Локальная гладкость приближенного решения МКСЭ.. 14 4. Оценки решения по шкале H M (Ω) 23 Введение Основанием для разработки и развития метода конечных суперэлементов Федоренко (МКСЭ) является проблема численного решения сложных вычислительных задач, содержащих резкие особенности, или “сингулярности”, решения. В этих случаях размеры расчетной области составляют значительную величину в сравнении с областью проявления особенностей. Данная работа является продолжением исследований [3 – 12] по выявлению качественных характеристик МКСЭ. В ней определены регулярность приближенного решения МКСЭ, установлена его асимптотика в окрестностях угловых точек разбиения области на подобласти-суперэлементы (СЭ). Работа выполнена на примере задачи Дирихле для уравнения Лапласа. Для достижения поставленной цели использованы теория весовых пространств Соболева и Кондратьева, теория эллиптических задач в областях с угловыми точками, свойства регулярности решений вариационных задач в негладких областях. Работа направлена на поиск оптимальных аппроксимаций метода и способов его применения. МКСЭ позволяет решать задачи, содержащие мелкие “сингулярности” в расчётной области в пространстве слабых решений, обладая при этом погрешностями, оцениваемыми через ограничения этого решения на гладкие части суперэлементных границ. Это не требует использования сеток, сгущающихся в окрестностях “сингулярностей”, и связано с выбором особых аппроксимирующих пространств. Однако поведение приближений МКСЭ в пространствах сильных и гладких решений также представляет интерес. При решении задачи рассматриваемая проблема возникает естественным образом. Как правило, искомое решение при достаточно гладкой границе области и подходящих граничных условиях обладает производными (например, суммируемыми с квадратом) до порядка Производные представляют важные (а часто и определяющие) физические характеристики поставленной задачи. Например, такими характеристиками могут быть скорости и ускорения в механике, гидродинамике; напряжения, деформации и скорость их роста в теории упругости; напряженности и силы в теории поля; мощность тепловых источников и потоки газа в теории переноса теплоты и др. Полученные в работе результаты позволяют определить поведение погрешностей приближения производных решения первого и более высокого порядков. Связующим звеном такого исследования является определение гладкости приближений МКСЭ, их асимптотического поведения в окрестностях углов декомпозиции. Помимо того, определение возможной гладкости приближенного решения в пределах СЭ и во всей области и нахождение его асимптотики представляют самостоятельный интерес. 1. Принципы МКСЭМетод конечных суперэлементов (МКСЭ) предложен в работах Федоренко и его коллег [1–2] и входит в класс численных методов, основанных на декомпозиции области в сочетании с выбором особой аппроксимации решения. Функции, с помощью разложения по которым разыскивается приближенное решение МКСЭ, являются решениями исходной системы уравнений в части области со специальными условиями на ее границе и, следовательно, заведомо содержат в себе ряд характеристик решения рассматриваемой задачи. Для авторов метода и данной работы главный интерес представляют задачи, характеризующиеся наличием ряда резких особенностей, проявляющихся на малых по сравнению с основной областью пространственных подобластях. Такие особенности могут представлять собой “сингулярности” решения, порожденные резкими неоднородностями геометрии области либо физической или математической модели. В работах [1–12] эффективность МКСЭ подтверждена примерами решения задач разнообразного физического происхождения. Все дальнейшие рассмотрения мы проведем на примере задачи Дирихле для уравнения Лапласа в двумерной области где Как и в обычном методе конечных элементов (МКЭ) для численного решения задачи разобьем расчетную область на некоторое число подобластей, называемых суперэлементами
. Каждое предполагаемое место сосредоточения особенности (отверстие, неоднородность и т.п.) при этом должно быть заключено строго внутри одного СЭ. На рис. 2 показан пример равномерного разбиения области Рассмотрим аппроксимации МКСЭ в одном СЭ где Ранее в [6; 9] предложены и исследованы различные варианты продолжения этих функций с узлов Граничные базисные функции заданы для всех узлов и СЭ в области
для всех
Каждая построенная граничная базисная функция Функции Заметим, что сингулярности решения задачи в окрестностях отверстий учтены посредством базисной функции с нулевым индексом
При помощи построенного базиса решение исходной задачи внутри каждого отдельного СЭ разыскивается в следующем виде: Таким образом определяется приближенное решение МКСЭ
В классическом случае эллиптических уравнений второго порядка при должных оговорках относительно гладкости границы, коэффициентов и граничных функций слабые решения принадлежат пространству Соболева В предыдущих работах исследовано влияние выбора метода аппроксимации на границе разбиения на результирующую точность расчетов метода. Получены теоретические (априорные) оценки погрешностей метода в зависимости от способа приближения [10–12]. Неясным остался вопрос о сходимости или расходимости ошибок производных сильного решения разного порядка. Такое исследование изначально затруднено особым “нестандартным” видом получаемого приближенного решения МКСЭ и его ограничениями по гладкости. Данная работа посвящена теоретическому анализу МКСЭ Федоренко. В ней рассмотрена регулярность приближенного решения, получена его асимптотика в углах суперэлементного разбиения. Она представляет как отдельный интерес, так и служит для получения оценок погрешности производных различного порядка. Результаты получены на примере задачи – . 2. Обозначения и определенияБудем предполагать наличие такой гладкости функции Как правило, СЭ Определим объекты нашего рассмотрения. Пространство всех полиномов
порядка не выше Аппроксимирующее пространство
Здесь след функции на
S
определен равенством непрерывно действует из пространства для всех Аналогичным образом определено и а
ппроксимирующее пространство
В определение аппроксимирующего пространства не входят условия совместности функций в узлах на соседних отрезках Отметим, что в определении использован оператор Лапласа, определяющий гармоническую функцию в СЭ. Под гармоничностью
некоторого слабого решения Далее как для слабого, так и для сильного решения продолжаем формально пользоваться кратким обозначением Характерным свойством аппроксимации слабых решений МКСЭ является возможность рассмотрения задачи – не просто в энергетическом пространстве
Аппроксимирующее пространство МКСЭ является подпространством данного пространства. Определение для всех Здесь и далее везде мы будем использовать оператор следа Глобальное
задание следа на границе Учитывая тот факт, что Нам понадобятся следующие пространства, обозначаемые через для любых Обратное вложение при 3. Локальная гладкость приближенного решения МКСЭЕсли при аппроксимации решения в пространстве 3.1. Свойства гладкости приближенного решения МКСЭ Пусть Λ – один из углов СЭ с границей Помимо самого приближенного решения Интерполянт где
и аналогично для приближенного решения: где Утверждение 1
. Пусть граничные базисные функции МКСЭ в некоторой окрестности угла
Λ СЭ
где
Доказательство.
Будем искать решение задачи – в угле Λ СЭ как сумму решений где Здесь коэффициенты разложения по переменной r
(функции Получим представление интерполянта приближенного решения: где Уточним результат, рассмотрев константные коэффициенты разложений. Они представляют интерес для дальнейшего рассмотрения. Выбранные полиномиальные граничные значения бесконечно дифференцируемы в окрестности угла. Решение задачи согласно результату [17, с. 50] может быть найдено в виде: Находим коэффициенты где Отметим, что в первой сумме выражения с коэффициентами ,
в обоих случаях принадлежности Замечание.
Из проведенного рассмотрения следует также: Пример.
Для угла квадратного СЭ значение при линейной интерполяции граничного решения
при любой полиномиальной интерполяции порядка выше единицы:
Выражение определяет гладкость интерполянта приближенного решения Рассмотрим пространство Считаем также, что все углы СЭ направлены во внешность их области: Утверждение 2
. Приближенное решение МКСЭ из пространства Доказательство
. Предыдущие выкладки показывают, что 3.2. Асимптотическое разложение функции класса HR (Λ) Приведем некоторые известные сведения об асимптотическом разложении некоторой функции в многоугольном СЭ. Совместно с пунктом 0 эта информация может быть употреблена для получения ряда оценок. Кроме того, она дает представление и о других возможных вариантах задания граничных базисных функций, не указанных ранее и характеризуемых любой гладкостью по шкале Соболева. Как мы уже отмечали, показатель гладкости такой функции в СЭ всегда ограничен сверху. Это связано с гладкостью Произвольное решение уравнения Лапласа с граничными данными где Классическим способом определения регулярности решения линейного эллиптического уравнения с постоянными коэффициентами является метод В.А. Кондратьева(*)
, использующий преобразование Меллина [21] исходного уравнения в угле Λ в задачу на отрезке В случае уравнения Лапласа коэффициенты λ
разложения включают в себя конечный ряд из полученных характеристических чисел Наличие неоднородных граничных условий на Нас интересует множество функций, удовлетворяющих уравнению Лапласа в областях
где Такое разложение достаточно громоздко, но содержит все необходимые нам факты, связанные с асимптотикой Заметим, что для Отсюда для пространства
Напомним, что из общего определения выполнено вложение вида Отметим, что достаточно хорошо известны результаты и оценки, связанные с сильным решением задачи Дирихле Введем ещё одно определение. Оператор следа
m-го порядка
где n
– внешняя единичная нормаль к границе 4. Оценки решения по шкале H M (Ω)Пусть задача – обладает гладким решением
следует, что нам нужны оценки погрешностей решения u
в норме пространства Рассмотрим пример M = 2. Из гармоничности градиентов искомого и приближенного решений имеем где, вообще говоря, Запишем с использованием стандартных преобразований: где Если бы выражение для ошибки Ясно, что Рассмотрим далее угол Λ, поэтому через Несложно показать, что на границе угла
Тогда из разложения для интересующего диапазона
Перепишем полученные выражения, подставляя
Более того, свойства гладкости Утверждение 3
[26].
Элемент
и для В том случае, когда и для Отметим, что число условий совместности ограничено, несмотря на увеличение показателя s
. Это связано с тем, что мы исследуем лишь величины Вариант Утверждение 4
[26].
Пусть для и принято обозначение Замечание
Пространство Таким образом, для исследования свойств нормальной производной Из условий – утверждения 3 в некоторой окрестности угла Λ СЭ раствора
Подобный же результат мы получим, исследуя целый СЭ В дальнейшем необходимо дополнительное исследование полученных результатов, а “стандартная” схема не применима для получения верных априорных оценок МКСЭ и определения сходимости производных в энергетической норме пространства ЗаключениеВ работе представлены результаты теоретических исследований МКСЭ Федоренко. Определены регулярность приближенного решения МКСЭ, его асимптотика в окрестностях угловых точек разбиения области на подобласти - суперэлементы. Исследование проведено на примере задачи Дирихле. Определение гладкости приближенного решения в пределах СЭ и во всей области и его асимптотического поведения в окрестностях “неестественного” разбиения исходной области на многоугольные СЭ представляет большой самостоятельный интерес. Помимо этого выполненная работа служит связующим звеном при переходе к определению теоретических оценок погрешностей производных приближенного решения. Список литературы[1] Федоренко Р.П. Введение в вычислительную физику . – МФТИ, Москва, 1994. – 528с. [2] Жуков В.Т, Новикова Н.Д., Страховская Л.Г., Федоренко Р.П., Феодоритова О.Б. Метод конечных суперэлементов в задачах конвекции-диффузии // Препринт ИПМ им. М.В.Келдыша РАН, n. 8, 2001. – 36 с. [3] Галанин М.П., Савенков Е.Б. К обоснованию метода конечных суперэлементов // Журн. вычисл. мат. и мат. физики , т. 43, n. 5, 2003, c. 711 – 727. [4] Галанин М.П., Савенков Е.Б. Метод конечных суперэлементов для задачи о скоростном скин-слое // Препринт ИПМ им. М.В. Келдыша РАН, n. 3, 2004. [5] Galanin M., Savenkov E., Temis J. Finite Superelements Method for Elasticity Problems // Mathematical Modelling and Analysis , v. 10, n. 3, 2005, p. 237 – 246. [6] Галанин М.П., Лазарева С.А., Савенков Е.Б. Численное исследование метода конечных суперэлементов на примере решения задачи о скважине для уравнения Лапласа // Препринт ИПМ им. М.В. Келдыша РАН, n. 79, 2005. [7] Галанин М.П., Савенков Е.Б. Совместное использование метода конечных элементов и метода конечных суперэлементов // Журн. вычисл. мат. и мат. физики , т. 46, n. 2, 2006, c. 270 – 283. [8] Galanin M., Lazareva S., Savenkov E. Numerical investigation of the Finite Superelement Method for the 3D elasticity problems // Mathematical Modelling and Analysis , v. 12, n. 1, 2007, p. 39 – 50. [9] Galanin M., Lazareva S., Savenkov E. Fedorenko Finite Superelement Method and its Applications // Computational Methods in Applied Mathematics , v. 7, n. 1, 2007, p. 3 – 24. [10] Галанин М.П., Лазарева С.А., Савенков Е.Б. Качественный анализ и численное исследование метода конечных суперэлементов Федоренко // Тезисы всероссийской конференции по вычислительной математике “КВМ – 2007”, 18 – 20 июня, 2007, Академгородок, Новосибирск, Россия, с. 23. [11] Лазарева С.А. Априорные оценки погрешностей и гладкость приближенного решения МКСЭ Федоренко // Тезисы конференции “Студенческая научная весна – 2007”, МГТУ им. Н.Э. Баумана, Москва, Россия. [12] Лазарева С.А. Аппроксимационные свойства метода конечных суперэлементов Федоренко // Вычислительные технологии , 2008, в печати [13][1] Агранович М.С. Обобщенные функции и соболевские пространства // Лекции Независимого московского университета, 2005. – 60 с. [14][2] Агранович М.С. Спектральные задачи для сильно эллиптических систем второго порядка в областях с гладкой и негладкой границей // Успехи математических наук , т. 57, вып. 5, 2002, с. 3 – 78. [15][3] Агранович М.С. Регулярность вариационных решений линейных граничных задач в липшицевых областях // Функциональный анализ и его приложения , т. 40, вып. 4, 2006. [16] Лионс Ж.-Л., Мадженес Э. Неоднородные граничные задачи и их приложения . Мир, Москва, 1971. – 371 с. [17] Назаров С.А, Пламеневский Б.А. Эллиптические задачи в областях с кусочно гладкой границей. – Наука, Москва, 1991. – 336 с. [18] Обэн Ж.-П. Приближенное решение эллиптических краевых задач. Мир, Москва, 1977. – 383 с. [19] Рябенький В.С. Введение в вычислительную математику. Физматлит, Москва, 1994. – 336 с. [20] Васильчик М.Ю. Граничные свойства функций из пространства Соболева, определенных в плоской области с угловыми точками // Сибирский математический журнал , т. 36, n. 4, 1995, с. 787 – 804. [21] Математическая энциклопедия. В 5 т. Т.3: Меллина преобразование / гл. ред. Виноградов И.М. – Советская Энциклопедия, Москва, 1977. [22][4] Bacuta C., Bramble J.H., Xu J. Regularity estimates for elliptic boundary value problems with smooth data on polygonal domains // Journal of Numerical Mathematics , v. 11, n. 2, 2003, p. 75 – 94. [23] Borsuk M., Kondratiev V. Elliptic boundary value problems of second order in piecewise smooth domains . – Elsevier, North-Holland, 2006. – 538 p. [24][5] Costabel M., Dauge M. Construction of corner singularities for Agmon-Douglis-Nirenberg elliptic systems//Mathematische Nachrichten, v.162,n.1,1993,p.209– 237 [25][6] Costabel M., Dauge M. Stable asymptotics for elliptic systems on plane domains with corners // Commu nications in Partial Differential Equations, v. 19, n. 9–10, 1994, p. 1677 – 1726. [26][7] Bernardi Ch., Dauge M., Maday Y. Polynomials in the Sobolev World // Internal Report, Laboratoire Jacques-Louis Lions,Université Pierre et Marie Curie, 2003.–97p. [27][8] Dahlke St., DeVore R.A. Besov Regularity for Elliptic Boundary Value Problems // Communications in Partial Differential Equations , n. 22, 1997, p. 1 – 16. [28][9] Ding Z. A proof of the trace theorem of Sobolev spaces on Lipschitz domains // Proceedings of American Mathematical Society , v. 124, n. 2, 1996, p. 591 – 600. [29] DeVore R.A. Nonlinear approximation // Acta Numerica , n. 7, 1998, p.51 – 150. [30] Fabes E., Mendez O., Mitrea M. Boundary Layers on Sobolev-Besov Spaces and Poisson’s Equation for the Laplacian in Lipschitz Domains // Journal of Functional Analysis , n. 159, 1998, p. 323 – 368. [31] Jerison J., Kenig C.E. The inhomogeneous Dirichlet problem in lipschitz domains // Journal of Functional Analysis , n. 130, 1995, p. 161 – 219. [32][10] Kozlov V.A., Maz’ya V.G., Rossmann J. Elliptic boundary value problems in domains with point singularities . – American Mathematical Society, 1997. – 414 p. [33] Lehman R.Sh. Developments at an analytic corner of solutions of elliptic partial differential equations // Journal of Mathematics and Mechanics , v. 8, n. 5, 1959, p. 727 – 760. [34] Mitrea M., Taylor M. Potential Theory on Lipschitz Domains in Riemannian Manifolds: Sobolev-Besov Space Results and the Poisson Problem // Journal of Functional Analysis , n. 176, 2000, p. 1 – 79. [35][11] Sändig A.-M. Regularity results for linear elliptic boundary value problems in polygons // Lectures at the Charles university Prague, 2005. – 38 p. [36][12] Showalter R.E. Hilbert space methods for partial differential equations . – Electronic Journal of Differential Equations: Monographs, n. 01, 1994 (Originally of 1977). – 214 p. [37][13] Sweers G. Hopf’s lemma and two dimensional domains with corners // Rendiconti dell'Istituto di Matematica dell'Università di Trieste , vol. 28, 1997, p. 383 – 419. (*) Работа выполнена при частичной финансовой поддержке Российского фонда фундаментальных исследований (проект РФФИ № 06 - 01 - 00421). (*)
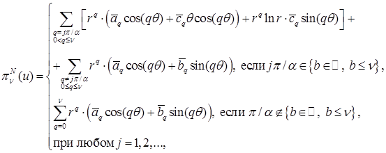
Коэффициенты разложений имеют вид (*) Кондратьев В.А. Краевые задачи для эллиптических уравнений в областях с коническими или угловыми точками // Труды московского математического общества, т. 16, 1967, с. 209 – 292. (*)
В случае [1] Web access: http://www.agranovich.nm.ru/ [2] Web access: http://www.agranovich.nm.ru/ [3] Web access: http://www.agranovich.nm.ru/ [4] Web access: http://www.math.psu.edu/ccma/reports.html [5] Web access: http://perso.univ-rennes1.fr/monique.dauge/core/ [6] Web access: http://perso.univ-rennes1.fr/monique.dauge/core/ [7] Web access: http://perso.univ-rennes1.fr/monique.dauge/core/ [8] Web access: http://citeseer.ist.psu.edu/dahlke95besov.html [9] Web access: http:// www.ams.org/proc/1996-124-02/ [10] Web access: http://www.ams.org/online_bks/surv52/ [11] Web access: http://preprints.ians.uni-stuttgart.de [12] Web access: http://www.emis.ams.org/journals/EJDE/ [13] Web access: http://aw.twi.tudelft.nl/~sweers/ |







,
. Для следа на всей S
: 
,
задач следующего вида:
на
,
. #
, 
,
,
.
;
Отметим, что первым слагаемым, характерным для каждого из разложений и имеющим минимальный показатель
Отсюда ясно, что в окрестности вершины P
произвольного угла СЭ Λ раствора α
справедливы соотношения:
,
,
,
,
, при
, где
,
,
.