Учебное пособие: Методические указания и контрольные задания к выполнению контрольных работ №10, 11, 12 для студентов специальности 120100 заочной формы обучения
|
Название: Методические указания и контрольные задания к выполнению контрольных работ №10, 11, 12 для студентов специальности 120100 заочной формы обучения Раздел: Остальные рефераты Тип: учебное пособие
| ||||||||||||||||||||||||||||||||||||||||||||||||||||||||||||||||||||||||||||||||||||||||||||||||||||||||||||||||||||||||||||||||||||||||||||||||||||||||||||||||||||||||||||||||||||||||||||||||||||||||||||||||||||||||||||||||||||||||||||||||||||||||||||||||||||||||||||||||||||||||||||||||||||||||||||||||||||||||||||||||||||||||||||||||||
| Министерство образования и науки Российской Федерации Федеральное агентство по образованию Саратовский государственный технический университет Балаковский институт техники, технологии и управления ВЫСШАЯ МАТЕМАТИКА Методические указания и контрольные задания к выполнению контрольных работ № 10, 11, 12 для студентов специальности 120100 заочной формы обучения Одобрено редакционно-издательским советом Балаковского института техники, технологии и управления Балаково 2009 Общие рекомендации студенту-заочнику по работе над курсом высшей математики Основной формой обучения студента-заочника является самостоятельная работа над учебным материалом, которая состоит из следующих элементов: изучение материала по учебникам, решение задач, самопроверка, выполнение контрольных работ. В помощь заочникам институты организуют чтение лекций, практические занятия и лабораторные работы. Кроме того, студент может обращаться к преподавателю с вопросами для получения письменной или устной консультации. Указания студенту по текущей работе даются также в процессе рецензирования контрольных работ. Однако студент должен помнить, что только при систематической и упорной самостоятельной работе помощь института окажется достаточно эффективной. Завершающим этапом изучения отдельных частей курса высшей математики является сдача зачетов и экзаменов в соответствии с учебным планом. Рекомендации по выполнению и оформлению контрольных работ Перед выполнением контрольного задания студент должен изучить соответствующие разделы курса по учебным пособиям, указанным в разделе «Литература» данных методических указаний. В методических указаниях даются также некоторые начальные теоретические сведения и приводятся решения типовых примеров. Контрольную работу следует выполнять в тетради чернилами любого цвета, кроме красного, оставляя поля для замечаний рецензента. На бланке должны быть ясно написаны: фамилия студента, его инициалы, учебный номер (шифр), номер контрольной работы. Бланк надо поместить на обложке тетради; здесь же следует указать дату отсылки работы в институт и адрес студента. Решения задач располагать в порядке номеров, указанных в заданиях, сохраняя номера задач. Перед решением каждой задачи надо полностью выписывать ее условие. В том случае, когда несколько задач имеют общую формулировку, следует, переписывая условие задачи, заменить общие данные конкретными соответствующего номера. Решения задач излагать подробно и записывать аккуратно, делать все необходимые чертежи. После получения прорецензированной работы (как не зачтенной, так и зачтенной) студент должен исправить в ней все отмеченные ошибки и недочеты. Ниже приведена таблица номеров задач, входящих в задания на контрольные работы, при трёх контрольных работах по учебному плану. Студент должен выполнять контрольные задания по варианту, номер которого совпадает с последней цифрой его учебного номера (шифра). Таблица 1
Контрольная работа № 10 Ряды Литература: [1], гл. 13, гл. 14; [3], В. 10, В. 11; [4], гл. 21, 22; [5], гл. 14; [8] гл.4, 5, 6; [9], гл. 11, § 2; [10], гл. 4, § 14. Разложение в ряд Маклорена некоторых функций
Решение типового варианта Пример 1.
Доказать сходимость ряда Решение.
Общий член данного ряда 2 n +1= An ( n +1)2 + B ( n +1)2 + Cn 2 ( n +1) + Dn 2 ,
поэтому Далее вычислим сумму ряда: т.е. ряд сходится и его сумма S = 1. Пример 2. Исследовать на сходимость указанные ряды с положительными членами.
Решение. Воспользуемся признаком Д’Аламбера. Имеем:
Решение.
Согласно методу Коши, имеем:
т.е. данный ряд сходится.
Решение. Воспользуемся интегральным признаком Коши. Для этого исследуем несобственный интеграл:
Поскольку данный интеграл сходится, то сходится и исследуемый ряд.
Решение. Исследуем данный ряд с помощью предельного признака сравнения. Имеем В качестве ряда, с которым будем сравнивать исходный ряд, возьмем гармонический расходящийся ряд с общим членом
Исследуемый ряд расходится.
Решение. Для этого ряда необходимый признак сходимости рядов
т.е. исходный ряд расходится. Пример 3. Исследовать на сходимость и абсолютную сходимость знакочередующийся ряд Решение. Воспользуемся признаком Лейбница. Имеем:
т.е. данный ряд сходится. Исследуем ряд, составленный из абсолютных величин членов исходного ряда:
т.е. ряд Пример 4. Найти область сходимости ряда Решение. Воспользуемся признаком Д’Аламбера:
Интервал сходимости определяется неравенством
х
=0 входит в его область сходимости. При х
=1 получим числовой ряд
Следовательно, числовой ряд Таким образом, область сходимости исследуемого ряда Пример 5.
Вычислить воспользовавшись разложением функции Решение. Воспользуемся рядом:
Так как
Получили знакочередующийся числовой ряд. Для того чтобы вычислить значения функции с точностью Лейбница). Имеем: С заданной степенью точности
Пример 6.
Используя разложение подынтегральной функции в степенной ряд, вычислить определённый интеграл Решение. Воспользуемся биномиальным рядом
Тогда Получили бином вида (1+ z ) n , где n =-1/3 , a z =-( x /2)3 . Имеем:
Пример 7.
Разложить в ряд Фурье периодическую (с периодом Решение. Вычислим коэффициенты Фурье:
Ряд Фурье для данной функции запишется в виде
Контрольная работа № 11 Уравнения математической физики. Теория функций комплексного переменного. Элементы операционного исчисления Литература: [ 2], гл. 6, гл. 7, гл. 8; [8], гл. 8, гл. 9. Основные свойства преобразования Лапласа 1. Линейность: 2. Подобие: 3. Смещение: 4. Дифференцирование оригинала:
………………………………………………………… 5. Дифференцирование изображения
……………………………. Соответствие между оригиналами и изображениями Таблица 2
Пример 1. Дана струна, закрепленная на концах х =0 и х =l . Пусть в начальный момент форма струны имеет вид ломаной ОАВ (рисунок 1). Найти форму струны для любого времени t , если начальные скорости отсутствуют.
Прямая АВ отсекает на осях координат отрезки l
и 2h
, поэтому уравнение этой прямой имеет вид х
/l+u/(2h)=l,
или u
=(2h
/l
)(l
-x
). Итак,
Следовательно,
Выпишем несколько членов ряда:
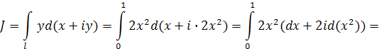
Пример 2.
Вычислить интеграл а) отрезок прямой от точки 0 до точки 1+2i ; б) дуга параболы y=2x2 от точки 0 до точки 1+2i . Решение. Так как l - отрезок прямой y =2x (рис. 2) и Imz =y , то
Так как для всех точек l имеем y=2x2 , то (рис. 3)
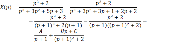
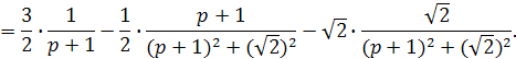
Пример 3. Найти оригинал x (t ) по заданному изображению X (p ), где
Решение. Разложим дробь на простейшие дроби:
Поэтому
Перейдем от изображений к оригиналам, используя таблицу 2:
Пример 4. Найти частное решение дифференциального уравнения, удовлетворяющее начальным условиям: x // -2x / +2x =2t -2, x (0)=x / (0)=0. Решение.
Пусть x
(t
) x/
(t
) x
//
(t
) Так как то приходим к операторному уравнению
из которого находим изображение X (p ) частного решения дифференциального уравнения:
Методом неопределенных коэффициентов находим разложение этой дроби в виде суммы дробей, являющихся оригиналами элементарных функций:
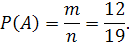
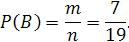
Следовательно, Контрольная работа № 12 Теория вероятностей и математическая статистика Литература: [6], гл. 1 – 8; [7], гл. 1 - 4; [11], гл. 1 - 3. Классическое определение вероятности событий Пример 1. Пусть в урне имеется 12 белых и 7 черных шаров. Какова вероятность извлечь белый шар? Решение.
При выборе шара равновозможно извлечь любой из 19 шаров, n
=19. Из этих 19 шаров белого цвета 12, т.е. m
=12. Таким образом, вероятность вынуть белый шар равна: Аналогично, вероятность извлечь черный шар Теорема сложения вероятностей Пример 2. В денежно-вещевой лотерее на каждые 1000 билетов разыгрывается 100 вещевых и 10 денежных выигрышей. Определить вероятность денежного или вещевого выигрыша на один лотерейный билет. Решение.
Обозначим: А
– событие, состоящее в том, что выиграна вещь, вероятность этого события: Событие В
– выиграны деньги: События А
и В
несовместные, так как один билет может выиграть либо вещь, либо деньги. Событие А
+В
состоит в выигрыше или вещи, или денег. Согласно теореме сложения вероятностей для несовместных событий находим: Теорема умножения вероятностей Пример 3. Имеется 10 радиоламп, среди которых 3 неисправные, на вид не отличающиеся от новых. Наугад выбирают друг за другом две лампы. Какова вероятность того, что обе лампы окажутся исправными. Решение. Пусть событие А1 состоит в том, что первая лампа окажется исправной. Вероятность Р (А1 ) = 7/10.
Событиe А1 А2 состоит в том, что обе лампы исправны. Применяем теорему умножения вероятностей зависимых событий:
Пример 4. Прибор состоит из двух узлов, которые во время работы могут независимо друг от друга выходить из строя. Пусть вероятность безотказ- ной работы первого узла в течение гарантийного срока равна 0,7, а второго 0,9. Найти вероятность того, что в течение гарантийного срока прибор будет работать исправно. Решение.
Прибор работает исправно, если два узла работают без сбоев. Пусть событие А1
состоит в том, что первый узел работает Р
(А1
) = 0,7. Событие А2
– второй узел работает Р
(А2
) = 0,9. Тогда, вероятность того, что оба узла работают, найдем по теореме умножения вероятностей независимых событий: Пример 5. Студент знает 20 вопросов из 40 по первому разделу и 40 из 50 вопросов по второму разделу. На экзамене ему случайным образом предлагается ответить на вопросы из обоих разделов. Найти вероятность того, что студент ответит правильно: 1) на оба вопроса; 2) только на один вопрос; 3) хотя бы на один вопрос. Решение. 1. Пусть событие А состоит в том, что студент ответит правильно на вопрос из первого раздела. Р (А ) = 20/40 = 0,5. Событие В – студент ответит верно на вопрос второго раздела Р (В ) = 40/50 = 0,8. Вероятность события В не зависит от того, ответит студент или нет на вопрос из первого раздела. События А и В независимы. Событие АВ – студент ответит правильно на оба вопроса. По теореме умножения вероятностей независимых событий:
2.
Событие “Студент ответит правильно только на один вопрос” раскладывается на элементарные события: Тогда по теореме сложения вероятностей несовместных событий и теореме умножения вероятностей независимых событий, получим: Р
( 3. Событие A +B –студент ответит правильно хотя бы на один вопрос. Вероятность события A +B можно найти тремя способами. 1 способ решения.
Событие A
+B
возможно разложить на элементарные события : AB
+A
P
(AB
+ A
2 способ решения.
Событие A
+B
противоположно событию P
(A
+B
) = 1 3 способ решения.
Так как события A
и B
совместные и независимые, воспользуемся теоремой сложения вероятностей двух совместных событий: P
(A
+B
) = P
(A
) + P
(B
) - P
(AB
) = 0,5 + 0,8 – 0,5 Формула полной вероятности. Формула Байеса Пример 6. Покупатель может приобрести нужный ему товар в двух магазинах. Вероятности обращения в каждый из магазинов зависят от их местоположения и соответственно равны 0,1 и 0,9. Вероятность того, что к приходу покупателя нужный ему товар не будет распродан, равна 0,8 для первого магазина и 0,4 – для второго. Какова вероятность того, что покупатель приобретет нужный ему товар? Какова вероятность того, что он купил товар в первом магазине? Решение.
Пусть событие B
– покупатель приобрел товар. Он может сделать это в двух магазинах. Событие Вероятность того, что покупатель приобретет товар при условии, что он обратится в первый магазин: Вероятность того, что покупатель приобретет товар при условии, что он обратится во второй магазин: Для того, чтобы найти вероятность того, что покупатель купил товар, применяем формулу полной вероятности: P
(B
) = P
( Покупатель приобрел товар с вероятностью 0,44. Для того, чтобы найти вероятность того, что купил его в первом магазине, применяем формулу Байеса:
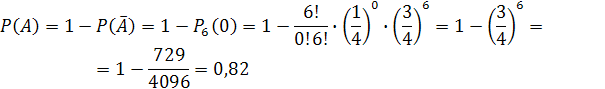
Повторные независимые испытания Формула Бернулли Пример 7. 25% большой партии костюмов составляют костюмы 48 размера. Найти наивероятнейшее число костюмов 48 размера среди серии из шести отобранных наугад и вычислить соответствующую этому вероятность. Вычислить вероятность того, что среди костюмов этой серии хотя бы один будет 48 размера. Решение. Большая партия означает, что при взятии из этой партии нескольких костюмов 48 размера, вероятность извлечь следующий костюм 48 размера остается равной p =1/4. Вероятность противоположного события q = 1 – p = 1 -1/4 = 3/4Так как отбирается n =6 костюмов, то имеем повторные независимые испытания. Найдем наивероятнейшее число костюмов 48 размера среди шести отобранных по формуле:
k
целое число , Применим формулу Бернулли. Вероятность попадания одного костюма 48 размера в серию из 6 костюмов равна:
Пусть событие A состоит в том, что среди шести костюмов хотя бы один будет 48 размера, то есть из шести костюмов будет один или два, или три, или четыре, или пять, или шесть 48 размера, то есть k =1;2;3;4;5;6. P
(A
) = Возможно вычислить вероятность
Ответ: k наивер = 1 ; P6 ( 1 ) = 0,356 ; P( A ) = 0,822 . Локальная и интегральная теоремы Лапласа Пример 8. Предприятие выполняет в срок 70% заказов. Какова вероятность того, что из 200 заказов будут выполнены в срок : А) ровно 140 заказов; Б) от 130 до 150 заказов . Решение.
Будем считать, что вероятность выполнения одного заказа p
=
0,7 не зависит от наличия на предприятии других заказов. Тогда имеем серию n
=
200 повторных независимых испытаний с вероятностью выполнения одного заказа p
=0,7 и не выполнения заказа q
=1 А) Так как число испытаний велико n =200, и в срок необходимо выполнить ровно k =140 заказов, то применяем локальную теорему Лапласа. Находим z по формуле:
Из таблицы значений функции Гаусса находим По формуле находим вероятность того, что из 200 заказов выполнятся в срок ровно 140 :
Б) Для расчёта вероятности того, что из 200 заказов будут выполнены в срок : от k1
= 130 до k2
= 150 заказов, применяем интегральную теорему Лапласа: Рассчитаем значения z 1 , z 2 по формулам:
Используя таблицу и нечётность функции Лапласа, получим: Ф (1.45) = 0,8764; Ф (-1,54) = - 0,8764. Тогда вероятность того, что из 200 заказов будут выполнены в срок от 130 до 150 заказов :
Ответ : Случайные величины Пример 9. Определить математическое ожидание, дисперсию и среднее квадратическое отклонение случайной величины Х , если распределение задано таблицей Таблица 3
Решение.
Найдем математическое ожидание М(Х) по формуле:
Найдем дисперсию D ( X ) по формуле: D ( X )= M ( X 2 )-( M ( X ))2
Среднее квадратическое отклонение Задания для контрольной работы №10 I. Доказать сходимость ряда и найти его сумму. 11.
15.
19.
II. Исследовать на сходимость указанные ряды с положительными членами. 21. а)
22. а)
23. а)
24. а)
25. а)
26. а)
27. а)
28. а)
29. а)
30. а)
III. Найти область сходимости ряда. 31.
35.
39.
I V . Вычислить указанную величину приближенно с заданной степенью точности α, воспользовавшись разложением в степенной ряд соответствующим образом подобранной функции. 41.
44.
47.
50.
V . Используя разложение подынтегральной функции в степенной ряд, вычислить указанный определенный интеграл с точностью до 0,001. 51.
55.
59.
VI . Разложить в ряд Фурье периодическую (с периодом w =2π) функцию f (x ), заданную на отрезке [-π; π]. 61.
63.
65.
67.
69.
Задания для контрольной работы №11 VI
I.
Решить методом Фурье волновое уравнение 71.
73.
75.
77.
79.
VI II. Найти оригинал по заданному изображению: 81.
83.
85.
87.
89.
I X . Вычислить интегралы: 91.
92.
93.
94.
95.
96.
97.
98.
99.
100.
X . Средствами операционного исчисления решить линейные (однородные и неоднородные) дифференциальные уравнения (всюду x =x (t )): 101. x // +x/ -2x =1, x (0)=0, x/ (0)=-2. 102. x // -3x/ +10x =9sint -3cost , x (0)=0, x/ (0)=-2. 103. x // -4x/ +4x =4t , x (0)=4, x/ (0)=7. 104. x // +2x/ +x =t +2, x (0)=0, x/ (0)=2. 105. x // -2x/ +5x =1-t , x (0)=x/ (0)=0. 106. x // -2x/ +2x =1, x (0)=x/ (0)=0. 107. x // -x/ =et , x (0)=x/ (0)=4. 108. x // +2x/ +x =t , x (0)=x/ (0)=0. 109. x // +2x/ +10x =sin 3t +6cos 3t , x (0)=x/ (0)=1. 110. x // +2x/ +x =t2 , x (0)=1, x/ (0)=0. Задания для контрольной работы №12 111. Два стрелка стреляют в одну мишень. Вероятность попадания в цель для первого стрелка равна 0,8, для второго - 0,85. Стрелки делают по одному выстрелу. Определить вероятность того, что цель будет поражена: а) двумя стрелками; б) только одним стрелком; в) хотя бы одним стрелком? 112. Студент знает 23 из 30 вопросов по первому разделу курса и 10 из 20 вопросов по второму разделу курса. На экзамене ему случайным образом предлагается по одному вопросу из каждого раздела курса. Какова вероятность того, что студент ответит правильно: а) только на один вопрос; б) на два вопроса? 113. Имеется 15 единиц товара в одинаковых упаковках. Известно, что 5 единиц бракованные. Вычислить вероятность того, что среди двух наугад отобранных друг за другом единиц товара: а) хотя бы одна не бракованная; б) только бракованные. 114. В группе из 25 студентов - 10 слабоуспевающих. Из группы наугад выбирают двух человек. Какова вероятность того, что среди них: а) только один слабоуспевающий студент; б) хотя бы один слабоуспевающий студент? 115. Проверкой качества товара занимаются два контролера - контролер ОТК на заводе-изготовителе и товаровед в торговом предприятии. Вероятность выявления дефекта контролером ОТК равна 0,9, товароведом - 0,95. Вычислить вероятность того, что изделие с дефектом будет: а) пропущено; б) обнаружено. 116. Прибор состоит из двух узлов, которые во время работы могут независимо друг от друга выходить из строя. Пусть вероятность безотказной работы первого узла в течение гарантийного срока равна 0,6, а второго - 0,9. Найти вероятность того, что в течение гарантийного срока прибор: а) будет работать исправно; б) выйдет из строя. 117. Имеется 10 часов, среди которых 3 неисправных, на вид не отличающихся от новых. Наугад выбирают друг за другом двое часов. Какова вероятность того, что: а) они окажутся исправными; б) хотя бы одни из них исправны? 118. Среди 50 лотерейных билетов имеется 20 выигрышных. Какова вероятность того, что среди двух взятых наугад билетов окажется: а) хотя бы один выигрышный; б) хотя бы один невыигрышный? 119. Из 48 вопросов курса студент знает 30. На экзамене ему случайным образом предлагается два вопроса. Какова вероятность того, что студент ответит правильно: а) хотя бы на один вопрос; б) на оба вопроса? 120. В коробке лежат 50 электрических ламп мощностью 100 Вт и 30 мощностью 60 Вт. Наудачу выбирают две лампы. Найти вероятность того, что они окажутся: а) одинаковой мощности; б) разной мощности. 121. Известно, что 5% всех мужчин и 10% всех женщин дальтоники. На обследование прибыло одинаковое количество мужчин и женщин. Наудачу выбранное лицо оказалось дальтоником. Какова вероятность, что это мужчина? 122. Магазин получил две равные по количеству партии одноименного товара. Известно, что 15% первой партии и 70% второй партии составляет товар 1 сорта. Какова вероятность того, что наугад выбранная единица товара будет не первого сорта? 123. В магазин поступила обувь от двух поставщиков. Количество обуви, поступившей от первого поставщика, в два раза больше, чем от второго. Известно, что в среднем 20% обуви от первого поставщика и 35% обуви от второго поставщика имеют различные дефекты отделки. Из общей массы наугад отбирают одну упаковку с обувью. Оказалось, что она не имеет дефекта отделки. Какова вероятность того, что ее изготовил первый поставщик? 124. В двух одинаковых коробках находятся карандаши. Известно, что 1/3 карандашей в первый коробке и 1/4 карандашей во второй характеризуются твердостью ТМ. Наугад выбирается одна из коробок и из нее наугад извлекается один карандаш. Он оказался твердости ТМ. Какова вероятность того, что он извлечен из первой коробки? 125. Покупатель может приобрести нужный ему товар в двух магазинах. Вероятности обращения в каждый из двух магазинов зависят от их местоположения и соответственно равны 0,4 и 0,6. Вероятность того, что к приходу покупателя нужный ему товар не будет распродан, равна 0,7 для первого магазина и 0,3 для второго. Какова вероятность того, что покупатель приобретет нужный ему товар? 126. Два контролера производят оценку качества выпускаемых изделий. Вероятность того, что очередное изделие попадет к первому контролеру, равна 0,45, ко второму контролеру - 0,55. Первый контролер выявляет имеющийся дефект с вероятностью 0,9, а второй - с вероятностью 0,8. Вычислить вероятность того, что изделие с дефектом будет признано годным к эксплуатации. 127. Пассажир может приобрести билет в одной из двух касс. Вероятность обращения в первую кассу составляет 0,2, а во вторую - 0,8. Вероятность того, что к моменту прихода пассажира нужные ему билеты будут распроданы, равна 0,25 для первой кассы и 0,6 - для второй кассы. Пассажир посетил одну из касс и приобрел билет. Какова вероятность того, что он приобрел его во второй кассе? 128. В магазин поступил одноименный товар, изготовленный двумя предприятиями. С первого предприятия поступило 150 единиц, из них 30 единиц первого сорта, а со второго предприятия - 200 единиц, из них 50 - первого сорта. Из общей массы товара наугад извлекается одна единица. Она оказалась первого сорта. Какова вероятность того, что она изготовлена на первом предприятии? 129. Два специалиста ОТК проверяют качество выпускаемых изделий, причем каждое изделие с одинаковой вероятностью может быть проверено любым из них. Вероятность выявления дефекта первым специалистом равна 0,8, а вторым - 0,9. Из массы проверенных изделий наугад выбирается одно. Оно оказалось с дефектом. Какова вероятность того, что ошибку допустил второй контролер? 130. При сдаче экзамена студент может с одинаковой вероятностью выбрать одного из двух экзаменаторов. Вероятность сдать экзамен по высшей математике первому экзаменатору 0,5, второму 0,1. Студент сдал экзамен. Найти вероятность того, что он сдавал второму экзаменатору. 131. В семье трое детей. Найти вероятность того, что среди них хотя бы одна девочка. Вероятность рождения мальчика принять равной 0,51. 132. Пусть вероятность поражения мишени стрелком при каждом выстреле постоянна и равна 0,8. Вычислить вероятность того, что при пяти выстрелах будет: а) не более двух промахов; б) три попадания. 133. Известно, что 30% большой партии обуви, поступившей в магазин, составляет обувь 38 размера. Найти наивероятнейшее число пар обуви 38 размера среди шести упаковок, отобранных наугад из этой партии, и вычислить соответствующую этому числу вероятность. 134. Известно, что 60% большой партии товара в одинаковых упаковках составляет товар 1 сорта. Найти наивероятнейшее число единиц товара 1 сорта среди пяти единиц, отобранных из общей массы товара и вычислить соответствующую этому событию вероятность. 135. Для прядения смешаны поровну белый и окрашенный хлопок. Какова вероятность среди 8 случайно отобранных нитей обнаружить: а) ровно 3 окрашенных; б) менее трех окрашенных. 136. Установлено, что в среднем 5% мужчин страдают дальтонизмом. Вычислить вероятность того, что среди пяти мужчин: а) не будет ни одного дальтоника; 6) не более одного дальтоника. 137. Известно, что при посадке, в среднем четвертая часть саженцев погибает. Найти наивероятнейшее число прижившихся саженцев среди шести пересаженных и вычислить соответствующую этому событию вероятность. 138. Вычислить вероятность того, что при 5 подбрасываниях монеты герб выпадет: а) не менее трех раз; б) ни одного раза. 139. Установлено, что в среднем 10% стаканов в данной партии имеют дефект. Вычислить вероятность того, что среди 6 отобранных наугад стаканов из этой партии: а) будут иметь дефект не более одного стакана; б) 4 стакана не будут иметь дефект. 140. Известно, что в среднем 60% автомашин не требуют дополнительной регулировки при продаже. Найти наивероятнейшее число автомашин, не требующих дополнительной регулировки среди поступивших в продажу 7 и вычислить соответствующую этому событию вероятность. 141. По данным магазина, установлено, что в среднем 20% телевизоров выходят из строя в течение гарантийного срока. Какова вероятность того, что из 225 проданных телевизоров будут работать исправно в течение гарантийного срока: а) 184 телевизора; б) от 172 до 184 телевизоров. 142. Известно, что одна четвертая часть пересаженных саженцев погибает. Какова вероятность того, что из 300 саженцев: а) погибнет ровно 76; б) приживется от 210 до 224. 143. По данным опроса установлено, что 30% покупателей требуется женская обувь 37 размера. Известно, что ежедневно магазин посещает в среднем 189 человек. Найти наивероятнейшее число покупателей, которым потребуется женская обувь 37 размера, и вычислить соответствующую этому событию вероятность. 144. Установлено, что фирма выполняет в срок в среднем 60% заказов. Какова вероятность того, что из 150 заказов, принятых в течение некоторого времени, будут выполнены в срок: а) ровно 90 заказов; б) от 93 до 107 заказов. 145. Известно, что в данном технологическом процессе 10% изделий имеют дефект. Какова вероятность того, что в партии из 400 изделий: а) не будут иметь дефекта 378 изделий; б) будут иметь дефект от 25 до 43 изделий. 146. Известно, что в среднем 64% студентов потока выполняют контрольные работы в срок. Какова вероятность того, что из 100 студентов потока задержат представление контрольных работ: а) 30 студентов; б) от 30 до 48 студентов. 147. Полагая вероятность рождения девочки 0,49, найти наивероятнейшее число девочек среди 204 новорожденных и вычислить соответствующую этому числу вероятность. 148. Установлено, что третья часть покупателей желает приобрести модную одежду. Магазин посещает в среднем 800 человек в месяц. Найти наивероятнейшее число покупателей, желающих приобрести модную одежду и вычислить соответствующую этому событию вероятность. 149. Работниками магазина установлено, что в среднем 55% пылесосов не требуют дополнительной регулировки при продаже. Найти наивероятнейшее число пылесосов, не требующих дополнительной регулировки, в партии из 110 пылесосов. 150. При оценке качества продукции было установлено, что в среднем третья часть выпускаемой фабрикой обуви имеет различные дефекты отделки. Какова вероятность того, что в партии из 200 пар, поступившей в магазин: а) будут иметь дефекты отделки 60 пар; б) не будут иметь дефектов отделки от 120 до 148 пар. 151-160. Закон распределения дискретной случайной величины X приведен в табл.4. Требуется: а) определить математическое ожидание М(Х) , дисперсию D ( X ) и среднее квадратическое отклонение σ(Х) случайной величины X ; б) построить график этого распределения. Таблица 4
ЛИТЕРАТУРА
ВЫСШАЯ МАТЕМАТИКА Методические указания и задания к выполнению контрольных работ 10, 11, 12 для студентов специальности 120100 заочной формы обучения Составили: Думина Наталья Алексеевна Новикова Евгения Александровна Рецензент А.А.Симанович Редактор Л.В.Максимова Подписано в печать 17.03.09 Формат 60 ´ 84 1/16 Бум. тип. Усл. печ. л. 2,0 Уч.-изд.л. 2,0 Тираж 150 экз. Заказ Бесплатно Саратовский государственный технический университет 410054 г. Саратов, ул. Политехническая, 77 Копипринтер БИТТиУ, 413840, г. Балаково, ул. Чапаева, 140 РЕЦЕНЗИЯ на методические указания «Высшая математика. Методические указания и задания к выполнению контрольных работ №10,11,12»для студентов 3 курса специальности 120100 «Технология машиностроения» заочной формы обучения, составленные ассистентом Думиной Н.А. и ассистентом Новиковой Е.А. Методические указания предназначены для студентов третьего курса заочной формы обучения специальности ТМС и содержат общие теоретические сведения по курсу высшей математики и контрольные задания по изучаемым разделам. Цель методических указаний состоит в изучении разделов математики по темам «Ряды», «Уравнения математической физики. Теория функций комплексного переменного. Элементы операционного исчисления», «Теория вероятностей и математическая статистика». В методических указаниях рассмотрены решения примеров и приведены задания для контрольных работ. Методические указания составлены с учетом потребности учебного процесса и отсутствия централизованного выпуска и соответствуют требованиям по изучению математики в высших учебных заведениях. Рекомендуются к изданию. Рецензия рассмотрена на заседании кафедры «Высшая математика и механика» (протокол № от .) Зав.каф. «Высшая математика и механика» к.т.н., доц. Побежимова Т.Д. Рецензент к.т.н., доц. Ботова Л.В. |
||||||||||||||||||||||||||||||||||||||||||||||||||||||||||||||||||||||||||||||||||||||||||||||||||||||||||||||||||||||||||||||||||||||||||||||||||||||||||||||||||||||||||||||||||||||||||||||||||||||||||||||||||||||||||||||||||||||||||||||||||||||||||||||||||||||||||||||||||||||||||||||||||||||||||||||||||||||||||||||||||||||||||||||||||






















Решение.
Угловой коэффициент ОА (рис.1) равен h
/(l
/2), т.е. 2h
/l
. Следовательно, уравнение этой пря мой есть u
=(2h
/l
)x
. 





















б)

66.
74.

80.
