Реферат: Практика перевода числа из одной системы счисления в другую + блок-схема алгоритма определения наименьшего числа
|
Название: Практика перевода числа из одной системы счисления в другую + блок-схема алгоритма определения наименьшего числа Раздел: Рефераты по математике Тип: реферат | ||||||||||||||||||||||||||||||||||||||||||||||||||||||||||||||||||||||||||||
Задание №1, вопрос №1: Перевести заданные числа в десятичную систему счисления. ТАБЛИЦА
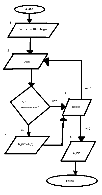
А) 1101101,1102 Для перевода целого числа из двоичной системы в десятичную необходимо цифры умножать на двойку в степени номера позиции (номер позиции начинается с нуля и нумеруется с права на лево). В не целых числах та часть числа, которая стоит после запятой, переводится отдельно, и дописывается к уже полученному числу. 11011012= 1x20 +0x21 +1x22 +1x23 +0x24 +1x25 +1x26 =10910 Переведём дробную часть: 1102= 0x20 +1x21 +1x22 = 610 Итак, мы получаем, что 1101101,1102=109,610 Б) 226,518 Для того, чтобы перевести число из восьмиричной системы в десятичную, необходимо сначала перевести его по таблице в начале контрольной в двоичную, а затем выше описанным методом в десятичную систему. Перевод по таблице делается справа налево, по одной цифре, причём в двоичном варианте должны выходить триады (цифры по три штуки), и если символов меньше, необходимо при переводе каждой цифры дописывать слева нули. Мы получаем, что 226,518=10010110,1010012 По правилу перевода числа из двоичной системы в десятичную получаем, что 10010110,1010012=150,4110 Итого: 226,518=150,4110 В) ВС16 Используем метод, описанный в числе «Б», с той разницей, что в двоичном коде мы должны получить тетрады (цифры по четыре штуки). Получаем, что ВС16=101111002 Затем, способом перевода двоичного числа в десятичное выясняем, что: ВС16=18810 Задание №1, вопрос №2: Выполнить указанные действия в заданной системе счисления. А) 10011 2 + 110 2 = 11001 2 Б) 632 8 - 24 8 = 626 8 В) 643 16 + 6 D 16 = 6 B 0 16 Задание №1, вопрос №3: Заданные чиста и полученные результаты арифметических операции пункта 2 перевести в десятичною систему счисления и выполнить проверку полученных результатов в десятичной системе счисления. А) Способом, описанным в задании №1, вопросе №1, подвопросе А, получаем, что: 10011 2 =19 10 110 2 =6 10 11001 2 =25 10 Б) Способом, описанным в задании №1, вопросе №1, подвопросе Б, получаем, что: 632 8 =410 10 24 8 =20 10 626 8 =406 10 В) Способом, описанным в задании №1, вопросе №1, подвопросе В, получаем, что: 643 16 =1603 10 6 D 16 =109 10 6 B 0 16 =1712 10 ВЫВОД: Так как все операции с числами сходятся в десятичной системе счисления, и при переводе чисел заданий с ответами тоже, то предыдущее задание выполнено верно. Задание №1, вопрос №4: Перевести заданные в десятичной системе счисления числа в системы с основаниями 2, 8 и 16: 65210 984,65210 23674,56677510 Ответ: Для того, чтобы перевести число из десятичной системы в любую другую, необходимо это число делить на число – основание той системы, в которую переводится число. Соответственно, эти числа – 2, 8, 10 и 16. Остатки необходимо фиксировать и нумеровать. Число, полученное в результате деления – делим ещё раз, и так до тех пор, пока вновь полученное число уже само не станет остатком, т. е. будет меньше основания – оно замыкает цепочку остатков. Затем остатки, начиная с последнего, переписываем в число, которое является переведённым в другую систему счисления. Разделим число 63210 на 2, переведя его таким образом в двоичную систему счисления: 632/2=316, остаток№1 (A1)=0; 316/2=158, A2=0 158/2=79, A3=0 79/2=39, A4=1 39/2=19, A5=1 19/2=9, A6=1 9/2=4, A7=1 4/2=2, A7=0 2/2=1, A8=0 A9=1. Теперь напишем остатки с последнего, и получим число 63210 в двоичной системе, оно = A9+A8+A7+A6+A5+A4+A3+A2+A1 = = 10011110002 Путём такого деления узнаём, что: 63210 = 10011110002 = 27816 = 11708 984,65210=1111011000,10011110002=3D8, 27816=1730,11708 23674,56677510=57CA,8A5F716=56172,21227678 = = 101110001111010,100010100101111101112 Задание №1, вопрос №5: Перевести заданные в одной системе счисления числа в другую указанную в скобках систему счисления. А) 333,13 8 (8 - 2) Б) 11101010,111112 (2-8) В) 2336,748 (8-16) Для того, чтобы перевести число «В» необходимо сначала перевести его в двоичную систему счисления. Используя метод, изложенный при решении задания №1, вопроса№1, подвопроса «Б» и «В» получаем: 333,138=11011011,10112 11101010,111112=352,378 2336,748=4DE,3C16 Задание №2: Блок схема алгоритма определения минимального из десяти заданных чисел.
|
||||||||||||||||||||||||||||||||||||||||||||||||||||||||||||||||||||||||||||
