Реферат: Управление финансовыми рисками
|
Название: Управление финансовыми рисками Раздел: Рефераты по менеджменту Тип: реферат | |||||||||||||||||||||||||||||||||||||||||||||||||||||||||||||||||||
Министерство общего и профессионального образования Российской Федерации Санкт-Петербургская Государственная инженерно-экономическая академия Институт предпринимательства и финансов Кафедра предпринимательства и коммерческой деятельности
РЕФЕРАТ на тему: «Управление финансовыми рисками» по дисциплине: «Менеджмент в предпринимательской деятельности»
Выполнила: Павлова Е. В.студентка группы 3171, III курсПроверил: Корабейников И.Н
г. Санкт-Петербург 1999 год СОДЕРЖАНИЕ СУЩНОСТЬ, ВИДЫ И КРИТЕРИИ РИСКА ............................................................................. 3 Пример 1. .......................................................................................................................................... 5 Пример 2. .......................................................................................................................................... 6 Таблица 1. Расчет дисперсии при вложении капитала в мероприятия А и Б ...................... 9 СПОСОБЫ СНИЖЕНИЯ СТЕПЕНИ РИСКА ......................................................................... 10 Пример 3. ........................................................................................................................................ 11 Пример 4. ........................................................................................................................................ 12 КРАТКИЕ ВЫВОДЫ ....................................................................................................................... 14 СПИСОК ИСПОЛЬЗОВАННОЙ ЛИТЕРАТУРЫ ..................................................................... 15 СУЩНОСТЬ, ВИДЫ И КРИТЕРИИ РИСКА В любой хозяйственной деятельности всегда существует опасность денежных потерь, вытекающая из специфики тех или иных хозяйственных операций. Опасность таких потерь представляют собой финансовые риски. Финансовые риски — это коммерческие риски. Риски бывают чистые и спекулятивные. Чистые риски означают возможность получения убытка или нулевого результата. Спекулятивные риски выражаются в возможности получения как положительного, так и отрицательного результата. Финансовые риски — это спекулятивные риски. Инвестор, осуществляя венчурное вложение капитала, заранее знает, что для него возможны только два вида результатов: доход или убыток. Особенностью финансового риска является вероятность наступления ущерба в результате проведения каких-либо операций в финансово-кредитной и биржевой сферах, совершения операций с фондовыми ценными бумагами, т.е. риска, который вытекает из природы этих операций. К финансовым рискам относятся кредитный риск, процентный риск, валютный риск; риск упущенной финансовой выгоды (рис. 1).
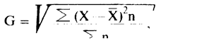
Рис. 1. Система финансовых рисков Кредитные риски — опасность неуплаты заемщиком основного долга и процентов, причитающихся кредитору. Процентный риск — опасность потерь коммерческими банками, кредитными учреждениями, инвестиционными фондами, селенговыми компаниями в результате превышения процентных ставок, выплачиваемых ими по привлеченным средствам, над ставками по предоставленным кредитам. Валютные риски представляют собой опасность валютных потерь, связанных с изменением курса одной иностранной валюты по отношению к другой, в том числе национальной валюте при проведении внешнеэкономических, кредитных и других валютных операций. Риск упущенной финансовой выгоды - это риск наступления косвенного (побочного) финансового ущерба (неполученная прибыль) в результате неосуществления какого-либо мероприятия (например, страхование) или остановки хозяйственной деятельности. Инвестированию капитала всегда сопутствуют выбор вариантов инвестирования и риск. Выбор различных вариантов вложения капитала часто связан со значительной неопределенностью. Например, заемщик берет ссуду, возврат которой он будет производить из будущих доходов. Однако сами эти доходы ему неизвестны. Вполне возможный случай, что будущих доходов может и не хватить для возврата ссуды. В инвестировании капитала приходится также идти на определенный риск, т.е. выбирать ту или иную степень риска. Например, инвестор должен решить, куда ему следует вложить капитал: на счет в банк, где риск небольшой, но и доходы небольшие, или вложить его в более рискованное, но значительно доходное мероприятие (селенговые операции, венчурное инвестирование, покупка акций). Для решения этой задачи надо количественно определить величину финансового риска и сравнить степень риска альтернативных вариантов. Финансовый риск, как и любой риск, имеет математически выраженную вероятность наступления потери, которая опирается на статистические данные и может быть рассчитана с достаточно высокой точностью. Чтобы количественно определить величину финансового риска, необходимо знать все возможные последствия какого-нибудь отдельного действия и вероятность самих последствий. Вероятность означает возможность получения определенного результата. Применительно к экономическим задачам методы теории вероятности сводятся к определению значений вероятности наступления событий и к выбору из возможных событий самого предпочтительного исходя из наибольшей величины математического ожидания. Иначе говоря, математическое ожидание какого-либо события равно абсолютной величине этого события, умноженной на вероятность его наступления. Имеются два варианта вложения капитала. Установлено, что при вложении капитала в мероприятие А получение прибыли в сумме 15 тыс. руб. — вероятность 0,6; в мероприятие Б получение прибыли в сумме 20 тыс. руб. — вероятность 0,4. Тогда ожидаемое получение прибыли от вложения капитала (т.е. математическое ожидание) составит: по мероприятию А 15 х 0,6 = 9 тыс. руб.; по мероприятию Б 20 х 0,4 = 8 тыс. руб. Вероятность наступления события может быть определена объективным методом или субъективным. Объективный метод определения вероятности основан на вычислении частоты, с которой происходит данное событие. Например, если известно, что при вложении капитала в какое-либо мероприятие прибыль в сумме 15 тыс. руб. была получена в 120 случаев из 200, то вероятность получения такой прибыли составляет 0,6(120/200). Субъективный метод базируется на использовании субъективных критериев, которые основываются на различных предположениях. К таким предположениям могут относиться суждение оценивающего, его личный опыт, оценка эксперта, мнение финансового консультанта и т.п. Величина риска или степень риска измеряется двумя критериями: 1) среднее ожидаемое значение; 2) колеблемость (изменчивость) возможного результата. Среднее ожидаемое значение — это то значение величины события, которое связано с неопределенной ситуацией. Среднее ожидаемое значение является средневзвешенным для всех возможных результатов, где вероятность каждого результата используется в качестве частоты или веса соответствующего значения. Среднее ожидаемое значение измеряет результат, который мы ожидаем в среднем. Если известно, что при вложении капитала в мероприятия А из 120 случаев прибыль 12.5 тыс. руб. была получена в 48 случаях (вероятность 0,4), прибыль 20 тыс. руб. — в 42 случаях (вероятность 0,35) и прибыль 12 тыс. руб. в 30 случаях (вероятность 0,25), то среднее ожидаемое значение выразилось в 15 тыс. руб. [(12,5 х 0,4) +(20 х 0,35)+(12 х 0,25)]. Аналогично было найдено, что при вложении капитала в мероприятия Б средняя прибыль составила 20 тыс. руб. [(15 х 0,3) + (20 х 0,5) + (27,5 х 0,2)]. Сравнивая две суммы ожидаемой прибыли при вложении капитала в мероприятия А и Б, можно сделать вывод, что при вложении в мероприятие А величина получаемой прибыли колеблется от 12,5 до 20 тыс. руб. и средняя величина составляет 15 тыс. руб.; при вложении капитала в мероприятие Б величина получаемой прибыли колеблется от 15 до 27,5 тыс. руб. и средняя величина составляет 20 тыс. руб. Средняя величина представляет собой обобщенную количественную характеристику и не позволяет принять решения в пользу какого-либо варианта вложения капитала. Для окончательного принятия решения необходимо измерить колеблемость показателей, т.е. определить меру изменчивости возможного результата. Колеблемость возможного результата представляет собой степень отклонения ожидаемого значения от средней величины. Для этого на практике обычно применяют два близко связанных критерия: дисперсию и среднее квадратическое отклонение. Дисперсия — среднее взвешенное из квадратов отклонений действительных результатов от средних ожидаемых
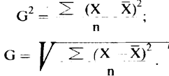
где G2 - дисперсия; X - ожидаемое значение для каждого случая наблюдения; Х - среднее ожидаемое значение; n - число случаев наблюдения (частота). Среднее квадратическое отклонение определяется по формуле:
где G - среднее квадратическое отклонение. При равенстве частот имеем частный случай
Среднее квадратическое отклонение является именованной величиной и указывается в тех же единицах, в каких измеряется варьирующий признак. Дисперсия и среднее квадратическое отклонение служат мерами абсолютной колеблемости. Для анализа обычно используют коэффициент вариации. Коэффициент вариации представляет собой отношение среднего квадратического отклонения к средней арифметической и показывает степень отклонения полученных значений
где V - коэффициент вариации, %. Коэффициент вариации — относительная величина. Поэтому на его размер не оказывают влияния абсолютные значения изучаемого показателя. С помощью коэффициента вариации можно сравнивать даже колеблемость признаков, выраженных в разных единицах измерения. Коэффициент вариации может изменяться от 0 до 100%. Чем больше коэффициент, тем сильнее колеблемость. В экономической статистике установлена следующая оценка различных значений коэффициента вариации: до 10% - слабая колеблемость; до 10 – 25 - умеренная колеблемость; свыше 25% - высокая колеблемость. Расчет дисперсии при вложении капитала в мероприятия А и Б приведен в табл. 1. Имеем. Среднее квадратическое отклонение составляет при вложении капитала: в мероприятие А
в мероприятие Б
Коэффициент вариации: для мероприятия А
для мероприятия Б
Коэффициент вариации при вложении капитала в мероприятие Б меньше, чем при вложении в мероприятие А. что позволяет сделать вывод о принятии решения в пользу вложения капитала в мероприятие Б. Таблица 1. Расчет дисперсии при вложении капитала в мероприятия А и Б
СПОСОБЫ СНИЖЕНИЯ СТЕПЕНИ РИСКА Финансовые риски разрешаются с помощью различных средств и способов. Средствами разрешения финансовых рисков являются избежание их, удержание, передача, снижение степени. Избежание риска означает простое уклонение от мероприятия, связанного с риском. Однако избежание риска для инвестора зачастую означает отказ от прибыли. Удержание риска - оставление риска за инвестором, т. е. на его ответственности. Так инвестор, вкладывая венчурный капитал, заранее уверен, что он может за счет собственных средств покрыть возможную потерю венчурного капитала. Передача риска говорит о том, что инвестор передает ответственность за финансовый риск кому-то другому, например страховому обществу. В данном случае передача риска произошла путем страхования финансового риска. Снижение степени риска означает сокращение вероятности и объема потерь. При выборе конкретного средства разрешения финансового риска инвестор должен исходить из следующих принципов. 1. Нельзя рисковать больше, чем это может позволить собственный капитал. 2. Надо думать о последствиях риска. 3. Нельзя рисковать многим ради малого. Реализация первого принципа означает, что прежде чем вкладывать капитал, инвестор должен: - определить максимально возможный объем убытка по данному риску; - сопоставить его с объемом вкладываемого капитала; - сопоставить его со всеми собственными финансовыми ресурсами и определить, не приведет ли потеря этого капитала к банкротству инвестора. Объем убытка от вложения капитала может быть равен объему данного капитала, быть меньше или больше его. При прямых инвестициях объем убытка, как правило, равен объему венчурного капитала. Инвестор вложил 100 тыс. руб. в рисковое дело. Дело прогорело. Инвестор потерял 100 тыс. руб. Однако с учетом снижения покупательной способности денег и особенно в условиях инфляции объем потерь может быть больше, чем сумма вкладываемых денег. В этом случае объем возможного убытка следует определять с учетом индекса инфляции. Если инвестор 1992 г. вложил 100 тыс. руб. в рисковое дело в надежде получить через год 500 тыс. руб., дело прогорело и ему через год деньги не вернули, то объем убытка следует считать с учетом индекса инфляции 1992 г. (2200%), т. е. 2200 тыс. руб. (22 • 100). При портфельных инвестициях, т. е. при покупке ценных бумаг, которые можно продать на вторичном рынке, объем убытка обычно меньше суммы затраченного капитала. Реализация второго принципа требует, чтобы инвестор, зная максимально возможную величину убытка, определил бы, к чему она может привести, какова вероятность риска, и принял бы решение об отказе от риска (т. е. от мероприятия), о принятии риска на свою ответственность или о передаче риска на ответственность другому лицу. Действие третьего принципа особенно ярко проявляется при передаче финансового риска. В этом случае он означает, что инвестор должен определить приемлемое для него соотношение между страховым взносом и страховой суммой. Страховой взнос (или страховая премия) - это плата за страховой риск страхователя страховщику, согласно договору страхования или в силу закона. Страховая сумма — это денежная сумма, на которую застрахованы материальные ценности (или гражданская ответственность, жизнь и здоровье страхователя). Риск не должен быть удержан, т. е. инвестор не должен принимать на себя риск, если размер убытка относительно велик по сравнению с экономией на страховом взносе. Для снижения степени финансового риска применяются различные способы: - диверсификация; - приобретение дополнительной информации о выборе и результатах; - лимитирование; - страхование (в том числе хеджирование) и др. Диверсификация представляет собой процесс распределения инвестируемых средств между различными объектами вложения, которые непосредственно не связаны между собой, с целью снижения риска возможных потерь капитала или доходов от него. На принципе диверсификации базируется деятельность инвестиционных фондов, которые продают клиентам свои акции, а полученные средства вкладывают в различные ценные бумаги, покупаемые на фондовом рынке и приносящие устойчивый средний доход. Диверсификация позволяет избежать части риска при распределении капитала между разнообразными видами деятельности. Например, приобретение инвестором акций 5 разных акционерных обществ вместо акции одного общества увеличивает вероятность получения им среднего дохода в 5 раз и соответственно в 5 раз снижает степень риска. Инвестор иногда принимает решения, когда результаты неопределенны и основаны на ограниченной информации. Естественно, что если бы у инвестора была более полная информация, он мог бы сделать лучший прогноз и снизить риск. Это делает информацию товаром. Информация является очень ценным товаром, за который инвестор готов платить большие деньги, а раз так, то вложение капитала в информацию становится одной из сфер предпринимательства, последнее носит название эккаутинг. Стоимость полной информации рассчитывается как разница между ожидаемой стоимостью какого-нибудь приобретения, когда имеется полная информация, и ожидаемой стоимостью, когда информация неполная. Предприниматель стоит перед выбором, сколько закупить товара: 100 единиц или 200 единиц. При закупке 100 единиц товара затраты составят 120 руб. за единицу, а при закупке 200 единиц - 100 руб. за единицу. Предприниматель данный товар будет продавать по 180 руб. за единицу. Однако он не знает, будет ли спрос на них. Весь не проданный в срок товар может быть реализован только по цене 90 руб. и менее. При продаже товара вероятность составляет «50 на 50», т. е. существует вероятность 0,5 для продажи 100 единиц товара и 0,5 для продажи 200 единиц товара. Прибыль составит при продаже 100 единиц товара 6000 руб. [100 х (130 - 120)] , при продаже 200 единиц товара 16000 руб. [200 х (180 — 100)] . Средняя ожидаемая прибыль 11000 руб. [(0,5 х х 6000) + (0,5 х 16000)]. Ожидаемая стоимость информации при условии определенности составляет 11000 руб., ожидаемая стоимость информации при неопределенности - 8000 руб. (покупка 200 единиц товара: 0,5 х 16000 = 8000 руб.). Тогда стоимость полной информации 11000 - 8000 = 3000 руб. Следовательно, для более точного прогноза необходимо получить дополнительно информацию о спросе, заплатив за нее 3000 руб. Даже если прогноз окажется не совсем точным, все же выгодно вложить данные средства в изучение спроса и рынка сбыта, обеспечивающее лучший прогноз сбыта на перспективу. Лимитирование — это установление лимита, т. е. предельных сумм расходов, продажи, кредита и т. п. Лимитирование является важным средством снижения степени риска; банками оно применяется при выдаче ссуд и т. п., хозяйствующим субъектом - при продаже товаров в кредит (по кредитным карточкам), по дорожным чекам и еврочекам и т. п.; инвестором при определении сумм вложения капитала и т. п. Сущность страхования выражается в том, что инвестор готов отказаться от части доходов лишь бы избежать риска, т. е. он готов заплатить за снижение степени риска до нуля. Фактически, если стоимость страховки равна возможному убытку (т. е. страховой полис с ожидаемым убытком 200 тыс. руб. будет стоить 200 тыс. руб.), инвестор, не склонный к риску, захочет застраховаться так, чтобы обеспечить полное возмещение любых финансовых потерь, которые он может понести. Страхование финансовых рисков является одним из наиболее распространенных способов снижения его степени. 1. Финансовый риск - это опасность потерь денежных средств. 2. Финансовые риски являются частью коммерческих рисков и представляют собой спекулятивные риски. 3. К финансовым рискам относятся кредитные, процентные, валютные риски и риски упущенной финансовой выгоды. 4. Критериями степени риска являются среднее ожидаемое значение и колеблемость возможного результата. 5. Средства снижения степени риска: избежание риска, удержание его, передача риска. 6. Способы снижения степени риска: диверсификация, приобретение дополнительной информации, лимитирование, страхование, хеджирование. СПИСОК ИСПОЛЬЗОВАННОЙ ЛИТЕРАТУРЫ 1. Балабанов И.Т. Финансовый менеджмент: Учебник. – М.: Финансы и статистика, 1994. – 224с. 2. Финансовый менеджмент: теория и практика: Учебник / под ред. Е.С. Стояновой. – М.: Перспектива, 1996. – 405с. 3. Лялин В.А., Воробьев П.В. Финансовый менеджмент (управление финансами фирмы). – СПб: Юность, 1994. – 114с. |
|||||||||||||||||||||||||||||||||||||||||||||||||||||||||||||||||||






