Реферат: Анализ финансового состояния субъекта хозяйствования
|
Название: Анализ финансового состояния субъекта хозяйствования Раздел: Рефераты по предпринимательству Тип: реферат | |||||||||||||||||||||||||||||||||||||||||||||||||||||||||||||||||||||||||||||||||||||||||||||||||||||||||||||||||||||||||||||||||||||||||||||||||||||||||||||||||||||||||||||||||||||||||||||||||||||||||||||||||||||||||||||||||||||||||||||||||||||||||||||||||||||||||||||||||||||||||||||||||||||||||||||||||||||||||||||||||||||||||||||||||||||||||||||||||||||||||||||||||||||||||||||||||||||||||||||||||||||||||||||||||||||||||||||||||||||||||||||||||||||||||||||||||||||||||||||||||||||||||||||||||||||||||||||||||||||||||||||||||||||||||||||||||||||||||||||||||||||||||||||||||||||||||||||||||||||||||||||||||||||||||||||||||||||||||||||||||||||||||||||||||||||||||||||||||||||||||||||||||||||||||||||||||||||||||||||||||||||||||||||||||||||||||||||||||||||||||||||||||||||||||||||||||||||||||||||||||||||||||||||||||||||||||||||||||||||||||||||||||||||||||||||||||||||||||||||||||||||||||||||||||||||||||||||||||||||||||||||||||||||||||||||||||||||||||||||||||||||||||||||||||||||||||||||||||||||||
ВВЕДЕНИЕ. Каким образом и на основании чего деловые партнеры оценивают друг друга? Сегодня прошло время, когда об успешности деятельности какого-либо предприятия или организации судят по шикарным автомобилям, офису в центре города. На первое место становятся научные подходы при оценке надежности любой фирмы. Поэтому немаловажным становится проведение различных видов анализа. Анализ связан с повседневной финансово-хозяйственной деятельностью предприятий, их коллективов, менеджеров, собственников. В настоящее время необходимо проводить анализ обоснования и выполнения бизнес-планов, сравнительный анализ маркетинговых предприятий, анализ возможностей производства и сбыта, выяснение внутренних и внешнеэкономических ситуаций, влияющих на производство и сбыт, анализ соотношения спроса и предложения, анализ конкретных потребителей и оценки последними качества выпускающихся изделий, анализ затрат живого и овеществленного труда с необходимой их детализацией, анализ конечных финансовых результатов производственной, сбытовой, маркетинговой деятельности, анализ коммерческого риска с сказываемым на него влиянием различных факторов. Одному из основных видов анализа - анализу финансового состояния - и будет посвящена данная выпускная работа. Финансовый анализ основывается на данных финансовой отчетности, которая является по существу «лицом» фирмы. Она представляет собой систему обобщенных показателей, которые характеризуют итоги финансово-хозяйственной деятельности предприятия. Данные финансовой отчетности служат основными источниками информации для анализа финансового состояния предприятия. Ведь для того, чтобы принять решение необходимо проанализировать обеспеченность финансовыми ресурсами, целесообразность и эффективность их размещения и использования, платежеспособность предприятия, его финансовые взаимоотношения с партнерами. Оценка этих показателей, нужна для эффективного управления фирмой. С их помощью руководители осуществляют планирование, контроль, улучшают и совершенствуют направление своей деятельности. Основной целью и задачей данной выпускной работы является изучение методики анализа финансового состояния предприятия и результатов его деятельности с отражением механизма чтения финансовой отчетности и расчета финансовых показателей, рассмотрение внутренних и внешних отношений хозяйственного субъекта. Основными задачами анализа финансового состояния являются: - общая оценка финансового состояния и его изменения за отчетный период; - анализ финансовой устойчивости предприятия; - анализ ликвидности баланса; - анализ финансовых коэффициентов, - анализ уровня и структуры абсолютных показателей финансовых результатов; - анализ рентабельности и деловой активности предприятия. Основными источниками информации при написании выпускной работы будут служить материалы книг под редакцией Шеремета, Сайфулина, Негашева, нормативные документы и инструкции Кабинета Министров Украины, Минфина Украины, а также материалы периодических изданий. Известно, что теория хорошо познается только на практике. Поэтому, теоретические аспекты будут тесно переплетаться с практическим материалом. Для этого будут использованы реальные материалы производственно-коммерческого объединения “Южкомсервис”. Отсюда еще одной задачей вытекает разработка на основе результатов анализа рекомендаций по улучшению финансового состояния анализируемого объединения. ЗАКЛЮЧЕНИЕ В ходе написания выпускной работы был изложен материал, описывающий сущность, структуру, информационную базу финансового анализа, а также представлена методика расчета показателей анализа с использованием реальных данных производственно-коммерческого объединения “Южкомсервис”. На основе исследования деятельности фирмы за год разработана реальная картина финансового состояния предприятия и ее изменение в течение 1998 года. На основе теоретического материала работы можно сделать следующие выводы. Одной из наиболее важных задач анализа финансового состояния является определение устойчивости соотношения структуры средств предприятия и структуры источников их формирования. Основными информационными источниками внешнего финансового анализа, проводимого в данной работе, являются “Баланс предприятия” (Форма №1) и “Отчет о финансовых результатах предприятия” (Форма №2). Баланс представляет собой фиксированный “снимок” финансового состояния на начало и конец отчетного периода и позволяет анализировать размер, структуру и динамику средств предприятия и их источников. Отчет о финансовых результатах дает информацию для анализа уровня и структуры абсолютных показателей финансовых результатов, анализа рентабельности и деловой активности. Выводы внешнего финансового анализа не являются абсолютно объективными и достаточными, поэтому работниками предприятия может проводиться внутренний анализ финансового состояния на основе данных бухгалтерского учета. Следует отметить, что проведение финансового анализа необходимо не только самому предприятию, но и заинтересованным контрагентам - кредиторам, поставщикам, покупателям и другим лицам. Использование финансовой отчетности в ходе внешнего анализа позволяет корректно оценить финансовое состояние партнера без необходимости вмешательства в его коммерческую тайну. В практической части выпускной работы была подробно изложена методика проведения каждого из этапов финансового анализа с применением практических расчетов по данным деятельности производственно-коммерческого объединения “Южкомсервис”. Результаты анализа вскрыли интересную картину деятельности предприятия малого типа в нелегких экономических условиях, сложившихся в Украине. К негативным воздействиям со стороны сложившейся экономической ситуации можно отнести: - высокий удельный вес налогов в выручке, что, либо отбивает стимул к осуществлению какой-либо деятельности вообще, либо вынуждает переводить в “тень” часть оборота; - риск неплатежей со стороны покупателей продукции, особенно со стороны предприятий и организаций государственных форм собственности; - нестабильность национальной валюты, проявляющаяся в периодических инфляционных процессах; - отсутствие реальной возможности получить кредит в банке на выгодных условиях; - низкая покупательная способность населения и другие факторы. В результате финансового анализа были выявлены интересные пути выживания фирмы в столь нелегкой ситуации. Во-первых, для анализируемого предприятия характерен низкий удельный вес основных фондов, а также собственных источников формирования средств в составе имущества, что говорит о предпочтении руководства фирмы работать и рисковать чужим капиталом, нежели своим. Во-вторых, отсутствие возможности привлечения долгосрочных и краткосрочных заемных средств в банковском секторе привело к использованию коммерческих (товарных) кредитов, функции и условия которых приближаются к банковским. По существу, таким способом предприятие получает косвенный банковский кредит, когда поставщик, имеющий возможность получить банковские заемные средства, выдает его в форме коммерческого кредита и включает процент по нему в цену продукции. В-третьих, предприятие стремится по возможности минимизировать величину налогооблагаемой прибыли, увеличивая величину расходов. Таким образом удается уйти от иммобилизации оборотных средств в налоги. В-четвертых, политика руководства направлена на минимизацию численности персонала, что достигается путем привлечения высококвалифицированных работников и применением компьютерной техники. Такие способы функционирования предприятия в условиях украинской экономики применимы лишь на локальном уровне и не приводят к улучшению общеэкономической ситуации в государстве. К тому же, на основе данных финансовой отчетности получается довольно нелепая картина. С одной стороны, оставляют желать лучшего показатели финансовой устойчивости и ликвидности, а с другой - нереально высокими являются уровни рентабельности и деловой активности предприятия. Так, например, рентабельность собственного капитала анализируемого объединения составила 69%, а рентабельность основных средств достигла 100%. Финансовое благополучие субъектов хозяйствования, а также благополучие всей страны зависит от проведения эффективной государственной экономической политики. Не будем перечислять многочисленные шаги, которые необходимы для улучшения экономики. Этим должны заниматься правительство и законодательные органы Украины. Приложение Приложение 1 Таблица Баланс производственно-коммерческого объединения “Южкомсервис” на 1.01.99г. (указаны только заполненные статьи баланса). Единица измерения: тыс.грн.
Приложение 2 Таблица Отчет о финансовых результатах производственно-коммерческого объединения “Южкомсервис” за 1998 год (приведены только заполненные статьи). Единица измерения: тыс.грн. I. Финансовые результаты
II. Использование прибыли
III. Затраты на производство (издержки обращения)
V. Платежи в бюджет
Приложение 3
Приложение 4
Приложение 5 Тестовое задание для оценки уровня усвоения знаний по теме “Анализ рентабельности предприятия”. 1. Рентабельность - это: а). разница между величиной выручки и прибылью; б). разница между прибылью и величиной выручки; в). отношений прибыли к величине затрат; г). разница между величиной выручки и величиной затрат. Ответ: в (0,5 баллов). 2). К соотношениям, характеризующим рентабельность продукции, относятся: а). отношение прибыли к величине выручки; б). отношение величины долгосрочных заемных средств к размеру прибыли; в). отношение прибыли с единицы изделия к ее себестоимости; г). отношение прибыли к итогу баланса предприятия; д). отношение прибыли от реализации продукции к ее стоимости в оптовых ценах предприятия. Ответ: в,д (по 0,5 баллов за каждый правильный ответ). 3). Рентабельность собственного капитала предприятия определяется как: а). отношение прибыли от реализации продукции, работ, услуг к выручке от реализации; б). отношение прибыли к итогу баланса предприятия; в). отношение прибыли к величине источников собственных средств предприятия; г). отношение прибыли к величине долгосрочных кредитов и займов. Ответ: в (0,5 баллов). 4). Отношение прибыли к величине долгосрочных кредитов и займов - это: а). рентабельность продаж; б). рентабельность всего капитала фирмы; в). рентабельность перманентного капитала; г). рентабельность основных средств. Ответ: в (1 балл). 5). Рост цен на сырье и материалы при неизменной цене на продукцию предприятия: а). приводит к росту рентабельности; б). приводит к снижению рентабельности; в). не влияет на показатель рентабельности. Ответ: б (1 балл). 6). Рассчитайте рентабельность изделия, оптовая цена которого - 10 грн., а себестоимость - 8 грн. Ответ: 0,25 или 25% (1 балл). Оценка определяется как сумма баллов за правильные ответы. Список использованной литературы Нормативные акты Министерства финансов Украины 1). Наказ Міністерства фінансів України “Про затвердження обсягу і форм річного бухгалтерського звіту підприємств та Інтсрукції про їх заповнення” №139 від 18.08.95р. // Законодательство Украины. Информационно-справочная система. - 1999. - Февраль. 2). Наказ Міністерства фінансів України “Про квартальну бухгалтерську звітність підприємств” №19 від 08.02.97р. // Законодательство Украины. Информационно-справочная система. - 1999. - Февраль. 3). Інструкція Міністерства фінансів України “Про порядок заповнення форм річного бухгалтерського звіту підприємства” №55 від 9.08.93р. // Законодательство Украины. Информационно-справочная система. - 1999. - Февраль. Специальная литература 4). Асмолов А.Г. Психология личности: Принципы общепсихологического анализа. - М.: МГУ, 1990- 367с. 5). Баканов М.И., Шеремет А.Д. Теория экономического анализа. - М.: Финансы и статистика, 1993. - 288 с. 6). Балабанов И.Т. Основы финансового менеджмента: Учеб. Пособие. - М.: Финансы и статистика, 1997. - 480 с. 7). Вуд Ф. Бухгалтерский учет для предпринимателей. - М.: Аспери, 1992. - 415 с. 8). Друри К. Введение в управленческий и производственный учет. - М.: Аудит, 1994. - 560 с. 9). Журавлев В.И. Педагогика в системе наук о человеке. - М.: Педагогика, 1990.-164 с. 10). Завгородний В.П., Савченко В.Я. Бухгалтерский учет, контроль и аудит в условиях рынка. - К.: Издательство «Блиц-Информ», 1995 - 832c. 11). Ильина Т.А. Педагогика: Курс лекций. Учебное пособие для пед. институов. М.: Просвещение, 1984. - 495 с. 12). Ковалев В.В. Финансовый анализ: Управление капиталом. Выбор инвестиций. Анализ отчетности. - 2-е изд., перераб. и доп. - М.: Финансы и статистика, 1998. - 512 с. 13). Крылова Т.Б. Выбор партнера: анализ отчетности капиталистического предприятия. - М.: Финансы и статистика, 1993. - 60 с. 14). Куписевич Ч. Основы общей дидактики. - М., - 1986 - 367 с. 15). Негашев Е.В. Анализ финансов предприятия в условиях рынка: Учеб. Пособие. - М.: Высш. шк., 1997. - 192 с. 16). Немов Р.С. Психология: Учеб. Для студентов высш. пед. учеб. заведений: В 3 кн. Кн.1. Общие основы психологии. - 3-е изд. - М.: Гуманит. изд. центр ВЛАДОС, 1997. - 688 с. 17). Олейник А.И. Бухгалтерский учет на предприятиях Украины. - Харьков: Прапор, 1995 - 215 с. 18). Патров В.В., Ковалев В.В. Как читать баланс. - М.: Финансы и статистика, 1993. - 256 с. 19). Педагогика. Учебное пособие для пед. институтов / Под ред. Бабанского. Ю.К. - М.: Просвещение, 1983. - 608 с. 20). Родионова В.М., Федотова М.А. Финансовая устойчивость предприятия в условиях инфляции. - М.: Перспектива, 1995. - 98 с. 21). Ткаченко Н.М. Бухгалтерский учет на предприятиях с разными формами собственности: Учеб. Пособие. - 2-е изд., перераб. и доп. - А.С.К., 1997. - 672 с. 22). Финансовый менеджмент / Под ред. Стояновой Е.С. - М.: Перспектива, 1993. - 268 с. 23). Финансовый менеджмент: теория и практика / под ред. Стояновой. Е.С. - М.: Перспектива, 1996 - 405с. 24). Шеремет А.Д., Сайфулин Р.С. Методика финансового анализа. - М.: ИНФРА-М, 1995. - 176 с. 25). Шеремет А.Д., Сайфулин Р.С., Негашев Е.В. Методика финансового анализа предприятия. - М.: Юни-Глоб, 1992. - 80 с. Журналы и газеты 26). Додукало О. В. Как заполнить баланс предприятия // Свiт бухгалтерського облiку. - 1997 - №5 - с.57-59. 27). Назарбаева Р. Порядок заполнения отчета о финансово-имущественном состояния предприятия // Баланс - 1996 - №3 - с.18-25. 28). Турецкий Д. М. Отчет о финансовых результатах и их использовании - Форма №2 // Свiт бухгалтерського облiку - 1997 - №5 - с.60-66.
РАЗДЕЛ I. Сущность и методика анализа финансового состояния субъекта хозяйствования. 1.1 Сущность и структура финансового анализа. Для определения сущности финансового анализа как вида деятельности, с одной стороны, и как науки, с другой, необходимо дать определение основных составляющих его элементов. Такими элементами, по моему мнению, являются: финансы предприятия, структура средств предприятия, структура имущества предприятия, финансовое состояние предприятия, цели финансового анализа, субъекты финансового анализа, место финансового анализа как науки, взаимодействие финансового анализа с другими видами деятельности. В условиях рынка финансы предприятий приобретают особенно важное значение. Выдвижение на первый план финансовой стороны деятельности предприятий является в последнее время одной из наиболее характерных черт экономической жизни развитых капиталистических стран. Возрастающую роль финансов предприятий следует рассматривать как тенденцию, действующую во всем мире. Термин “финансы” происходит от латинского “financia” - денежный платеж. Финансовые отношения возникают в тех случаях, когда тем или иным способом (законодательным, договорным и т.д.) необходимо осуществить наличные и безналичные денежные платежи, а также когда платежи происходят фактически. Финансы предприятий являются системой отношений, которые связаны с их денежными платежами и возникают в процессе индивидуальных кругооборотов средств предприятий и источников этих средств. Другими словами, финансовые процессы предприятий заключаются в формировании их денежных доходов и расходов. Финансовые отношения имеют место между: предприятиями при оплате разнообразных поставок, работ, услуг, реализации продукции, уплате и взыскании штрафных санкций; предприятиями при взаимных финансовых вложениях (долевое участие, приобретение ценных бумаг, предоставление займов); предприятиями и индивидуальными акционерами при распространении акций и выплате дивидендов по ним; предприятиями и трудовыми коллективами в процессе расчетов по оплате труда; предприятиями и подотчетными лицами, персоналом предприятий по операциям, не относящимся к расчетам по оплате труда , а также разными дебиторами и кредиторами; предприятиями, арендаторами, вышестоящими организациями по арендным платежам; предприятиями и государственным бюджетом при начислении и уплате налогов и санкций, целевом бюджетном финансировании, предоставлении налоговых льгот; предприятиями и органами социального страхования, внебюджетными фондами при начислении и уплате страховых взносов, отчислений в Пенсионный фонд, Фонд занятости и т.д.; предприятиями и банками в процессе кредитования и погашения кредитов, при уплате процентов, при осуществлении прочих видов банковского обслуживания. Финансы предприятий обслуживают непрерывный кругооборот средств предприятия и источников их формирования, заключающийся в снабжении, производстве, сбыте, получении и распределении финансовых результатов (выручки, прибыли), привлечении и возврате заемных средств. В процессе кругооборота происходит непрерывное изменение структуры средств предприятия и их источников, определяемой как соотношение между элементами имущества и элементами формирующего его капитала. Структура средств предприятия складывается как пропорция между стоимостными величинами основных средств и других внеоборотных активов, запасов и затрат, денежных средств, расчетов и других оборотных активов. Структура источников имущества предприятия - это пропорция между стоимостными величинами источников собственных средств, долгосрочных кредитов и займов, краткосрочных кредитов и займов, расчетов с кредиторами и других краткосрочных пассивов. Каждый из перечисленных агрегатов соответственно имеет свою структуру, определяемую более мелкими элементами. Соотношение структуры средств предприятия и структуры источников их формирования в каждый фиксированный момент времени задает финансовое состояние предприятия, определение степени устойчивости которого является одной из наиболее важных задач финансового анализа. Операции, осуществляемые в ходе финансово-хозяйственного кругооборота и составляющие содержание процессов снабжения, производства, сбыта и т.д., непрерывно изменяют финансовое состояние предприятия. Совокупности однородных хозяйственных операций, воздействующих на финансы предприятия, образуют хозяйственные процессы. Их влияние на динамику финансового состояния и финансовых результатов предприятия, отражаемое в специфических системных экономических моделях, должно быть предметом исследования финансовой теории. Только на основе таких финансовых моделей может быть построена объективная, адекватная сложности финансово-хозяйственного кругооборота предприятия методика финансового анализа. [15, с.8] Основной целью финансового анализа является получение небольшого числа ключевых (наиболее информативных) параметров, дающих объективную и точную картину финансового состояния предприятия, его прибылей и убытков, изменений в структуре активов и пассивов, в расчетах с дебиторами и кредиторами. При этом аналитика и управляющего (менеджера) может интересовать как текущее финансовое состояние предприятия, так и его проекция на ближайшую или более отдаленную перспективу, т.е. ожидаемые параметры финансового состояния. [24, с.5] Но не только временные границы определяют альтернативность целей финансового анализа. Они зависят также от целей субъектов финансового анализа, т.е. конкретных пользователей финансовой информации. Что касается субъекта анализа, то до настоящего времени наиболее широко была распространена концепция, согласно которой аналитик - это человек, занимающийся аналитической работой и подготавливающий аналитические записки (отчеты, доклады, выводы, комментарии) для руководства, то есть линейных руководителей различного ранга, обладающих правом принятия управленческих решений. Вероятно такой подход был оправдан в прежние годы, поскольку линейные руководители были существенно ограничены в проведении многовариантных расчетов временным параметром и имеющимися в их распоряжении техническими счетными средствами. Следствие такого положения - полная неспособность некоторого числа линейных руководителей понять содержание основных отчетных форм, взаимосвязи между ними, принципы формирования и экономический смысл ряда приводимых в них показателей, возможности использования их в финансовом анализе. Согласно современным подходам субъектами анализа выступают, как непосредственно, так и опосредованно, заинтересованные в деятельности предприятия пользователи информации. В различных литературных источниках субъекты анализа разбиваются на две группы. К первой группе относятся собственники средств предприятия, заимодавцы (банки и др.), поставщики, клиенты (покупатели), налоговые органы, персонал предприятия и руководство. Каждый субъект анализа изучает информацию исходя из своих интересов. Так, собственникам необходимо определить увеличение или уменьшение доли собственного капитала и оценить эффективность использования ресурсов администрацией предприятия; кредиторам и поставщикам - целесообразность продления кредита, условия кредитования, гарантии возврата кредита; потенциальным собственникам и кредиторам - выгодность помещения в предприятие своих капиталов и т.д. Следует отметить, что только руководство (администрация) предприятия может углубить анализ отчетности, используя данные производственного учета в рамках управленческого анализа, проводимого для целей управления. Вторая группа - это субъекты анализа, которые хотя непосредственно и не заинтересованы в деятельности предприятия, но должны по договору защищать интересы первой группы пользователей отчетности. Это аудиторские фирмы, консультанты, биржи, юристы, пресса, ассоциации, профсоюзы. По моему мнению, такая классификация носит сильно обобщающий характер и несколько условна. Чтобы исправить эти недостатки, следовало бы провести деление субъектов по нескольким основаниям. Так, например, одним из таких оснований могла бы быть степень доступности субъектов к информации о деятельности анализируемого предприятия. Тогда можно было бы выделить следующие группы субъектов: 1). Субъекты неограниченного доступа - лица, имеющие доступ ко всей информации анализа, включая элементы планирования, прогнозирования и другую информацию, которая может составлять коммерческую тайну или ноу-хау. К ним относятся: собственники средств предприятия, отдельные представители персонала, руководство предприятия. 2). Субъекты формального доступа - лица, которые имеют право доступа ко всей информации касательно бухгалтерского учета и отчетностей. Как правило, они не имеют права разглашения информации, к которой имеют доступ. К этой группе относятся: заимодавцы, налоговые органы, аудиторские фирмы, консультанты. 3). Субъекты внешнего доступа - лица, имеющие доступ к финансовым отчетностям предприятия, а также к информации, публикуемой и оглашаемой, только с разрешения руководящих органов предприятия. В эту группу входят поставщики, клиенты, пресса, профсоюзы и т.д. Таким образом, из вышеизложенного видно, что не существует какой-либо одной универсальной классификации субъектов финансового анализа, и число таких классификаций может быть увеличено путем введения новых оснований. Финансовый анализ является частью общего, полного анализа хозяйственной деятельности, который состоит из двух тесно взаимосвязанных разделов: финансового анализа и производственного управленческого анализа. Разделение анализа на финансовый и управленческий обусловлено сложившимся на практике разделением системы бухгалтерского учета в масштабе предприятия на финансовый учет и управленческий учет. Такое разделение анализа несколько условно, потому что внутренний анализ может рассматриваться как продолжение внешнего анализа и наоборот. В интересах дела оба вида анализа подпитывают друг друга информацией. Особенностями управленческого анализа являются: ориентация результатов анализа на свое руководство; использование всех источников информации для анализа; отсутствие регламентации анализа со стороны; комплексность анализа, изучение всех сторон деятельности предприятия; интеграция учета, анализа, планирования и принятия решения; максимальная закрытость результатов анализа в целях сохранения коммерческой тайны. Финансовый анализ делится также на внутренний и внешний. Внутренний анализ проводится службами предприятия и его результаты используются для планирования, контроля и прогнозирования финансового состояния. Его цель - установить планомерное поступление денежных средств и разместить собственные и заемные средства таким образом, чтобы обеспечить нормальное функционирование предприятия, получение максимума прибыли и исключение банкротства. Особенностями внешнего финансового анализа являются: множественность субъектов анализа, пользователей информации о деятельности предприятия; разнообразие целей и интересов субъектов анализа; наличие типовых методик анализа, стандартов учета и отчетности; ориентация анализа только на публичную, внешнюю отчетность предприятия; ограниченность задач анализа как следствие предыдущего фактора; максимальная открытость результатов анализа для пользователей информации о деятельности предприятия. Внешний анализ осуществляется инвесторами, поставщиками материальных и финансовых ресурсов, контролирующими органами на основе публикуемой отчетности. Его цель - установить возможность выгодного вложить средства, чтобы обеспечить максимум прибыли и исключить риск потери. Следует отметить, что анализ, проводимый в данной работе, как раз и представляет собой внешний анализ, так как в основном базируется на данных финансовой отчетности. Методика внешнего финансового анализа представляет большой интерес для каждого предприятия не только для целей оценки потенциальных партнеров, но и для собственной самооценки, осуществляемой с точки зрения внешних пользователей бухгалтерской отчетности. Любому предприятию далеко не безразлично, по каким показателям будут оценивать его финансовую деятельность возможные контрагенты, акционеры, кредиторы. Финансовый анализ является существенным элементом финансового менеджмента и аудита. Практически все пользователи финансовых отчетов предприятий используют результаты финансового анализа для принятия решений по оптимизации своих интересов. Собственники анализируют финансовые отчеты для повышения доходности капитала, обеспечения стабильности предприятия. Кредиторы и инвесторы анализируют финансовые отчеты, чтобы минимизировать свои риски по займам и вкладам. Можно твердо говорить, что качество принимаемых решений целиком зависит от качества аналитического обоснования решения. Об интересе к финансовому анализу говорит тот факт, что в последние годы появилось много публикаций, посвященных финансовому анализу, активно осваивается зарубежный опыт финансового анализа и управления предприятиями, банками, страховыми организациями и т.д. Раскрывая сущность финансового анализа, необходимо также выяснить структуру и последовательность его осуществления. Как уже упоминалось выше, анализ, проводимый в данной работе, является преимущественно внешним. В связи с этим необходимо выделить следующие блоки анализа, составляющие его последовательность: 1) анализ финансового состояния предприятия: общая оценка финансового состояния и его изменения за отчетный период; анализ финансовой устойчивости предприятия; анализ ликвидности баланса; анализ финансовых коэффициентов; 2) анализ финансовых результатов деятельности предприятия: анализ уровня, структуры и динамики абсолютных показателей финансовых результатов; анализ рентабельности и деловой активности предприятия. Оценка финансового состояния и его изменения за отчетный период по сравнительному аналитическому балансу, а также анализ абсолютных показателей финансовой устойчивости составляют тот основной исходный пункт, из которого должны логически развиваться остальные блоки анализа финансового состояния. Анализ ликвидности баланса, исходя из анализа устойчивости, должен оценивать текущую платежеспособность и давать заключение о возможности сохранения финансового равновесия и платежеспособности в будущем. Анализ финансовых коэффициентов (т.е. относительных показателей финансового состояния) позволяет сопоставлять финансовое состояние данного предприятия с финансовыми состояниями конкурентов и со среднеотраслевыми пропорциями между финансовыми показателями предприятий, а также проводить исследование динамики финансового состояния за ряд отчетных периодов. Сравнительный аналитический баланс и абсолютные показатели финансовой устойчивости отражают сущность финансового состояния. Ликвидность баланса и относительные показатели (финансовые коэффициенты) характеризуют внешние проявления финансового состояния, которые обусловлены его сущностью. Углубление анализа на основе данных учета приводит к задачам, относящимся преимущественно к внутреннему анализу. Так, например, исследование факторов финансовой устойчивости вызывает необходимость внутреннего анализа запасов и затрат, а уточнение оценки ликвидности баланса производится с помощью внутреннего анализа состояния дебиторской и кредиторской задолженности. Анализ сущностных характеристик финансовых результатов заключается в исследовании уровня, структуры и динамики их абсолютных показателей. Углубление данного направления в рамках внутреннего анализа приводит к изучению и оценке факторов прибыли от реализации продукции (работ, услуг). Анализ внешних проявлений финансовых результатов происходит в ходе исследования относительных показателей рентабельности и деловой активности. Нормативные уровни данных показателей изучаются в камках внутреннего анализа оптимальных значений объемов производства, прибыли и издержек. При анализе динамики финансовых коэффициентов, вычисляемых на основе баланса, и относительных показателей рентабельности и деловой активности выясняются разнообразные взаимовлияния данных двух типов показателей между собой, отражающие тесную взаимосвязь финансового состояния и финансовых результатов деятельности предприятия, исследуются возможности укрепления устойчивости и повышения эффективности финансовой деятельности. Таким образом, на основе вышеизложенного материала можно сделать следующие заключения: финансовый анализ - деятельность, направленная на определение степени устойчивости и динамики финансового состояния предприятия, а также его перспектив; финансовое состояние - соотношение структуры средств предприятия и структуры источников их формирования; основная цель финансового анализа - получение небольшого числа ключевых (наиболее информативных) параметров, дающих объективную и точную картину финансового состояния предприятия, его прибылей и убытков, изменений в структуре активов и пассивов, в расчетах с дебиторами и кредиторами; субъекты финансового анализа - как непосредственно, так и опосредованно, заинтересованные в деятельности предприятия пользователи информации. Субъекты могут классифицироваться по различным основаниям, в качестве которых могут выступать степень заинтересованности в финансовых результатах деятельности предприятия, степень доступности субъектов к информации о деятельности предприятия и т.д.; финансовый анализ делится на внешний и внутренний - внутренний анализ проводится службами предприятия и его результаты используются для планирования, контроля и прогнозирования финансового состояния, а внешний осуществляется инвесторами, поставщиками материальных и финансовых ресурсов, контролирующими органами на основе публикуемой отчетности; структура финансового анализа состоит из двух больших блоков - анализа финансового состояния (основной источник информации - Форма №1 финансовой отчетности) и анализ финансовых результатов деятельности предприятия (основной источник - Форма №2). 1.2. Эволюция финансового анализа. При изучении литературы о финансовом анализе мною было выяснено, что финансовый анализ в своем современном виде появился сравнительно недавно. Поэтому, при рассмотрении эволюции финансового анализа, я посчитал необходимым также затронуть развитие экономического анализа, из которого финансовый анализ, собственно, и выделился. Искать истоки науки об экономическом анализе - дело в значительной степени бесполезное. Элементы аналитической функции присущи любой хозяйственной деятельности. В частности, анализ был составной частью системы манориального учета и аудита (системы учета и контроля в сельскохозяйственных поместьях) в феодальной Британии (ХII век). Следует отметить, что в отличие от аудита греческого и римского периодов особенностью британского средневекового аудита была нацеленность аудитора не только и не столько на инвентаризацию имущества и контроль счетов, но прежде всего на расчет результатов той или иной сделки. Нередки были случаи, когда счета корректировались, а сумма, за которую должен был отчитаться управляющий перед своим господином (лордом), увеличивалась. Налицо взаимосвязь учетной, контрольной и аналитической функций. Родоначальником систематизированного экономического анализа как составного элемента бухгалтерского учета, по-видимому, следует считать француза Жака Савари (1622-1690), который ввел понятие синтетического и аналитического учета (его же по праву считают предтечей управленческого учета и науки об управлении предприятием). Безусловно, становление и использование элементов экономического анализа наблюдались в то время и в других странах, в частности в Италии, Так, А. Ди Пиетро пропагандировал методологию сравнения последовательных бюджетных ассигнований с фактическими затратами; Б. Вентури строил и анализировал динамические ряды показателей хозяйственной деятельности предприятия за десять лет. Идеи Савари были углублены в ХIХ веке итальянским бухгалтером Джузеппе Чербони (1827-1917), который создал учение о синтетическом сложении и аналитическом разложении бухгалтерских счетов. В конце ХIХ - начале ХХ вв. появилось оригинальное понятие в учете - балансоведение. Оно развивалось по трем основным направлениям: экономический анализ баланса, юридический анализ баланса, популяризация знаний о балансе среди пользователей. Первое направление развивали И. Шер, П. Герстнер и Ф. Ляйтнер. В частности, Герстнер ввел понятия аналитических характеристик баланса: о соотношении кратко- и долгосрочных обязательств, установлении верхнего предела заемных средств в размере 50% авансированного капитала, взаимосвязи финансового состояния и ликвидности и др. Основной вклад в развитие второго направления внесли Р. Байгель, Э. Ремер, К. Порциг и другие ученые. В рамках этого направления были позднее разработаны теория и практика бухгалтерской ревизии. Третье направление также разрабатывалось преимущественно немецкими учеными: Брозиусом, Губером, Шенвандтом и др. [12, с.50] В России расцвет науки об анализе баланса приходится на первую половину ХХ века. А.К. Рощаховский (1910 г.) по праву считается первым русским бухгалтером, по настоящему оценившим роль экономического анализа и его взаимосвязь с бухгалтерским учетом. В 20-е годы теория балансоведения, в частности методика анализа баланса, была окончательно сформулирована в трудах А.П. Рудановского, Н.А. Блатова, И.Р. Николаева и др. В конце ХIХ - начале ХХ вв. активно развивается и наука о коммерческих вычислениях. Анализ баланса и коммерческие вычисления и составили, таким образом, суть финансового анализа. По мере строительства планового социалистического хозяйства в Советском Союзе финансовый анализ сравнительно быстро был трансформирован в анализ хозяйственной деятельности. Произошло это путем естественного (в рамках социалистической экономики) принижения роли коммерческих вычислений, усиления контрольной функции, доминирования анализа отклонений фактических значений показателей от плановых, снижения значимости баланса как инструмента финансового управления. Анализ все более и более отделялся от бухгалтерского учета, его финансовая природа выхолащивалась; по сути он превращался в технико-экономический анализ (анализ показателей производства, реализации, труда и заработной платы и др.), которым не занимался по-настоящему никто: ни бухгалтеры (поскольку это не входит в сферу их деятельности, да и не представляет профессионального интереса), ни менеджеры (нет времени). Суть такого анализа состояла в реализации схемы “план-факт”, а собственно анализ по существу был заменен контролем. Такой анализ был ретроспективным по своей природе, а следовательно, мало полезным. Ведущаяся в рамках перестройки экономики на рыночные рельсы трансформация бухгалтерского учета (начало 90-х годов) вновь вернула к жизни такой важнейший элемент аналитической работы, как финансовый анализ. В его основе лежат анализ и управление финансовыми ресурсами субъекта хозяйствования как основным и приоритетным видом ресурсов. Основными исполнителями такого анализа стали бухгалтеры и финансовые менеджеры. Важно отметить, что анализ хозяйственной деятельности, понимаемый как технико-экономический анализ, не отменяется - просто он становится прерогативой линейных руководителей. Во втором разделе данной работе проводится анализ финансового состояния, основанный на методике внешнего финансового анализа, т.е. анализа на основе финансовой отчетности. Поэтому необходимо затронуть исторические аспекты возникновения систематизированного анализа финансовой отчетности (САФО), которым в литературе уделяется сравнительно мало внимания. Несмотря на то что оценка финансового состояния предприятия в том или ином виде проводилась менеджерами, вероятно, с незапамятных времен, обособление систематизированного анализа отчетности в отдельный раздел финансового анализа произошло сравнительно недавно - в конце ХIХ в. Именно в это время в западной учетно-аналитической практике в приложении к отчету железнодорожного транспорта появились первые расчеты некоторых относительных показателей, характеризующих ликвидность компаний и эффективность затрат. В настоящее время западными специалистами (например Дж.О. Хорриган) выделяется пять относительно самостоятельных подходов в становлении и развитии САФО. Очевидно, что такое деление является достаточно условным - в той или иной степени эти подходы пересекаются и взаимодополняют друг друга. [12, с.55] Первый подход связан с деятельностью так называемой “школы эмпирических прагматиков” (Empirical Pragmatists School). Ее представители - профессиональные аналитики, которые, работая в области анализа кредитоспособности компаний, пытались обосновать набор относительных показателей, пригодных для такого анализа. Таким образом, их цель состояла в отборе таких индикаторов, которые могли бы помочь аналитику ответить на вопрос: сможет ли компания расплатиться по своим краткосрочным обязательствам? Этот аспект анализа деятельности компании рассматривался ими как наиболее важный, именно поэтому все аналитические выкладки строились на использовании показателей, характеризующих оборотные средства, собственный оборотный капитал, краткосрочную кредиторскую задолженность. Наиболее удачливые представители этой школы сумели убедить компании, специализирующиеся в оценке, анализе и управлении финансовыми ресурсами и кредитной политикой, в целесообразности такого подхода. В качестве примера можно привести разработки Роберта Фоулка, сделанные им в начале 50-х годов для крупнейшей в мире информационной компании “Дан энд Брэдстрит” (The Dun & Bradstreet Corporation). (Эта компания, основанная в 1841 г., имеет в своем банке данных сведения о 30 млн. компаний мира; объем продаж составляет около 5 млрд. дол. в год) Основным вкладом представителей этой школы в разработку теории САФО, по мнению Пола Барнса, является то, что они впервые попытались показать многообразие аналитических коэффициентов, которые могут быть рассчитаны по данным бухгалтерской отчетности и являются полезными для принятия управленческих решений финансового характера. Второй подход обусловлен деятельностью школы “статистического финансового анализа” (Ratio Statisticians School). Появление этой школы связывают с работой Александра Уолла, посвященной разработке критериев кредитоспособности и опубликованной в 1919 г. Основная идея представителей этой школы заключалась в том, что аналитические коэффициенты, рассчитанные по данным бухгалтерский отчетности, полезны лишь в том случае, если существуют критерии, с пороговыми значениями которых эти коэффициенты можно сравнивать. Разработку подобных нормативов для коэффициентов предполагалось делать в разрезе отраслей, подотраслей и групп однотипных компаний путем обработки распределений этих коэффициентов с помощью статистических методов. Обоснованное обособление однотипных компаний в страты, для каждой из которых могли бы быть разработаны индивидуальные аналитические нормативы, было одной из основных задач, обсуждаемых представителями школы. Начиная с 60-х годов, в рамках этого направления проводятся исследования, посвященные коллинеарности и устойчивости коэффициентов. В частности, исследования показали, что коэффициентам характерна временная и пространственная мультиколлинеарность, что обусловило появление новой актуальной задачи - классификации всей совокупности коэффициентов на группы: показатели одной и той же группы коррелируют между собой, но показатели разных групп относительно независимы. Третий подход ассоциируется с деятельностью школы “мультивариантных аналитиков” (Multivariate Modellers School). Представители этой школы исходят из идеи построения концептуальных основ САФО, базирующихся на существовании несомненной связи частных коэффициентов, характеризующих финансовое состояние и эффективность текущей деятельности компании (например, валовой доход, оборачиваемость средств в активах,, запасах, расчетах и др.), и обобщающих показателей финансово-хозяйственной деятельности (например, рентабельность авансированного капитала). Это направление связано с именами Джеймса Блисса, Артура Винакора и др., работавших над этой проблемой в 20-е годы. Основную задачу представители этой школы видели в построении пирамиды (системы) показателей. Определенное развитие это направление получило в 70-е годы в рамках построения компьютерных имитационных моделей взаимосвязи аналитических коэффициентов и рыночной цены акций. Четвертый подход связан с появлением “школы аналитиков, занятых прогнозированием возможного банкротства компаний” (Distress Predictors School). В отличие от первого подхода представители этой школы делают в анализе упор на финансовую устойчивость компании (стратегический аспект), предпочитая перспективный анализ ретроспективному. По их мнению, ценность бухгалтерской отчетности определяется исключительно ее способностью обеспечить предсказуемость возможного банкротства. Первые попытки анализа деятельности фирм-банкротов были предприняты в 30-е годы А. Винакором и Рэймондом Смитом; в наиболее законченном виде методика и техника прогнозирования банкротства представлены в работах Эдварда Альтмана. Наконец, пятый подход, представляющий собой самое новое по времени появления направление в рамках САФО, развивается с 60-х годов представителями школы “участников фондового рынка” (Capital Marketers School). Так, по мнения Джорджа Фостера, ценность отчетности состоит в возможности ее использования для прогнозирования уровня эффективности инвестирования в те или иные ценные бумаги и степени связанного с ним риска. Ключевое отличие этого направления от вышеописанных состоит в его излишней теоретизированности; не случайно оно развивается главным образом учеными и пока еще не получило признания у практиков. Что касается дальнейших перспектив развития САФО, то его связывают прежде всего с разработкой новых аналитических коэффициентов, а также с расширением информационной базы анализа. Достаточно очевидно, что аналитические расчеты, в особенности перспективного характера, не могут быть выполнены по данным только бухгалтерской отчетности, аналитические возможности которой, безусловно, ограничены. Как видим из истории, финансовый анализ, в той или иной его форме, проводится аналитиками очень давно, и в этой области человечеством накоплен достаточно большой опыт. Конечно не все положения применимы в современной ситуации, так как экономика развивается вместе с человечеством, усложняясь и трансформируясь. Однако накопленной на сегодня информации достаточно для проведения финансового анализа любой сложности и для разработки качественно новых методик. 1.3. Информационная основа финансового анализа. При изучении литературы касательно вопроса об источниках информации для проведения финансового анализа мною были поставлены следующие задачи: 1). Определить, какие документы являются основными источниками для проведения финансового анализа; 2). Охарактеризовать данные документы, их преимущества и недостатки; 3). Определить основные требования к источникам информации финансового анализа. Результативность управления предприятием в значительной степени определяется уровнем его организации и качеством информационного обеспечения. Особое значение в качестве информационной основы финансового анализа имеют бухгалтерские данные, а отчетность становится основным средством коммуникации, обеспечивающим достоверное представление информации о финансовом состоянии предприятия. Причин тому несколько, основная из них состоит в изменении форм собственности. Этот процесс, наиболее динамично развивающийся в сфере обращения, вполне естественно привел к разрушению многих вертикальных связей и последовавшей за этим информационной обособленности предприятий. Основными, наиболее доступными и компактными источниками информации для анализа финансового состояния предприятия служат формы финансовой отчетности №1,2,3, а если анализ проводят внутренние пользователи, то еще и данные текущего бухгалтерского учета. В состав квартальной отчетности входят: баланс предприятия, (форма №1) и отчет о финансовых результатах и их использовании (форма №2). Годовая финансовая отчетность включает три типовые формы: форма №1, форма №2, форма №3 - отчет о финансово-имущественном состоянии предприятия и пояснительную записку. Эти формы составляются путем подсчета, группировки и специализированной обработки данных текущего бухгалтерского учета и являются завершающей его стадией. Основным источником информации для финансового анализа служит бухгалтерский баланс предприятия (Форма №1 годовой и квартальной отчетности), дающий своеобразный “моментальный снимок” финансового состояния на начало и конец отчетного периода. Его значение в данном отношении настолько велико, что анализ финансового состояния нередко называют анализом баланса. Хотя углубленный анализ финансового состояния всегда предполагал использование и других форм годового отчета, а также данных бухгалтерского учета, бухгалтерский баланс играет определяющую роль. Логика и характер задач анализа финансового состояния тесно взаимосвязаны с формой и структурой бухгалтерского баланса, составом разделов и статей его актива и пассива. Однако это не означает, конечно, что форма баланса определяет логику и задачи анализа. Бухгалтерский баланс обобщенно отражает хозяйственные средства предприятия в денежной оценке на определенную дату, сгруппированные по их составу и источникам образования. Поэтому бухгалтерский баланс, в сущности, является практически используемой системной моделью, обобщенно отражающей кругооборот средств предприятия и финансовые отношения , в которые вступает предприятие в ходе этого кругооборота. [15, с.19] Источником данных для анализа финансовых результатов является отчет о финансовых результатах и их использовании (Форма № 2 годовой и квартальной отчетности). Чем удобны такие источники информации для финансового анализа? В первую очередь тем, что можно не подготавливая данные для анализа уже на основании баланса предприятия (Форма №1) и (Форма №2 ) сделать сравнительный экспресс анализ показателей отчетности предприятия за предыдущие периоды. Во-вторых: с появлением специальных автоматизированных бухгалтерских программ для анализа финансового состояния предприятия, удобно сразу после составления форм отчетности не выходя из программы произвести на основании готовых форм бухгалтерской отчетности с помощью встроенного блока финансового анализа простейший экспресс анализ предприятия. Финансовый анализ, основывающийся на данных только бухгалтерской отчетности, приобретает характер внешнего анализа, т.е. анализа, проводимого за пределами предприятия его заинтересованными контрагентами, собственниками или государственными органами. Этот анализ на основе только отчетных данных, которые содержат лишь весьма ограниченную часть информации о деятельности предприятия, не позволяет раскрыть всех секретов успеха или неудач фирмы, однако внешним пользователям отчетности становится возможным достаточно объективно оценивать финансовое состояние предприятия, его деловую активность и рентабельность, не используя информацию, являющуюся коммерческой тайной. Существует многообразная экономическая информация о деятельности предприятий и множество способов анализа этой деятельности. Финансовый анализ по данным финансовой отчетности называют классическим способом анализа. Внутрихозяйственный финансовый анализ использует в качестве источника информации данные о технической подготовке производства, нормативную и плановую информацию и другие данные системного бухгалтерского учета. Любое предприятие в той или иной степени постоянно нуждается в дополнительных источниках финансирования. Найти их можно на рынке капиталов, привлекая потенциальных инвесторов и кредиторов путем объективного информирования их о своей финансово-хозяйственной деятельности, то есть в основном с помощью финансовой отчетности. Насколько привлекательны опубликованные финансовые результаты, показывающие текущее и перспективное финансовое состояние предприятия, настолько высока и вероятность получения дополнительных источников финансирования. Основное требование к информации, представленной в отчетности заключается в том, чтобы она была полезной для пользователей, т.е. чтобы эту информацию можно было использовать для принятия обоснованных деловых решений. Чтобы быть полезной, информация должна отвечать соответствующим критериям: 1). Уместность - означает, что данная информация значима и оказывает влияние на решение, принимаемое пользователем. Информация считается также уместной, если она обеспечивает возможность перспективного и ретроспективного анализа. 2). Достоверность информации определяется ее правдивостью, преобладания экономического содержания над юридической формой, возможностью проверки и документальной обоснованностью. Информация считается правдивой, если она не содержит ошибок и пристрастных оценок, а также не фальсифицирует событий хозяйственной жизни. 3). Нейтральность - предполагает, что финансовая отчетность не делает акцента на удовлетворение интересов одной группы пользователей общей отчетности в ущерб другой. 4). Понятность - означает, что пользователи могут понять содержание отчетности без специальной профессиональной подготовки. 5). Сопоставимость - требует, чтобы данные о деятельности предприятия были сопоставимы с аналогичной информацией о деятельности других фирм. В ходе формирования отчетной информации должны соблюдаться определенные ограничения на информацию, включаемую в отчетность: 1). Оптимальное соотношение затрат и выгод, означающее, что затраты на составление отчетности должны разумно соотноситься с выгодами, извлекаемыми предприятием от представления этих данных заинтересованным пользователям. 2). Принцип осторожности (консерватизма) предполагает, что документы отчетности не должны допускать завышенной оценки активов и прибыли и заниженной оценки обязательств. 3). Конфиденциальность требует, чтобы отчетная информация не содержала данных, которые могут нанести ущерб конкурентным позициям предприятия. По сфере доступности информацию можно разделить на открытую и закрытую (секретную). Информация, содержащаяся в бухгалтерской и статистической отчетности, выходит за пределы хозяйствующего субъекта и является открытой информацией. Каждый хозяйствующий субъект разрабатывает свои плановые показатели, нормы, нормативы, тарифы, лимиты, систему их оценки и регулирования финансовой деятельности. Эта информация составляет его коммерческую тайну, а иногда и “ноу-хау”. [6, с.412] В заключение, на основе поставленных задач, можно сделать следующие выводы: - основными источниками информации анализа финансового состояния являются: Форма №1 и Форма №2 квартальной и годовой отчетности, Форма № 3 годовой отчетности, данные внутреннего учета, планирования и прогнозирования; - Форма №1 - “Баланс предприятия” - дает основную информацию для анализа финансового состояния на начало и конец отчетного периода, а также его динамики за один или ряд отчетных периодов; - Форма №2 - “Отчет о финансовых результатах предприятия” дает информацию о финансовых результатах деятельности за отчетный период; - основными требования к источникам информации, используемым в финансовом анализе, являются: уместность, достоверность, нейтральность, понятность, сопоставимость; - по сфере доступности информация делится на открытую (формы финансовой отчетности) и закрытую (информация внутреннего учета и планирования) или секретную. 1.4. Методы финансового анализа. В литературных источниках о финансовом анализе приводятся самые различные методы финансового анализа и их классификации. Их можно разбить на три основные группы: 1). Методы, прямо или косвенно заимствованные из других наук; 2). Модели, используемые при проведении финансового анализа; 3). Методы чтения финансовой отчетности. В соответствии с этой структурой мною и будет изложен данный вопрос. Существуют различные классификации методов, которые могут быть применимы в финансовом анализе. Первый уровень классификации выделяет неформализованные и формализованные методы анализа. Первые основаны на описании аналитических процедур на логическом уровне, а не на строгих аналитических зависимостях. К ним относятся методы: экспертных оценок, сценариев, психологические, морфологические, сравнения, построения систем показателей, построения систем аналитических таблиц и т.п. Применение этих методов характеризуется определенным субъективизмом, поскольку большое значение имеют интуиция, опыт и знания аналитика. Ко второй группе относятся методы, в основе которых лежат достаточно строгие формализованные аналитические зависимости. Известны десятки этих методов; они составляют второй уровень классификации. Перечислим некоторые из них. [12, с.58] Классические методы анализа хозяйственной деятельности и финансового анализа: цепных подстановок, арифметических разниц, балансовый, выделения изолированного влияния факторов, процентных чисел, дифференциальный, логарифмический, интегральный, простых и сложных процентов, дисконтирования. Традиционные методы экономической статистики: средних и относительных величин, группировки, графический, индексный, элементарные методы обработки рядов динамики. Математико-статистические методы изучения связей: корреляционный анализ, регрессионный анализ, дисперсионный анализ, факторный анализ, метод главных компонент, ковариационный анализ, метод объекто-периодов, кластерный анализ и др. Эконометрические методы: матричные методы, гармонический анализ, спектральный анализ, методы теории производственных функций, методы теории межотраслевого баланса. Методы экономической кибернетики и оптимального программирования: методы системного анализа, методы машинной имитации, линейное программирование, нелинейное программирование, динамическое программирование, выпуклое программирование и др. Методы исследования операций и теории принятия решений: методы теории графов, метод деревьев, методы байесовского анализа, теория игр, теория массового обслуживания, методы сетевого планирования и управления. Безусловно, не все из перечисленных методов могут найти непосредственное применение в рамках финансового анализа, поскольку основные результаты эффективного анализа и управления финансами достигаются с помощью специальных финансовых инструментов, тем не менее некоторые их элементы уже используются. В частности, это относится к методам дисконтирования, машинной имитации, корреляционно-регрессионного анализа, факторного анализа, обработки рядов динамики и др. Финансовый анализ проводится с помощью различного типа моделей, позволяющих структурировать и идентифицировать взаимосвязи между основными показателями. Можно выделить три основных типа моделей: дескриптивные, предикативные и нормативные. [12, с.59] Дескриптивные модели, известные также, как модели описательного характера, являются основными для оценки финансового состояния предприятия. К ним относятся: построение системы отчетных балансов, представление финансовой отчетности в различных аналитических разрезах, вертикальный и горизонтальный анализ отчетности, система аналитических коэффициентов, аналитические записки к отчетности. Все эти модели основаны на использовании информации бухгалтерской отчетности. Анализ, проводимый во втором разделе данной работы и будет представлять собой построение дескриптивной модели. Предикативные модели - это модели предсказательного, прогностического характера. Они используются для прогнозирования доходов предприятия и его будущего финансового состояния. Наиболее распространенными из них являются: расчет точки критического объема продаж, построение прогностических финансовых отчетов, модели динамического анализа (жестко детерминированные факторные модели и регрессионные модели), модели ситуационного анализа. Нормативные модели. Модели этого типа позволяют сравнить фактические результаты деятельности предприятий с ожидаемыми, рассчитанными по бюджету. Эти модели используются в основном во внутреннем финансовом анализе. Их сущность сводится к установлению нормативов по каждой статье расходов по технологическим процессам, видам изделий, центрам ответственности и т.п. и к анализу отклонений фактических данных от этих нормативов. Анализ в значительной степени базируется на применении жестко детерминированных факторных моделей. Основной принцип аналитического чтения финансовых отчетов - это дедуктивный метод, то есть от общего к частному, но он должен применяться многократно. В ходе такого анализа как бы воспроизводится историческая и логическая последовательность хозяйственных фактов и событий, направленность и сила влияния их на результаты деятельности. [15, с.5] Практика финансового анализа уже выработала основные виды анализа (методику анализа) финансовых отчетов. Среди них можно выделить 6 основных методов: горизонтальный (временной) анализ - сравнение каждой позиции отчетности с предыдущим периодом; вертикальный (структурный) анализ - определение структуры итоговых финансовых показателей с выявлением влияния каждой позиции отчетности на результат в целом; трендовый анализ - сравнение каждой позиции отчетности с рядом предшествующих периодов и определение тренда, т.е. основной тенденции динамики показателя, очищенной от случайных влияний и индивидуальных особенностей отдельных периодов. С помощью тренда формируют возможные значения показателей в будущем, а следовательно, ведется перспективный прогнозный анализ; анализ относительных показателей (коэффициентов) - расчет отношений между отдельными позициями отчета или позициями разных форм отчетности, определение взаимосвязей показателей; сравнительный (пространственный) анализ - это как внутрихозяйственный анализ сводных показателей отчетности по отдельным показателям предприятия, филиалов, подразделений, цехов, так и межхозяйственный анализ показателей данного предприятия в сравнении с показателями конкурентов, со среднеотраслевыми и средними хозяйственными данными; факторный анализ - анализ влияния отдельных факторов (причин) на результативный показатель с помощью детерминированных или стохастических приемов исследования. Причем факторный анализ может быть как прямым (собственно анализ), когда результативный показатель дробят на составные части, так и обратным (синтез), когда его отдельные элементы соединяют в общий результативный показатель. В заключение следует сказать, что не все методы и модели, изложенные выше, будут использованы мною в данной работе в ходе анализа финансового состояния. Это объясняется ограниченностью информации, которая имеется в распоряжении, а также тем, что анализ будет преимущественно внешним. В ходе анализа будет использоваться дескриптивная модель, т.е. модель описательного характера, в рамках которой применимы следующие методы и направления анализа: 1). Вертикальный и горизонтальный анализ отчетности - выражением данного метода будет построение сравнительного аналитического баланса; 2). Построение системы аналитических коэффициентов, на основе которых будут рассматриваться финансовая устойчивость, ликвидность; 3). Факторный анализ - определение степени влияния отдельных составляющих показателя на его величину - будет проводиться при рассмотрении структуры активов и пассивов, выручки от реализации; 4). Анализ рентабельности - показатели этой группы будут использоваться для оценки общей эффективности вложения средств в данное предприятие.
РАЗДЕЛ II. Анализ финансового состояния производственно-коммерческого объединения “Южкомсервис”. 2.1. Организационная и технико-экономическая характеристика производственно-коммерческого объединения “Южкомсервис”. Производственно-коммерческое объединение “Южкомсервис” создано на основе объединения средств его учредителей с целью ведения совместной хозяйственно-коммерческой деятельности в соответствии с Законами Украины “О предприятиях”, “О предпринимательстве”, “О собственности”. Данное объединение зарегистрировано 6 мая 1996 года в Комитете по экономике Исполнительного комитета алуштинского городского Совета Народных Депутатов. Состав учредителей: - общество с ограниченной ответственностью “Форма”, - малое частное предприятия “Кара-Дениз”. Юридический адрес объединения: г.Алушта, пер. Туристов, 2а. Цель создания - осуществление рыночных взаимоотношений и получение прибыли на основе удовлетворения потребностей граждан, юридических лиц в производимой продукции и товарах, выполняемых работах и оказываемых услугах в сферах, определяемых предметом деятельности. Объединение является юридическим лицом с момента государственной регистрации, имеет самостоятельный баланс, расчетный счет в банковском учреждении, а также является самостоятельным субъектом хозяйственной деятельности, выступает от своего имени истцом и ответчиком в суде. Имущество объединения образуется за счет: - целевых вкладов и вступительных взносов, которые могут вноситься как денежными средствами, так и имуществом; - доходов от собственной деятельности; - других поступлений, не запрещенных законодательством. Руководящим органом объединения является Совет директоров и Исполнительная дирекция. Общее собрание представителей членов объединения принимает Устав, избирает председателя Совета директоров, его членов сроком на три года. Члены Совета директоров и председатель исполняют свои обязанности по совместительству с основной служебной деятельностью. Председатель Совета директоров имеет право представлять объединение в государственных и общественных органах и организациях, а также предприятиях и других учреждениях, а также в органах суда и арбитража. Производственно-коммерческое объединение “Южкомсервис” имеет право: - самостоятельно разрабатывать, утверждать и реализовывать хозяйственные и социальных программы совместной деятельности субъектов объединения с учетом их планов социально-экономического развития; - заключать договора, пользоваться кредитом банка, создавать совместные предприятия, в том числе с иностранными партнерами; - по совместному решению субъектов объединения может в отдельных случаях компенсировать затраты или убытки входящих в состав его структур, возникших при реализации задач объединения и вызванные действием объективных факторов; - самостоятельно устанавливать порядок распределения вновь созданных ценностей и услуг, исходя из решений его задач и целей. Что касается, предмета деятельности, то в Уставе перечислено 24 направления, включающих практически все виды деятельности, которые могут осуществляться на территории Украины. Это, по видимому, сделано с целью избежать различных юридических проблем и волокит, которые имеют место при внесении изменений в Устав, в случае изменения направлений деятельности объединения в будущем. Основными видами деятельности, осуществляемыми объединением в настоящем, являются: - координация хозяйственной деятельности входящих в объединение предприятий; - закупка и реализация продовольственных товаров (реализация осуществляется мелким оптом преимущественно предприятиям и организациям сферы отдыха и курортного обслуживания); - закупка и реализация строительных материалов (реализация осуществляется как оптом, так и в розницу). В настоящем времени в составе деятельности объединения преобладает закупка и реализация цемента. Основная схема работы приведена на рисунке 2.1.
Рис. 2.1. Схема осуществления закупки и реализации цемента производственно-коммерческого объединения “Южкомсервис”. Объединение является официальным дилером Криворожского цементного комбината по Крыму, а также имеет договорные отношения с другими поставщиками цемента юго-восточных областей Украины. Для железнодорожных перевозок используются услуги Приднепровской железной дороги, а в качестве основного автоперевозчика выступает один из учредителей объединения - общество с ограниченной ответственностью “Форма”. В течение летнего сезона объединением осуществляется также закупка продовольственных товаров и их последующая реализация в гостиницы, пансионаты, детские лагеря, базы отдыха, санатории и другие предприятия санаторно-курортного типа. В ассортимент таких товаров в основном входят: мука, овощи и фрукты, консервы, соки и напитки. Основные пики объемов реализации приходятся на следующие периоды: - июнь-сентябрь - реализация продовольственных товаров (в остальное время года объединение не занимается данной группой товаров вообще); - март-май - реализация строительных материалов (это связано с подготовкой к курортному сезону как со стороны курортных предприятий, так и со стороны частного сектора. В остальные месяцы объем реализации несколько ниже и находится на одинаковом уровне). По сфере деятельности данное производственно-коммерческое объединение можно отнести к типу торгово-посреднических предприятий. Прибыль в основном формируется как вознаграждение, получаемое за организацию закупки и доставки названных ранее товаров. Ее валовую величину в общем случае можно высчитать путем уменьшения размера выручки от реализации на величину стоимости закупки товаров, транспортных расходов, расходов на содержание персонала и других издержек. Для анализа финансового состояния в качестве отчетного периода взят 1998 год, формы годовой финансовой отчетности за который и будут использоваться в ходе аналитической работы. По размеру выручки, величине имущества и количеству занятых (5 человек) объединение можно отнести к числу малых предприятий. Общие показатели деятельности объединения приведены в табл. 2.1. Таблица 2.1 Основные показатели деятельности производственно-коммерческого объединения “Южкомсервис” (в грн.)
Таким образом, в заключение можно сказать, что производственно-коммерческое объединение “Южкомсервис”, анализ финансового состояния которого будет проводиться в данной работе, по основным своим показателям деятельности и количеству работников является хозяйствующим субъектом малого типа. Следует отметить, что такая форма организации деятельности типична для многих предприятий города Алушты, занимающихся торгово-посреднической деятельностью, оказанием услуг и основанных на частном капитале. Небольшие денежные обороты, отсутствие расходов на содержание многочисленного персонала позволили таким предприятиям гибко ориентировать свою деятельность в сложных, меняющихся экономических условиях, несмотря на инфляцию, неплатежи и другие отрицательные факторы. Анализ, проводимый в последующих главах данного раздела позволит выявить положительные и отрицательные элементы деятельности в области финансов и дать рекомендации руководству объединения по поводу улучшения финансового состояния. 2.2. Общая оценка финансового состояния и его изменения за отчетный период. Основным исходным моментом для современной методики анализа финансового состояния является форма бухгалтерского баланса. В таблице 2.2 приведена форма баланса в агрегированном виде, а также условные обозначения итоговых величин по разделам баланса и некоторым наиболее важным группам статей внутри разделов. Таблица 2.2 Баланс объединения (в агрегированном виде)
Обозначения из таблицы будут использованы ниже при записи формул преобразований и показателей анализа. Различные значения показателей на начало и конец периода различаются с помощью специального индекса или аргумента времени, например F1, F2 или F(t1), F(t2). Коды строк актива и пассива полной формы баланса также будут использоваться при описании алгоритмов анализа. Наиболее полную и глубокую информацию о финансовом состоянии и его динамике можно получить при помощи построения на основе баланса предприятия специального сравнительного аналитического баланса. Впервые понятие и общая форма сравнительного аналитического баланса были предложены одним из создателей балансоведения Н.А. Блатовым в 20-е годы. Сравнительный аналитический баланс строится на основе бухгалтерского баланса путем дополнения его показателями структуры, динамики и структурной динамики вложений и источников средств предприятия за отчетный период. По замыслу Н.А. Блатова, эта специальная аналитическая таблица должна была давать “общую картину всех изменений в абсолютных и сравнительных величинах статей и групп баланса”. Сравнительный аналитический баланс замечателен тем, что он сводит воедино и систематизирует те расчеты и прикидки, которые обычно осуществляет любой аналитик при так называемом чтении баланса, т.е. первоначальном ознакомлении с балансом. Схемой сравнительного баланса охвачено множество важных показателей, характеризующих статику и динамику финансового состояния. Сравнительный баланс фактически включает показатели горизонтального и вертикального анализа, активно используемые в практике капиталистических фирм. В ходе горизонтального анализа определяются абсолютные и относительные изменения величин различных статей баланса за определенный период, а целью вертикального анализа является вычисление удельного веса отдельных статей в итоге баланса. [24, с.45] Все показатели сравнительного баланса можно разбить на три группы: показатели структуры баланса; показатели динамики баланса; показатели структурной динамики баланса. В таблицах 2.3 и 2.4 представлены актив и пассив сравнительного аналитического баланса, составленного на основе данных отчетности производственно-коммерческого объединения “Южкомсервис”. Рассмотрим его подробное описание по графам аналитической таблицы. Таблица 2.3 Актив сравнительного аналитического баланса производственно-коммерческого объединения “Южкомсервис” (в грн.)
Таблица 2.4 Пассив сравнительного аналитического баланса производственно-коммерческого объединения “Южкомсервис” (в грн.)
В графе 1 таблиц 2.3 и 2.4 указаны статьи и разделы актива и пассива баланса предприятия. Для того чтобы отразить главные, существенные черты финансового состояния, набор статей баланса может быть сильно агрегирован, вплоть до рассмотрения в первую очередь итогов разделов актива и пассива с выделением в некоторых разделах итогов больших групп однородных статей. Для описания алгоритма расчета сравнительного аналитического баланса используются следующие обозначения: ai(t1), ai(t2) - значения по i-й статье актива баланса предприятия на начало и конец отчетного периода; pj(t1), pj(t2) - аналогично для статей пассива баланса; B(t1), B(t2) - итог баланса предприятия. В качестве величин ai, pj могут выступать также итоги групп статей или разделов баланса. В графах 2 и 3 отражаются абсолютные величины статей (или итогов их групп и разделов) актива и пассива баланса на начало и конец отчетного периода: a1(t1), pj(t1); ai(t2), pj(t2), i є I, j є J, где I, J - множества индексов статей актива и пассива. В графах 4 и 5 отражены удельные веса величин статей в итоге баланса на начало и конец отчетного периода:
Здесь для упрощения записи не указывается аргумент начала и конца отчетного периода. В графе 6 показаны изменения абсолютных величин статей за отчетный период:
В графе 7 показаны изменения удельных весов величин статей за отчетный период:
В графе 8 показаны изменения абсолютных величин статей в процентах к величинам на начало периода:
В графе 9 показаны изменения абсолютных величин статей в процентах к изменению итога баланса:
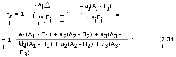
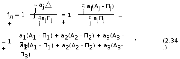
Для детализации общей картины изменения финансового состояния таблица, аналогичная сравнительному аналитическому балансу, может быть построена для каждого из разделов актива и пассива баланса. Так, например, может быть построена отдельная таблица для анализа структуры и динамики состояния запасов и затрат; анализа структуры и динамики основных средств и прочих внеоборотных активов, дебиторской задолженности, денежных средств и краткосрочных финансовых вложений, источников собственных средств, долгосрочных пассивов, краткосрочных кредитов и займов, кредиторской задолженности и прочих краткосрочных пассивов. На основе табл. 2.3, 2.4 и подобных им проводится общий обзор изменения финансового состояния за отчетный период. Для приведенных в таблицах данных можно сделать следующее аналитическое заключение. За отчетный период имущество производственно-коммерческого объединения “Южкомсервис” увеличилось на 6900 грн., составив в конце периода 12300 грн. Данное изменение было обусловлено исключительно ростом оборотных (мобильных) средств. За весь период абсолютный размер основных средств и прочих внеоборотных активов не изменялся, однако удельный вес снизился на 17,7% и составил 13,8%. Удельный вес запасов и затрат возрос на 7,7%, составив 70,7%. На 13,5% возрос к концу отчетного периода удельный вес дебиторской задолженности и прочих оборотных активов, равнявшийся к концу периода 15,4%. Основная доля дебиторской задолженности приходится на расчеты с бюджетом. Действительно, если посмотреть данные отчета о финансовых результатах, то можно обнаружить, что величина уплаченного в бюджет налога на добавленную стоимость на 1600 грн. превышает величину, надлежащую уплате по расчету. Это связано с большими закупками товара в конце отчетного периода, что привело к уменьшению удельного веса денежных средств на 3,7% и к их отсутствию в конце периода. Увеличение имущества предприятия на 6900 грн. было обеспечено ростом собственных средств на 1,4%, а на 98,6% покрывалось увеличением обязательств предприятия. Несмотря на рост источников собственных средств на 100 грн., доля имущества предприятия, покрываемая собственными средствами, уменьшилась на 24,1%. Удельный вес кредитных и других заемных (долгосрочных и краткосрочных) источников не изменился, оставаясь на нулевом уровне. В то же время доля кредиторской задолженности и прочих краткосрочных пассивов предприятия увеличилась на 24,1%, достигнув 79,7%. Отсутствие в составе источников средств предприятия долгосрочных и краткосрочных кредитов и других заемных средств говорит об отказе от использования банковских и иных кредитов, что носит вполне объективный характер. В сложившихся условиях местные банки отказываются предоставлять кредит без залога, что, учитывая характер деятельности предприятия и размер основных средств, делает получение кредита практически невозможным. В то же время, рост кредиторской задолженности явно свидетельствует о том, что руководство предприятия отдает предпочтение коммерческому кредиту, основными формами которого являются отгрузка товара “под реализацию” без предоплаты и частичная предоплата отгруженного товара. Увеличение имущества предприятия, на первый взгляд, можно было бы приписать росту инфляционных процессов, имевшему место в августе-сентябре отчетного периода, и следовало бы при таких обстоятельствах привести показатели на начало и конец периода к сопоставимому виду, учитывая соотношения валют. Однако я посчитал это нецелесообразным изучив деятельность анализируемого предприятия и цены на продукцию. Во-первых, при падении покупательной способности гривны за отчетный период примерно в два раза, цены на продукцию предприятия (как закупочные, так и реализационные) возросли только примерно в 1,4 раза. К тому же реальный их рост наблюдался намного позже сильных инфляционных процессов. Во-вторых, предприятие имеет дело с продукцией только отечественного производства, влияние на стоимость которой со стороны соотношения предложения и спроса на национальную валюты незначительное и сильно запоздалое. В-третьих, анализируемое предприятие не проводит никаких операций с валютными ценностями, что делает невозможным получение инфляционного дохода в национальной валюте. Следует добавить, что инфляционные процессы, а также отставание роста цен на строительные материалы за падением курса национальной валюты привели к росту спроса на продукцию предприятия, что я и считаю главной причиной роста размера имущества и товарооборота. Для наглядного изображения структуры и динамики финансового состояния могут использоваться столбиковые диаграммы, получаемые на основе сравнительного аналитического баланса (графы 4 и 5 таблиц 2.3 и 2.4). При этом баланс представляется в виде двух смежных прямоугольников (т.е. имеющих общую сторону), один из которых представляет актив баланса, а другой - пассив. Каждый прямоугольник разбивается на сегменты, соответствующие разделам и наиболее важным группам статей баланса. Площади сегментов находятся по отношению к общей площади каждого прямоугольника в определенных пропорциях, соответствующих удельным весам итогов разделов и групп статей баланса в общем итоге баланса. Динамика финансового состояния также может быть отображена графически в виде сопоставления двух диаграмм на начало и конец отчетного периода или в виде последовательного ряда диаграмм построенных для нескольких отчетных дат. Пример такой столбиковой диаграммы, составленной на основе данных аналитического баланса анализируемого предприятия приведен на рис. 2.2. Обозначения, которыми помечены сегменты, соответствуют табл. 2.2.
Рис. 2.2. Диаграмма финансового состояния производственно-коммерческого объединения “Южкомсервис”. Благодаря диаграмме качественные особенности финансового состояния воспринимаются непосредственно, в то время как для их определения по сравнительному аналитическому балансу требуется достаточно длительное изучение числового материала. Так на основе рис. 2.2 визуально наблюдается небольшой рост удельного веса денежных и других средств (разд. III актива) и падение удельного веса основных средств и других внеоборотных средств (разд. I актива), а в составе источников средств наблюдается рост кредиторской задолженности, а также полное отсутствие заемных источников формирования запасов и затрат. 2.3 Анализ финансовой устойчивости. После общей характеристики финансового состояния и его изменения за отчетный период следующей важной задачей методики анализа финансового состояния является исследование абсолютных показателей финансовой устойчивости предприятия. На данном этапе анализа мною было обнаружено некоторое несоответствие традиционной методики, предлагаемой Негашевым, Сайфулиным, Шереметом по отношению к существующей экономической ситуации. Это прежде всего связано с тем, что рыночная экономика Украины несколько отличается от классической рыночной экономики, на которую данная методика рассчитана. Поэтому, я посчитал целесообразным, выполнить анализ финансовый устойчивости в два этапа: - использование традиционной методики и формулировка вывода по результатам анализа; - приведение методики в соответствие с особенностями экономической ситуации, формулировка вывода и сравнение его с выводами традиционного анализа. Для данного блока анализа имеет решающее значение вопрос о том, какие абсолютные показатели отражают сущность устойчивости финансового состояния. Ответ на него связан прежде всего с балансовой моделью, из которой исходит анализ. В условиях рынка эта модель имеет следующий вид:
где условные обозначения имеют тот же смысл, что и в таблице 2.2. Учитывая, что долгосрочные кредиты и заемные средства направляются преимущественно на приобретение основных средств и на капитальные вложения, преобразуем исходную балансовую формулу
Отсюда можно сделать заключение, что при условии ограничения запасов и затрат Z величиной [(Ис + KT) - F]:
будет выполняться условие платежеспособности предприятия, т.е. денежные средства, краткосрочные вложения (ценные бумаги) и активные расчеты (дебиторская задолженность) покроют краткосрочную задолженность предприятия (Kt + Rp):
Таким образом, соотношение величины запасов и затрат и величин собственных и заемных источников их формирования, как и в прежней методике, определяет устойчивость финансового состояния предприятия. Обеспеченность запасов и затрат источниками формирования является сущностью финансовой устойчивости, тогда как платежеспособность выступает ее внешним проявлением. В то же время степень обеспеченности запасов и затрат источниками есть причина той или иной степени платежеспособности (или неплатежеспособности), выступающей как следствие обеспеченности. [15, с.59] Наиболее обобщающим показателем финансовой устойчивости является излишек или недостаток источников средств для формирования запасов и затрат, получаемый в виде разницы величины источников средств и величины запасов и затрат. При этом имеется в виду обеспеченность определенными видами источников (собственными, кредитными, заемными), поскольку достаточность суммы всех возможных видов источников (включая краткосрочную кредиторскую задолженность и прочие пассивы) гарантирована тождественностью итогов актива и пассива баланса. Основные показатели, характеризующие финансовую устойчивость, приведены в таблице, составленной по данным отчетности производственно-коммерческого объединения “Южкомсервис”. Таблица 2.5 Анализ финансовой устойчивости производственно-коммерческого объединения (в грн.)
Продолжение таблицы 2.5
Рассмотрим подробнее данные, представленные в таблице 2.5. Для характеристики источников формирования запасов и затрат используется несколько показателей, отражающих различную степень охвата разных видов источников: наличие собственных оборотных средств, равное разнице величины источников собственных средств и величины основных средств и прочих внеоборотных активов:
наличие собственных и долгосрочных заемных источников формирования запасов и затрат, получаемое из предыдущего показателя увеличением на сумму долгосрочных кредитов и заемных средств (этот показатель соответствует стоимости чистых мобильных средств (net working capital), равный разности оборотных активов (current assets) и краткосрочной задолженности (current liabilities), используемой в практике капиталистических фирм):
общая величина основных источников формирования запасов и затрат, равная сумме предыдущего показателя и величины краткосрочных кредитов и заемных средств (за исключением кредитов банков для работников):
Следует отметить, что все эти три показателя, как видно из таблицы 2.5, имеют одинаковую величину, так как в составе источников средств исследуемого предприятия отсутствуют долгосрочные и краткосрочные заемные средства. Приближенность, оценочный характер показателя общей величины основных источников формирования запасов и затрат неизбежны при ограниченности информации, используемой в ходе внешнего анализа финансового состояния. Несмотря на эти недостатки показатель E дает существенный ориентир для определения степени финансовой устойчивости. Трем показателям наличия источников формирования запасов и затрат (2.10.) - (2.12.) соответствуют три показателя обеспеченности запасов и затрат источниками их формирования: излишек (+) или недостаток (-) собственных оборотных средств
излишек (+) или недостаток (-) собственных и долгосрочных заемных источников формирования запасов и затрат
излишек (+) или недостаток (-) общей величины основных источников формирования запасов и затрат
Вычисление трех показателей обеспеченности запасов и затрат источниками их формирования позволяет классифицировать финансовые ситуации по степени их устойчивости. На основе данных анализируемого предприятия также наблюдается равенство этих трех показателей из-за отсутствия использования долгосрочных и краткосрочных заемных средств. Ниже при идентификации типа финансовой ситуации используется следующий (трехкомпонентный) показатель:
где функция S(x) определяется следующим образом:
Возможно выделение четырех типов финансовых ситуаций: 1) абсолютная устойчивость финансового состояния, встречающаяся редко и представляющая крайний тип финансовой устойчивости. Она задается условиями
2). нормальная устойчивость финансового состояния предприятия, гарантирующая его платежеспособность:
3) неустойчивое финансовое состояние, сопряженное с нарушением платежеспособности, при котором тем не менее сохраняется возможность восстановления равновесия за счет пополнения источников собственных средств и увеличения собственных оборотных средств, а также за счет дополнительного привлечения долгосрочных кредитов и заемных средств:
Финансовая неустойчивость считается в данной ситуации нормальной (допустимой), если величина привлекаемых для формирования запасов и затрат краткосрочных кредитов и заемных средств не превышает суммарной стоимости производственных запасов готовой продукции и товаров (наиболее ликвидной части запасов и затрат). Если эти условия не выполняются, то финансовая неустойчивость является ненормальной (предкризисной) и отражает тенденцию к существенному ухудшению финансового состояния. 4) кризисное финансовое состояние, при котором предприятие находится на грани банкротства, поскольку в данной ситуации денежные средства, краткосрочные финансовые вложения и дебиторская задолженность предприятия не покрывают даже его кредиторской задолженности:
По числовой информации, приведенной в табл. 2.5 , можно сделать следующее аналитическое заключение. Согласно приведенной выше методике анализа финансовой устойчивости финансовое состояние производственно-коммерческого объединения “Южкомсервис” можно охарактеризовать как кризисное, так как на начало и конец отчетного периода наблюдался недостаток собственных и, тем более отсутствие, долгосрочных заемных источников формирования запасов и затрат. Однако, делать такой вывод окончательным было бы необъективно. Следует учесть, в какой экономической ситуации находится данный хозяйствующий субъект. А экономические реалии таковы, что все большее распространение приобретает применение коммерческого (товарного кредита). Основные причины такой ситуации: большое количество неплатежей (или сильная задержка), вызванное преимущественно предприятиями и организациями государственных форм собственности, что приводит к вымыванию и замораживанию на длительные сроки оборотных средств у хозяйствующих субъектов, прямо или косвенно обслуживающие вышеупомянутые предприятия и организации; нехватка оборотных средств у предприятий из-за низкого покупательного спроса; отсутствие у большинства хозяйствующих субъектов возможности получить заемные средства банковского сектора. Вследствие этих и других обстоятельств использование коммерческого кредита становится практически единственным способом выживания в сложной экономической ситуации. Коммерческий кредит по своим свойствам и характеру все более отождествляется с банковским имея следующие сходные с ним признаки: срочность - в договорах поставки оговаривается максимальный срок оплаты товара после его отгрузки, величина которого в последнее время приближается к краткосрочным ссудам банков. Поставщики вынуждены прибегать к таким уступкам, чтобы поддерживать объемы реализации на должном уровне; платность - обычно, с увеличением сроков коммерческих кредитов, цена на отпускаемую продукцию несколько возрастает, что обусловлено временным изыманием у поставщика части оборотных средств. В данной ситуации для предприятий, не имеющих возможности получить банковский кредит, коммерческий кредит становится косвенным банковским кредитом, когда к банковскому кредитованию прибегает поставщик, имеющий возможность получить банковские средства, для пополнения временно изымаемых оборотных средств. Плата за кредит в этом случае включается поставщиком в цену товара. Таким образом на основе вышеизложенного, можно сделать результаты анализа финансовой устойчивости более реальными, учитывая сложившиеся условия. Для этого кредиторскую задолженность за товары, работы и услуги, не оплаченные в срок следует принять равносильной краткосрочным кредитам и заемным средствам. Тогда аналитическая таблица примет следующий вид: Таблица 2.6 Скорректированный анализ финансовой устойчивости производственно-коммерческого объединения “Южкомсервис” (в грн.)
Продолжение таблицы 2.6
что соответствует неустойчивому финансовому состоянию, но никак не кризисному. Действительно, при такой группировке данных, на начало периода недостаток величины основных источников формирования запасов и затрат составлял всего 700 грн. (13% итога баланса), а к концу периода наблюдался даже их небольшой излишек в 800 грн. (6,5% итога баланса). С такими показателями о кризисном характере финансового состояния говорить не приходится, однако предприятию следовало бы искать заемные источники средств, а также увеличивать собственные. 2.4. Анализ ликвидности баланса. Задача анализа ликвидности баланса возникает в условиях рынка в связи с усилением жесткости бюджетного ограничения и необходимостью давать оценку кредитоспособности предприятия, вступающего в различные финансовые отношения. Под кредитоспособностью предприятия понимается его характеристика в качестве субъекта кредитных отношений, выражающая способность предприятия своевременно и полностью возвращать ссуды. Это понятие может применяться при оценке предприятия как в случае банковской формы кредита, так и при осуществлении коммерческого кредитования. Понятие кредитоспособности естественным образом вытекает из сущности кредита, одной из основных черт которого является возврат стоимости, предоставляемой кредитором заемщику. Обобщая различные имеющиеся в литературе определения, ликвидность баланса можно определить как степень покрытия обязательств предприятия его активами, срок превращения которых в деньги соответствует сроку погашения обязательств. Это определение, в отличие от некоторых других, расширяет множество значений ликвидности, поскольку, сравнивая два баланса, в ряде случаев можно констатировать, что один из них более ликвиден, а другой - менее ликвиден, а не только выяснить их ликвидность или неликвидность. От ликвидности баланса следует отличать ликвидность активов, которая определяется как величина, обратная времени, необходимому для превращения их в денежные средства. Чем меньше время, которое потребуется для превращения данного вида активов в деньги, тем выше его ликвидность. Анализ ликвидности баланса заключается в сравнении средств по активу, сгруппированных по степени их ликвидности и расположенных в порядке убывания ликвидности, с обязательствами по пассиву, сгруппированными по срокам их погашения и расположенными в порядке возрастания сроков. Ликвидность активов и срочность обязательств могут быть лишь приближенно определены по бухгалтерскому балансу в ходе внешнего анализа. Поэтому излагаемые методы анализа ликвидности баланса образуют последовательность уточняющих вычислительных процедур. Радикальное же повышение точности оценки ликвидности происходит в рамках внутреннего анализа на базе данных бухгалтерского учета. В зависимости от степени ликвидности, т.е. скорости превращения в денежные средства, активы предприятия разделяются на следующие группы: А1) наиболее ликвидные активы - к ним относятся все статьи денежных средств предприятия и краткосрочные финансовые вложения, за исключением статьи “Дебиторская задолженность с участниками” разд. III актива. Используя обозначения, принятые в табл. 2.2 и балансовой модели (2.6.), для итога данной группы можно записать формулу расчета
где RT,a - дебиторская задолженность с учредителями. А2) быстро реализуемые активы - дебиторская задолженность и другие оборотные активы:
где Ra - итог разд. III актива. А3) медленно реализуемые активы - статьи разд. II актива “Запасы и затраты”, а также статьи “Долгосрочные финансовые вложения” из разд. I актива и “Дебиторская задолженность с участниками” из разд. III актива:
где FT - долгосрочные финансовые вложения по разд. I актива баланса; А4) трудно реализуемые активы - статьи разд. I актива “Основные средства и другие внеоборотные активы” за исключением статьи этого раздела, включенной в предыдущую группу:
Пассивы баланса группируются по степени срочности их оплаты: П1) наиболее срочные обязательства - к ним относятся кредиторская задолженность и прочие краткосрочные пассивы по разд. III пассива “Расчеты и другие краткосрочные пассивы”, а также статья “Резервы предстоящих расходов и платежей” разд. I пассива, остатки по которой должны быть обеспечены наиболее ликвидными активами предприятия:
где RT,p - кредиторская задолженность с участниками. П2) краткосрочные пассивы - краткосрочные кредиты и заемные средства:
П3) долгосрочные пассивы - долгосрочные кредиты и заемные средства, а также статья “Кредиторская задолженность с участниками” из разд. III пассива баланса:
П4) постоянные пассивы - статьи разд. I пассива за исключением статьи “Резервы предстоящих расходов и платежей”:
Для определения ликвидности баланса следует сопоставить итоги приведенных групп по активу и пассиву. Баланс считается абсолютно ликвидным, если имеют место следующие соотношения:
Следует отметить, что существенным является сопоставление итогов первых трех групп по активу и пассиву, так как выполнение первых трех неравенств в системе (2.30.) с необходимостью влечет выполнение и четвертого неравенства, означающего, что величина постоянных пассивов должна превышать величину трудно реализуемых активов в случае абсолютной ликвидности баланса. Четвертое неравенство носит “балансирующий” характер, и в то же время оно имеет глубокий экономический смысл: его выполнение свидетельствует о соблюдении минимального условия финансовой устойчивости, т.е. о наличии у предприятия собственных оборотных средств. В случае, когда одно или несколько неравенств системы (2.30.) имеют знак, противоположный зафиксированному в оптимальном варианте, ликвидность баланса в большей или меньшей степени отличается от абсолютной. При этом недостаток средств по одной группе активов компенсируется их избытком по другой группе, хотя компенсация при этом имеет место лишь по стоимостной величине, поскольку в реальной платежной ситуации менее ликвидные активы не могут заместить более ликвидные. Анализ ликвидности на основе данных производственно-коммерческого объединения “Южкомсервис” приведен в таблице 2.7. Таблица 2.7 Анализ ликвидности баланса производственно-коммерческого объединения “Южкомсервис” (в грн.)
В графах 2, 3, 5, 6 даны итоги групп актива и пассива, вычисляемые по соотношениям (2.22.) - (2.29.), на начало и конец отчетного периода. В графе 7 и 8 представлены абсолютные величины платежных излишков или недостатков на начало и конец отчетного периода:
а в гр. 9 и 10 соответственно их величины, взятые в процентах к итогам групп пассива:
Сопоставление наиболее ликвидных средств и быстро реализуемых активов с наиболее срочными обязательствами и краткосрочными пассивами позволяет выявить текущую ликвидность. Сравнение же медленно реализуемых активов с долгосрочными пассивами отражает перспективную ликвидность. Текущая ликвидность свидетельствует о платежеспособности (или неплатежеспособности) предприятия на ближайший к рассматриваемому моменту промежуток времени. Перспективная ликвидность - это прогноз платежеспособности на основе сравнения будущих поступлений и платежей (из которых в соответствующих группах актива и пассива представлена, конечно, лишь часть, поэтому прогноз достаточно приближенный). Так как на анализируемом предприятии отсутствует использование каких-либо заемных средств, то определение перспективной ликвидности проводить нецелесообразно и в определенной степени бессмысленно. Характеризуя ликвидность баланса предприятия по числовым данным таблицы 2.7, можно сказать, что за отчетный период наблюдается возросший платежный недостаток наиболее ликвидных активов для покрытия наиболее срочных обязательств. К концу периода возросла величина быстро реализуемых активов (на конец периода она составляла 1900 грн.), хотя недостаток величины наиболее ликвидных и быстро реализуемых активов это не могло существенно уменьшить. Медленно реализуемые активы (т.е. в основном запасы и затраты) в течение отчетного периода превышали долгосрочные пассивы, размер которых, собственно, равнялся нулю, и к концу года их величина составила 8700 грн.). Учитывая то, что величину запасов и затрат, учитывая специфику деятельности предприятия, можно считать величиной косвенных заемных средств, а также то, что период реализации товаров достаточно мал, можно сказать, что платежный излишек по медленно реализуемым активов может быть направлен на покрытие краткосрочных обязательств. В этом случае платежный недостаток по наиболее ликвидным активам покрывается полностью. Что касается, трудно реализуемых активов, то здесь наблюдается лишь небольшая величина платежного недостатка, размер которой к концу периода возрос всего на 100 грн. Таким образом, недостаточная ликвидность баланса подтверждает ранее сделанное на основе табл. 2.5 заключение о неполной устойчивости финансового состояния предприятия. Проведенный по изложенной методике анализ ликвидности баланса является приближенным, т.к. соответствие степени ликвидности активов и сроков погашения обязательств в пассиве намечено ориентировочно. Это обусловлено ограниченностью информации, которой располагает аналитик, проводящий внешний анализ на основе бухгалтерской отчетности. Для уточнения результатов анализа требуются поэтому специальные методы, корректирующие показатели представленной методики. В качестве одного из таких методов в аналитической практике может использоваться метод нормативов скидок, посредством которого осуществляется перераспределение величин балансовых статей между группами активов и пассивов в соответствии со среднестатистическими оценками ликвидности активов и сроков погашения обязательств. Так, например, если заимствовать коммерческий опыт 20-х годов, то в рамках приведенной выше группировки активов и пассивов к быстро реализуемым активам согласно нормативам следует отнести 80% дебиторской задолженности и прочих активов, 70% готовой продукции и товаров, 50% производственных запасов и незавершенного производства. В состав медленно реализуемых активов включаются 20% дебиторской задолженности, 30% готовой продукции и товаров, 50% производственных запасов и незавершенного производства, наряду с которыми в составе группы сохраняются долгосрочные финансовые вложения, расчеты с участниками. Аналогичное перераспределение осуществляется в отношении кредиторской задолженности, т.е. часть ее должна быть включена в состав краткосрочных пассивов. [15, с.88] Метод нормативов скидок также является весьма приближенным. Тем не менее он удобен при проведении анализа, поскольку не требует привлечения дополнительной информации в ходе расчетов, если приняты фиксированные значения нормативов. Более точно оценить ликвидность баланса можно на основе использования данных учета, т.е. в рамках проведения внутреннего анализа финансового состояния. Весьма важным вопросом для анализа ликвидности баланса является выбор обобщающего показателя, характеризующего баланс в целом с точки зрения его ликвидности, т.е. показателя для комплексной оценки ликвидности. Рассмотрим схему анализа ликвидности, заданную соотношениями (2.22.) - (2.29.). Общий показатель ликвидности может быть определен следующим образом:
где Аj, Пj - итоги соответствующих групп по активу и пассиву; аj - весовые коэффициенты. Преобразуем формулу (2.33.) так, чтобы в нее входили платежные излишки или недостатки, определяемые соотношением (2.31.):
Весовые коэффициенты должны бать выбраны таким образом, чтобы общий показатель ликвидности задавал отношение порядка на множестве финансовых ситуаций при фиксированных значениях итогов групп пассивов Пj. Баланс, соответствующий одной финансовой ситуации, будет при этом более ликвиден, чем баланс, соответствующий другой финансовой ситуации. Такая упорядоченность должна быть экономически целесообразна с точки зрения значимости различных групп активов и пассивов для состояния расчетов предприятия. Обозначим через fл(CN) значение общего показателя ликвидности, соответствующее финансовой ситуации CN при фиксированных значениях Пj. Тогда наиболее естественное отношение порядка на множестве финансовых ситуаций будет следующее:
Поскольку наиболее ликвидные активы и наиболее срочные обязательства имеют первостепенное значение для ликвидности баланса, значение коэффициента а1 можно принять равным единице. После проведения математических вычислений на основе вышеизложенных формул получается следующая система ограничений на весовые коэффициенты а2, а3:
откуда, в частности следует, что а3 < 1/2. Если в ходе внутреннего анализа имеются данные о средних сроках превращения активов в денежные средства, то можно использовать следующую систему ограничений для весовых коэффициентов:
где t2, t3 - средневзвешенные сроки превращения в денежные средства для быстрореализуемых активов и медленно реализуемых активов. Полученные ограничения позволяют более обоснованно использовать общий коэффициент ликвидности при проведении анализа ликвидности баланса, если в ходе внутреннего анализа дана оценка величин t2, t3. Ограничениям (2.38.) удовлетворяет, например, следующий набор весовых коэффициентов:
задающий вид общего показателя ликвидности
Так, на основе данных ликвидности производственно-коммерческого объединения “Южкомсервис” значение общего показателя ликвидности на начало и конец анализируемого периода будет следующим:
Общий показатель ликвидности, таким образом, позволяет увидеть, что ликвидность анализируемого предприятия к концу периода упала в 1,2 раза. С помощью показателя (2.41.) осуществляется оценка изменения финансовой ситуации на предприятии с точки зрения ликвидности. Данный показатель применяется также при выборе наиболее надежного партнера из множества потенциальных партнеров на основе отчетности.
На рис. 2.3 заштрихованы квадраты, изображающие невозможные сочетания степени устойчивости и степени ликвидности. Для удобства все квадраты, имеющие экономический смысл, помечены латинскими буквами таким образом, что финансовая ситуация, имеющая абсолютную устойчивость и абсолютную ликвидность, получает обозначение V (victory - победа).
Справа от строк, соответствующих типам ликвидных ситуаций, выписаны условия движения к более высокой степени ликвидности. Над столбцами, соответствующими типам ситуаций с точки зрения устойчивости, даны условия движения к более устойчивой ситуации.
Отсюда данный показатель по данным анализируемого предприятия на начало и конец периода будет равен:
Как видно из рис. 2.3 финансовое состояние производственно-коммерческого объединения “Южкомсервис” на начало отчетного периода соответствовало типу финансовой ситуации, обозначенной буквой “D”, а на конец отчетного периода - финансовой ситуации, обозначенной буквой “H”.На основе данных рис. 2.3 и ранее проведенного анализа можно сделать следующие выводы о финансовом состоянии производственно-коммерческого объединения “Южкомсервис”. За отчетный период произошло некоторое улучшение финансового состояния, преимущественно за счет повышения финансовой устойчивости, несмотря на падение ликвидности в 1,2 раза. Как видно из рисунка, уровню финансового состояния еще далеко до идеального, обозначенного буквой “V”. Если брать финансовые ситуации по возрастанию номеров, то к концу периода предприятие достигло ситуации №8, когда как идеальное финансовое состояние соответствует №22. Руководствуясь рис. 2.3 можно выделить следующие пути улучшения финансового состояния: 1). Следует стремиться к тому, чтобы величина (А1 - П1) приняла положительное значение или равнялось нулю, т.е. наиболее ликвидные активы должны покрывать наиболее срочные обязательства. Для этого необходимо увеличить объем денежных средств, чего можно добиться привлечением заемного капитала, а также увеличением размера источников собственных средств. 2). Для повышения финансовой устойчивости требуется следующее условие:
т.е. собственные и долгосрочные заемные источники формирования запасов и затрат должны быть в достатке, чего опять же можно добиться методами, указанными в предыдущем пункте. 2.5. Анализ финансовых коэффициентов. Финансовые коэффициенты представляют собой относительные показатели финансового состояния предприятия. Они рассчитываются в виде отношений абсолютных показателей финансового состояния или их линейных комбинаций. Относительные показатели в финансовом анализе подразделяются на коэффициенты распределения и коэффициенты координации. Коэффициенты распределения применяются в тех случаях, когда требуется определить, какую часть тот или иной абсолютный показатель финансового состояния составляет от итога включающей его группы абсолютных показателей. Коэффициенты распределения и их изменения за отчетный период играют большую роль в ходе предварительного ознакомления с финансовым состоянием по сравнительному аналитическому балансу. Коэффициенты координации используются для выражения отношений различных по существу абсолютных показателей финансового состояния или их линейных комбинаций, имеющих различный экономический смысл. [15, с.98] Коэффициентами распределения являются коэффициенты автономии, долгосрочного привлечения заемных средств и др. К коэффициентам координации следует отнести коэффициенты соотношения заемных и собственных средств, обеспеченности запасов и затрат собственными источниками формирования и т.п. Анализ относительных показателей финансового состояния предприятия заключается в сравнении их значений с базисными величинами, а также в изучении их динамики за отчетный период и за ряд лет. В качестве базисных величин могут быть использованы среднеотраслевые значения показателей, показатели наиболее удачливого конкурента, усредненные по временному ряду значения показателей данного предприятия, относящихся к прошлым благоприятным с точки зрения финансового состояния периодам. Кроме того, в качестве базы сравнения могут служить теоретически обоснованные или полученные в результате статистических исследований (или экспертных опросов) величины, характеризующие оптимальные или критические с точки зрения устойчивости финансового состояния значения относительных показателей. Такие величины фактически выполняют роль норм для относительных показателей, хотя методики их расчета в зависимости, например, от отрасли производства пока не создано. В настоящее время набор относительных показателей, применяемых для анализа финансового состояния предприятия не устоялся и поэтому лишен полноценной системной упорядоченности. По моему мнению, для точной и полной характеристики финансового состояния достаточно сравнительно небольшого количества относительных показателей, отражающих наиболее существенные стороны финансового состояния и непосредственно связанных с его устойчивостью. Рассмотрим основные финансовые коэффициенты, получающие в настоящее время распространение в хозяйственной практике. В известной степени некоторые из них являются аналогами показателей, используемых капиталистическими фирмами, поскольку отечественный опыт в этой области невелик. Для наглядности все показатели сведены в таблицу 2.8, по которой легко проследить их динамику за отчетный период и сравнить с нормальными ограничениями. Таблица 2.8 Анализ финансовых коэффициентов
Рассмотрим теперь методику расчета показателей, приведенных в таблице 2.8. Одной из важнейших характеристик устойчивости финансового состояния предприятия, его независимости от заемных источников средств является коэффициент автономии, равный доле источников собственных средств в общем итоге баланса:
где Иc - величина источников собственных средств предприятия; B - итог баланса. Нормальное минимальное значение коэффициента автономии оценивается на уровне 0,5, хотя, по моему мнению, для условий украинской экономики он должен быть ниже. Коэффициент автономии анализируемого предприятия на начало периода можно считать удовлетворительным, несмотря на то, что он несколько ниже принятого минимального. Однако к концу периода наблюдается его падение в 2,2 раза, что снижает возможность погашения предприятием своих обязательств. Коэффициент соотношения мобильных и иммобилизованных средств рассчитывается по следующей формуле:
Данный коэффициент необходим для определения соответствия нормальным ограничениям коэффициента соотношения заемных и собственных средств. Коэффициент соотношения заемных и собственных средств дополняет коэффициент автономии и равен отношению величины обязательств предприятия к величине источников его собственных средств:
где К - долгосрочные и краткосрочные кредиты и другие заемные средства, Rp - кредиторская задолженность и прочие краткосрочные пассивы. Нормальное ограничение для данного коэффициента имеет следующий вид:
Как видно из таблицы 2.8, данное ограничение не выполняется, что свидетельствует о недостаточной величине удельного веса источников собственных средств в составе имущества предприятия. Весьма существенной характеристикой устойчивости финансового состояния является коэффициент маневренности, равный отношению собственных оборотных средств предприятия к общей величине источников собственных средств:
Он показывает, какая часть собственных средств предприятия находится в мобильной форме, позволяющей относительно свободно маневрировать этими средствами. Многие авторы отмечают, что высокие значения коэффициента маневренности положительно характеризуют финансовое состояние, однако каких-либо устоявшихся в практике нормальных значений показателя не существует. Иногда в специальной литературе в качестве оптимальной величины коэффициента рекомендуется 0,5. Коэффициент маневренности анализируемого предприятия в течение периода несколько увеличился, составляя в среднем значение 0,3. Значение коэффициента маневренности показывает, что примерно треть источников собственных средств предприятия находится в мобильной форме и может свободно им использоваться. В зависимости от целей анализа может рассчитываться коэффициент иммобилизации, который дополняет коэффициент маневренности до единице и равен отношению величины основных средств и прочих внеоборотных активов к величине источников собственных средств. Важную характеристику структуры средств предприятия дает коэффициент имущества производственного назначения:
где F1 - основные средства; F2 - незавершенные капитальные вложения; F3 - оборудование к установке; Z1 - производственные запасы и малоценные и быстроизнашивающиеся предметы; Z2 - незавершенное производство. Оптимальное значение данного коэффициента в хозяйственной практике принято считать равным не менее 0,5. Коэффициент имущества производственного назначения анализируемого предприятия в начале анализируемого периода практически соответствовал оптимальному минимуму, однако к концу периода он упал более чем в 2 раза. В данной ситуации предприятию целесообразно было бы использовать долгосрочные заемные источники средств для увеличения имущества производственного назначения, т.к. финансовые результаты пока не позволяют существенно пополнить источники собственных средств. Одним из главных относительных показателей устойчивости финансового состояния является коэффициент обеспеченности запасов и затрат собственными источниками формирования, равный отношению величины собственных оборотных средств к стоимости запасов и затрат предприятия:
а его нормальное ограничение, получаемое на основе статистических усреднений результатов хозяйственной практики, имеет следующий вид:
Как видно из таблицы 2.8, значение коэффициента намного меньше оптимального интервала, что еще раз подтверждает вывод о низкой ликвидности анализируемого предприятия. Коэффициент автономии источников формирования запасов и затрат показывает долю собственных оборотных средств в общей сумме основных источников формирования запасов и затрат:
Так как на анализируемом предприятии в течение отчетного периода отсутствовало использование долгосрочных и краткосрочных заемных средств, то данный показатель, естественно равняется единице. Коэффициент абсолютной ликвидности равен отношению величины наиболее ликвидных активов к сумме наиболее срочных обязательств и краткосрочных пассивов и рассчитывается по формуле:
где в - денежные средства и краткосрочные финансовые вложения; Kt - краткосрочные кредиты и заемные средства; Rp - кредиторская задолженность и другие краткосрочные пассивы. Коэффициент абсолютной ликвидности показывает, какую часть краткосрочной задолженности предприятие может погасить в ближайшее время. Коэффициент абсолютной ликвидности анализируемого предприятия, имея очень небольшую величин, к концу анализируемого периода упал до нуля, что говорит о том, что предприятие может попасть в затруднительное положение в случае необходимости немедленного возврата кредиторской задолженности, а также что его абсолютная ликвидность полностью зависит от скорости реализации продукции. Чтобы вычислить коэффициент ликвидности (или промежуточный коэффициент покрытия), в состав ликвидных средств в числителе относительного показателя добавляется дебиторская задолженность и другие оборотные активы:
Этот коэффициент отражает прогнозируемые платежные возможности предприятия при условии своевременного проведения расчетов с дебиторами. Как и коэффициент абсолютной ликвидности, величина данного коэффициента для анализируемого предприятия очень невелика, т.к. невелик удельный вес дебиторской задолженности по отношению к итогу баланса. Однако к концу периода наблюдается рост коэффициента ликвидности, что произошло преимущественно за счет роста дебиторской задолженности бюджета по уплате налога на добавленную стоимость. Наконец, если в состав ликвидных средств включаются также запасы и затраты, по получается коэффициент покрытия. Он равен отношению стоимости всех оборотных (мобильных) средств предприятия к величине краткосрочных обязательств:
где ИМ - иммобилизация оборотных средств. Коэффициент покрытия показывает платежные возможности предприятия, оцениваемые при условии не только своевременных расчетов с дебиторами и благоприятной реализации готовой продукции, но и продажи в случае нужды прочих реализуемых элементов запасов и затрат. Коэффициент покрытия анализируемого предприятия в среднем в два раза ниже оптимального минимума и несколько упал к концу периода, что также говорит о низкой платежеспособности. На данном этапе финансового анализа производственно-коммерческого объединения “Южкомсервис” использовались лишь те финансовые коэффициенты, которые бы наглядно и актуально отразить его финансовое состояние. Так, в данной работе не были использованы показатели, связанные с долгосрочным кредитованием, с бюджетным финансированием и другими аспектами финансовой деятельности. По числовым данным таблицы 2.8 можно сделать следующее аналитическое заключение. Наличие отрицательного изменения значения коэффициента автономии свидетельствует о том, что при росте товарооборота, возросла зависимость финансово-хозяйственной деятельности от коммерческого кредитования. Данные тенденции подтверждаются также ростом коэффициента соотношения заемных и собственных средств почти в 3 раза. Маневренность, т.е. доля собственных оборотных средств в источниках собственных средств, незначительно возросла, оставаясь ниже оптимального уровня примерно в 1,5 раза. Доля имущества производственного назначения в имуществе предприятия упала в 2,6 раза. Обеспеченность запасов и затрат собственными источниками средств также снизилась, упав к концу периода практически до нуля. Коэффициент абсолютной ликвидности, имея очень небольшую величину, снизился к концу периода до нуля что говорит о снижении оперативной платежеспособности предприятия. Величина коэффициента ликвидности незначительно возросла, но все равно остается значительно ниже оптимального уровня. Коэффициент покрытия незначительно снизился, оставаясь ниже оптимального минимума примерно в два раза. Коэффициенты ликвидности, абсолютной ликвидности и покрытия не удовлетворяли нормальным ограничениям, поэтому перспективы платежных возможностей отражают неустойчивость финансового состояния предприятия. В целом предприятие на основе отчетности должно быть охарактеризовано как недостаточно надежный деловой партнер, кредитоспособность которого вызывает сомнения. Негативное влияние на вывод анализа оказал, как упоминалось выше, рост запасов и затрат за счет увеличения размера кредиторской задолженности, что вызвано преимущественно коммерческим кредитованием. 2.6. Анализ уровня и структуры финансовых результатов деятельности объединения. Финансовые результаты деятельности предприятия за определенный период времени характеризуются системой взаимосвязанных абсолютных показателей. К ним относятся: выручка от реализации продукции (работ, услуг), результат (прибыль или убыток) от реализации, сальдо доходов и расходов от внереализационных операций, балансовая прибыль или убыток, облагаемая налогом прибыль, чистая прибыль, остающаяся в распоряжении предприятия. Часть этих показателей содержится в “Отчете о финансовых результатах предприятия” (Форма №2) квартальной и годовой отчетности. Налогооблагаемая и чистая прибыль определяются расчетным путем на основе содержащихся в форме №2 данных. Все перечисленные показатели финансовых результатов связаны друг с другом определенными соотношениями. Следует отметить, что не все показатели финансовых результатов деятельности подходят к анализу исследуемого предприятия. Рассмотрим схему вычислительных процедур наиболее применимых к данному предприятию показателей, их уровня и структуры. 1. Расчет прибыли (убытка) от реализации продукции (работ, услуг):
где Pp - прибыли (убытки) от реализации продукции (работ, услуг); Np - выручка от реализации продукции (работ, услуг); Sp - затраты на производство реализованной продукции (работ, услуг); GНДС - налог на добавленную стоимость; Ga - другие акцизы.
Модификация формулы (2.59), в которой в качестве результирующего показателя представлена выручка от реализации
задает схему анализа ее структуры, динамики и структурной динамики. Структура выручки от реализации исследуется на основе совместного рассмотрения абсолютных величин факторов выручки
и удельных весов факторов в общей величине выручки
Здесь для удобства записи показатели представлены как компоненты многомерного вектора. 2). Расчет чистой прибыли:
где Pч - чистая прибыль; Gн - налог на прибыль.
На основе анализа финансовых результатов можно сделать следующие выводы. Выручка от реализации продукции предприятия составила 45000 грн. В составе выручки большую часть занимают расходы (80%). Налог на добавленную стоимость занимает в среднем 17% выручки (такой удельный вес, между прочим, соответствует обратной ставке НДС и не зависит от объема выручки или других обстоятельств). Удельный вес прибыли в выручке составляет всего 3%, что составляет 1700 грн. Величина чистой прибыли составляет 1190 грн., что составляет 10% имущества предприятия или 48% источников собственных средств. Низкий удельный вес прибыли в выручке от реализации, по моему мнению, объясняется не столько низкой эффективностью реализации, сколько желанием легально минимизировать величину налога на прибыль, подлежащего уплате. Это достигается путем увеличения расходов предприятия, о чем свидетельствует их большой удельный вес в составе выручки от реализации. 2.7. Анализ рентабельности и деловой активности. Деловая активность предприятия в финансовом аспекте проявляется через скорость оборота его средств. Рентабельность предприятия отражает степень прибыльности его деятельности. Анализ деловой активности и рентабельности заключается в исследовании уровней и динамики разнообразных финансовых коэффициентов оборачиваемости и рентабельности, которые являются относительными показателями деятельности предприятия. Общая схема формирования рассматриваемых показателей представлена в табл. 2.9. В первой строке и первом столбце ее представлены возможные варианты соответственно числителя и знаменателя финансового коэффициента. На пересечениях второго и третьего столбцов и второй и третьей строк показаны три различных типа относительных показателей, получающихся при возможных сочетаниях числителя и знаменателя (исключение представляет пересечение второго столбца и второй строки, не дающее показателя). Таблица 2.9 Схема формирования показателей рентабельности и деловой активности
В обобщенном виде формулы финансовых коэффициентов, формируемых по данной схеме, выглядят следующим образом:
В данных формулах в качестве показателя прибыли, мною будет использоваться прибыль от реализации продукции. Между рассматриваемыми финансовыми коэффициентами существует определенная взаимосвязь:
Эта формула показывает, что прибыльность средств предприятия или их источников обусловлена как ценообразовательной политикой предприятия и уровнем затрат на производство реализованной продукции (они комплексно отражаются в показателе рентабельности продаж), так и деловой активностью предприятия, измеряемой оборачиваемостью средств или их источников. Формула (2.70.) указывает пути повышения рентабельности средств или их источников (т.е. степени прибыльности использования капитала предприятия или его составных частей): при низкой прибыльности продаж необходимо стремиться к ускорению оборота капитала и его элементов и, наоборот, определяемая теми или иными причинами низкая деловая активность предприятия может быть компенсирована только снижением затрат на производство продукции или ростом цен на продукцию, т.е. повышением рентабельности продаж. Рассмотрим наиболее важные финансовые коэффициенты рентабельности и деловой активности. Коэффициенты рентабельности (R): 1R) рентабельность продаж
где Np - выручка от реализации продукции; P - прибыль от реализации продукции. Рентабельность продажи анализируемого предприятия показывает, что на каждую гривну реализованной продукции приходится 0,04 грн. прибыли. 2R) рентабельность всего капитала фирмы
где Bср - средний за период итог баланса. Данный показатель рентабельности характеризует эффективность использования всего имущества предприятия. 3R) рентабельность основных средств и прочих внеоборотных активов
где Fср - средняя за период величина основных средств и прочих внеоборотных активов. На основе данного показателя определяется эффективность использования основных средств и прочих внеоборотных активов. Рентабельность основных средств анализируемого предприятия показывает, что на каждую гривну основных средств за отчетный период приходится одна гривна прибыли, что представляет собой очень большое, зачастую нереальное, соотношение. Данная ситуация возникла из-за низкой доли основных средств в имуществе предприятия, а не из-за высокой прибыли. 4R) рентабельность собственного капитала
где Иcср - средняя за период величина источников собственных средств предприятия. Как и рентабельность основных средств, данный показатель также имеет неоправданно большую величину, что обусловлено низким удельным весом источников собственных средств в составе пассива баланса. 5R) рентабельность перманентного капитала - отношение величины прибыли к средней за период величине долгосрочных кредитов и займов. Данный показатель невозможно определить из-за отсутствия в составе источников средств долгосрочных кредитов и заемных средств. Коэффициенты деловой активности (А): 1А) коэффициент общей оборачиваемости капитала
где Np - выручка от реализации продукции (работ, услуг); Bср - средний за период итог баланса. 2А) коэффициент оборачиваемости мобильных средств
где Zср - средняя за период величина запасов и затрат; Raср - средняя за период величина денежных средств, расчетов и других активов. 3А) коэффициент оборачиваемости запасов и затрат
где Sp - затраты на производство реализованной продукции. 4А) коэффициент оборачиваемости дебиторской задолженности:
где raср - средняя за период дебиторская задолженность. 5А) средний срок оборота дебиторской задолженности
6А) коэффициент оборачиваемости кредиторской задолженности
где dпл - величина использования денежных средств за период; Rpср - средняя за период кредиторская задолженность. 7А) средний срок оборота кредиторской задолженности
8А) фондоотдача основных средств и прочих внеоборотных активов
где Fср - средняя за период величина основных средств и прочих внеоборотных активов. 9А) коэффициент оборачиваемости собственного капитала
где Иcср - средняя за период величина источников собственных средств предприятия. На основе приведенных выше коэффициентов активности можно сделать следующее аналитическое заключение. Практически на одном уровне находятся значения коэффициентов общей оборачиваемости капитала, оборачиваемости мобильных средств и оборачиваемости готовой продукции. Это вызвано тем, что в составе источников средств, за счет которых формируются числители этих коэффициентов, доминирует удельный вес кредиторской задолженности. Кстати это суждение доказывается тем, что коэффициент оборачиваемости кредиторской задолженности практически составляет среднее арифметическое названных выше трех коэффициентов. Интересным является соотношение показателей оборачиваемости дебиторской и кредиторской задолженностей. Значение показателя среднего срока оборота дебиторской задолженности составляет 7,71, что означает, что в среднем за отчетный период погашение дебиторской задолженности осуществлялось в течение примерно 8 дней. Можно было бы утверждать, что это немалый срок. Однако, следует учесть, что тот же показатель для кредиторской задолженности выше в 8,5 раз и составляет примерно 2 месяца. Такое соотношение является отражением своеобразной (и достаточно эффективной) организации сочетания политики коммерческого кредитования со стороны продавцов продукции и собственной политики коммерческого кредитования предприятия по отношению к покупателям. Эффективное управление кредиторской и дебиторской задолженностями находит также свое отражение в достаточно высокой величине показателя оборачиваемости собственного капитала, которая в 3 раза превышает величину коэффициента общей оборачиваемости капитала. На основании проведенного анализа финансового состояния производственно-коммерческого объединения “Южкомсервис” можно сделать следующие выводы. За отчетный период имущество производственно-коммерческого объединения увеличилось на 6900 грн., составив в конце периода 12300 грн. Данное изменение было обусловлено исключительно ростом оборотных (мобильных) средств, поэтому удельный вес основных средств и других внеоборотных активов снизился на 17,7% и составил 13,8% имущества предприятия. Большая доля активов приходится на запасы и затраты, удельный вес которых возрос на 7,7%, составив 70,7% итога баланса. Отрицательным явлением можно назвать рост на 13,5% дебиторской задолженности и ее значительный удельный вес (15,4%) в составе имущества объединения. Увеличение имущества предприятия на 6900 грн. было обеспечено ростом собственных средств на 1,4%, а на 98,6% покрывалось увеличением обязательств предприятия. Несмотря на рост источников собственных средств на 100 грн., доля имущества предприятия, покрываемая собственными средствами, уменьшилась на 24,1%. В составе источников средств наблюдается полное отсутствие кредитных и других заемных (долгосрочных и краткосрочных) источников. В то же время доля кредиторской задолженности и прочих краткосрочных пассивов предприятия увеличилась на 24,1%, достигнув 79,7% итога баланса. Отсутствие в составе источников средств предприятия долгосрочных и краткосрочных кредитов и других заемных средств свидетельствует о том, что единственным источником увеличения размера запасов и затрат явилось использование коммерческих (товарных) кредитов, о чем свидетельствует высокий удельный вес кредиторской задолженности. С точки зрения устойчивости финансовое состояние производственно-коммерческого объединения можно охарактеризовать как неустойчивое и даже кризисное Об этом говорит недостаток общей величины средств для формирования запасов и затрат (сумма собственных источников средств и величины долгосрочных и краткосрочных заемных средств) к концу года в 7900 грн., что составляет 64,2% имущества. Для повышения устойчивости финансового состояния объединения руководству следовало привлечь заемные средства. Характеризуя ликвидность баланса предприятия, можно сказать, что за отчетный период наблюдается возросший платежный недостаток наиболее ликвидных активов для покрытия наиболее срочных обязательств. К концу периода возросла величина быстро реализуемых активов, хотя недостаток величины наиболее ликвидных и быстро реализуемых активов это не могло существенно уменьшить. Медленно реализуемые активы (т.е. в основном запасы и затраты) в течение отчетного периода превышали долгосрочные пассивы, размер которых, собственно, равнялся нулю. Спасает предприятие в такой ситуации только то обстоятельство, что кредиторскую задолженность, учитывая специфику деятельности, можно перенести из разряда “наиболее срочные обязательства” к разряду “краткосрочные пассивы” (при этом величина платежного недостатка несколько сглаживается). Результаты расчета обобщающего показателя ликвидности показывают, что ликвидность за отчетный период упала в 1,2 раза. Руководствуясь комплексной классификацией финансовых ситуаций по степени устойчивости и ликвидности баланса, приведенной на рисунке 2.3, по 22-балльной шкале производственно-коммерческое объединение находилось на 4-м месте в начале и на 8-м месте в конце анализируемого периода, что объясняется некоторым улучшением финансовой устойчивости. Однако, можно сказать, что уровню финансового положения очень далеко до идеального. Анализ финансовых коэффициентов показал, что подавляющее большинство их не удовлетворяют нормальным ограничениям. К тому же за отчетный период произошло изменение их значений не в лучшую сторону. Наличие отрицательного изменения значения коэффициента автономии свидетельствует о том, что при росте товарооборота возросла зависимость финансово-хозяйственной деятельности от коммерческого кредитования. Данные тенденции подтверждаются также ростом коэффициента соотношения заемных и собственных средств почти в 3 раза. Маневренность, т.е. доля собственных оборотных средств в источниках собственных средств, незначительно возросла, оставаясь ниже оптимального уровня примерно в 1,5 раза. Доля имущества производственного назначения в имуществе предприятия упала в 2,6 раза. Обеспеченность запасов и затрат собственными источниками средств также снизилась, упав к концу периода практически до нуля. Коэффициент абсолютной ликвидности, имея очень небольшую величину, снизился к концу периода до нуля, что говорит о снижении оперативной платежеспособности предприятия. Величина коэффициента ликвидности незначительно возросла, но все равно остается значительно ниже оптимального уровня. Коэффициент покрытия незначительно снизился, оставаясь ниже оптимального минимума примерно в два раза. Анализ финансовых коэффициентов также показывает негативность роста запасов и затрат только за счет увеличения размера кредиторской задолженности. Выручка от реализации продукции предприятия составила 45000 грн. В составе выручки большую часть занимают расходы (80%). Удельный вес прибыли в выручке занимает всего 3%, что составляет 1700 грн. Величина чистой прибыли равняется 1190 грн., что составляет 10% имущества предприятия или 48% источников собственных средств. Несмотря на неустойчивость финансового положения и низкую ликвидность баланса производственно-коммерческого объединения “Южкомсервис” достаточно высокими являются показатели рентабельности и деловой активности. Рентабельность всего капитала фирмы составила 19%. Низкий удельный вес основных средств и источников собственных средств в имуществе предприятия привел к тому, что рентабельность собственного капитала составила 69%, а рентабельность основных средств достигла 100%. Данные показатели свидетельствуют о том, что прибыль была получена в основном за счет эксплуатации привлеченного капитала. Достаточно длительные сроки погашения коммерческих кредитов (2 месяца), которые предоставлялись поставщиками продукции, позволили сформировать достаточно выгодную собственную политику предприятия в области коммерческого кредитования. Средний срок погашения дебиторской задолженности составил примерно 8 дней, что в условиях украинской экономики и нехватки оборотных средств у покупателей положительно повлияло на рост спроса на продукцию. Однако руководству предприятия следовало бы добиваться сокращения сроков погашения обоих видов задолженности, чтобы добиться улучшения финансового состояния. 2.8. Пути улучшения финансового состояния производственно-коммерческого объединения “Южкомсервис”. Основной задачей любого аналитика является не только проведение анализа и представление его результатов, но и формулировка на их основе рекомендаций и путей по улучшению показателей или качественных характеристик анализируемого объекта. Поэтому, на основе проведенного выше финансового анализа производственно-коммерческого объединения, было бы немаловажным представить его руководству предложения по улучшению его финансового состояния. Данные анализа показывают, что определенные меры должны быть приняты для повышения финансовой устойчивости и ликвидности, так как показатели рентабельности и деловой активности довольно высокие. Для этого необходимо добиться увеличения удельного веса основных источников формирования запасов и затрат в составе общей величины источников средств. Этого можно достичь тремя путями: 1). Увеличение размера собственных источников средств - осуществляется за счет увеличения размера уставного фонда, а также за счет прибыли (второй вариант, учитывая величину прибыли за анализируемый период, особых результатов дать не может). 2). Увеличение размера заемных источников средств - достигается путем привлечения долгосрочных и краткосрочных банковских кредитов. Учитывая современную экономическую ситуацию, предприятие в самом лучшем случае может надеяться на получение краткосрочных ссуд. 3). Пересмотр средневзвешенных величин запасов продукции на складах на день, неделю, месяц. Возможно размер запасов необоснованно завышен, что, конечно, влияет на кредиторскую задолженность, величину которой следовало бы снизить. Самым желательным является осуществление второго варианта, так как получение заемных средств позволит практически до нуля снизить уровень кредиторской задолженности и тем самым повысить ликвидность предприятия. Однако, это является затруднительным, так как основные фонды объединения, учитывая их небольшую величину, не могут использоваться в качестве залога по кредиту. Возможно руководству следует искать поручителей, которыми, кстати, могут быть учредители. Третий вариант - регулирование размера запасов - может быть осуществлен только в случае снижения среднего срока оборота дебиторской задолженности. Для этого необходимо разработать и внедрить политику управления дебиторской задолженностью, основным содержанием которой является: - определение доходности капитала предприятия (часть капитала вынужденно иммобилизуется в результате предоставления товарного кредита); - разработка на основе предыдущего показателя гибкой системы скидок в зависимости от срока оплаты отгруженной продукции. Так, например, рентабельность собственного капитала составляет 69%, а средний срок оборота дебиторской задолженности - 8 дней. Отсюда, цена товара с задержкой оплаты на 8 дней должна быть на 1,5% выше, чем при немедленной оплате или предоплате. Такая политика предприятия создает стимулы к немедленной оплате отгруженной продукции, что ускоряет возврат оборотных средств, позволяет снизить средний срок оборота кредиторской задолженности и тем самым уменьшить ее средний размер. Таким образом, руководству производственно-коммерческого объединения следует принять меры по следующим направлениям: - снижение в составе источников средств удельного веса кредиторской задолженности; - сокращение среднего срока оборота дебиторской задолженности; - привлечение заемных средств. Этого можно добиться путем использования банковских кредитов, а также внедрения эффективной политики управления дебиторской задолженностью. РАЗДЕЛ III. Дидактика. 3.1. Вступление. Каждый человек в своей жизни достигает определенную черту, называемую “совершеннолетием”, когда его буквально “выбрасывает” из под родительской опеки в бурлящий поток общественных взаимоотношений. Несмотря на то, что данная временная граница установлена законодательно, с одними это происходит раньше, а с другими позже, резко или плавно. А ведь можно сказать, что в обществе (тем более в нашем) действуют те же законы выживания, как и в природе, но в более изощренном виде. В зависимости от характера и темперамента человека одни подчиняются этому потоку, а другие противостоят с целью достигнуть своих желаний и интересов. Сложившаяся социально-экономическая ситуация в Украине показывает, насколько глубоко может упасть уровень общественного развития. Не вызывает также сомнений и то, что это падение может продолжаться сколь угодно долго. Первопричиной такой ситуации является прежде всего затяжной и прогрессирующий экономический кризис в государстве, имеющий свой отпечаток в социальной жизни и поведении граждан. Почему же государство, обладающее такими огромными потенциальными природными, трудовыми и интеллектуальными ресурсами не смогло выйти на уровень экономически развитых стран? Ответ приходит из прошлого. Политика и экономика Советского Союза воспитали людей, предпочитающих вслепую “плыть по течению” в потоке идей, планов, указов и директив. До сих пор многие люди не понимают сущности экономических процессов как экономики существовавшего некогда СССР, так и современной рыночной экономики. Неизвестно также многим какими сырьевыми потерями огромной стране давалось обеспечение “хорошей” жизни людям. А ведь все упирается в воспитание и образование граждан. Без элементарного знания основ экономики невозможно достичь уровня развитых стран. Вот почему знания, которыми владеют молодые специалисты, сейчас необходимы государству вдвойне. Тема дидактической работы - “Анализ рентабельности предприятия” - является одной из сторон понимания сущности функционирования предприятия в условиях рыночной экономики, так необходимого современному обществу. Зная порядок расчета относительных показателей деятельности и методику анализа финансового состояния молодые специалисты смогут без труда ориентироваться в финансово-хозяйственной жизни любого предприятия. Ведь именно недостаток таких знаний и менталитет прошлого мешают сегодня экономическому развитию как на государственном уровне, так и на уровне отдельных хозяйствующих субъектов. Целью написания данного раздела является представить экономическую тему «Анализ рентабельности предприятия», как учебную, разработать дидактические материалы к занятию. Задачами исследования являются анализ психолого-педагогической литературы, составление социально-психологической характеристики группы обучения, разработка модели усвоения базы знаний, выбор и обоснование методов и форм проведения занятий, подготовка дидактических материалов для преподавания. 3.2. Цели обучения. Тема данной выпускной работы - «Анализ финансового состояния субъекта хозяйствования» - достаточно объемна по количеству материала и включает в себя несколько других тем, которые изучается к тому же разными дисциплинами с различной степенью углубленности. Поэтому, в качестве практического примера мною была взята одна из частей данной темы, которая при преподавании будет звучать как «Анализ рентабельности предприятия». Сама же тема изучается в высшем политехническом училище, в котором я проходил педагогическую практику, как один из разделов учебной дисциплины «Экономика предприятия». Первым шагом при разработке темы является формирование целей обучения. При формировании целей обучения необходимо помнить о том, что они имеют двойственный характер. С одной стороны они представлены целями обучения, а с другой целями воспитания, так как в процессе образования обучение и воспитание дополняют друг друга. Цели обучения обуславливаются таким объемным понятием, как усвоение общественно-исторического опыта человечества, которое колеблется непосредственно от предмета изучения. А цели воспитания призваны формировать всесторонне и гармонически развитую личность, или другими словами, ее черты. Знание приносит опыт и непосредственно влияет на развитие личности человека, на формирование ее направленности. Поэтому, перед тем, как начинать читать тему, необходимо определить, как она будет влиять на стремления, желания, интересы и особенно на мировоззрение обучаемых. В качестве учебных мною были поставлены следующие цели: - сообщение учащимся новых знаний и фактов; - в ходе занятий усвоить такие вопросы как сущность относительных показателей деятельности предприятия, понятие рентабельности, виды и способы расчета рентабельности, формулировка выводов на основе рассчитанных показателей рентабельности; - овладение умениями и навыками расчета показателей рентабельности; - развитие наклонностей и способностей обучаемых в сфере финансового анализа деятельности предприятий; - пробудить и закрепить интерес учащихся к преподаваемой теме; - проверить уровень усвоения знаний на занятиях; - установление связей между понятиями и материалами темы с другими темами дисциплины; - формулировка задач, которые можно успешно решить на практике на основе полученных знаний по данной теме. Воспитательные цели: - развитие образного мышления; - формирование у обучаемых способности свободного контакта с людьми; - воспитание личностных качеств учащихся, обеспечивающих развитие памяти, воображения, деловитости и работоспособности; - развитие активности, целеустремленности, инициативности. После усвоения одной из частей темы данной выпускной работы - «Анализ рентабельности предприятия» обучаемые должны: - уметь дать определение таким понятиям: относительные показатели деятельности предприятия, рентабельность предприятия, виды рентабельности; - уметь использовать документы финансовой отчетности при расчете показателей рентабельности; - уметь обосновывать выводы и давать рекомендации на основе результатов анализа рентабельности предприятия. 3.3. Психолого-педагогическая характеристика группы. Основной целью преподавания в высшем политехническом училище является подготовка специалистов различных технических специальностей. Но перед тем, как выбирать формы организации, методы преподавания, строить модель усвоения базы знаний необходимо дать психолого-педагогическую характеристику. Необходимо отметить, что ограниченность времени прохождения педагогической практики, в сущности, не позволяет дать абсолютно четкую оценку группы. Ведь одной и той же группе встречаются обучаемые с различным интеллектуальным и социально-психологическим уровнем развития. К тому же нужно помнить, что объективную психолого-педагогическую характеристику группы обучаемых может дать только опытный преподаватель, работающий с данной группой не менее полугода. Во время прохождения педагогической практики для получения информации для написания характеристики я использовал заранее составленную анкету, результаты опроса по которой могли бы дать обобщенную характеристику, присущую именно данной группе обучаемых. В предлагаемой анкете обучаемым предлагалось заполнить следующие вопросы: 1). Ваш возраст; 2). Ваше место проживания (Симферополь, сельская местность Крыма, город Крыма, другие области Украины); 3). Работали ли вы до поступления в вуз? 4). Работаете ли вы в настоящее время? 5). Имеете ли вы какую-либо специальность? 6). Есть ли у вас семья? 7). Назовите фамилии членов группы, с которыми вы находитесь в наиболее тесных взаимоотношениях, по убыванию степени взаимодействия; 8). На базе чего у вас сложились тесные взаимоотношения с этими людьми? 9). Назовите основные цели вашего обучения в вузе? Данные анкет и собственные наблюдения во время проведения учебных занятий были использованы мною для составления психолого-педагогической характеристики. Вначале следует определить те индивидуальные особенности, которые присущи возрастной группе, к которой относятся обучаемые. Возраст обучаемых колеблется от 17 до 20 лет. Именно этот период называется познавательной юностью или началом зрелости. Развитие личности на этом этапе тесно связано с социальным статусом обучаемых, с их положением в коллективе группы, учебного заведения и общества. Продолжают совершенствоваться интеллектуальная сфера, расширяются умственные возможности, познавательные возможности становятся более глубокими и устойчивыми. При этом, общий интерес к обучению сочетается с избирательным отношением к различным учебным предметам. Роль педагога на этом этапе огромна. У учащихся наблюдается большой прогресс в умственной работоспособности, что в частности, сказывается в работе памяти и мышления. Механическое заучивание уступает место смысловому, а в случаях необходимости его применения, оно не вызывает той отрицательной реакции, которую можно наблюдать у подростков. В запоминании учебного материала учащиеся этого возрастного периода совершенствуются выделять существенные мысли, положения, намечать опорные пункты для запоминания, связывают изучаемый материал с имеющимися знаниями. Учащиеся все более прочно овладевают навыками логического мышления, у них складывается определенный стиль умственной деятельности. Обучаемые входят в отдельную социальную группу - студенчество, основная социальная функция которой лежит в подготовке общественной и профессиональной деятельности специалиста народного хозяйства. Эта функция обеспечивает воспроизводство социальной структуры общества, потому что студенчество в качестве резерва и подрастающей интеллигенции приобретает специфические умения и навыки; из социальной функции и положения студентов вытекает особый характер основной деятельности студентов. Он заключается в обучении, как в специфической форме усвоения знаний в определенной науке, а также в накоплении специальных знаний и умений для конкретной профессии, которая требует высшего и среднего образования. Сфера окружения студентов расширяется, в нее входит профессорско-преподавательский состав, семинарские группы, соседи по общежитию и т.д. По данным анкеты все студенты группы проживают в пределах Крыма. Из них примерно 30% - в городе Симферополь, 25% - в сельской местности Крыма, 45% - в других городах Крыма. Низкий удельный вес учащихся, проживающих в сельской местности, свидетельствует о недостаточном уровне образования данной категории выпускников школ, что снижает их шансы на поступление в вузы по сравнению с выпускниками городских школ. 81% учащихся работали до поступления в вуз и 20% продолжают работать во время обучения. Можно сказать, что достаточно большой удельный вес студентов в группе совмещают учебу с работой, что в большинстве случаев не может положительно отразиться на качестве усвоения знаний. Практически все учащиеся группы поступили в вуз сразу после школы и, соответственно, не имеют какой-либо специальности. Примерно у пятой части опрошенных уже есть семьи. У этих студентов, по моему мнению, совершенно иному и более серьезное отношение к важности получаемых в вузе знаний и их применению в будущем, что обусловлено некоторым изменением системы ценностей. Что касается вопроса о цели обучения в вузе, то результаты опроса следующие: - примерно четверть студентов группы учится в данном вузе потому, что надо где-то учиться; - большинство учащихся ответили, что учатся, чтобы в дальнейшем работать по полученной специальности. Ответы обучаемых свидетельствуют о том, что среди современной молодежи существует сознание необходимости получения высшего образования для обеспечения нормального уровня жизни в нелегких экономических условиях. Для выявления картины внутригрупповых отношений я использовал методику, называемую социометрией. Социометрия используется для исследования личных, эмоционально-непосредственных отношений: взаимных симпатий и антипатий людей, их взаимной привлекательности и непривлекательности, авторитетности или неавторитетности. Кроме того, социометрическая методика позволяет выявить лидера в группе или в коллективе, а также оценить их сплоченность. На основе ответов на вопросы №6 и №7 анкеты мною была составлена “социометрическая матрица”, с помощью которой были определены взаимные выборы, количество индивидуальных выборов на каждого члена группы, количество выборов, сделанных каждым членом группы. На основе данных матрицы в группе имеется 3 лидера. К лидерам можно отнести студентов, на которых пришлось самое большое количество выборов, причем число выборов лидера должно значительно превышать среднее число выборов на каждого члена группы. К сожалению в группе имеются и “робинзоны”, так как были студенты, которых никто не выбрал и которые сами никому не отдали предпочтения. Можно также по результатам взаимных выборов в группе выделить три микрогруппы. Кстати на вопрос “На базе чего у вас сложились тесные взаимоотношения с данными людьми?” в основном были лаконичные ответы наподобие “общность интересов”. В целом, на основе результатов анкеты и собственных наблюдений, группу можно назвать достаточно сплоченной. Совокупность отношений между членами группы формируют достаточно благоприятный психологический климат, благоприятствующий эффективности учебного процесса. Это подтверждается и восприятием учебного материала. Студенты серьезно отнеслись к теме, излагаемой мною во время прохождения педагогической практики, на лекции задавали вопросы, а на практическом занятии результаты письменного тестирования показали хороший уровень усвоения материала. Что касается дидактических требований к преподаванию в данной группе, то они должны строиться на основных дидактических принципах: - гуманизм процесса обучения; - научность обучения; - связь теории с практикой обучения; - систематичность и последовательность в обучении; - соединение наглядности обучения с развитием абстрактного мышления; - сознательность и активность студентов при обучении; - доступность обучения; - прочность усвоения знаний, умений и навыков; Студенты училища должны понимать, что в будущем их знания будут важны для развития общества. Объем усвоенных знаний из разных отраслей науки, большой запас понятий в общем, «бытовые» экономические знания, также способствуют большей заинтересованности этой категории молодых людей в освоении экономических знаний. Преподавание должно давать студентам конкретную установку, чем они будут заниматься после окончания высшего учебного заведения. 3.4. Модель усвоения базы темы “Анализ рентабельности предприятия”. Перед тем, как непосредственно перейти к составлению модели усвоения базы знаний, необходимо дать краткую характеристику основным понятиям, которые будут использоваться при написании этого раздела. Под учебным предметом понимают дидактически обоснованную систему знаний, умений, навыков, видов и способов деятельности, которые отобраны из определенных отраслей науки или искусства для усвоения в процессе обучения. Учебная тема представляет собой часть учебного предмета, которая раскрывает отдельный вопрос, явление, предмет. Усвоение же учебной темы дает возможность использовать приобретенные знания в различных ситуациях жизни. Содержание любой темы представляется системой элементов базы знаний, которые формируют мировоззрение человека. Знания выражаются в понятиях и явлениях, процессах и особенностях, систематизированных фактах, правилах, алгоритмах и зависимостях, моделях и теориях, законах и гипотезах. Базой знаний учебного предмета считают максимально необходимое и возможное для усвоения количество понятий, явлений, теорий и др., которая будет достаточно для использования на начальных этапах практической деятельности и дальнейшего самообразования. Использовать в полной мере базу знаний можно будет только после усвоения ее элементов. Основными терминами, которые необходимо усвоить в рамках изучения темы “Анализ рентабельности предприятия”, являются: 1). относительные показатели деятельности предприятия; 2). общее понятие рентабельности; 3). Рентабельность продукции: рентабельность реализованной продукции, рентабельность товарной продукции, рентабельность отдельного изделия; 4). рентабельность предприятия (общая рентабельность): рентабельность оборота, рентабельность всего капитала, рентабельность основных средств, рентабельность собственного капитала, рентабельность перманентного капитала. При изучении данной темы важно выделить элементы знаний, которые должны были быть изучены студентами по другим темам предмета. К ним относятся следующие понятия: выручка от реализации, издержки предприятия, прибыль, основные средства предприятия, собственный капитал предприятия, заемные средства. К основным элементам базы знаний по теме “Анализ рентабельности предприятия” следует отнести: - методику расчета приведенных выше показателей рентабельности; - взаимосвязь между показателями рентабельности; - анализ показателей рентабельности. К прикладным знаниям по этой теме относится изучение форм отчетности предприятия, на основе которых рассчитываются показатели рентабельности. Модель усвоения базы знаний учебной темы представляет перечень элементов ее базы знаний с определенным уровнем усвоения каждого элемента. В практической деятельности выделяют три уровня усвоения: 1. Усвоение на репродуктивном уровне - это умение воспроизводить элемент базы знаний и решать типовые для учебного предмета задачи в типовых условиях; 2. Алгоритмично-действенное усвоение - это умение применять элементы базы знаний для решения типичных задач учебного предмета в новых условиях; 3. Творческое усвоение - это умение использовать базу знаний для приобретения новых знаний и решения новых задач в новых условиях и нестандартных ситуациях. С моей точки зрения, наиболее желательным является творческое усвоение, которое раскрывает горизонты развития перед личностью. Но оно не возможно без первых двух. Поэтому, минимально необходимо, чтобы студенты полностью усвоили тему на репродуктивном уровне с ориентацией на то, что в процессе практических занятий и после прохождения производственной практики они смогут усвоить тему на двух следующих уровнях. Модель усвоения базы знаний темы «Анализ рентабельности предприятия» представлена в таблице 3.1. Таблица 3.1 Модель усвоения базы знаний.
Выбор уровней усвоения, приведенный в таблице 3.1 требует пояснения. Практически все элементы базы знаний должны быть усвоены на репродуктивном уровне, так как студенты должны четко представлять сущность рентабельности и знать основы методики расчета его показателей в типовых условиях. К тому же, основные элементы базы знаний должны быть также усвоены на алгоритмично-действенном уровне. Это объясняется тем, что на основе полученных и усвоенных знаний, во время прохождения практики или на рабочем месте может потребоваться рассчитать новые показатели рентабельности, определяемые спецификой деятельности анализируемого предприятия. В этом случае усвоенная база знаний будет применяться уже для новых и условий. Наконец, к творческому (проблемному) уровню усвоения я посчитал целесообразным отнести умение анализировать показатели рентабельности. Действительно, умение делать аналитическое заключение при исследовании рентабельности предприятия развивает логическое мышление, усиливает понимание структуры взаимосвязи показателей деятельности, позволяет ориентироваться в новых и нестандартных ситуациях и находить пути улучшения финансового состояния. Таким образом, создание модели усвоения базы знаний помогает конкретизировать цели обучения, выбрать формы и методы проведения занятия, разработать тестовые задания для проведения контроля знаний учащихся и задания самостоятельной работы. 3.5. Методы и формы обучения. Основой любой успешной деятельности человека является организация. Поэтому и при преподавании нужно сначала выбрать одну из организационных форм обучения. Формой называют внешнее выражение какого либо содержания. Формы организации обучения входят в операционно-деятельностный компонент процесса обучения и представляют собой внешнее выражение согласованной деятельности преподавателя и обучаемых, осуществляемой в установленном порядке и определенном режиме. К основным организационным формам относятся индивидуальная, индивидуально-групповая, классно-урочная, белл-ланкастерская, дальтон-план, план Трампа, метод проекта. Все формы организации обучения можно условно разделить на две группы: 1. Общие формы. 2. Специальные формы. Все формы, как правило, определяются следующими правилами: - составом тех, кто учится; - местом и временем проведения занятий; - содержанием обучения; - характером учебно-познавательной деятельности студентов; - способами управления обучаемыми со стороны преподавателей. К общим формам организации обучения относятся: 1. Индивидуальное обучение, которое предполагает выполнение студентом учебного задания самостоятельно, на уровне его учебных возможностей и без взаимодействия с другими обучаемыми, используя помощь преподавателя; 2. Коллективное (фронтальное) обучение, которое предполагает одновременное выполнение всеми обучаемыми одного и того же задания под руководством преподавателя; 3. Групповое обучение - способ организации учебных занятий, при котором ставится определенное задание для группы студентов. Различают следующие формы группового обучения: бригадная, звеньевая, парная. К специальным формам организации относятся: лекции, практические занятия, семинары, учебные экскурсии, предметные кружки, факультатив, практикумы, лабораторные работы, учебные конференции, дискуссии, диспуты, дополнительные занятия, консультации, конкурсы, олимпиады. Как известно, обучение представляет собой разнообразную деятельность преподавателя и обучаемых, направленную на овладение последними знаниями, умениями и навыками, развития их умственных способностей, способов мышления, а также воспитанием. Эта деятельность осуществляется на основе применения тех или иных методов. Методы обычно определяют, каким образом способы работы преподавателя, при помощи которых достигается приобретение учащимися знаний, умений и навыков, формируют их мировоззрение и развиваются способности. Все существующие группы методов обучения можно условно разделить на 6 групп: 1). устное изложение материала (лекция); 2). Обсуждение изучаемого материала - может реализовываться в форме беседы, классно-группового занятия, семинара, собеседования, конференции и т.д.; 3). Показ, демонстрация - такая организация занятия, когда либо слово преподавателя подкрепляется наглядными материалами, либо наглядные материалы обосновываются, комментируются преподавателем; 4). Упражнение; 5). Практическая работа - метод практических учебных действий, требующих знаний, умений, навыков и подготовки; 6). Самостоятельная работа. Из всех вышеперечисленных организационных форм обучения мною были выбраны лекция и практическое занятие. Лекция - обстоятельное, объемное, идеологическое действие, обладающее, во-первых, единством формы и содержания, во вторых, ограниченными временным рамками, в третьих, четкой теоретической концепцией излагаемой научно-теоретической проблемы или темы. Преподавателю в процессе подготовки лекции необходимо составить план-конспект учебного материала, составить список литературы, при помощи которой студенты смогут получить дополнительную информацию; продумать такие моменты изложения, которые нужно дать под запись. Практическое занятие - учебное действие, в ходе которого преподаватель организует детальное рассмотрение студентами отдельных теоретических положений учебного предмета и формирует умения и навыки их практического применения путем индивидуального выполнения обучаемыми соответственно сформулированных заданий. Данный метод контроля и закрепления знаний был выбран мною потому, что знания по теме “Анализ рентабельности предприятия” не могут надолго остаться в памяти студентов в сухом, теоретическом понимании. Именно проведение практических расчетов и выполнение тестовых заданий помогут закрепить материал темы на логическом уровне. А ведь известно, что логическое запоминание воспринимается памятью более легко и непринужденно. Информация при этом хранится очень долго и быстро воспроизводится. Закрепление знаний на практическом занятии содействует тому, что бы знания учащихся были осмысленными и стойкими. Дидактическое обеспечение процесса изложения материала, контроля и закрепления знаний формирует представление и понятие на основе живого восприятия объектов, которые изучаются. Перечень обеспечения будет приведен в следующей главе. 3.6. Дидактико-методические материалы к теме “Анализ рентабельности предприятия”. Разработку дидактических материалов для преподавания одной из тем дидактического раздела данной выпускной работы «Анализ финансового состояния субъекта хозяйствования» начнем с разработки плана занятий. План занятий содержит: название темы, цели изучения всей темы, структуру занятий и др. Тема занятий: «Анализ рентабельности предприятия». Цели занятия: сформировать у студентов понятия сущности относительных показателей деятельности, рентабельности, видов рентабельности; раскрыть методику расчета показателей рентабельности; дать перечень основных документов, на основе которых рассчитывается рентабельность; в ходе урока развивать умение логически мыслить, образное мышление; совершенствовать их умение пользоваться дополнительной литературой и вести конспект лекций. Формы занятий: лекция, практическое занятие. Методы обучения: устное изложение материала, показ, демонстрация, практическая работа. Дидактическое обеспечение: наглядные формы финансовой отчетности №1,2 (приложения 1,2), план-конспект лекции, иллюстративный материал (приложения 3,4), практические задания, тестовые задания (приложение 5). Структура лекции: - объявление темы, плана, цели; - указание литературных источников, демонстрация экземпляров последних изданий; - актуализация опорных знаний; - изложение материала лекции с применением иллюстраций; - заключительное слово. Структура практического занятия: - мотивация; - решение практических задач; - оценка полученных знаний путем тестирования. Следует пояснить некоторые компоненты структуры занятий: 1. Организационный момент. Для организации рабочей обстановки в группе следует зайти в аудиторию за 3-5 минут до начала занятия, попросить дежурных подготовить учебную доску, проветрить кабинет. На доске необходимо написать тему занятия и вопросы, которые будут рассматриваться. Нужно также подготовить наглядные пособия. 2. Сообщение темы и цели занятий. На лекции необходимо сообщить тему, которая будет рассматриваться, и дать ее план. Практическое занятие также следует начать с напоминания темы, рассмотренной на лекции, и сообщения плана занятия. 3. Актуализация опорных знаний. Актуализация опорных знаний проводится в начале лекции и осуществляется с помощью краткого рассмотрения и обсуждения вопросов: - что такое валовая выручка? - что включают в себя издержки предприятия? - как рассчитать прибыль предприятия? - какие средства предприятия относят к основным, оборотным, заемным, - что такое себестоимость? 4. Мотивация. Для пробуждения интереса студентов и создания активного внимания в аудитории к усвоению новых знаний в качестве приема мотиваций будет рассмотрен вопрос из реальной из реальной жизни: “Вы имеете определенный капитал в денежной форме (7000 грн.) и хотите, чтобы он работал на вас. Перед вами несколько вариантов: 1). положить средства в банк на депозитный счет под 15% годовых; 2). Вложить 5000 грн. в предприятие с годовой прибылью в 600 грн.; 3). Вложить 3000 грн. в предприятие с ежемесячной прибылью в 40 грн. По каким из этих направлений вы пустите работать свой капитал и какие его части будут вложены в выбранные направления?” Следует дать время студентам (5-10 минут) на расчет величины дохода, который они получили по выбранным направлениям, а потом сравнить с максимальным доходом (1080 грн.), который можно получить по данному примеру. Очевидно, методика расчета эффективности использования капитала должна пробудить интерес студентов к данной теме. 5. Изложение нового материала. Изложение нового материала будет проходить в ходе лекции. В качестве плана-конспекта лекции с основными ее терминами по теме «Анализ рентабельности предприятия» представлен следующий. Вопросы лекции: 1). Понятие относительных показателей. Сущность рентабельности и ее роль при анализе финансового состояния предприятия. Виды рентабельности. 2). Рентабельность продукции, ее виды и методика расчета. 3). Рентабельность предприятия, ее виды и методика расчета. 4). Анализ показателей рентабельности. Вопрос 1. Абсолютные показатели характеризуют величину тех или иных средств предприятия или источников их формирования за определенный период. Относительные показатели отражают удельный вес тех или иных величин (абсолютных показателей) в составе других, более объемных. Цель расчета относительных показателей - определение состава и структуры наиболее важных показателей деятельности предприятия, таких как выручка, валовая прибыль, издержки и т.п. Рентабельность - показатель, характеризующий относительную прибыльность предприятия и отражающий эффективность использования его капитала. В общем случае рентабельность можно высчитать как отношение прибыли к затратам на получение этой прибыли. Расчет рентабельности позволяет определить общую эффективность использования капитала предприятия, эффективность отдельных сторон и направлений его деятельности. На основе данных рентабельности можно выявить факторы, негативно влияющие на результаты деятельности и дать рекомендации по улучшению финансового состояния. Различают два основных вида рентабельности: рентабельность продукции и рентабельность использования капитала (или рентабельность предприятия). Вопрос 2. Рентабельность продукции - соотношение прибыли от производства и реализации продукции и издержек на ее производство и реализацию. Рентабельность продукции отражает эффективность производства и реализации продукции предприятия в целом и отдельных ее видов. Различают следующие показатели рентабельности продукции: 1). Рентабельность реализованной продукции. Рассчитывается как отношение прибыли от реализации продукции к ее полной себестоимости. 2). Рентабельность товарной продукции - отношение прибыли от реализации продукции к ее стоимости в оптовых ценах предприятия. 3). Рентабельность изделия - отношение прибыли на единицу изделия к ее себестоимости. Прибыль от изделия рассчитывается как разница между ее оптовой ценой и себестоимостью. Вопрос 3. Рентабельность предприятия - это эффективность (прибыльность) вложенного в него капитала. В зависимости от типа капитала различают следующие ее показатели: 1). Рентабельность продаж (оборота) - отношение прибыли от реализации продукции, работ, услуг к выручке от реализации(данные берутся из Формы №2 “Отчет о финансовых результатах”); 2). Рентабельность всего капитала предприятия - отношение прибыли к итогу баланса предприятия (Форма №1); 3). Рентабельность основных средств предприятия - отношение прибыли к итогу первого раздела актива баланса; 4). Рентабельность собственного капитала - отношение прибыли к величине источников собственных средств предприятия (итог первого раздела пассива баланса); 5). Рентабельность перманентного капитала - отношение прибыли к величине долгосрочных кредитов и займов (итог второго раздела пассива баланса). Вопрос 4. Показатели рентабельности и доходности имеют общую экономическую характеристику, они отражают конечную эффективность работы предприятия и выпускаемой им продукции. Главным из показателей уровня рентабельности является отношение общей суммы прибыли к производственным фондам. Существует много факторов, определяющих величину прибыли и уровень рентабельности. Эти факторы можно подразделить на внутренние и внешние. Внешние - это факторы не зависящие от усилий данного коллектива, например изменение цен на материалы, продукцию, тарифов перевозки, норм амортизации и т.д. Такие мероприятия проводятся в общем масштабе и сильно воздействуют на обобщающие показатели производственно - хозяйственной деятельности предприятий. Структурные сдвиги в ассортименте продукции существенно влияют на величину реализованной продукции, себестоимость и рентабельность производства. Задача экономического анализа - выявить влияние внешних факторов, определить сумму прибыли, полученную в результате действия основных внутренних факторов, отражающих трудовые вложения работников и эффективность использования производственных ресурсов. Показатели рентабельности ( доходности ) являются общеэкономическими. Они отражают конечный финансовый результат и отражаются в бухгалтерском балансе и отчетности о финансовых результатах. Под рентабельностью предприятия понимается его способность к приращению вложенного капитала. Задачей анализа рентабельности являются несколько положений: оценить динамику показателя рентабельности с начала года, степень выполнения плана, определяют и оценивают факторы, влияющие на эти показатели, и их отклонения от плана; выявляют и изучают причины потерь и убытков, вызванных бесхозяйственностью, ошибками в руководстве и другими упущениями в производственно - хозяйственной деятельности предприятия; вскрывают и подсчитывают резервы возможного увеличения прибыли или дохода предприятия. 6. Закрепление. Закрепление вопросов лекции будет происходить после изложения каждого вопроса лекции в форме ответа на вопросы студентов и в зависимости от их вопросов, в задавании встречных вопросов, которые касаются рассмотренного материала. В ходе практического занятия можно провести фронтальную беседу для закрепления и систематизации всего изложенного материала. Основными ее направлениями будут сферы рассматриваемых вопросов лекции с приведенными фактическими примерами и ответы на вопросы учеников. Для закрепления материала и в качестве наглядных пособий будут использоваться формы финансовой отчетности (Приложения 1,2), на основе которых в коллективной обстановке рассчитываются показатели рентабельности, а также тестовое задание (Приложение 3), призванное оценить уровень усвоения темы. 3.7. Заключение. После написания дидактического раздела выпускной работой по теме «Анализ рентабельности предприятия» были укреплены теоретические знания, получен практический опыт разработки дидактических материалов для занятий, исследованы источники психолого-педагогической и экономической литературы. В ходе написания раздела была составлена психолого-педагогическая характеристика группы обучения. Также была разработана модель усвоения базы знаний, которая помогла конкретизировать цели обучения, выбрать формы и методы проведения занятий, разработать тестовые задания для проведения контроля знаний студентов. Рассмотрены формы организации и методы обучения, и в результате их анализа для проведения занятий были выбраны лекция и практическое занятие. В соответствии со структурой занятий подготовлены дидактические материалы и разработан план-конспект лекции по одному из разделов темы выпускной работы. Для проверки знаний, полученных на лекции были разработаны тестовые задания по вопросам темы. В целом, задачи, поставленные перед написанием раздела “Дидактика” данной выпускной работы, достигнуты. Разработанные дидактические материалы позволяют применять их в процессе преподавания темы “Анализ рентабельности предприятия” в высшем политехническом училище и оценивать уровень полученных студентами знаний. Приложение Приложение 1 Таблица Баланс производственно-коммерческого объединения “Южкомсервис” на 1.01.99г. (указаны только заполненные статьи баланса). Единица измерения: тыс.грн.
Приложение 2 Таблица Отчет о финансовых результатах производственно-коммерческого объединения “Южкомсервис” за 1998 год (приведены только заполненные статьи). Единица измерения: тыс.грн. I. Финансовые результаты
II. Использование прибыли
III. Затраты на производство (издержки обращения)
V. Платежи в бюджет
Приложение 3
Приложение 4
Приложение 5 Тестовое задание для оценки уровня усвоения знаний по теме “Анализ рентабельности предприятия”. 1. Рентабельность - это: а). разница между величиной выручки и прибылью; б). разница между прибылью и величиной выручки; в). отношений прибыли к величине затрат; г). разница между величиной выручки и величиной затрат. Ответ: в (0,5 баллов). 2). К соотношениям, характеризующим рентабельность продукции, относятся: а). отношение прибыли к величине выручки; б). отношение величины долгосрочных заемных средств к размеру прибыли; в). отношение прибыли с единицы изделия к ее себестоимости; г). отношение прибыли к итогу баланса предприятия; д). отношение прибыли от реализации продукции к ее стоимости в оптовых ценах предприятия. Ответ: в,д (по 0,5 баллов за каждый правильный ответ). 3). Рентабельность собственного капитала предприятия определяется как: а). отношение прибыли от реализации продукции, работ, услуг к выручке от реализации; б). отношение прибыли к итогу баланса предприятия; в). отношение прибыли к величине источников собственных средств предприятия; г). отношение прибыли к величине долгосрочных кредитов и займов. Ответ: в (0,5 баллов). 4). Отношение прибыли к величине долгосрочных кредитов и займов - это: а). рентабельность продаж; б). рентабельность всего капитала фирмы; в). рентабельность перманентного капитала; г). рентабельность основных средств. Ответ: в (1 балл). 5). Рост цен на сырье и материалы при неизменной цене на продукцию предприятия: а). приводит к росту рентабельности; б). приводит к снижению рентабельности; в). не влияет на показатель рентабельности. Ответ: б (1 балл). 6). Рассчитайте рентабельность изделия, оптовая цена которого - 10 грн., а себестоимость - 8 грн. Ответ: 0,25 или 25% (1 балл). Оценка определяется как сумма баллов за правильные ответы. Список использованной литературы Нормативные акты Министерства финансов Украины 1). Наказ Міністерства фінансів України “Про затвердження обсягу і форм річного бухгалтерського звіту підприємств та Інтсрукції про їх заповнення” №139 від 18.08.95р. // Законодательство Украины. Информационно-справочная система. - 1999. - Февраль. 2). Наказ Міністерства фінансів України “Про квартальну бухгалтерську звітність підприємств” №19 від 08.02.97р. // Законодательство Украины. Информационно-справочная система. - 1999. - Февраль. 3). Інструкція Міністерства фінансів України “Про порядок заповнення форм річного бухгалтерського звіту підприємства” №55 від 9.08.93р. // Законодательство Украины. Информационно-справочная система. - 1999. - Февраль. Специальная литература 4). Асмолов А.Г. Психология личности: Принципы общепсихологического анализа. - М.: МГУ, 1990- 367с. 5). Баканов М.И., Шеремет А.Д. Теория экономического анализа. - М.: Финансы и статистика, 1993. - 288 с. 6). Балабанов И.Т. Основы финансового менеджмента: Учеб. Пособие. - М.: Финансы и статистика, 1997. - 480 с. 7). Вуд Ф. Бухгалтерский учет для предпринимателей. - М.: Аспери, 1992. - 415 с. 8). Друри К. Введение в управленческий и производственный учет. - М.: Аудит, 1994. - 560 с. 9). Журавлев В.И. Педагогика в системе наук о человеке. - М.: Педагогика, 1990.-164 с. 10). Завгородний В.П., Савченко В.Я. Бухгалтерский учет, контроль и аудит в условиях рынка. - К.: Издательство «Блиц-Информ», 1995 - 832c. 11). Ильина Т.А. Педагогика: Курс лекций. Учебное пособие для пед. институов. М.: Просвещение, 1984. - 495 с. 12). Ковалев В.В. Финансовый анализ: Управление капиталом. Выбор инвестиций. Анализ отчетности. - 2-е изд., перераб. и доп. - М.: Финансы и статистика, 1998. - 512 с. 13). Крылова Т.Б. Выбор партнера: анализ отчетности капиталистического предприятия. - М.: Финансы и статистика, 1993. - 60 с. 14). Куписевич Ч. Основы общей дидактики. - М., - 1986 - 367 с. 15). Негашев Е.В. Анализ финансов предприятия в условиях рынка: Учеб. Пособие. - М.: Высш. шк., 1997. - 192 с. 16). Немов Р.С. Психология: Учеб. Для студентов высш. пед. учеб. заведений: В 3 кн. Кн.1. Общие основы психологии. - 3-е изд. - М.: Гуманит. изд. центр ВЛАДОС, 1997. - 688 с. 17). Олейник А.И. Бухгалтерский учет на предприятиях Украины. - Харьков: Прапор, 1995 - 215 с. 18). Патров В.В., Ковалев В.В. Как читать баланс. - М.: Финансы и статистика, 1993. - 256 с. 19). Педагогика. Учебное пособие для пед. институтов / Под ред. Бабанского. Ю.К. - М.: Просвещение, 1983. - 608 с. 20). Родионова В.М., Федотова М.А. Финансовая устойчивость предприятия в условиях инфляции. - М.: Перспектива, 1995. - 98 с. 21). Ткаченко Н.М. Бухгалтерский учет на предприятиях с разными формами собственности: Учеб. Пособие. - 2-е изд., перераб. и доп. - А.С.К., 1997. - 672 с. 22). Финансовый менеджмент / Под ред. Стояновой Е.С. - М.: Перспектива, 1993. - 268 с. 23). Финансовый менеджмент: теория и практика / под ред. Стояновой. Е.С. - М.: Перспектива, 1996 - 405с. 24). Шеремет А.Д., Сайфулин Р.С. Методика финансового анализа. - М.: ИНФРА-М, 1995. - 176 с. 25). Шеремет А.Д., Сайфулин Р.С., Негашев Е.В. Методика финансового анализа предприятия. - М.: Юни-Глоб, 1992. - 80 с. Журналы и газеты 26). Додукало О. В. Как заполнить баланс предприятия // Свiт бухгалтерського облiку. - 1997 - №5 - с.57-59. 27). Назарбаева Р. Порядок заполнения отчета о финансово-имущественном состояния предприятия // Баланс - 1996 - №3 - с.18-25. 28). Турецкий Д. М. Отчет о финансовых результатах и их использовании - Форма №2 // Свiт бухгалтерського облiку - 1997 - №5 - с.60-66.
РАЗДЕЛ I. Сущность и методика анализа финансового состояния субъекта хозяйствования. 1.1 Сущность и структура финансового анализа. Для определения сущности финансового анализа как вида деятельности, с одной стороны, и как науки, с другой, необходимо дать определение основных составляющих его элементов. Такими элементами, по моему мнению, являются: финансы предприятия, структура средств предприятия, структура имущества предприятия, финансовое состояние предприятия, цели финансового анализа, субъекты финансового анализа, место финансового анализа как науки, взаимодействие финансового анализа с другими видами деятельности. В условиях рынка финансы предприятий приобретают особенно важное значение. Выдвижение на первый план финансовой стороны деятельности предприятий является в последнее время одной из наиболее характерных черт экономической жизни развитых капиталистических стран. Возрастающую роль финансов предприятий следует рассматривать как тенденцию, действующую во всем мире. Термин “финансы” происходит от латинского “financia” - денежный платеж. Финансовые отношения возникают в тех случаях, когда тем или иным способом (законодательным, договорным и т.д.) необходимо осуществить наличные и безналичные денежные платежи, а также когда платежи происходят фактически. Финансы предприятий являются системой отношений, которые связаны с их денежными платежами и возникают в процессе индивидуальных кругооборотов средств предприятий и источников этих средств. Другими словами, финансовые процессы предприятий заключаются в формировании их денежных доходов и расходов. Финансовые отношения имеют место между: предприятиями при оплате разнообразных поставок, работ, услуг, реализации продукции, уплате и взыскании штрафных санкций; предприятиями при взаимных финансовых вложениях (долевое участие, приобретение ценных бумаг, предоставление займов); предприятиями и индивидуальными акционерами при распространении акций и выплате дивидендов по ним; предприятиями и трудовыми коллективами в процессе расчетов по оплате труда; предприятиями и подотчетными лицами, персоналом предприятий по операциям, не относящимся к расчетам по оплате труда , а также разными дебиторами и кредиторами; предприятиями, арендаторами, вышестоящими организациями по арендным платежам; предприятиями и государственным бюджетом при начислении и уплате налогов и санкций, целевом бюджетном финансировании, предоставлении налоговых льгот; предприятиями и органами социального страхования, внебюджетными фондами при начислении и уплате страховых взносов, отчислений в Пенсионный фонд, Фонд занятости и т.д.; предприятиями и банками в процессе кредитования и погашения кредитов, при уплате процентов, при осуществлении прочих видов банковского обслуживания. Финансы предприятий обслуживают непрерывный кругооборот средств предприятия и источников их формирования, заключающийся в снабжении, производстве, сбыте, получении и распределении финансовых результатов (выручки, прибыли), привлечении и возврате заемных средств. В процессе кругооборота происходит непрерывное изменение структуры средств предприятия и их источников, определяемой как соотношение между элементами имущества и элементами формирующего его капитала. Структура средств предприятия складывается как пропорция между стоимостными величинами основных средств и других внеоборотных активов, запасов и затрат, денежных средств, расчетов и других оборотных активов. Структура источников имущества предприятия - это пропорция между стоимостными величинами источников собственных средств, долгосрочных кредитов и займов, краткосрочных кредитов и займов, расчетов с кредиторами и других краткосрочных пассивов. Каждый из перечисленных агрегатов соответственно имеет свою структуру, определяемую более мелкими элементами. Соотношение структуры средств предприятия и структуры источников их формирования в каждый фиксированный момент времени задает финансовое состояние предприятия, определение степени устойчивости которого является одной из наиболее важных задач финансового анализа. Операции, осуществляемые в ходе финансово-хозяйственного кругооборота и составляющие содержание процессов снабжения, производства, сбыта и т.д., непрерывно изменяют финансовое состояние предприятия. Совокупности однородных хозяйственных операций, воздействующих на финансы предприятия, образуют хозяйственные процессы. Их влияние на динамику финансового состояния и финансовых результатов предприятия, отражаемое в специфических системных экономических моделях, должно быть предметом исследования финансовой теории. Только на основе таких финансовых моделей может быть построена объективная, адекватная сложности финансово-хозяйственного кругооборота предприятия методика финансового анализа. [15, с.8] Основной целью финансового анализа является получение небольшого числа ключевых (наиболее информативных) параметров, дающих объективную и точную картину финансового состояния предприятия, его прибылей и убытков, изменений в структуре активов и пассивов, в расчетах с дебиторами и кредиторами. При этом аналитика и управляющего (менеджера) может интересовать как текущее финансовое состояние предприятия, так и его проекция на ближайшую или более отдаленную перспективу, т.е. ожидаемые параметры финансового состояния. [24, с.5] Но не только временные границы определяют альтернативность целей финансового анализа. Они зависят также от целей субъектов финансового анализа, т.е. конкретных пользователей финансовой информации. Что касается субъекта анализа, то до настоящего времени наиболее широко была распространена концепция, согласно которой аналитик - это человек, занимающийся аналитической работой и подготавливающий аналитические записки (отчеты, доклады, выводы, комментарии) для руководства, то есть линейных руководителей различного ранга, обладающих правом принятия управленческих решений. Вероятно такой подход был оправдан в прежние годы, поскольку линейные руководители были существенно ограничены в проведении многовариантных расчетов временным параметром и имеющимися в их распоряжении техническими счетными средствами. Следствие такого положения - полная неспособность некоторого числа линейных руководителей понять содержание основных отчетных форм, взаимосвязи между ними, принципы формирования и экономический смысл ряда приводимых в них показателей, возможности использования их в финансовом анализе. Согласно современным подходам субъектами анализа выступают, как непосредственно, так и опосредованно, заинтересованные в деятельности предприятия пользователи информации. В различных литературных источниках субъекты анализа разбиваются на две группы. К первой группе относятся собственники средств предприятия, заимодавцы (банки и др.), поставщики, клиенты (покупатели), налоговые органы, персонал предприятия и руководство. Каждый субъект анализа изучает информацию исходя из своих интересов. Так, собственникам необходимо определить увеличение или уменьшение доли собственного капитала и оценить эффективность использования ресурсов администрацией предприятия; кредиторам и поставщикам - целесообразность продления кредита, условия кредитования, гарантии возврата кредита; потенциальным собственникам и кредиторам - выгодность помещения в предприятие своих капиталов и т.д. Следует отметить, что только руководство (администрация) предприятия может углубить анализ отчетности, используя данные производственного учета в рамках управленческого анализа, проводимого для целей управления. Вторая группа - это субъекты анализа, которые хотя непосредственно и не заинтересованы в деятельности предприятия, но должны по договору защищать интересы первой группы пользователей отчетности. Это аудиторские фирмы, консультанты, биржи, юристы, пресса, ассоциации, профсоюзы. По моему мнению, такая классификация носит сильно обобщающий характер и несколько условна. Чтобы исправить эти недостатки, следовало бы провести деление субъектов по нескольким основаниям. Так, например, одним из таких оснований могла бы быть степень доступности субъектов к информации о деятельности анализируемого предприятия. Тогда можно было бы выделить следующие группы субъектов: 1). Субъекты неограниченного доступа - лица, имеющие доступ ко всей информации анализа, включая элементы планирования, прогнозирования и другую информацию, которая может составлять коммерческую тайну или ноу-хау. К ним относятся: собственники средств предприятия, отдельные представители персонала, руководство предприятия. 2). Субъекты формального доступа - лица, которые имеют право доступа ко всей информации касательно бухгалтерского учета и отчетностей. Как правило, они не имеют права разглашения информации, к которой имеют доступ. К этой группе относятся: заимодавцы, налоговые органы, аудиторские фирмы, консультанты. 3). Субъекты внешнего доступа - лица, имеющие доступ к финансовым отчетностям предприятия, а также к информации, публикуемой и оглашаемой, только с разрешения руководящих органов предприятия. В эту группу входят поставщики, клиенты, пресса, профсоюзы и т.д. Таким образом, из вышеизложенного видно, что не существует какой-либо одной универсальной классификации субъектов финансового анализа, и число таких классификаций может быть увеличено путем введения новых оснований. Финансовый анализ является частью общего, полного анализа хозяйственной деятельности, который состоит из двух тесно взаимосвязанных разделов: финансового анализа и производственного управленческого анализа. Разделение анализа на финансовый и управленческий обусловлено сложившимся на практике разделением системы бухгалтерского учета в масштабе предприятия на финансовый учет и управленческий учет. Такое разделение анализа несколько условно, потому что внутренний анализ может рассматриваться как продолжение внешнего анализа и наоборот. В интересах дела оба вида анализа подпитывают друг друга информацией. Особенностями управленческого анализа являются: ориентация результатов анализа на свое руководство; использование всех источников информации для анализа; отсутствие регламентации анализа со стороны; комплексность анализа, изучение всех сторон деятельности предприятия; интеграция учета, анализа, планирования и принятия решения; максимальная закрытость результатов анализа в целях сохранения коммерческой тайны. Финансовый анализ делится также на внутренний и внешний. Внутренний анализ проводится службами предприятия и его результаты используются для планирования, контроля и прогнозирования финансового состояния. Его цель - установить планомерное поступление денежных средств и разместить собственные и заемные средства таким образом, чтобы обеспечить нормальное функционирование предприятия, получение максимума прибыли и исключение банкротства. Особенностями внешнего финансового анализа являются: множественность субъектов анализа, пользователей информации о деятельности предприятия; разнообразие целей и интересов субъектов анализа; наличие типовых методик анализа, стандартов учета и отчетности; ориентация анализа только на публичную, внешнюю отчетность предприятия; ограниченность задач анализа как следствие предыдущего фактора; максимальная открытость результатов анализа для пользователей информации о деятельности предприятия. Внешний анализ осуществляется инвесторами, поставщиками материальных и финансовых ресурсов, контролирующими органами на основе публикуемой отчетности. Его цель - установить возможность выгодного вложить средства, чтобы обеспечить максимум прибыли и исключить риск потери. Следует отметить, что анализ, проводимый в данной работе, как раз и представляет собой внешний анализ, так как в основном базируется на данных финансовой отчетности. Методика внешнего финансового анализа представляет большой интерес для каждого предприятия не только для целей оценки потенциальных партнеров, но и для собственной самооценки, осуществляемой с точки зрения внешних пользователей бухгалтерской отчетности. Любому предприятию далеко не безразлично, по каким показателям будут оценивать его финансовую деятельность возможные контрагенты, акционеры, кредиторы. Финансовый анализ является существенным элементом финансового менеджмента и аудита. Практически все пользователи финансовых отчетов предприятий используют результаты финансового анализа для принятия решений по оптимизации своих интересов. Собственники анализируют финансовые отчеты для повышения доходности капитала, обеспечения стабильности предприятия. Кредиторы и инвесторы анализируют финансовые отчеты, чтобы минимизировать свои риски по займам и вкладам. Можно твердо говорить, что качество принимаемых решений целиком зависит от качества аналитического обоснования решения. Об интересе к финансовому анализу говорит тот факт, что в последние годы появилось много публикаций, посвященных финансовому анализу, активно осваивается зарубежный опыт финансового анализа и управления предприятиями, банками, страховыми организациями и т.д. Раскрывая сущность финансового анализа, необходимо также выяснить структуру и последовательность его осуществления. Как уже упоминалось выше, анализ, проводимый в данной работе, является преимущественно внешним. В связи с этим необходимо выделить следующие блоки анализа, составляющие его последовательность: 1) анализ финансового состояния предприятия: общая оценка финансового состояния и его изменения за отчетный период; анализ финансовой устойчивости предприятия; анализ ликвидности баланса; анализ финансовых коэффициентов; 2) анализ финансовых результатов деятельности предприятия: анализ уровня, структуры и динамики абсолютных показателей финансовых результатов; анализ рентабельности и деловой активности предприятия. Оценка финансового состояния и его изменения за отчетный период по сравнительному аналитическому балансу, а также анализ абсолютных показателей финансовой устойчивости составляют тот основной исходный пункт, из которого должны логически развиваться остальные блоки анализа финансового состояния. Анализ ликвидности баланса, исходя из анализа устойчивости, должен оценивать текущую платежеспособность и давать заключение о возможности сохранения финансового равновесия и платежеспособности в будущем. Анализ финансовых коэффициентов (т.е. относительных показателей финансового состояния) позволяет сопоставлять финансовое состояние данного предприятия с финансовыми состояниями конкурентов и со среднеотраслевыми пропорциями между финансовыми показателями предприятий, а также проводить исследование динамики финансового состояния за ряд отчетных периодов. Сравнительный аналитический баланс и абсолютные показатели финансовой устойчивости отражают сущность финансового состояния. Ликвидность баланса и относительные показатели (финансовые коэффициенты) характеризуют внешние проявления финансового состояния, которые обусловлены его сущностью. Углубление анализа на основе данных учета приводит к задачам, относящимся преимущественно к внутреннему анализу. Так, например, исследование факторов финансовой устойчивости вызывает необходимость внутреннего анализа запасов и затрат, а уточнение оценки ликвидности баланса производится с помощью внутреннего анализа состояния дебиторской и кредиторской задолженности. Анализ сущностных характеристик финансовых результатов заключается в исследовании уровня, структуры и динамики их абсолютных показателей. Углубление данного направления в рамках внутреннего анализа приводит к изучению и оценке факторов прибыли от реализации продукции (работ, услуг). Анализ внешних проявлений финансовых результатов происходит в ходе исследования относительных показателей рентабельности и деловой активности. Нормативные уровни данных показателей изучаются в камках внутреннего анализа оптимальных значений объемов производства, прибыли и издержек. При анализе динамики финансовых коэффициентов, вычисляемых на основе баланса, и относительных показателей рентабельности и деловой активности выясняются разнообразные взаимовлияния данных двух типов показателей между собой, отражающие тесную взаимосвязь финансового состояния и финансовых результатов деятельности предприятия, исследуются возможности укрепления устойчивости и повышения эффективности финансовой деятельности. Таким образом, на основе вышеизложенного материала можно сделать следующие заключения: финансовый анализ - деятельность, направленная на определение степени устойчивости и динамики финансового состояния предприятия, а также его перспектив; финансовое состояние - соотношение структуры средств предприятия и структуры источников их формирования; основная цель финансового анализа - получение небольшого числа ключевых (наиболее информативных) параметров, дающих объективную и точную картину финансового состояния предприятия, его прибылей и убытков, изменений в структуре активов и пассивов, в расчетах с дебиторами и кредиторами; субъекты финансового анализа - как непосредственно, так и опосредованно, заинтересованные в деятельности предприятия пользователи информации. Субъекты могут классифицироваться по различным основаниям, в качестве которых могут выступать степень заинтересованности в финансовых результатах деятельности предприятия, степень доступности субъектов к информации о деятельности предприятия и т.д.; финансовый анализ делится на внешний и внутренний - внутренний анализ проводится службами предприятия и его результаты используются для планирования, контроля и прогнозирования финансового состояния, а внешний осуществляется инвесторами, поставщиками материальных и финансовых ресурсов, контролирующими органами на основе публикуемой отчетности; структура финансового анализа состоит из двух больших блоков - анализа финансового состояния (основной источник информации - Форма №1 финансовой отчетности) и анализ финансовых результатов деятельности предприятия (основной источник - Форма №2). 1.2. Эволюция финансового анализа. При изучении литературы о финансовом анализе мною было выяснено, что финансовый анализ в своем современном виде появился сравнительно недавно. Поэтому, при рассмотрении эволюции финансового анализа, я посчитал необходимым также затронуть развитие экономического анализа, из которого финансовый анализ, собственно, и выделился. Искать истоки науки об экономическом анализе - дело в значительной степени бесполезное. Элементы аналитической функции присущи любой хозяйственной деятельности. В частности, анализ был составной частью системы манориального учета и аудита (системы учета и контроля в сельскохозяйственных поместьях) в феодальной Британии (ХII век). Следует отметить, что в отличие от аудита греческого и римского периодов особенностью британского средневекового аудита была нацеленность аудитора не только и не столько на инвентаризацию имущества и контроль счетов, но прежде всего на расчет результатов той или иной сделки. Нередки были случаи, когда счета корректировались, а сумма, за которую должен был отчитаться управляющий перед своим господином (лордом), увеличивалась. Налицо взаимосвязь учетной, контрольной и аналитической функций. Родоначальником систематизированного экономического анализа как составного элемента бухгалтерского учета, по-видимому, следует считать француза Жака Савари (1622-1690), который ввел понятие синтетического и аналитического учета (его же по праву считают предтечей управленческого учета и науки об управлении предприятием). Безусловно, становление и использование элементов экономического анализа наблюдались в то время и в других странах, в частности в Италии, Так, А. Ди Пиетро пропагандировал методологию сравнения последовательных бюджетных ассигнований с фактическими затратами; Б. Вентури строил и анализировал динамические ряды показателей хозяйственной деятельности предприятия за десять лет. Идеи Савари были углублены в ХIХ веке итальянским бухгалтером Джузеппе Чербони (1827-1917), который создал учение о синтетическом сложении и аналитическом разложении бухгалтерских счетов. В конце ХIХ - начале ХХ вв. появилось оригинальное понятие в учете - балансоведение. Оно развивалось по трем основным направлениям: экономический анализ баланса, юридический анализ баланса, популяризация знаний о балансе среди пользователей. Первое направление развивали И. Шер, П. Герстнер и Ф. Ляйтнер. В частности, Герстнер ввел понятия аналитических характеристик баланса: о соотношении кратко- и долгосрочных обязательств, установлении верхнего предела заемных средств в размере 50% авансированного капитала, взаимосвязи финансового состояния и ликвидности и др. Основной вклад в развитие второго направления внесли Р. Байгель, Э. Ремер, К. Порциг и другие ученые. В рамках этого направления были позднее разработаны теория и практика бухгалтерской ревизии. Третье направление также разрабатывалось преимущественно немецкими учеными: Брозиусом, Губером, Шенвандтом и др. [12, с.50] В России расцвет науки об анализе баланса приходится на первую половину ХХ века. А.К. Рощаховский (1910 г.) по праву считается первым русским бухгалтером, по настоящему оценившим роль экономического анализа и его взаимосвязь с бухгалтерским учетом. В 20-е годы теория балансоведения, в частности методика анализа баланса, была окончательно сформулирована в трудах А.П. Рудановского, Н.А. Блатова, И.Р. Николаева и др. В конце ХIХ - начале ХХ вв. активно развивается и наука о коммерческих вычислениях. Анализ баланса и коммерческие вычисления и составили, таким образом, суть финансового анализа. По мере строительства планового социалистического хозяйства в Советском Союзе финансовый анализ сравнительно быстро был трансформирован в анализ хозяйственной деятельности. Произошло это путем естественного (в рамках социалистической экономики) принижения роли коммерческих вычислений, усиления контрольной функции, доминирования анализа отклонений фактических значений показателей от плановых, снижения значимости баланса как инструмента финансового управления. Анализ все более и более отделялся от бухгалтерского учета, его финансовая природа выхолащивалась; по сути он превращался в технико-экономический анализ (анализ показателей производства, реализации, труда и заработной платы и др.), которым не занимался по-настоящему никто: ни бухгалтеры (поскольку это не входит в сферу их деятельности, да и не представляет профессионального интереса), ни менеджеры (нет времени). Суть такого анализа состояла в реализации схемы “план-факт”, а собственно анализ по существу был заменен контролем. Такой анализ был ретроспективным по своей природе, а следовательно, мало полезным. Ведущаяся в рамках перестройки экономики на рыночные рельсы трансформация бухгалтерского учета (начало 90-х годов) вновь вернула к жизни такой важнейший элемент аналитической работы, как финансовый анализ. В его основе лежат анализ и управление финансовыми ресурсами субъекта хозяйствования как основным и приоритетным видом ресурсов. Основными исполнителями такого анализа стали бухгалтеры и финансовые менеджеры. Важно отметить, что анализ хозяйственной деятельности, понимаемый как технико-экономический анализ, не отменяется - просто он становится прерогативой линейных руководителей. Во втором разделе данной работе проводится анализ финансового состояния, основанный на методике внешнего финансового анализа, т.е. анализа на основе финансовой отчетности. Поэтому необходимо затронуть исторические аспекты возникновения систематизированного анализа финансовой отчетности (САФО), которым в литературе уделяется сравнительно мало внимания. Несмотря на то что оценка финансового состояния предприятия в том или ином виде проводилась менеджерами, вероятно, с незапамятных времен, обособление систематизированного анализа отчетности в отдельный раздел финансового анализа произошло сравнительно недавно - в конце ХIХ в. Именно в это время в западной учетно-аналитической практике в приложении к отчету железнодорожного транспорта появились первые расчеты некоторых относительных показателей, характеризующих ликвидность компаний и эффективность затрат. В настоящее время западными специалистами (например Дж.О. Хорриган) выделяется пять относительно самостоятельных подходов в становлении и развитии САФО. Очевидно, что такое деление является достаточно условным - в той или иной степени эти подходы пересекаются и взаимодополняют друг друга. [12, с.55] Первый подход связан с деятельностью так называемой “школы эмпирических прагматиков” (Empirical Pragmatists School). Ее представители - профессиональные аналитики, которые, работая в области анализа кредитоспособности компаний, пытались обосновать набор относительных показателей, пригодных для такого анализа. Таким образом, их цель состояла в отборе таких индикаторов, которые могли бы помочь аналитику ответить на вопрос: сможет ли компания расплатиться по своим краткосрочным обязательствам? Этот аспект анализа деятельности компании рассматривался ими как наиболее важный, именно поэтому все аналитические выкладки строились на использовании показателей, характеризующих оборотные средства, собственный оборотный капитал, краткосрочную кредиторскую задолженность. Наиболее удачливые представители этой школы сумели убедить компании, специализирующиеся в оценке, анализе и управлении финансовыми ресурсами и кредитной политикой, в целесообразности такого подхода. В качестве примера можно привести разработки Роберта Фоулка, сделанные им в начале 50-х годов для крупнейшей в мире информационной компании “Дан энд Брэдстрит” (The Dun & Bradstreet Corporation). (Эта компания, основанная в 1841 г., имеет в своем банке данных сведения о 30 млн. компаний мира; объем продаж составляет около 5 млрд. дол. в год) Основным вкладом представителей этой школы в разработку теории САФО, по мнению Пола Барнса, является то, что они впервые попытались показать многообразие аналитических коэффициентов, которые могут быть рассчитаны по данным бухгалтерской отчетности и являются полезными для принятия управленческих решений финансового характера. Второй подход обусловлен деятельностью школы “статистического финансового анализа” (Ratio Statisticians School). Появление этой школы связывают с работой Александра Уолла, посвященной разработке критериев кредитоспособности и опубликованной в 1919 г. Основная идея представителей этой школы заключалась в том, что аналитические коэффициенты, рассчитанные по данным бухгалтерский отчетности, полезны лишь в том случае, если существуют критерии, с пороговыми значениями которых эти коэффициенты можно сравнивать. Разработку подобных нормативов для коэффициентов предполагалось делать в разрезе отраслей, подотраслей и групп однотипных компаний путем обработки распределений этих коэффициентов с помощью статистических методов. Обоснованное обособление однотипных компаний в страты, для каждой из которых могли бы быть разработаны индивидуальные аналитические нормативы, было одной из основных задач, обсуждаемых представителями школы. Начиная с 60-х годов, в рамках этого направления проводятся исследования, посвященные коллинеарности и устойчивости коэффициентов. В частности, исследования показали, что коэффициентам характерна временная и пространственная мультиколлинеарность, что обусловило появление новой актуальной задачи - классификации всей совокупности коэффициентов на группы: показатели одной и той же группы коррелируют между собой, но показатели разных групп относительно независимы. Третий подход ассоциируется с деятельностью школы “мультивариантных аналитиков” (Multivariate Modellers School). Представители этой школы исходят из идеи построения концептуальных основ САФО, базирующихся на существовании несомненной связи частных коэффициентов, характеризующих финансовое состояние и эффективность текущей деятельности компании (например, валовой доход, оборачиваемость средств в активах,, запасах, расчетах и др.), и обобщающих показателей финансово-хозяйственной деятельности (например, рентабельность авансированного капитала). Это направление связано с именами Джеймса Блисса, Артура Винакора и др., работавших над этой проблемой в 20-е годы. Основную задачу представители этой школы видели в построении пирамиды (системы) показателей. Определенное развитие это направление получило в 70-е годы в рамках построения компьютерных имитационных моделей взаимосвязи аналитических коэффициентов и рыночной цены акций. Четвертый подход связан с появлением “школы аналитиков, занятых прогнозированием возможного банкротства компаний” (Distress Predictors School). В отличие от первого подхода представители этой школы делают в анализе упор на финансовую устойчивость компании (стратегический аспект), предпочитая перспективный анализ ретроспективному. По их мнению, ценность бухгалтерской отчетности определяется исключительно ее способностью обеспечить предсказуемость возможного банкротства. Первые попытки анализа деятельности фирм-банкротов были предприняты в 30-е годы А. Винакором и Рэймондом Смитом; в наиболее законченном виде методика и техника прогнозирования банкротства представлены в работах Эдварда Альтмана. Наконец, пятый подход, представляющий собой самое новое по времени появления направление в рамках САФО, развивается с 60-х годов представителями школы “участников фондового рынка” (Capital Marketers School). Так, по мнения Джорджа Фостера, ценность отчетности состоит в возможности ее использования для прогнозирования уровня эффективности инвестирования в те или иные ценные бумаги и степени связанного с ним риска. Ключевое отличие этого направления от вышеописанных состоит в его излишней теоретизированности; не случайно оно развивается главным образом учеными и пока еще не получило признания у практиков. Что касается дальнейших перспектив развития САФО, то его связывают прежде всего с разработкой новых аналитических коэффициентов, а также с расширением информационной базы анализа. Достаточно очевидно, что аналитические расчеты, в особенности перспективного характера, не могут быть выполнены по данным только бухгалтерской отчетности, аналитические возможности которой, безусловно, ограничены. Как видим из истории, финансовый анализ, в той или иной его форме, проводится аналитиками очень давно, и в этой области человечеством накоплен достаточно большой опыт. Конечно не все положения применимы в современной ситуации, так как экономика развивается вместе с человечеством, усложняясь и трансформируясь. Однако накопленной на сегодня информации достаточно для проведения финансового анализа любой сложности и для разработки качественно новых методик. 1.3. Информационная основа финансового анализа. При изучении литературы касательно вопроса об источниках информации для проведения финансового анализа мною были поставлены следующие задачи: 1). Определить, какие документы являются основными источниками для проведения финансового анализа; 2). Охарактеризовать данные документы, их преимущества и недостатки; 3). Определить основные требования к источникам информации финансового анализа. Результативность управления предприятием в значительной степени определяется уровнем его организации и качеством информационного обеспечения. Особое значение в качестве информационной основы финансового анализа имеют бухгалтерские данные, а отчетность становится основным средством коммуникации, обеспечивающим достоверное представление информации о финансовом состоянии предприятия. Причин тому несколько, основная из них состоит в изменении форм собственности. Этот процесс, наиболее динамично развивающийся в сфере обращения, вполне естественно привел к разрушению многих вертикальных связей и последовавшей за этим информационной обособленности предприятий. Основными, наиболее доступными и компактными источниками информации для анализа финансового состояния предприятия служат формы финансовой отчетности №1,2,3, а если анализ проводят внутренние пользователи, то еще и данные текущего бухгалтерского учета. В состав квартальной отчетности входят: баланс предприятия, (форма №1) и отчет о финансовых результатах и их использовании (форма №2). Годовая финансовая отчетность включает три типовые формы: форма №1, форма №2, форма №3 - отчет о финансово-имущественном состоянии предприятия и пояснительную записку. Эти формы составляются путем подсчета, группировки и специализированной обработки данных текущего бухгалтерского учета и являются завершающей его стадией. Основным источником информации для финансового анализа служит бухгалтерский баланс предприятия (Форма №1 годовой и квартальной отчетности), дающий своеобразный “моментальный снимок” финансового состояния на начало и конец отчетного периода. Его значение в данном отношении настолько велико, что анализ финансового состояния нередко называют анализом баланса. Хотя углубленный анализ финансового состояния всегда предполагал использование и других форм годового отчета, а также данных бухгалтерского учета, бухгалтерский баланс играет определяющую роль. Логика и характер задач анализа финансового состояния тесно взаимосвязаны с формой и структурой бухгалтерского баланса, составом разделов и статей его актива и пассива. Однако это не означает, конечно, что форма баланса определяет логику и задачи анализа. Бухгалтерский баланс обобщенно отражает хозяйственные средства предприятия в денежной оценке на определенную дату, сгруппированные по их составу и источникам образования. Поэтому бухгалтерский баланс, в сущности, является практически используемой системной моделью, обобщенно отражающей кругооборот средств предприятия и финансовые отношения , в которые вступает предприятие в ходе этого кругооборота. [15, с.19] Источником данных для анализа финансовых результатов является отчет о финансовых результатах и их использовании (Форма № 2 годовой и квартальной отчетности). Чем удобны такие источники информации для финансового анализа? В первую очередь тем, что можно не подготавливая данные для анализа уже на основании баланса предприятия (Форма №1) и (Форма №2 ) сделать сравнительный экспресс анализ показателей отчетности предприятия за предыдущие периоды. Во-вторых: с появлением специальных автоматизированных бухгалтерских программ для анализа финансового состояния предприятия, удобно сразу после составления форм отчетности не выходя из программы произвести на основании готовых форм бухгалтерской отчетности с помощью встроенного блока финансового анализа простейший экспресс анализ предприятия. Финансовый анализ, основывающийся на данных только бухгалтерской отчетности, приобретает характер внешнего анализа, т.е. анализа, проводимого за пределами предприятия его заинтересованными контрагентами, собственниками или государственными органами. Этот анализ на основе только отчетных данных, которые содержат лишь весьма ограниченную часть информации о деятельности предприятия, не позволяет раскрыть всех секретов успеха или неудач фирмы, однако внешним пользователям отчетности становится возможным достаточно объективно оценивать финансовое состояние предприятия, его деловую активность и рентабельность, не используя информацию, являющуюся коммерческой тайной. Существует многообразная экономическая информация о деятельности предприятий и множество способов анализа этой деятельности. Финансовый анализ по данным финансовой отчетности называют классическим способом анализа. Внутрихозяйственный финансовый анализ использует в качестве источника информации данные о технической подготовке производства, нормативную и плановую информацию и другие данные системного бухгалтерского учета. Любое предприятие в той или иной степени постоянно нуждается в дополнительных источниках финансирования. Найти их можно на рынке капиталов, привлекая потенциальных инвесторов и кредиторов путем объективного информирования их о своей финансово-хозяйственной деятельности, то есть в основном с помощью финансовой отчетности. Насколько привлекательны опубликованные финансовые результаты, показывающие текущее и перспективное финансовое состояние предприятия, настолько высока и вероятность получения дополнительных источников финансирования. Основное требование к информации, представленной в отчетности заключается в том, чтобы она была полезной для пользователей, т.е. чтобы эту информацию можно было использовать для принятия обоснованных деловых решений. Чтобы быть полезной, информация должна отвечать соответствующим критериям: 1). Уместность - означает, что данная информация значима и оказывает влияние на решение, принимаемое пользователем. Информация считается также уместной, если она обеспечивает возможность перспективного и ретроспективного анализа. 2). Достоверность информации определяется ее правдивостью, преобладания экономического содержания над юридической формой, возможностью проверки и документальной обоснованностью. Информация считается правдивой, если она не содержит ошибок и пристрастных оценок, а также не фальсифицирует событий хозяйственной жизни. 3). Нейтральность - предполагает, что финансовая отчетность не делает акцента на удовлетворение интересов одной группы пользователей общей отчетности в ущерб другой. 4). Понятность - означает, что пользователи могут понять содержание отчетности без специальной профессиональной подготовки. 5). Сопоставимость - требует, чтобы данные о деятельности предприятия были сопоставимы с аналогичной информацией о деятельности других фирм. В ходе формирования отчетной информации должны соблюдаться определенные ограничения на информацию, включаемую в отчетность: 1). Оптимальное соотношение затрат и выгод, означающее, что затраты на составление отчетности должны разумно соотноситься с выгодами, извлекаемыми предприятием от представления этих данных заинтересованным пользователям. 2). Принцип осторожности (консерватизма) предполагает, что документы отчетности не должны допускать завышенной оценки активов и прибыли и заниженной оценки обязательств. 3). Конфиденциальность требует, чтобы отчетная информация не содержала данных, которые могут нанести ущерб конкурентным позициям предприятия. По сфере доступности информацию можно разделить на открытую и закрытую (секретную). Информация, содержащаяся в бухгалтерской и статистической отчетности, выходит за пределы хозяйствующего субъекта и является открытой информацией. Каждый хозяйствующий субъект разрабатывает свои плановые показатели, нормы, нормативы, тарифы, лимиты, систему их оценки и регулирования финансовой деятельности. Эта информация составляет его коммерческую тайну, а иногда и “ноу-хау”. [6, с.412] В заключение, на основе поставленных задач, можно сделать следующие выводы: - основными источниками информации анализа финансового состояния являются: Форма №1 и Форма №2 квартальной и годовой отчетности, Форма № 3 годовой отчетности, данные внутреннего учета, планирования и прогнозирования; - Форма №1 - “Баланс предприятия” - дает основную информацию для анализа финансового состояния на начало и конец отчетного периода, а также его динамики за один или ряд отчетных периодов; - Форма №2 - “Отчет о финансовых результатах предприятия” дает информацию о финансовых результатах деятельности за отчетный период; - основными требования к источникам информации, используемым в финансовом анализе, являются: уместность, достоверность, нейтральность, понятность, сопоставимость; - по сфере доступности информация делится на открытую (формы финансовой отчетности) и закрытую (информация внутреннего учета и планирования) или секретную. 1.4. Методы финансового анализа. В литературных источниках о финансовом анализе приводятся самые различные методы финансового анализа и их классификации. Их можно разбить на три основные группы: 1). Методы, прямо или косвенно заимствованные из других наук; 2). Модели, используемые при проведении финансового анализа; 3). Методы чтения финансовой отчетности. В соответствии с этой структурой мною и будет изложен данный вопрос. Существуют различные классификации методов, которые могут быть применимы в финансовом анализе. Первый уровень классификации выделяет неформализованные и формализованные методы анализа. Первые основаны на описании аналитических процедур на логическом уровне, а не на строгих аналитических зависимостях. К ним относятся методы: экспертных оценок, сценариев, психологические, морфологические, сравнения, построения систем показателей, построения систем аналитических таблиц и т.п. Применение этих методов характеризуется определенным субъективизмом, поскольку большое значение имеют интуиция, опыт и знания аналитика. Ко второй группе относятся методы, в основе которых лежат достаточно строгие формализованные аналитические зависимости. Известны десятки этих методов; они составляют второй уровень классификации. Перечислим некоторые из них. [12, с.58] Классические методы анализа хозяйственной деятельности и финансового анализа: цепных подстановок, арифметических разниц, балансовый, выделения изолированного влияния факторов, процентных чисел, дифференциальный, логарифмический, интегральный, простых и сложных процентов, дисконтирования. Традиционные методы экономической статистики: средних и относительных величин, группировки, графический, индексный, элементарные методы обработки рядов динамики. Математико-статистические методы изучения связей: корреляционный анализ, регрессионный анализ, дисперсионный анализ, факторный анализ, метод главных компонент, ковариационный анализ, метод объекто-периодов, кластерный анализ и др. Эконометрические методы: матричные методы, гармонический анализ, спектральный анализ, методы теории производственных функций, методы теории межотраслевого баланса. Методы экономической кибернетики и оптимального программирования: методы системного анализа, методы машинной имитации, линейное программирование, нелинейное программирование, динамическое программирование, выпуклое программирование и др. Методы исследования операций и теории принятия решений: методы теории графов, метод деревьев, методы байесовского анализа, теория игр, теория массового обслуживания, методы сетевого планирования и управления. Безусловно, не все из перечисленных методов могут найти непосредственное применение в рамках финансового анализа, поскольку основные результаты эффективного анализа и управления финансами достигаются с помощью специальных финансовых инструментов, тем не менее некоторые их элементы уже используются. В частности, это относится к методам дисконтирования, машинной имитации, корреляционно-регрессионного анализа, факторного анализа, обработки рядов динамики и др. Финансовый анализ проводится с помощью различного типа моделей, позволяющих структурировать и идентифицировать взаимосвязи между основными показателями. Можно выделить три основных типа моделей: дескриптивные, предикативные и нормативные. [12, с.59] Дескриптивные модели, известные также, как модели описательного характера, являются основными для оценки финансового состояния предприятия. К ним относятся: построение системы отчетных балансов, представление финансовой отчетности в различных аналитических разрезах, вертикальный и горизонтальный анализ отчетности, система аналитических коэффициентов, аналитические записки к отчетности. Все эти модели основаны на использовании информации бухгалтерской отчетности. Анализ, проводимый во втором разделе данной работы и будет представлять собой построение дескриптивной модели. Предикативные модели - это модели предсказательного, прогностического характера. Они используются для прогнозирования доходов предприятия и его будущего финансового состояния. Наиболее распространенными из них являются: расчет точки критического объема продаж, построение прогностических финансовых отчетов, модели динамического анализа (жестко детерминированные факторные модели и регрессионные модели), модели ситуационного анализа. Нормативные модели. Модели этого типа позволяют сравнить фактические результаты деятельности предприятий с ожидаемыми, рассчитанными по бюджету. Эти модели используются в основном во внутреннем финансовом анализе. Их сущность сводится к установлению нормативов по каждой статье расходов по технологическим процессам, видам изделий, центрам ответственности и т.п. и к анализу отклонений фактических данных от этих нормативов. Анализ в значительной степени базируется на применении жестко детерминированных факторных моделей. Основной принцип аналитического чтения финансовых отчетов - это дедуктивный метод, то есть от общего к частному, но он должен применяться многократно. В ходе такого анализа как бы воспроизводится историческая и логическая последовательность хозяйственных фактов и событий, направленность и сила влияния их на результаты деятельности. [15, с.5] Практика финансового анализа уже выработала основные виды анализа (методику анализа) финансовых отчетов. Среди них можно выделить 6 основных методов: горизонтальный (временной) анализ - сравнение каждой позиции отчетности с предыдущим периодом; вертикальный (структурный) анализ - определение структуры итоговых финансовых показателей с выявлением влияния каждой позиции отчетности на результат в целом; трендовый анализ - сравнение каждой позиции отчетности с рядом предшествующих периодов и определение тренда, т.е. основной тенденции динамики показателя, очищенной от случайных влияний и индивидуальных особенностей отдельных периодов. С помощью тренда формируют возможные значения показателей в будущем, а следовательно, ведется перспективный прогнозный анализ; анализ относительных показателей (коэффициентов) - расчет отношений между отдельными позициями отчета или позициями разных форм отчетности, определение взаимосвязей показателей; сравнительный (пространственный) анализ - это как внутрихозяйственный анализ сводных показателей отчетности по отдельным показателям предприятия, филиалов, подразделений, цехов, так и межхозяйственный анализ показателей данного предприятия в сравнении с показателями конкурентов, со среднеотраслевыми и средними хозяйственными данными; факторный анализ - анализ влияния отдельных факторов (причин) на результативный показатель с помощью детерминированных или стохастических приемов исследования. Причем факторный анализ может быть как прямым (собственно анализ), когда результативный показатель дробят на составные части, так и обратным (синтез), когда его отдельные элементы соединяют в общий результативный показатель. В заключение следует сказать, что не все методы и модели, изложенные выше, будут использованы мною в данной работе в ходе анализа финансового состояния. Это объясняется ограниченностью информации, которая имеется в распоряжении, а также тем, что анализ будет преимущественно внешним. В ходе анализа будет использоваться дескриптивная модель, т.е. модель описательного характера, в рамках которой применимы следующие методы и направления анализа: 1). Вертикальный и горизонтальный анализ отчетности - выражением данного метода будет построение сравнительного аналитического баланса; 2). Построение системы аналитических коэффициентов, на основе которых будут рассматриваться финансовая устойчивость, ликвидность; 3). Факторный анализ - определение степени влияния отдельных составляющих показателя на его величину - будет проводиться при рассмотрении структуры активов и пассивов, выручки от реализации; 4). Анализ рентабельности - показатели этой группы будут использоваться для оценки общей эффективности вложения средств в данное предприятие.
РАЗДЕЛ II. Анализ финансового состояния производственно-коммерческого объединения “Южкомсервис”. 2.1. Организационная и технико-экономическая характеристика производственно-коммерческого объединения “Южкомсервис”. Производственно-коммерческое объединение “Южкомсервис” создано на основе объединения средств его учредителей с целью ведения совместной хозяйственно-коммерческой деятельности в соответствии с Законами Украины “О предприятиях”, “О предпринимательстве”, “О собственности”. Данное объединение зарегистрировано 6 мая 1996 года в Комитете по экономике Исполнительного комитета алуштинского городского Совета Народных Депутатов. Состав учредителей: - общество с ограниченной ответственностью “Форма”, - малое частное предприятия “Кара-Дениз”. Юридический адрес объединения: г.Алушта, пер. Туристов, 2а. Цель создания - осуществление рыночных взаимоотношений и получение прибыли на основе удовлетворения потребностей граждан, юридических лиц в производимой продукции и товарах, выполняемых работах и оказываемых услугах в сферах, определяемых предметом деятельности. Объединение является юридическим лицом с момента государственной регистрации, имеет самостоятельный баланс, расчетный счет в банковском учреждении, а также является самостоятельным субъектом хозяйственной деятельности, выступает от своего имени истцом и ответчиком в суде. Имущество объединения образуется за счет: - целевых вкладов и вступительных взносов, которые могут вноситься как денежными средствами, так и имуществом; - доходов от собственной деятельности; - других поступлений, не запрещенных законодательством. Руководящим органом объединения является Совет директоров и Исполнительная дирекция. Общее собрание представителей членов объединения принимает Устав, избирает председателя Совета директоров, его членов сроком на три года. Члены Совета директоров и председатель исполняют свои обязанности по совместительству с основной служебной деятельностью. Председатель Совета директоров имеет право представлять объединение в государственных и общественных органах и организациях, а также предприятиях и других учреждениях, а также в органах суда и арбитража. Производственно-коммерческое объединение “Южкомсервис” имеет право: - самостоятельно разрабатывать, утверждать и реализовывать хозяйственные и социальных программы совместной деятельности субъектов объединения с учетом их планов социально-экономического развития; - заключать договора, пользоваться кредитом банка, создавать совместные предприятия, в том числе с иностранными партнерами; - по совместному решению субъектов объединения может в отдельных случаях компенсировать затраты или убытки входящих в состав его структур, возникших при реализации задач объединения и вызванные действием объективных факторов; - самостоятельно устанавливать порядок распределения вновь созданных ценностей и услуг, исходя из решений его задач и целей. Что касается, предмета деятельности, то в Уставе перечислено 24 направления, включающих практически все виды деятельности, которые могут осуществляться на территории Украины. Это, по видимому, сделано с целью избежать различных юридических проблем и волокит, которые имеют место при внесении изменений в Устав, в случае изменения направлений деятельности объединения в будущем. Основными видами деятельности, осуществляемыми объединением в настоящем, являются: - координация хозяйственной деятельности входящих в объединение предприятий; - закупка и реализация продовольственных товаров (реализация осуществляется мелким оптом преимущественно предприятиям и организациям сферы отдыха и курортного обслуживания); - закупка и реализация строительных материалов (реализация осуществляется как оптом, так и в розницу). В настоящем времени в составе деятельности объединения преобладает закупка и реализация цемента. Основная схема работы приведена на рисунке 2.1.
Рис. 2.1. Схема осуществления закупки и реализации цемента производственно-коммерческого объединения “Южкомсервис”. Объединение является официальным дилером Криворожского цементного комбината по Крыму, а также имеет договорные отношения с другими поставщиками цемента юго-восточных областей Украины. Для железнодорожных перевозок используются услуги Приднепровской железной дороги, а в качестве основного автоперевозчика выступает один из учредителей объединения - общество с ограниченной ответственностью “Форма”. В течение летнего сезона объединением осуществляется также закупка продовольственных товаров и их последующая реализация в гостиницы, пансионаты, детские лагеря, базы отдыха, санатории и другие предприятия санаторно-курортного типа. В ассортимент таких товаров в основном входят: мука, овощи и фрукты, консервы, соки и напитки. Основные пики объемов реализации приходятся на следующие периоды: - июнь-сентябрь - реализация продовольственных товаров (в остальное время года объединение не занимается данной группой товаров вообще); - март-май - реализация строительных материалов (это связано с подготовкой к курортному сезону как со стороны курортных предприятий, так и со стороны частного сектора. В остальные месяцы объем реализации несколько ниже и находится на одинаковом уровне). По сфере деятельности данное производственно-коммерческое объединение можно отнести к типу торгово-посреднических предприятий. Прибыль в основном формируется как вознаграждение, получаемое за организацию закупки и доставки названных ранее товаров. Ее валовую величину в общем случае можно высчитать путем уменьшения размера выручки от реализации на величину стоимости закупки товаров, транспортных расходов, расходов на содержание персонала и других издержек. Для анализа финансового состояния в качестве отчетного периода взят 1998 год, формы годовой финансовой отчетности за который и будут использоваться в ходе аналитической работы. По размеру выручки, величине имущества и количеству занятых (5 человек) объединение можно отнести к числу малых предприятий. Общие показатели деятельности объединения приведены в табл. 2.1. Таблица 2.1 Основные показатели деятельности производственно-коммерческого объединения “Южкомсервис” (в грн.)
Таким образом, в заключение можно сказать, что производственно-коммерческое объединение “Южкомсервис”, анализ финансового состояния которого будет проводиться в данной работе, по основным своим показателям деятельности и количеству работников является хозяйствующим субъектом малого типа. Следует отметить, что такая форма организации деятельности типична для многих предприятий города Алушты, занимающихся торгово-посреднической деятельностью, оказанием услуг и основанных на частном капитале. Небольшие денежные обороты, отсутствие расходов на содержание многочисленного персонала позволили таким предприятиям гибко ориентировать свою деятельность в сложных, меняющихся экономических условиях, несмотря на инфляцию, неплатежи и другие отрицательные факторы. Анализ, проводимый в последующих главах данного раздела позволит выявить положительные и отрицательные элементы деятельности в области финансов и дать рекомендации руководству объединения по поводу улучшения финансового состояния. 2.2. Общая оценка финансового состояния и его изменения за отчетный период. Основным исходным моментом для современной методики анализа финансового состояния является форма бухгалтерского баланса. В таблице 2.2 приведена форма баланса в агрегированном виде, а также условные обозначения итоговых величин по разделам баланса и некоторым наиболее важным группам статей внутри разделов. Таблица 2.2 Баланс объединения (в агрегированном виде)
Обозначения из таблицы будут использованы ниже при записи формул преобразований и показателей анализа. Различные значения показателей на начало и конец периода различаются с помощью специального индекса или аргумента времени, например F1, F2 или F(t1), F(t2). Коды строк актива и пассива полной формы баланса также будут использоваться при описании алгоритмов анализа. Наиболее полную и глубокую информацию о финансовом состоянии и его динамике можно получить при помощи построения на основе баланса предприятия специального сравнительного аналитического баланса. Впервые понятие и общая форма сравнительного аналитического баланса были предложены одним из создателей балансоведения Н.А. Блатовым в 20-е годы. Сравнительный аналитический баланс строится на основе бухгалтерского баланса путем дополнения его показателями структуры, динамики и структурной динамики вложений и источников средств предприятия за отчетный период. По замыслу Н.А. Блатова, эта специальная аналитическая таблица должна была давать “общую картину всех изменений в абсолютных и сравнительных величинах статей и групп баланса”. Сравнительный аналитический баланс замечателен тем, что он сводит воедино и систематизирует те расчеты и прикидки, которые обычно осуществляет любой аналитик при так называемом чтении баланса, т.е. первоначальном ознакомлении с балансом. Схемой сравнительного баланса охвачено множество важных показателей, характеризующих статику и динамику финансового состояния. Сравнительный баланс фактически включает показатели горизонтального и вертикального анализа, активно используемые в практике капиталистических фирм. В ходе горизонтального анализа определяются абсолютные и относительные изменения величин различных статей баланса за определенный период, а целью вертикального анализа является вычисление удельного веса отдельных статей в итоге баланса. [24, с.45] Все показатели сравнительного баланса можно разбить на три группы: показатели структуры баланса; показатели динамики баланса; показатели структурной динамики баланса. В таблицах 2.3 и 2.4 представлены актив и пассив сравнительного аналитического баланса, составленного на основе данных отчетности производственно-коммерческого объединения “Южкомсервис”. Рассмотрим его подробное описание по графам аналитической таблицы. Таблица 2.3 Актив сравнительного аналитического баланса производственно-коммерческого объединения “Южкомсервис” (в грн.)
Таблица 2.4 Пассив сравнительного аналитического баланса производственно-коммерческого объединения “Южкомсервис” (в грн.)
В графе 1 таблиц 2.3 и 2.4 указаны статьи и разделы актива и пассива баланса предприятия. Для того чтобы отразить главные, существенные черты финансового состояния, набор статей баланса может быть сильно агрегирован, вплоть до рассмотрения в первую очередь итогов разделов актива и пассива с выделением в некоторых разделах итогов больших групп однородных статей. Для описания алгоритма расчета сравнительного аналитического баланса используются следующие обозначения: ai(t1), ai(t2) - значения по i-й статье актива баланса предприятия на начало и конец отчетного периода; pj(t1), pj(t2) - аналогично для статей пассива баланса; B(t1), B(t2) - итог баланса предприятия. В качестве величин ai, pj могут выступать также итоги групп статей или разделов баланса. В графах 2 и 3 отражаются абсолютные величины статей (или итогов их групп и разделов) актива и пассива баланса на начало и конец отчетного периода: a1(t1), pj(t1); ai(t2), pj(t2), i є I, j є J, где I, J - множества индексов статей актива и пассива. В графах 4 и 5 отражены удельные веса величин статей в итоге баланса на начало и конец отчетного периода:
Здесь для упрощения записи не указывается аргумент начала и конца отчетного периода. В графе 6 показаны изменения абсолютных величин статей за отчетный период:
В графе 7 показаны изменения удельных весов величин статей за отчетный период:
В графе 8 показаны изменения абсолютных величин статей в процентах к величинам на начало периода:
В графе 9 показаны изменения абсолютных величин статей в процентах к изменению итога баланса:
Для детализации общей картины изменения финансового состояния таблица, аналогичная сравнительному аналитическому балансу, может быть построена для каждого из разделов актива и пассива баланса. Так, например, может быть построена отдельная таблица для анализа структуры и динамики состояния запасов и затрат; анализа структуры и динамики основных средств и прочих внеоборотных активов, дебиторской задолженности, денежных средств и краткосрочных финансовых вложений, источников собственных средств, долгосрочных пассивов, краткосрочных кредитов и займов, кредиторской задолженности и прочих краткосрочных пассивов. На основе табл. 2.3, 2.4 и подобных им проводится общий обзор изменения финансового состояния за отчетный период. Для приведенных в таблицах данных можно сделать следующее аналитическое заключение. За отчетный период имущество производственно-коммерческого объединения “Южкомсервис” увеличилось на 6900 грн., составив в конце периода 12300 грн. Данное изменение было обусловлено исключительно ростом оборотных (мобильных) средств. За весь период абсолютный размер основных средств и прочих внеоборотных активов не изменялся, однако удельный вес снизился на 17,7% и составил 13,8%. Удельный вес запасов и затрат возрос на 7,7%, составив 70,7%. На 13,5% возрос к концу отчетного периода удельный вес дебиторской задолженности и прочих оборотных активов, равнявшийся к концу периода 15,4%. Основная доля дебиторской задолженности приходится на расчеты с бюджетом. Действительно, если посмотреть данные отчета о финансовых результатах, то можно обнаружить, что величина уплаченного в бюджет налога на добавленную стоимость на 1600 грн. превышает величину, надлежащую уплате по расчету. Это связано с большими закупками товара в конце отчетного периода, что привело к уменьшению удельного веса денежных средств на 3,7% и к их отсутствию в конце периода. Увеличение имущества предприятия на 6900 грн. было обеспечено ростом собственных средств на 1,4%, а на 98,6% покрывалось увеличением обязательств предприятия. Несмотря на рост источников собственных средств на 100 грн., доля имущества предприятия, покрываемая собственными средствами, уменьшилась на 24,1%. Удельный вес кредитных и других заемных (долгосрочных и краткосрочных) источников не изменился, оставаясь на нулевом уровне. В то же время доля кредиторской задолженности и прочих краткосрочных пассивов предприятия увеличилась на 24,1%, достигнув 79,7%. Отсутствие в составе источников средств предприятия долгосрочных и краткосрочных кредитов и других заемных средств говорит об отказе от использования банковских и иных кредитов, что носит вполне объективный характер. В сложившихся условиях местные банки отказываются предоставлять кредит без залога, что, учитывая характер деятельности предприятия и размер основных средств, делает получение кредита практически невозможным. В то же время, рост кредиторской задолженности явно свидетельствует о том, что руководство предприятия отдает предпочтение коммерческому кредиту, основными формами которого являются отгрузка товара “под реализацию” без предоплаты и частичная предоплата отгруженного товара. Увеличение имущества предприятия, на первый взгляд, можно было бы приписать росту инфляционных процессов, имевшему место в августе-сентябре отчетного периода, и следовало бы при таких обстоятельствах привести показатели на начало и конец периода к сопоставимому виду, учитывая соотношения валют. Однако я посчитал это нецелесообразным изучив деятельность анализируемого предприятия и цены на продукцию. Во-первых, при падении покупательной способности гривны за отчетный период примерно в два раза, цены на продукцию предприятия (как закупочные, так и реализационные) возросли только примерно в 1,4 раза. К тому же реальный их рост наблюдался намного позже сильных инфляционных процессов. Во-вторых, предприятие имеет дело с продукцией только отечественного производства, влияние на стоимость которой со стороны соотношения предложения и спроса на национальную валюты незначительное и сильно запоздалое. В-третьих, анализируемое предприятие не проводит никаких операций с валютными ценностями, что делает невозможным получение инфляционного дохода в национальной валюте. Следует добавить, что инфляционные процессы, а также отставание роста цен на строительные материалы за падением курса национальной валюты привели к росту спроса на продукцию предприятия, что я и считаю главной причиной роста размера имущества и товарооборота. Для наглядного изображения структуры и динамики финансового состояния могут использоваться столбиковые диаграммы, получаемые на основе сравнительного аналитического баланса (графы 4 и 5 таблиц 2.3 и 2.4). При этом баланс представляется в виде двух смежных прямоугольников (т.е. имеющих общую сторону), один из которых представляет актив баланса, а другой - пассив. Каждый прямоугольник разбивается на сегменты, соответствующие разделам и наиболее важным группам статей баланса. Площади сегментов находятся по отношению к общей площади каждого прямоугольника в определенных пропорциях, соответствующих удельным весам итогов разделов и групп статей баланса в общем итоге баланса. Динамика финансового состояния также может быть отображена графически в виде сопоставления двух диаграмм на начало и конец отчетного периода или в виде последовательного ряда диаграмм построенных для нескольких отчетных дат. Пример такой столбиковой диаграммы, составленной на основе данных аналитического баланса анализируемого предприятия приведен на рис. 2.2. Обозначения, которыми помечены сегменты, соответствуют табл. 2.2.
Рис. 2.2. Диаграмма финансового состояния производственно-коммерческого объединения “Южкомсервис”. Благодаря диаграмме качественные особенности финансового состояния воспринимаются непосредственно, в то время как для их определения по сравнительному аналитическому балансу требуется достаточно длительное изучение числового материала. Так на основе рис. 2.2 визуально наблюдается небольшой рост удельного веса денежных и других средств (разд. III актива) и падение удельного веса основных средств и других внеоборотных средств (разд. I актива), а в составе источников средств наблюдается рост кредиторской задолженности, а также полное отсутствие заемных источников формирования запасов и затрат. 2.3 Анализ финансовой устойчивости. После общей характеристики финансового состояния и его изменения за отчетный период следующей важной задачей методики анализа финансового состояния является исследование абсолютных показателей финансовой устойчивости предприятия. На данном этапе анализа мною было обнаружено некоторое несоответствие традиционной методики, предлагаемой Негашевым, Сайфулиным, Шереметом по отношению к существующей экономической ситуации. Это прежде всего связано с тем, что рыночная экономика Украины несколько отличается от классической рыночной экономики, на которую данная методика рассчитана. Поэтому, я посчитал целесообразным, выполнить анализ финансовый устойчивости в два этапа: - использование традиционной методики и формулировка вывода по результатам анализа; - приведение методики в соответствие с особенностями экономической ситуации, формулировка вывода и сравнение его с выводами традиционного анализа. Для данного блока анализа имеет решающее значение вопрос о том, какие абсолютные показатели отражают сущность устойчивости финансового состояния. Ответ на него связан прежде всего с балансовой моделью, из которой исходит анализ. В условиях рынка эта модель имеет следующий вид:
где условные обозначения имеют тот же смысл, что и в таблице 2.2. Учитывая, что долгосрочные кредиты и заемные средства направляются преимущественно на приобретение основных средств и на капитальные вложения, преобразуем исходную балансовую формулу
Отсюда можно сделать заключение, что при условии ограничения запасов и затрат Z величиной [(Ис + KT) - F]:
будет выполняться условие платежеспособности предприятия, т.е. денежные средства, краткосрочные вложения (ценные бумаги) и активные расчеты (дебиторская задолженность) покроют краткосрочную задолженность предприятия (Kt + Rp):
Таким образом, соотношение величины запасов и затрат и величин собственных и заемных источников их формирования, как и в прежней методике, определяет устойчивость финансового состояния предприятия. Обеспеченность запасов и затрат источниками формирования является сущностью финансовой устойчивости, тогда как платежеспособность выступает ее внешним проявлением. В то же время степень обеспеченности запасов и затрат источниками есть причина той или иной степени платежеспособности (или неплатежеспособности), выступающей как следствие обеспеченности. [15, с.59] Наиболее обобщающим показателем финансовой устойчивости является излишек или недостаток источников средств для формирования запасов и затрат, получаемый в виде разницы величины источников средств и величины запасов и затрат. При этом имеется в виду обеспеченность определенными видами источников (собственными, кредитными, заемными), поскольку достаточность суммы всех возможных видов источников (включая краткосрочную кредиторскую задолженность и прочие пассивы) гарантирована тождественностью итогов актива и пассива баланса. Основные показатели, характеризующие финансовую устойчивость, приведены в таблице, составленной по данным отчетности производственно-коммерческого объединения “Южкомсервис”. Таблица 2.5 Анализ финансовой устойчивости производственно-коммерческого объединения (в грн.)
Продолжение таблицы 2.5
Рассмотрим подробнее данные, представленные в таблице 2.5. Для характеристики источников формирования запасов и затрат используется несколько показателей, отражающих различную степень охвата разных видов источников: наличие собственных оборотных средств, равное разнице величины источников собственных средств и величины основных средств и прочих внеоборотных активов:
наличие собственных и долгосрочных заемных источников формирования запасов и затрат, получаемое из предыдущего показателя увеличением на сумму долгосрочных кредитов и заемных средств (этот показатель соответствует стоимости чистых мобильных средств (net working capital), равный разности оборотных активов (current assets) и краткосрочной задолженности (current liabilities), используемой в практике капиталистических фирм):
общая величина основных источников формирования запасов и затрат, равная сумме предыдущего показателя и величины краткосрочных кредитов и заемных средств (за исключением кредитов банков для работников):
Следует отметить, что все эти три показателя, как видно из таблицы 2.5, имеют одинаковую величину, так как в составе источников средств исследуемого предприятия отсутствуют долгосрочные и краткосрочные заемные средства. Приближенность, оценочный характер показателя общей величины основных источников формирования запасов и затрат неизбежны при ограниченности информации, используемой в ходе внешнего анализа финансового состояния. Несмотря на эти недостатки показатель E дает существенный ориентир для определения степени финансовой устойчивости. Трем показателям наличия источников формирования запасов и затрат (2.10.) - (2.12.) соответствуют три показателя обеспеченности запасов и затрат источниками их формирования: излишек (+) или недостаток (-) собственных оборотных средств
излишек (+) или недостаток (-) собственных и долгосрочных заемных источников формирования запасов и затрат
излишек (+) или недостаток (-) общей величины основных источников формирования запасов и затрат
Вычисление трех показателей обеспеченности запасов и затрат источниками их формирования позволяет классифицировать финансовые ситуации по степени их устойчивости. На основе данных анализируемого предприятия также наблюдается равенство этих трех показателей из-за отсутствия использования долгосрочных и краткосрочных заемных средств. Ниже при идентификации типа финансовой ситуации используется следующий (трехкомпонентный) показатель:
где функция S(x) определяется следующим образом:
Возможно выделение четырех типов финансовых ситуаций: 1) абсолютная устойчивость финансового состояния, встречающаяся редко и представляющая крайний тип финансовой устойчивости. Она задается условиями
2). нормальная устойчивость финансового состояния предприятия, гарантирующая его платежеспособность:
3) неустойчивое финансовое состояние, сопряженное с нарушением платежеспособности, при котором тем не менее сохраняется возможность восстановления равновесия за счет пополнения источников собственных средств и увеличения собственных оборотных средств, а также за счет дополнительного привлечения долгосрочных кредитов и заемных средств:
Финансовая неустойчивость считается в данной ситуации нормальной (допустимой), если величина привлекаемых для формирования запасов и затрат краткосрочных кредитов и заемных средств не превышает суммарной стоимости производственных запасов готовой продукции и товаров (наиболее ликвидной части запасов и затрат). Если эти условия не выполняются, то финансовая неустойчивость является ненормальной (предкризисной) и отражает тенденцию к существенному ухудшению финансового состояния. 4) кризисное финансовое состояние, при котором предприятие находится на грани банкротства, поскольку в данной ситуации денежные средства, краткосрочные финансовые вложения и дебиторская задолженность предприятия не покрывают даже его кредиторской задолженности:
По числовой информации, приведенной в табл. 2.5 , можно сделать следующее аналитическое заключение. Согласно приведенной выше методике анализа финансовой устойчивости финансовое состояние производственно-коммерческого объединения “Южкомсервис” можно охарактеризовать как кризисное, так как на начало и конец отчетного периода наблюдался недостаток собственных и, тем более отсутствие, долгосрочных заемных источников формирования запасов и затрат. Однако, делать такой вывод окончательным было бы необъективно. Следует учесть, в какой экономической ситуации находится данный хозяйствующий субъект. А экономические реалии таковы, что все большее распространение приобретает применение коммерческого (товарного кредита). Основные причины такой ситуации: большое количество неплатежей (или сильная задержка), вызванное преимущественно предприятиями и организациями государственных форм собственности, что приводит к вымыванию и замораживанию на длительные сроки оборотных средств у хозяйствующих субъектов, прямо или косвенно обслуживающие вышеупомянутые предприятия и организации; нехватка оборотных средств у предприятий из-за низкого покупательного спроса; отсутствие у большинства хозяйствующих субъектов возможности получить заемные средства банковского сектора. Вследствие этих и других обстоятельств использование коммерческого кредита становится практически единственным способом выживания в сложной экономической ситуации. Коммерческий кредит по своим свойствам и характеру все более отождествляется с банковским имея следующие сходные с ним признаки: срочность - в договорах поставки оговаривается максимальный срок оплаты товара после его отгрузки, величина которого в последнее время приближается к краткосрочным ссудам банков. Поставщики вынуждены прибегать к таким уступкам, чтобы поддерживать объемы реализации на должном уровне; платность - обычно, с увеличением сроков коммерческих кредитов, цена на отпускаемую продукцию несколько возрастает, что обусловлено временным изыманием у поставщика части оборотных средств. В данной ситуации для предприятий, не имеющих возможности получить банковский кредит, коммерческий кредит становится косвенным банковским кредитом, когда к банковскому кредитованию прибегает поставщик, имеющий возможность получить банковские средства, для пополнения временно изымаемых оборотных средств. Плата за кредит в этом случае включается поставщиком в цену товара. Таким образом на основе вышеизложенного, можно сделать результаты анализа финансовой устойчивости более реальными, учитывая сложившиеся условия. Для этого кредиторскую задолженность за товары, работы и услуги, не оплаченные в срок следует принять равносильной краткосрочным кредитам и заемным средствам. Тогда аналитическая таблица примет следующий вид: Таблица 2.6 Скорректированный анализ финансовой устойчивости производственно-коммерческого объединения “Южкомсервис” (в грн.)
Продолжение таблицы 2.6
что соответствует неустойчивому финансовому состоянию, но никак не кризисному. Действительно, при такой группировке данных, на начало периода недостаток величины основных источников формирования запасов и затрат составлял всего 700 грн. (13% итога баланса), а к концу периода наблюдался даже их небольшой излишек в 800 грн. (6,5% итога баланса). С такими показателями о кризисном характере финансового состояния говорить не приходится, однако предприятию следовало бы искать заемные источники средств, а также увеличивать собственные. 2.4. Анализ ликвидности баланса. Задача анализа ликвидности баланса возникает в условиях рынка в связи с усилением жесткости бюджетного ограничения и необходимостью давать оценку кредитоспособности предприятия, вступающего в различные финансовые отношения. Под кредитоспособностью предприятия понимается его характеристика в качестве субъекта кредитных отношений, выражающая способность предприятия своевременно и полностью возвращать ссуды. Это понятие может применяться при оценке предприятия как в случае банковской формы кредита, так и при осуществлении коммерческого кредитования. Понятие кредитоспособности естественным образом вытекает из сущности кредита, одной из основных черт которого является возврат стоимости, предоставляемой кредитором заемщику. Обобщая различные имеющиеся в литературе определения, ликвидность баланса можно определить как степень покрытия обязательств предприятия его активами, срок превращения которых в деньги соответствует сроку погашения обязательств. Это определение, в отличие от некоторых других, расширяет множество значений ликвидности, поскольку, сравнивая два баланса, в ряде случаев можно констатировать, что один из них более ликвиден, а другой - менее ликвиден, а не только выяснить их ликвидность или неликвидность. От ликвидности баланса следует отличать ликвидность активов, которая определяется как величина, обратная времени, необходимому для превращения их в денежные средства. Чем меньше время, которое потребуется для превращения данного вида активов в деньги, тем выше его ликвидность. Анализ ликвидности баланса заключается в сравнении средств по активу, сгруппированных по степени их ликвидности и расположенных в порядке убывания ликвидности, с обязательствами по пассиву, сгруппированными по срокам их погашения и расположенными в порядке возрастания сроков. Ликвидность активов и срочность обязательств могут быть лишь приближенно определены по бухгалтерскому балансу в ходе внешнего анализа. Поэтому излагаемые методы анализа ликвидности баланса образуют последовательность уточняющих вычислительных процедур. Радикальное же повышение точности оценки ликвидности происходит в рамках внутреннего анализа на базе данных бухгалтерского учета. В зависимости от степени ликвидности, т.е. скорости превращения в денежные средства, активы предприятия разделяются на следующие группы: А1) наиболее ликвидные активы - к ним относятся все статьи денежных средств предприятия и краткосрочные финансовые вложения, за исключением статьи “Дебиторская задолженность с участниками” разд. III актива. Используя обозначения, принятые в табл. 2.2 и балансовой модели (2.6.), для итога данной группы можно записать формулу расчета
где RT,a - дебиторская задолженность с учредителями. А2) быстро реализуемые активы - дебиторская задолженность и другие оборотные активы:
где Ra - итог разд. III актива. А3) медленно реализуемые активы - статьи разд. II актива “Запасы и затраты”, а также статьи “Долгосрочные финансовые вложения” из разд. I актива и “Дебиторская задолженность с участниками” из разд. III актива:
где FT - долгосрочные финансовые вложения по разд. I актива баланса; А4) трудно реализуемые активы - статьи разд. I актива “Основные средства и другие внеоборотные активы” за исключением статьи этого раздела, включенной в предыдущую группу:
Пассивы баланса группируются по степени срочности их оплаты: П1) наиболее срочные обязательства - к ним относятся кредиторская задолженность и прочие краткосрочные пассивы по разд. III пассива “Расчеты и другие краткосрочные пассивы”, а также статья “Резервы предстоящих расходов и платежей” разд. I пассива, остатки по которой должны быть обеспечены наиболее ликвидными активами предприятия:
где RT,p - кредиторская задолженность с участниками. П2) краткосрочные пассивы - краткосрочные кредиты и заемные средства:
П3) долгосрочные пассивы - долгосрочные кредиты и заемные средства, а также статья “Кредиторская задолженность с участниками” из разд. III пассива баланса:
П4) постоянные пассивы - статьи разд. I пассива за исключением статьи “Резервы предстоящих расходов и платежей”:
Для определения ликвидности баланса следует сопоставить итоги приведенных групп по активу и пассиву. Баланс считается абсолютно ликвидным, если имеют место следующие соотношения:
Следует отметить, что существенным является сопоставление итогов первых трех групп по активу и пассиву, так как выполнение первых трех неравенств в системе (2.30.) с необходимостью влечет выполнение и четвертого неравенства, означающего, что величина постоянных пассивов должна превышать величину трудно реализуемых активов в случае абсолютной ликвидности баланса. Четвертое неравенство носит “балансирующий” характер, и в то же время оно имеет глубокий экономический смысл: его выполнение свидетельствует о соблюдении минимального условия финансовой устойчивости, т.е. о наличии у предприятия собственных оборотных средств. В случае, когда одно или несколько неравенств системы (2.30.) имеют знак, противоположный зафиксированному в оптимальном варианте, ликвидность баланса в большей или меньшей степени отличается от абсолютной. При этом недостаток средств по одной группе активов компенсируется их избытком по другой группе, хотя компенсация при этом имеет место лишь по стоимостной величине, поскольку в реальной платежной ситуации менее ликвидные активы не могут заместить более ликвидные. Анализ ликвидности на основе данных производственно-коммерческого объединения “Южкомсервис” приведен в таблице 2.7. Таблица 2.7 Анализ ликвидности баланса производственно-коммерческого объединения “Южкомсервис” (в грн.)
В графах 2, 3, 5, 6 даны итоги групп актива и пассива, вычисляемые по соотношениям (2.22.) - (2.29.), на начало и конец отчетного периода. В графе 7 и 8 представлены абсолютные величины платежных излишков или недостатков на начало и конец отчетного периода:
а в гр. 9 и 10 соответственно их величины, взятые в процентах к итогам групп пассива:
Сопоставление наиболее ликвидных средств и быстро реализуемых активов с наиболее срочными обязательствами и краткосрочными пассивами позволяет выявить текущую ликвидность. Сравнение же медленно реализуемых активов с долгосрочными пассивами отражает перспективную ликвидность. Текущая ликвидность свидетельствует о платежеспособности (или неплатежеспособности) предприятия на ближайший к рассматриваемому моменту промежуток времени. Перспективная ликвидность - это прогноз платежеспособности на основе сравнения будущих поступлений и платежей (из которых в соответствующих группах актива и пассива представлена, конечно, лишь часть, поэтому прогноз достаточно приближенный). Так как на анализируемом предприятии отсутствует использование каких-либо заемных средств, то определение перспективной ликвидности проводить нецелесообразно и в определенной степени бессмысленно. Характеризуя ликвидность баланса предприятия по числовым данным таблицы 2.7, можно сказать, что за отчетный период наблюдается возросший платежный недостаток наиболее ликвидных активов для покрытия наиболее срочных обязательств. К концу периода возросла величина быстро реализуемых активов (на конец периода она составляла 1900 грн.), хотя недостаток величины наиболее ликвидных и быстро реализуемых активов это не могло существенно уменьшить. Медленно реализуемые активы (т.е. в основном запасы и затраты) в течение отчетного периода превышали долгосрочные пассивы, размер которых, собственно, равнялся нулю, и к концу года их величина составила 8700 грн.). Учитывая то, что величину запасов и затрат, учитывая специфику деятельности предприятия, можно считать величиной косвенных заемных средств, а также то, что период реализации товаров достаточно мал, можно сказать, что платежный излишек по медленно реализуемым активов может быть направлен на покрытие краткосрочных обязательств. В этом случае платежный недостаток по наиболее ликвидным активам покрывается полностью. Что касается, трудно реализуемых активов, то здесь наблюдается лишь небольшая величина платежного недостатка, размер которой к концу периода возрос всего на 100 грн. Таким образом, недостаточная ликвидность баланса подтверждает ранее сделанное на основе табл. 2.5 заключение о неполной устойчивости финансового состояния предприятия. Проведенный по изложенной методике анализ ликвидности баланса является приближенным, т.к. соответствие степени ликвидности активов и сроков погашения обязательств в пассиве намечено ориентировочно. Это обусловлено ограниченностью информации, которой располагает аналитик, проводящий внешний анализ на основе бухгалтерской отчетности. Для уточнения результатов анализа требуются поэтому специальные методы, корректирующие показатели представленной методики. В качестве одного из таких методов в аналитической практике может использоваться метод нормативов скидок, посредством которого осуществляется перераспределение величин балансовых статей между группами активов и пассивов в соответствии со среднестатистическими оценками ликвидности активов и сроков погашения обязательств. Так, например, если заимствовать коммерческий опыт 20-х годов, то в рамках приведенной выше группировки активов и пассивов к быстро реализуемым активам согласно нормативам следует отнести 80% дебиторской задолженности и прочих активов, 70% готовой продукции и товаров, 50% производственных запасов и незавершенного производства. В состав медленно реализуемых активов включаются 20% дебиторской задолженности, 30% готовой продукции и товаров, 50% производственных запасов и незавершенного производства, наряду с которыми в составе группы сохраняются долгосрочные финансовые вложения, расчеты с участниками. Аналогичное перераспределение осуществляется в отношении кредиторской задолженности, т.е. часть ее должна быть включена в состав краткосрочных пассивов. [15, с.88] Метод нормативов скидок также является весьма приближенным. Тем не менее он удобен при проведении анализа, поскольку не требует привлечения дополнительной информации в ходе расчетов, если приняты фиксированные значения нормативов. Более точно оценить ликвидность баланса можно на основе использования данных учета, т.е. в рамках проведения внутреннего анализа финансового состояния. Весьма важным вопросом для анализа ликвидности баланса является выбор обобщающего показателя, характеризующего баланс в целом с точки зрения его ликвидности, т.е. показателя для комплексной оценки ликвидности. Рассмотрим схему анализа ликвидности, заданную соотношениями (2.22.) - (2.29.). Общий показатель ликвидности может быть определен следующим образом:
где Аj, Пj - итоги соответствующих групп по активу и пассиву; аj - весовые коэффициенты. Преобразуем формулу (2.33.) так, чтобы в нее входили платежные излишки или недостатки, определяемые соотношением (2.31.):
Весовые коэффициенты должны бать выбраны таким образом, чтобы общий показатель ликвидности задавал отношение порядка на множестве финансовых ситуаций при фиксированных значениях итогов групп пассивов Пj. Баланс, соответствующий одной финансовой ситуации, будет при этом более ликвиден, чем баланс, соответствующий другой финансовой ситуации. Такая упорядоченность должна быть экономически целесообразна с точки зрения значимости различных групп активов и пассивов для состояния расчетов предприятия. Обозначим через fл(CN) значение общего показателя ликвидности, соответствующее финансовой ситуации CN при фиксированных значениях Пj. Тогда наиболее естественное отношение порядка на множестве финансовых ситуаций будет следующее:
Поскольку наиболее ликвидные активы и наиболее срочные обязательства имеют первостепенное значение для ликвидности баланса, значение коэффициента а1 можно принять равным единице. После проведения математических вычислений на основе вышеизложенных формул получается следующая система ограничений на весовые коэффициенты а2, а3:
откуда, в частности следует, что а3 < 1/2. Если в ходе внутреннего анализа имеются данные о средних сроках превращения активов в денежные средства, то можно использовать следующую систему ограничений для весовых коэффициентов:
где t2, t3 - средневзвешенные сроки превращения в денежные средства для быстрореализуемых активов и медленно реализуемых активов. Полученные ограничения позволяют более обоснованно использовать общий коэффициент ликвидности при проведении анализа ликвидности баланса, если в ходе внутреннего анализа дана оценка величин t2, t3. Ограничениям (2.38.) удовлетворяет, например, следующий набор весовых коэффициентов:
задающий вид общего показателя ликвидности
Так, на основе данных ликвидности производственно-коммерческого объединения “Южкомсервис” значение общего показателя ликвидности на начало и конец анализируемого периода будет следующим:
Общий показатель ликвидности, таким образом, позволяет увидеть, что ликвидность анализируемого предприятия к концу периода упала в 1,2 раза. С помощью показателя (2.41.) осуществляется оценка изменения финансовой ситуации на предприятии с точки зрения ликвидности. Данный показатель применяется также при выборе наиболее надежного партнера из множества потенциальных партнеров на основе отчетности.
На рис. 2.3 заштрихованы квадраты, изображающие невозможные сочетания степени устойчивости и степени ликвидности. Для удобства все квадраты, имеющие экономический смысл, помечены латинскими буквами таким образом, что финансовая ситуация, имеющая абсолютную устойчивость и абсолютную ликвидность, получает обозначение V (victory - победа).
Справа от строк, соответствующих типам ликвидных ситуаций, выписаны условия движения к более высокой степени ликвидности. Над столбцами, соответствующими типам ситуаций с точки зрения устойчивости, даны условия движения к более устойчивой ситуации.
Отсюда данный показатель по данным анализируемого предприятия на начало и конец периода будет равен:
Как видно из рис. 2.3 финансовое состояние производственно-коммерческого объединения “Южкомсервис” на начало отчетного периода соответствовало типу финансовой ситуации, обозначенной буквой “D”, а на конец отчетного периода - финансовой ситуации, обозначенной буквой “H”.На основе данных рис. 2.3 и ранее проведенного анализа можно сделать следующие выводы о финансовом состоянии производственно-коммерческого объединения “Южкомсервис”. За отчетный период произошло некоторое улучшение финансового состояния, преимущественно за счет повышения финансовой устойчивости, несмотря на падение ликвидности в 1,2 раза. Как видно из рисунка, уровню финансового состояния еще далеко до идеального, обозначенного буквой “V”. Если брать финансовые ситуации по возрастанию номеров, то к концу периода предприятие достигло ситуации №8, когда как идеальное финансовое состояние соответствует №22. Руководствуясь рис. 2.3 можно выделить следующие пути улучшения финансового состояния: 1). Следует стремиться к тому, чтобы величина (А1 - П1) приняла положительное значение или равнялось нулю, т.е. наиболее ликвидные активы должны покрывать наиболее срочные обязательства. Для этого необходимо увеличить объем денежных средств, чего можно добиться привлечением заемного капитала, а также увеличением размера источников собственных средств. 2). Для повышения финансовой устойчивости требуется следующее условие:
т.е. собственные и долгосрочные заемные источники формирования запасов и затрат должны быть в достатке, чего опять же можно добиться методами, указанными в предыдущем пункте. 2.5. Анализ финансовых коэффициентов. Финансовые коэффициенты представляют собой относительные показатели финансового состояния предприятия. Они рассчитываются в виде отношений абсолютных показателей финансового состояния или их линейных комбинаций. Относительные показатели в финансовом анализе подразделяются на коэффициенты распределения и коэффициенты координации. Коэффициенты распределения применяются в тех случаях, когда требуется определить, какую часть тот или иной абсолютный показатель финансового состояния составляет от итога включающей его группы абсолютных показателей. Коэффициенты распределения и их изменения за отчетный период играют большую роль в ходе предварительного ознакомления с финансовым состоянием по сравнительному аналитическому балансу. Коэффициенты координации используются для выражения отношений различных по существу абсолютных показателей финансового состояния или их линейных комбинаций, имеющих различный экономический смысл. [15, с.98] Коэффициентами распределения являются коэффициенты автономии, долгосрочного привлечения заемных средств и др. К коэффициентам координации следует отнести коэффициенты соотношения заемных и собственных средств, обеспеченности запасов и затрат собственными источниками формирования и т.п. Анализ относительных показателей финансового состояния предприятия заключается в сравнении их значений с базисными величинами, а также в изучении их динамики за отчетный период и за ряд лет. В качестве базисных величин могут быть использованы среднеотраслевые значения показателей, показатели наиболее удачливого конкурента, усредненные по временному ряду значения показателей данного предприятия, относящихся к прошлым благоприятным с точки зрения финансового состояния периодам. Кроме того, в качестве базы сравнения могут служить теоретически обоснованные или полученные в результате статистических исследований (или экспертных опросов) величины, характеризующие оптимальные или критические с точки зрения устойчивости финансового состояния значения относительных показателей. Такие величины фактически выполняют роль норм для относительных показателей, хотя методики их расчета в зависимости, например, от отрасли производства пока не создано. В настоящее время набор относительных показателей, применяемых для анализа финансового состояния предприятия не устоялся и поэтому лишен полноценной системной упорядоченности. По моему мнению, для точной и полной характеристики финансового состояния достаточно сравнительно небольшого количества относительных показателей, отражающих наиболее существенные стороны финансового состояния и непосредственно связанных с его устойчивостью. Рассмотрим основные финансовые коэффициенты, получающие в настоящее время распространение в хозяйственной практике. В известной степени некоторые из них являются аналогами показателей, используемых капиталистическими фирмами, поскольку отечественный опыт в этой области невелик. Для наглядности все показатели сведены в таблицу 2.8, по которой легко проследить их динамику за отчетный период и сравнить с нормальными ограничениями. Таблица 2.8 Анализ финансовых коэффициентов
Рассмотрим теперь методику расчета показателей, приведенных в таблице 2.8. Одной из важнейших характеристик устойчивости финансового состояния предприятия, его независимости от заемных источников средств является коэффициент автономии, равный доле источников собственных средств в общем итоге баланса:
где Иc - величина источников собственных средств предприятия; B - итог баланса. Нормальное минимальное значение коэффициента автономии оценивается на уровне 0,5, хотя, по моему мнению, для условий украинской экономики он должен быть ниже. Коэффициент автономии анализируемого предприятия на начало периода можно считать удовлетворительным, несмотря на то, что он несколько ниже принятого минимального. Однако к концу периода наблюдается его падение в 2,2 раза, что снижает возможность погашения предприятием своих обязательств. Коэффициент соотношения мобильных и иммобилизованных средств рассчитывается по следующей формуле:
Данный коэффициент необходим для определения соответствия нормальным ограничениям коэффициента соотношения заемных и собственных средств. Коэффициент соотношения заемных и собственных средств дополняет коэффициент автономии и равен отношению величины обязательств предприятия к величине источников его собственных средств:
где К - долгосрочные и краткосрочные кредиты и другие заемные средства, Rp - кредиторская задолженность и прочие краткосрочные пассивы. Нормальное ограничение для данного коэффициента имеет следующий вид:
Как видно из таблицы 2.8, данное ограничение не выполняется, что свидетельствует о недостаточной величине удельного веса источников собственных средств в составе имущества предприятия. Весьма существенной характеристикой устойчивости финансового состояния является коэффициент маневренности, равный отношению собственных оборотных средств предприятия к общей величине источников собственных средств:
Он показывает, какая часть собственных средств предприятия находится в мобильной форме, позволяющей относительно свободно маневрировать этими средствами. Многие авторы отмечают, что высокие значения коэффициента маневренности положительно характеризуют финансовое состояние, однако каких-либо устоявшихся в практике нормальных значений показателя не существует. Иногда в специальной литературе в качестве оптимальной величины коэффициента рекомендуется 0,5. Коэффициент маневренности анализируемого предприятия в течение периода несколько увеличился, составляя в среднем значение 0,3. Значение коэффициента маневренности показывает, что примерно треть источников собственных средств предприятия находится в мобильной форме и может свободно им использоваться. В зависимости от целей анализа может рассчитываться коэффициент иммобилизации, который дополняет коэффициент маневренности до единице и равен отношению величины основных средств и прочих внеоборотных активов к величине источников собственных средств. Важную характеристику структуры средств предприятия дает коэффициент имущества производственного назначения:
где F1 - основные средства; F2 - незавершенные капитальные вложения; F3 - оборудование к установке; Z1 - производственные запасы и малоценные и быстроизнашивающиеся предметы; Z2 - незавершенное производство. Оптимальное значение данного коэффициента в хозяйственной практике принято считать равным не менее 0,5. Коэффициент имущества производственного назначения анализируемого предприятия в начале анализируемого периода практически соответствовал оптимальному минимуму, однако к концу периода он упал более чем в 2 раза. В данной ситуации предприятию целесообразно было бы использовать долгосрочные заемные источники средств для увеличения имущества производственного назначения, т.к. финансовые результаты пока не позволяют существенно пополнить источники собственных средств. Одним из главных относительных показателей устойчивости финансового состояния является коэффициент обеспеченности запасов и затрат собственными источниками формирования, равный отношению величины собственных оборотных средств к стоимости запасов и затрат предприятия:
а его нормальное ограничение, получаемое на основе статистических усреднений результатов хозяйственной практики, имеет следующий вид:
Как видно из таблицы 2.8, значение коэффициента намного меньше оптимального интервала, что еще раз подтверждает вывод о низкой ликвидности анализируемого предприятия. Коэффициент автономии источников формирования запасов и затрат показывает долю собственных оборотных средств в общей сумме основных источников формирования запасов и затрат:
Так как на анализируемом предприятии в течение отчетного периода отсутствовало использование долгосрочных и краткосрочных заемных средств, то данный показатель, естественно равняется единице. Коэффициент абсолютной ликвидности равен отношению величины наиболее ликвидных активов к сумме наиболее срочных обязательств и краткосрочных пассивов и рассчитывается по формуле:
где в - денежные средства и краткосрочные финансовые вложения; Kt - краткосрочные кредиты и заемные средства; Rp - кредиторская задолженность и другие краткосрочные пассивы. Коэффициент абсолютной ликвидности показывает, какую часть краткосрочной задолженности предприятие может погасить в ближайшее время. Коэффициент абсолютной ликвидности анализируемого предприятия, имея очень небольшую величин, к концу анализируемого периода упал до нуля, что говорит о том, что предприятие может попасть в затруднительное положение в случае необходимости немедленного возврата кредиторской задолженности, а также что его абсолютная ликвидность полностью зависит от скорости реализации продукции. Чтобы вычислить коэффициент ликвидности (или промежуточный коэффициент покрытия), в состав ликвидных средств в числителе относительного показателя добавляется дебиторская задолженность и другие оборотные активы:
Этот коэффициент отражает прогнозируемые платежные возможности предприятия при условии своевременного проведения расчетов с дебиторами. Как и коэффициент абсолютной ликвидности, величина данного коэффициента для анализируемого предприятия очень невелика, т.к. невелик удельный вес дебиторской задолженности по отношению к итогу баланса. Однако к концу периода наблюдается рост коэффициента ликвидности, что произошло преимущественно за счет роста дебиторской задолженности бюджета по уплате налога на добавленную стоимость. Наконец, если в состав ликвидных средств включаются также запасы и затраты, по получается коэффициент покрытия. Он равен отношению стоимости всех оборотных (мобильных) средств предприятия к величине краткосрочных обязательств:
где ИМ - иммобилизация оборотных средств. Коэффициент покрытия показывает платежные возможности предприятия, оцениваемые при условии не только своевременных расчетов с дебиторами и благоприятной реализации готовой продукции, но и продажи в случае нужды прочих реализуемых элементов запасов и затрат. Коэффициент покрытия анализируемого предприятия в среднем в два раза ниже оптимального минимума и несколько упал к концу периода, что также говорит о низкой платежеспособности. На данном этапе финансового анализа производственно-коммерческого объединения “Южкомсервис” использовались лишь те финансовые коэффициенты, которые бы наглядно и актуально отразить его финансовое состояние. Так, в данной работе не были использованы показатели, связанные с долгосрочным кредитованием, с бюджетным финансированием и другими аспектами финансовой деятельности. По числовым данным таблицы 2.8 можно сделать следующее аналитическое заключение. Наличие отрицательного изменения значения коэффициента автономии свидетельствует о том, что при росте товарооборота, возросла зависимость финансово-хозяйственной деятельности от коммерческого кредитования. Данные тенденции подтверждаются также ростом коэффициента соотношения заемных и собственных средств почти в 3 раза. Маневренность, т.е. доля собственных оборотных средств в источниках собственных средств, незначительно возросла, оставаясь ниже оптимального уровня примерно в 1,5 раза. Доля имущества производственного назначения в имуществе предприятия упала в 2,6 раза. Обеспеченность запасов и затрат собственными источниками средств также снизилась, упав к концу периода практически до нуля. Коэффициент абсолютной ликвидности, имея очень небольшую величину, снизился к концу периода до нуля что говорит о снижении оперативной платежеспособности предприятия. Величина коэффициента ликвидности незначительно возросла, но все равно остается значительно ниже оптимального уровня. Коэффициент покрытия незначительно снизился, оставаясь ниже оптимального минимума примерно в два раза. Коэффициенты ликвидности, абсолютной ликвидности и покрытия не удовлетворяли нормальным ограничениям, поэтому перспективы платежных возможностей отражают неустойчивость финансового состояния предприятия. В целом предприятие на основе отчетности должно быть охарактеризовано как недостаточно надежный деловой партнер, кредитоспособность которого вызывает сомнения. Негативное влияние на вывод анализа оказал, как упоминалось выше, рост запасов и затрат за счет увеличения размера кредиторской задолженности, что вызвано преимущественно коммерческим кредитованием. 2.6. Анализ уровня и структуры финансовых результатов деятельности объединения. Финансовые результаты деятельности предприятия за определенный период времени характеризуются системой взаимосвязанных абсолютных показателей. К ним относятся: выручка от реализации продукции (работ, услуг), результат (прибыль или убыток) от реализации, сальдо доходов и расходов от внереализационных операций, балансовая прибыль или убыток, облагаемая налогом прибыль, чистая прибыль, остающаяся в распоряжении предприятия. Часть этих показателей содержится в “Отчете о финансовых результатах предприятия” (Форма №2) квартальной и годовой отчетности. Налогооблагаемая и чистая прибыль определяются расчетным путем на основе содержащихся в форме №2 данных. Все перечисленные показатели финансовых результатов связаны друг с другом определенными соотношениями. Следует отметить, что не все показатели финансовых результатов деятельности подходят к анализу исследуемого предприятия. Рассмотрим схему вычислительных процедур наиболее применимых к данному предприятию показателей, их уровня и структуры. 1. Расчет прибыли (убытка) от реализации продукции (работ, услуг):
где Pp - прибыли (убытки) от реализации продукции (работ, услуг); Np - выручка от реализации продукции (работ, услуг); Sp - затраты на производство реализованной продукции (работ, услуг); GНДС - налог на добавленную стоимость; Ga - другие акцизы.
Модификация формулы (2.59), в которой в качестве результирующего показателя представлена выручка от реализации
задает схему анализа ее структуры, динамики и структурной динамики. Структура выручки от реализации исследуется на основе совместного рассмотрения абсолютных величин факторов выручки
и удельных весов факторов в общей величине выручки
Здесь для удобства записи показатели представлены как компоненты многомерного вектора. 2). Расчет чистой прибыли:
где Pч - чистая прибыль; Gн - налог на прибыль.
На основе анализа финансовых результатов можно сделать следующие выводы. Выручка от реализации продукции предприятия составила 45000 грн. В составе выручки большую часть занимают расходы (80%). Налог на добавленную стоимость занимает в среднем 17% выручки (такой удельный вес, между прочим, соответствует обратной ставке НДС и не зависит от объема выручки или других обстоятельств). Удельный вес прибыли в выручке составляет всего 3%, что составляет 1700 грн. Величина чистой прибыли составляет 1190 грн., что составляет 10% имущества предприятия или 48% источников собственных средств. Низкий удельный вес прибыли в выручке от реализации, по моему мнению, объясняется не столько низкой эффективностью реализации, сколько желанием легально минимизировать величину налога на прибыль, подлежащего уплате. Это достигается путем увеличения расходов предприятия, о чем свидетельствует их большой удельный вес в составе выручки от реализации. 2.7. Анализ рентабельности и деловой активности. Деловая активность предприятия в финансовом аспекте проявляется через скорость оборота его средств. Рентабельность предприятия отражает степень прибыльности его деятельности. Анализ деловой активности и рентабельности заключается в исследовании уровней и динамики разнообразных финансовых коэффициентов оборачиваемости и рентабельности, которые являются относительными показателями деятельности предприятия. Общая схема формирования рассматриваемых показателей представлена в табл. 2.9. В первой строке и первом столбце ее представлены возможные варианты соответственно числителя и знаменателя финансового коэффициента. На пересечениях второго и третьего столбцов и второй и третьей строк показаны три различных типа относительных показателей, получающихся при возможных сочетаниях числителя и знаменателя (исключение представляет пересечение второго столбца и второй строки, не дающее показателя). Таблица 2.9 Схема формирования показателей рентабельности и деловой активности
В обобщенном виде формулы финансовых коэффициентов, формируемых по данной схеме, выглядят следующим образом:
В данных формулах в качестве показателя прибыли, мною будет использоваться прибыль от реализации продукции. Между рассматриваемыми финансовыми коэффициентами существует определенная взаимосвязь:
Эта формула показывает, что прибыльность средств предприятия или их источников обусловлена как ценообразовательной политикой предприятия и уровнем затрат на производство реализованной продукции (они комплексно отражаются в показателе рентабельности продаж), так и деловой активностью предприятия, измеряемой оборачиваемостью средств или их источников. Формула (2.70.) указывает пути повышения рентабельности средств или их источников (т.е. степени прибыльности использования капитала предприятия или его составных частей): при низкой прибыльности продаж необходимо стремиться к ускорению оборота капитала и его элементов и, наоборот, определяемая теми или иными причинами низкая деловая активность предприятия может быть компенсирована только снижением затрат на производство продукции или ростом цен на продукцию, т.е. повышением рентабельности продаж. Рассмотрим наиболее важные финансовые коэффициенты рентабельности и деловой активности. Коэффициенты рентабельности (R): 1R) рентабельность продаж
где Np - выручка от реализации продукции; P - прибыль от реализации продукции. Рентабельность продажи анализируемого предприятия показывает, что на каждую гривну реализованной продукции приходится 0,04 грн. прибыли. 2R) рентабельность всего капитала фирмы
где Bср - средний за период итог баланса. Данный показатель рентабельности характеризует эффективность использования всего имущества предприятия. 3R) рентабельность основных средств и прочих внеоборотных активов
где Fср - средняя за период величина основных средств и прочих внеоборотных активов. На основе данного показателя определяется эффективность использования основных средств и прочих внеоборотных активов. Рентабельность основных средств анализируемого предприятия показывает, что на каждую гривну основных средств за отчетный период приходится одна гривна прибыли, что представляет собой очень большое, зачастую нереальное, соотношение. Данная ситуация возникла из-за низкой доли основных средств в имуществе предприятия, а не из-за высокой прибыли. 4R) рентабельность собственного капитала
где Иcср - средняя за период величина источников собственных средств предприятия. Как и рентабельность основных средств, данный показатель также имеет неоправданно большую величину, что обусловлено низким удельным весом источников собственных средств в составе пассива баланса. 5R) рентабельность перманентного капитала - отношение величины прибыли к средней за период величине долгосрочных кредитов и займов. Данный показатель невозможно определить из-за отсутствия в составе источников средств долгосрочных кредитов и заемных средств. Коэффициенты деловой активности (А): 1А) коэффициент общей оборачиваемости капитала
где Np - выручка от реализации продукции (работ, услуг); Bср - средний за период итог баланса. 2А) коэффициент оборачиваемости мобильных средств
где Zср - средняя за период величина запасов и затрат; Raср - средняя за период величина денежных средств, расчетов и других активов. 3А) коэффициент оборачиваемости запасов и затрат
где Sp - затраты на производство реализованной продукции. 4А) коэффициент оборачиваемости дебиторской задолженности:
где raср - средняя за период дебиторская задолженность. 5А) средний срок оборота дебиторской задолженности
6А) коэффициент оборачиваемости кредиторской задолженности
где dпл - величина использования денежных средств за период; Rpср - средняя за период кредиторская задолженность. 7А) средний срок оборота кредиторской задолженности
8А) фондоотдача основных средств и прочих внеоборотных активов
где Fср - средняя за период величина основных средств и прочих внеоборотных активов. 9А) коэффициент оборачиваемости собственного капитала
где Иcср - средняя за период величина источников собственных средств предприятия. На основе приведенных выше коэффициентов активности можно сделать следующее аналитическое заключение. Практически на одном уровне находятся значения коэффициентов общей оборачиваемости капитала, оборачиваемости мобильных средств и оборачиваемости готовой продукции. Это вызвано тем, что в составе источников средств, за счет которых формируются числители этих коэффициентов, доминирует удельный вес кредиторской задолженности. Кстати это суждение доказывается тем, что коэффициент оборачиваемости кредиторской задолженности практически составляет среднее арифметическое названных выше трех коэффициентов. Интересным является соотношение показателей оборачиваемости дебиторской и кредиторской задолженностей. Значение показателя среднего срока оборота дебиторской задолженности составляет 7,71, что означает, что в среднем за отчетный период погашение дебиторской задолженности осуществлялось в течение примерно 8 дней. Можно было бы утверждать, что это немалый срок. Однако, следует учесть, что тот же показатель для кредиторской задолженности выше в 8,5 раз и составляет примерно 2 месяца. Такое соотношение является отражением своеобразной (и достаточно эффективной) организации сочетания политики коммерческого кредитования со стороны продавцов продукции и собственной политики коммерческого кредитования предприятия по отношению к покупателям. Эффективное управление кредиторской и дебиторской задолженностями находит также свое отражение в достаточно высокой величине показателя оборачиваемости собственного капитала, которая в 3 раза превышает величину коэффициента общей оборачиваемости капитала. На основании проведенного анализа финансового состояния производственно-коммерческого объединения “Южкомсервис” можно сделать следующие выводы. За отчетный период имущество производственно-коммерческого объединения увеличилось на 6900 грн., составив в конце периода 12300 грн. Данное изменение было обусловлено исключительно ростом оборотных (мобильных) средств, поэтому удельный вес основных средств и других внеоборотных активов снизился на 17,7% и составил 13,8% имущества предприятия. Большая доля активов приходится на запасы и затраты, удельный вес которых возрос на 7,7%, составив 70,7% итога баланса. Отрицательным явлением можно назвать рост на 13,5% дебиторской задолженности и ее значительный удельный вес (15,4%) в составе имущества объединения. Увеличение имущества предприятия на 6900 грн. было обеспечено ростом собственных средств на 1,4%, а на 98,6% покрывалось увеличением обязательств предприятия. Несмотря на рост источников собственных средств на 100 грн., доля имущества предприятия, покрываемая собственными средствами, уменьшилась на 24,1%. В составе источников средств наблюдается полное отсутствие кредитных и других заемных (долгосрочных и краткосрочных) источников. В то же время доля кредиторской задолженности и прочих краткосрочных пассивов предприятия увеличилась на 24,1%, достигнув 79,7% итога баланса. Отсутствие в составе источников средств предприятия долгосрочных и краткосрочных кредитов и других заемных средств свидетельствует о том, что единственным источником увеличения размера запасов и затрат явилось использование коммерческих (товарных) кредитов, о чем свидетельствует высокий удельный вес кредиторской задолженности. С точки зрения устойчивости финансовое состояние производственно-коммерческого объединения можно охарактеризовать как неустойчивое и даже кризисное Об этом говорит недостаток общей величины средств для формирования запасов и затрат (сумма собственных источников средств и величины долгосрочных и краткосрочных заемных средств) к концу года в 7900 грн., что составляет 64,2% имущества. Для повышения устойчивости финансового состояния объединения руководству следовало привлечь заемные средства. Характеризуя ликвидность баланса предприятия, можно сказать, что за отчетный период наблюдается возросший платежный недостаток наиболее ликвидных активов для покрытия наиболее срочных обязательств. К концу периода возросла величина быстро реализуемых активов, хотя недостаток величины наиболее ликвидных и быстро реализуемых активов это не могло существенно уменьшить. Медленно реализуемые активы (т.е. в основном запасы и затраты) в течение отчетного периода превышали долгосрочные пассивы, размер которых, собственно, равнялся нулю. Спасает предприятие в такой ситуации только то обстоятельство, что кредиторскую задолженность, учитывая специфику деятельности, можно перенести из разряда “наиболее срочные обязательства” к разряду “краткосрочные пассивы” (при этом величина платежного недостатка несколько сглаживается). Результаты расчета обобщающего показателя ликвидности показывают, что ликвидность за отчетный период упала в 1,2 раза. Руководствуясь комплексной классификацией финансовых ситуаций по степени устойчивости и ликвидности баланса, приведенной на рисунке 2.3, по 22-балльной шкале производственно-коммерческое объединение находилось на 4-м месте в начале и на 8-м месте в конце анализируемого периода, что объясняется некоторым улучшением финансовой устойчивости. Однако, можно сказать, что уровню финансового положения очень далеко до идеального. Анализ финансовых коэффициентов показал, что подавляющее большинство их не удовлетворяют нормальным ограничениям. К тому же за отчетный период произошло изменение их значений не в лучшую сторону. Наличие отрицательного изменения значения коэффициента автономии свидетельствует о том, что при росте товарооборота возросла зависимость финансово-хозяйственной деятельности от коммерческого кредитования. Данные тенденции подтверждаются также ростом коэффициента соотношения заемных и собственных средств почти в 3 раза. Маневренность, т.е. доля собственных оборотных средств в источниках собственных средств, незначительно возросла, оставаясь ниже оптимального уровня примерно в 1,5 раза. Доля имущества производственного назначения в имуществе предприятия упала в 2,6 раза. Обеспеченность запасов и затрат собственными источниками средств также снизилась, упав к концу периода практически до нуля. Коэффициент абсолютной ликвидности, имея очень небольшую величину, снизился к концу периода до нуля, что говорит о снижении оперативной платежеспособности предприятия. Величина коэффициента ликвидности незначительно возросла, но все равно остается значительно ниже оптимального уровня. Коэффициент покрытия незначительно снизился, оставаясь ниже оптимального минимума примерно в два раза. Анализ финансовых коэффициентов также показывает негативность роста запасов и затрат только за счет увеличения размера кредиторской задолженности. Выручка от реализации продукции предприятия составила 45000 грн. В составе выручки большую часть занимают расходы (80%). Удельный вес прибыли в выручке занимает всего 3%, что составляет 1700 грн. Величина чистой прибыли равняется 1190 грн., что составляет 10% имущества предприятия или 48% источников собственных средств. Несмотря на неустойчивость финансового положения и низкую ликвидность баланса производственно-коммерческого объединения “Южкомсервис” достаточно высокими являются показатели рентабельности и деловой активности. Рентабельность всего капитала фирмы составила 19%. Низкий удельный вес основных средств и источников собственных средств в имуществе предприятия привел к тому, что рентабельность собственного капитала составила 69%, а рентабельность основных средств достигла 100%. Данные показатели свидетельствуют о том, что прибыль была получена в основном за счет эксплуатации привлеченного капитала. Достаточно длительные сроки погашения коммерческих кредитов (2 месяца), которые предоставлялись поставщиками продукции, позволили сформировать достаточно выгодную собственную политику предприятия в области коммерческого кредитования. Средний срок погашения дебиторской задолженности составил примерно 8 дней, что в условиях украинской экономики и нехватки оборотных средств у покупателей положительно повлияло на рост спроса на продукцию. Однако руководству предприятия следовало бы добиваться сокращения сроков погашения обоих видов задолженности, чтобы добиться улучшения финансового состояния. 2.8. Пути улучшения финансового состояния производственно-коммерческого объединения “Южкомсервис”. Основной задачей любого аналитика является не только проведение анализа и представление его результатов, но и формулировка на их основе рекомендаций и путей по улучшению показателей или качественных характеристик анализируемого объекта. Поэтому, на основе проведенного выше финансового анализа производственно-коммерческого объединения, было бы немаловажным представить его руководству предложения по улучшению его финансового состояния. Данные анализа показывают, что определенные меры должны быть приняты для повышения финансовой устойчивости и ликвидности, так как показатели рентабельности и деловой активности довольно высокие. Для этого необходимо добиться увеличения удельного веса основных источников формирования запасов и затрат в составе общей величины источников средств. Этого можно достичь тремя путями: 1). Увеличение размера собственных источников средств - осуществляется за счет увеличения размера уставного фонда, а также за счет прибыли (второй вариант, учитывая величину прибыли за анализируемый период, особых результатов дать не может). 2). Увеличение размера заемных источников средств - достигается путем привлечения долгосрочных и краткосрочных банковских кредитов. Учитывая современную экономическую ситуацию, предприятие в самом лучшем случае может надеяться на получение краткосрочных ссуд. 3). Пересмотр средневзвешенных величин запасов продукции на складах на день, неделю, месяц. Возможно размер запасов необоснованно завышен, что, конечно, влияет на кредиторскую задолженность, величину которой следовало бы снизить. Самым желательным является осуществление второго варианта, так как получение заемных средств позволит практически до нуля снизить уровень кредиторской задолженности и тем самым повысить ликвидность предприятия. Однако, это является затруднительным, так как основные фонды объединения, учитывая их небольшую величину, не могут использоваться в качестве залога по кредиту. Возможно руководству следует искать поручителей, которыми, кстати, могут быть учредители. Третий вариант - регулирование размера запасов - может быть осуществлен только в случае снижения среднего срока оборота дебиторской задолженности. Для этого необходимо разработать и внедрить политику управления дебиторской задолженностью, основным содержанием которой является: - определение доходности капитала предприятия (часть капитала вынужденно иммобилизуется в результате предоставления товарного кредита); - разработка на основе предыдущего показателя гибкой системы скидок в зависимости от срока оплаты отгруженной продукции. Так, например, рентабельность собственного капитала составляет 69%, а средний срок оборота дебиторской задолженности - 8 дней. Отсюда, цена товара с задержкой оплаты на 8 дней должна быть на 1,5% выше, чем при немедленной оплате или предоплате. Такая политика предприятия создает стимулы к немедленной оплате отгруженной продукции, что ускоряет возврат оборотных средств, позволяет снизить средний срок оборота кредиторской задолженности и тем самым уменьшить ее средний размер. Таким образом, руководству производственно-коммерческого объединения следует принять меры по следующим направлениям: - снижение в составе источников средств удельного веса кредиторской задолженности; - сокращение среднего срока оборота дебиторской задолженности; - привлечение заемных средств. Этого можно добиться путем использования банковских кредитов, а также внедрения эффективной политики управления дебиторской задолженностью. РАЗДЕЛ III. Дидактика. 3.1. Вступление. Каждый человек в своей жизни достигает определенную черту, называемую “совершеннолетием”, когда его буквально “выбрасывает” из под родительской опеки в бурлящий поток общественных взаимоотношений. Несмотря на то, что данная временная граница установлена законодательно, с одними это происходит раньше, а с другими позже, резко или плавно. А ведь можно сказать, что в обществе (тем более в нашем) действуют те же законы выживания, как и в природе, но в более изощренном виде. В зависимости от характера и темперамента человека одни подчиняются этому потоку, а другие противостоят с целью достигнуть своих желаний и интересов. Сложившаяся социально-экономическая ситуация в Украине показывает, насколько глубоко может упасть уровень общественного развития. Не вызывает также сомнений и то, что это падение может продолжаться сколь угодно долго. Первопричиной такой ситуации является прежде всего затяжной и прогрессирующий экономический кризис в государстве, имеющий свой отпечаток в социальной жизни и поведении граждан. Почему же государство, обладающее такими огромными потенциальными природными, трудовыми и интеллектуальными ресурсами не смогло выйти на уровень экономически развитых стран? Ответ приходит из прошлого. Политика и экономика Советского Союза воспитали людей, предпочитающих вслепую “плыть по течению” в потоке идей, планов, указов и директив. До сих пор многие люди не понимают сущности экономических процессов как экономики существовавшего некогда СССР, так и современной рыночной экономики. Неизвестно также многим какими сырьевыми потерями огромной стране давалось обеспечение “хорошей” жизни людям. А ведь все упирается в воспитание и образование граждан. Без элементарного знания основ экономики невозможно достичь уровня развитых стран. Вот почему знания, которыми владеют молодые специалисты, сейчас необходимы государству вдвойне. Тема дидактической работы - “Анализ рентабельности предприятия” - является одной из сторон понимания сущности функционирования предприятия в условиях рыночной экономики, так необходимого современному обществу. Зная порядок расчета относительных показателей деятельности и методику анализа финансового состояния молодые специалисты смогут без труда ориентироваться в финансово-хозяйственной жизни любого предприятия. Ведь именно недостаток таких знаний и менталитет прошлого мешают сегодня экономическому развитию как на государственном уровне, так и на уровне отдельных хозяйствующих субъектов. Целью написания данного раздела является представить экономическую тему «Анализ рентабельности предприятия», как учебную, разработать дидактические материалы к занятию. Задачами исследования являются анализ психолого-педагогической литературы, составление социально-психологической характеристики группы обучения, разработка модели усвоения базы знаний, выбор и обоснование методов и форм проведения занятий, подготовка дидактических материалов для преподавания. 3.2. Цели обучения. Тема данной выпускной работы - «Анализ финансового состояния субъекта хозяйствования» - достаточно объемна по количеству материала и включает в себя несколько других тем, которые изучается к тому же разными дисциплинами с различной степенью углубленности. Поэтому, в качестве практического примера мною была взята одна из частей данной темы, которая при преподавании будет звучать как «Анализ рентабельности предприятия». Сама же тема изучается в высшем политехническом училище, в котором я проходил педагогическую практику, как один из разделов учебной дисциплины «Экономика предприятия». Первым шагом при разработке темы является формирование целей обучения. При формировании целей обучения необходимо помнить о том, что они имеют двойственный характер. С одной стороны они представлены целями обучения, а с другой целями воспитания, так как в процессе образования обучение и воспитание дополняют друг друга. Цели обучения обуславливаются таким объемным понятием, как усвоение общественно-исторического опыта человечества, которое колеблется непосредственно от предмета изучения. А цели воспитания призваны формировать всесторонне и гармонически развитую личность, или другими словами, ее черты. Знание приносит опыт и непосредственно влияет на развитие личности человека, на формирование ее направленности. Поэтому, перед тем, как начинать читать тему, необходимо определить, как она будет влиять на стремления, желания, интересы и особенно на мировоззрение обучаемых. В качестве учебных мною были поставлены следующие цели: - сообщение учащимся новых знаний и фактов; - в ходе занятий усвоить такие вопросы как сущность относительных показателей деятельности предприятия, понятие рентабельности, виды и способы расчета рентабельности, формулировка выводов на основе рассчитанных показателей рентабельности; - овладение умениями и навыками расчета показателей рентабельности; - развитие наклонностей и способностей обучаемых в сфере финансового анализа деятельности предприятий; - пробудить и закрепить интерес учащихся к преподаваемой теме; - проверить уровень усвоения знаний на занятиях; - установление связей между понятиями и материалами темы с другими темами дисциплины; - формулировка задач, которые можно успешно решить на практике на основе полученных знаний по данной теме. Воспитательные цели: - развитие образного мышления; - формирование у обучаемых способности свободного контакта с людьми; - воспитание личностных качеств учащихся, обеспечивающих развитие памяти, воображения, деловитости и работоспособности; - развитие активности, целеустремленности, инициативности. После усвоения одной из частей темы данной выпускной работы - «Анализ рентабельности предприятия» обучаемые должны: - уметь дать определение таким понятиям: относительные показатели деятельности предприятия, рентабельность предприятия, виды рентабельности; - уметь использовать документы финансовой отчетности при расчете показателей рентабельности; - уметь обосновывать выводы и давать рекомендации на основе результатов анализа рентабельности предприятия. 3.3. Психолого-педагогическая характеристика группы. Основной целью преподавания в высшем политехническом училище является подготовка специалистов различных технических специальностей. Но перед тем, как выбирать формы организации, методы преподавания, строить модель усвоения базы знаний необходимо дать психолого-педагогическую характеристику. Необходимо отметить, что ограниченность времени прохождения педагогической практики, в сущности, не позволяет дать абсолютно четкую оценку группы. Ведь одной и той же группе встречаются обучаемые с различным интеллектуальным и социально-психологическим уровнем развития. К тому же нужно помнить, что объективную психолого-педагогическую характеристику группы обучаемых может дать только опытный преподаватель, работающий с данной группой не менее полугода. Во время прохождения педагогической практики для получения информации для написания характеристики я использовал заранее составленную анкету, результаты опроса по которой могли бы дать обобщенную характеристику, присущую именно данной группе обучаемых. В предлагаемой анкете обучаемым предлагалось заполнить следующие вопросы: 1). Ваш возраст; 2). Ваше место проживания (Симферополь, сельская местность Крыма, город Крыма, другие области Украины); 3). Работали ли вы до поступления в вуз? 4). Работаете ли вы в настоящее время? 5). Имеете ли вы какую-либо специальность? 6). Есть ли у вас семья? 7). Назовите фамилии членов группы, с которыми вы находитесь в наиболее тесных взаимоотношениях, по убыванию степени взаимодействия; 8). На базе чего у вас сложились тесные взаимоотношения с этими людьми? 9). Назовите основные цели вашего обучения в вузе? Данные анкет и собственные наблюдения во время проведения учебных занятий были использованы мною для составления психолого-педагогической характеристики. Вначале следует определить те индивидуальные особенности, которые присущи возрастной группе, к которой относятся обучаемые. Возраст обучаемых колеблется от 17 до 20 лет. Именно этот период называется познавательной юностью или началом зрелости. Развитие личности на этом этапе тесно связано с социальным статусом обучаемых, с их положением в коллективе группы, учебного заведения и общества. Продолжают совершенствоваться интеллектуальная сфера, расширяются умственные возможности, познавательные возможности становятся более глубокими и устойчивыми. При этом, общий интерес к обучению сочетается с избирательным отношением к различным учебным предметам. Роль педагога на этом этапе огромна. У учащихся наблюдается большой прогресс в умственной работоспособности, что в частности, сказывается в работе памяти и мышления. Механическое заучивание уступает место смысловому, а в случаях необходимости его применения, оно не вызывает той отрицательной реакции, которую можно наблюдать у подростков. В запоминании учебного материала учащиеся этого возрастного периода совершенствуются выделять существенные мысли, положения, намечать опорные пункты для запоминания, связывают изучаемый материал с имеющимися знаниями. Учащиеся все более прочно овладевают навыками логического мышления, у них складывается определенный стиль умственной деятельности. Обучаемые входят в отдельную социальную группу - студенчество, основная социальная функция которой лежит в подготовке общественной и профессиональной деятельности специалиста народного хозяйства. Эта функция обеспечивает воспроизводство социальной структуры общества, потому что студенчество в качестве резерва и подрастающей интеллигенции приобретает специфические умения и навыки; из социальной функции и положения студентов вытекает особый характер основной деятельности студентов. Он заключается в обучении, как в специфической форме усвоения знаний в определенной науке, а также в накоплении специальных знаний и умений для конкретной профессии, которая требует высшего и среднего образования. Сфера окружения студентов расширяется, в нее входит профессорско-преподавательский состав, семинарские группы, соседи по общежитию и т.д. По данным анкеты все студенты группы проживают в пределах Крыма. Из них примерно 30% - в городе Симферополь, 25% - в сельской местности Крыма, 45% - в других городах Крыма. Низкий удельный вес учащихся, проживающих в сельской местности, свидетельствует о недостаточном уровне образования данной категории выпускников школ, что снижает их шансы на поступление в вузы по сравнению с выпускниками городских школ. 81% учащихся работали до поступления в вуз и 20% продолжают работать во время обучения. Можно сказать, что достаточно большой удельный вес студентов в группе совмещают учебу с работой, что в большинстве случаев не может положительно отразиться на качестве усвоения знаний. Практически все учащиеся группы поступили в вуз сразу после школы и, соответственно, не имеют какой-либо специальности. Примерно у пятой части опрошенных уже есть семьи. У этих студентов, по моему мнению, совершенно иному и более серьезное отношение к важности получаемых в вузе знаний и их применению в будущем, что обусловлено некоторым изменением системы ценностей. Что касается вопроса о цели обучения в вузе, то результаты опроса следующие: - примерно четверть студентов группы учится в данном вузе потому, что надо где-то учиться; - большинство учащихся ответили, что учатся, чтобы в дальнейшем работать по полученной специальности. Ответы обучаемых свидетельствуют о том, что среди современной молодежи существует сознание необходимости получения высшего образования для обеспечения нормального уровня жизни в нелегких экономических условиях. Для выявления картины внутригрупповых отношений я использовал методику, называемую социометрией. Социометрия используется для исследования личных, эмоционально-непосредственных отношений: взаимных симпатий и антипатий людей, их взаимной привлекательности и непривлекательности, авторитетности или неавторитетности. Кроме того, социометрическая методика позволяет выявить лидера в группе или в коллективе, а также оценить их сплоченность. На основе ответов на вопросы №6 и №7 анкеты мною была составлена “социометрическая матрица”, с помощью которой были определены взаимные выборы, количество индивидуальных выборов на каждого члена группы, количество выборов, сделанных каждым членом группы. На основе данных матрицы в группе имеется 3 лидера. К лидерам можно отнести студентов, на которых пришлось самое большое количество выборов, причем число выборов лидера должно значительно превышать среднее число выборов на каждого члена группы. К сожалению в группе имеются и “робинзоны”, так как были студенты, которых никто не выбрал и которые сами никому не отдали предпочтения. Можно также по результатам взаимных выборов в группе выделить три микрогруппы. Кстати на вопрос “На базе чего у вас сложились тесные взаимоотношения с данными людьми?” в основном были лаконичные ответы наподобие “общность интересов”. В целом, на основе результатов анкеты и собственных наблюдений, группу можно назвать достаточно сплоченной. Совокупность отношений между членами группы формируют достаточно благоприятный психологический климат, благоприятствующий эффективности учебного процесса. Это подтверждается и восприятием учебного материала. Студенты серьезно отнеслись к теме, излагаемой мною во время прохождения педагогической практики, на лекции задавали вопросы, а на практическом занятии результаты письменного тестирования показали хороший уровень усвоения материала. Что касается дидактических требований к преподаванию в данной группе, то они должны строиться на основных дидактических принципах: - гуманизм процесса обучения; - научность обучения; - связь теории с практикой обучения; - систематичность и последовательность в обучении; - соединение наглядности обучения с развитием абстрактного мышления; - сознательность и активность студентов при обучении; - доступность обучения; - прочность усвоения знаний, умений и навыков; Студенты училища должны понимать, что в будущем их знания будут важны для развития общества. Объем усвоенных знаний из разных отраслей науки, большой запас понятий в общем, «бытовые» экономические знания, также способствуют большей заинтересованности этой категории молодых людей в освоении экономических знаний. Преподавание должно давать студентам конкретную установку, чем они будут заниматься после окончания высшего учебного заведения. 3.4. Модель усвоения базы темы “Анализ рентабельности предприятия”. Перед тем, как непосредственно перейти к составлению модели усвоения базы знаний, необходимо дать краткую характеристику основным понятиям, которые будут использоваться при написании этого раздела. Под учебным предметом понимают дидактически обоснованную систему знаний, умений, навыков, видов и способов деятельности, которые отобраны из определенных отраслей науки или искусства для усвоения в процессе обучения. Учебная тема представляет собой часть учебного предмета, которая раскрывает отдельный вопрос, явление, предмет. Усвоение же учебной темы дает возможность использовать приобретенные знания в различных ситуациях жизни. Содержание любой темы представляется системой элементов базы знаний, которые формируют мировоззрение человека. Знания выражаются в понятиях и явлениях, процессах и особенностях, систематизированных фактах, правилах, алгоритмах и зависимостях, моделях и теориях, законах и гипотезах. Базой знаний учебного предмета считают максимально необходимое и возможное для усвоения количество понятий, явлений, теорий и др., которая будет достаточно для использования на начальных этапах практической деятельности и дальнейшего самообразования. Использовать в полной мере базу знаний можно будет только после усвоения ее элементов. Основными терминами, которые необходимо усвоить в рамках изучения темы “Анализ рентабельности предприятия”, являются: 1). относительные показатели деятельности предприятия; 2). общее понятие рентабельности; 3). Рентабельность продукции: рентабельность реализованной продукции, рентабельность товарной продукции, рентабельность отдельного изделия; 4). рентабельность предприятия (общая рентабельность): рентабельность оборота, рентабельность всего капитала, рентабельность основных средств, рентабельность собственного капитала, рентабельность перманентного капитала. При изучении данной темы важно выделить элементы знаний, которые должны были быть изучены студентами по другим темам предмета. К ним относятся следующие понятия: выручка от реализации, издержки предприятия, прибыль, основные средства предприятия, собственный капитал предприятия, заемные средства. К основным элементам базы знаний по теме “Анализ рентабельности предприятия” следует отнести: - методику расчета приведенных выше показателей рентабельности; - взаимосвязь между показателями рентабельности; - анализ показателей рентабельности. К прикладным знаниям по этой теме относится изучение форм отчетности предприятия, на основе которых рассчитываются показатели рентабельности. Модель усвоения базы знаний учебной темы представляет перечень элементов ее базы знаний с определенным уровнем усвоения каждого элемента. В практической деятельности выделяют три уровня усвоения: 1. Усвоение на репродуктивном уровне - это умение воспроизводить элемент базы знаний и решать типовые для учебного предмета задачи в типовых условиях; 2. Алгоритмично-действенное усвоение - это умение применять элементы базы знаний для решения типичных задач учебного предмета в новых условиях; 3. Творческое усвоение - это умение использовать базу знаний для приобретения новых знаний и решения новых задач в новых условиях и нестандартных ситуациях. С моей точки зрения, наиболее желательным является творческое усвоение, которое раскрывает горизонты развития перед личностью. Но оно не возможно без первых двух. Поэтому, минимально необходимо, чтобы студенты полностью усвоили тему на репродуктивном уровне с ориентацией на то, что в процессе практических занятий и после прохождения производственной практики они смогут усвоить тему на двух следующих уровнях. Модель усвоения базы знаний темы «Анализ рентабельности предприятия» представлена в таблице 3.1. Таблица 3.1 Модель усвоения базы знаний.
Выбор уровней усвоения, приведенный в таблице 3.1 требует пояснения. Практически все элементы базы знаний должны быть усвоены на репродуктивном уровне, так как студенты должны четко представлять сущность рентабельности и знать основы методики расчета его показателей в типовых условиях. К тому же, основные элементы базы знаний должны быть также усвоены на алгоритмично-действенном уровне. Это объясняется тем, что на основе полученных и усвоенных знаний, во время прохождения практики или на рабочем месте может потребоваться рассчитать новые показатели рентабельности, определяемые спецификой деятельности анализируемого предприятия. В этом случае усвоенная база знаний будет применяться уже для новых и условий. Наконец, к творческому (проблемному) уровню усвоения я посчитал целесообразным отнести умение анализировать показатели рентабельности. Действительно, умение делать аналитическое заключение при исследовании рентабельности предприятия развивает логическое мышление, усиливает понимание структуры взаимосвязи показателей деятельности, позволяет ориентироваться в новых и нестандартных ситуациях и находить пути улучшения финансового состояния. Таким образом, создание модели усвоения базы знаний помогает конкретизировать цели обучения, выбрать формы и методы проведения занятия, разработать тестовые задания для проведения контроля знаний учащихся и задания самостоятельной работы. 3.5. Методы и формы обучения. Основой любой успешной деятельности человека является организация. Поэтому и при преподавании нужно сначала выбрать одну из организационных форм обучения. Формой называют внешнее выражение какого либо содержания. Формы организации обучения входят в операционно-деятельностный компонент процесса обучения и представляют собой внешнее выражение согласованной деятельности преподавателя и обучаемых, осуществляемой в установленном порядке и определенном режиме. К основным организационным формам относятся индивидуальная, индивидуально-групповая, классно-урочная, белл-ланкастерская, дальтон-план, план Трампа, метод проекта. Все формы организации обучения можно условно разделить на две группы: 1. Общие формы. 2. Специальные формы. Все формы, как правило, определяются следующими правилами: - составом тех, кто учится; - местом и временем проведения занятий; - содержанием обучения; - характером учебно-познавательной деятельности студентов; - способами управления обучаемыми со стороны преподавателей. К общим формам организации обучения относятся: 1. Индивидуальное обучение, которое предполагает выполнение студентом учебного задания самостоятельно, на уровне его учебных возможностей и без взаимодействия с другими обучаемыми, используя помощь преподавателя; 2. Коллективное (фронтальное) обучение, которое предполагает одновременное выполнение всеми обучаемыми одного и того же задания под руководством преподавателя; 3. Групповое обучение - способ организации учебных занятий, при котором ставится определенное задание для группы студентов. Различают следующие формы группового обучения: бригадная, звеньевая, парная. К специальным формам организации относятся: лекции, практические занятия, семинары, учебные экскурсии, предметные кружки, факультатив, практикумы, лабораторные работы, учебные конференции, дискуссии, диспуты, дополнительные занятия, консультации, конкурсы, олимпиады. Как известно, обучение представляет собой разнообразную деятельность преподавателя и обучаемых, направленную на овладение последними знаниями, умениями и навыками, развития их умственных способностей, способов мышления, а также воспитанием. Эта деятельность осуществляется на основе применения тех или иных методов. Методы обычно определяют, каким образом способы работы преподавателя, при помощи которых достигается приобретение учащимися знаний, умений и навыков, формируют их мировоззрение и развиваются способности. Все существующие группы методов обучения можно условно разделить на 6 групп: 1). устное изложение материала (лекция); 2). Обсуждение изучаемого материала - может реализовываться в форме беседы, классно-группового занятия, семинара, собеседования, конференции и т.д.; 3). Показ, демонстрация - такая организация занятия, когда либо слово преподавателя подкрепляется наглядными материалами, либо наглядные материалы обосновываются, комментируются преподавателем; 4). Упражнение; 5). Практическая работа - метод практических учебных действий, требующих знаний, умений, навыков и подготовки; 6). Самостоятельная работа. Из всех вышеперечисленных организационных форм обучения мною были выбраны лекция и практическое занятие. Лекция - обстоятельное, объемное, идеологическое действие, обладающее, во-первых, единством формы и содержания, во вторых, ограниченными временным рамками, в третьих, четкой теоретической концепцией излагаемой научно-теоретической проблемы или темы. Преподавателю в процессе подготовки лекции необходимо составить план-конспект учебного материала, составить список литературы, при помощи которой студенты смогут получить дополнительную информацию; продумать такие моменты изложения, которые нужно дать под запись. Практическое занятие - учебное действие, в ходе которого преподаватель организует детальное рассмотрение студентами отдельных теоретических положений учебного предмета и формирует умения и навыки их практического применения путем индивидуального выполнения обучаемыми соответственно сформулированных заданий. Данный метод контроля и закрепления знаний был выбран мною потому, что знания по теме “Анализ рентабельности предприятия” не могут надолго остаться в памяти студентов в сухом, теоретическом понимании. Именно проведение практических расчетов и выполнение тестовых заданий помогут закрепить материал темы на логическом уровне. А ведь известно, что логическое запоминание воспринимается памятью более легко и непринужденно. Информация при этом хранится очень долго и быстро воспроизводится. Закрепление знаний на практическом занятии содействует тому, что бы знания учащихся были осмысленными и стойкими. Дидактическое обеспечение процесса изложения материала, контроля и закрепления знаний формирует представление и понятие на основе живого восприятия объектов, которые изучаются. Перечень обеспечения будет приведен в следующей главе. 3.6. Дидактико-методические материалы к теме “Анализ рентабельности предприятия”. Разработку дидактических материалов для преподавания одной из тем дидактического раздела данной выпускной работы «Анализ финансового состояния субъекта хозяйствования» начнем с разработки плана занятий. План занятий содержит: название темы, цели изучения всей темы, структуру занятий и др. Тема занятий: «Анализ рентабельности предприятия». Цели занятия: сформировать у студентов понятия сущности относительных показателей деятельности, рентабельности, видов рентабельности; раскрыть методику расчета показателей рентабельности; дать перечень основных документов, на основе которых рассчитывается рентабельность; в ходе урока развивать умение логически мыслить, образное мышление; совершенствовать их умение пользоваться дополнительной литературой и вести конспект лекций. Формы занятий: лекция, практическое занятие. Методы обучения: устное изложение материала, показ, демонстрация, практическая работа. Дидактическое обеспечение: наглядные формы финансовой отчетности №1,2 (приложения 1,2), план-конспект лекции, иллюстративный материал (приложения 3,4), практические задания, тестовые задания (приложение 5). Структура лекции: - объявление темы, плана, цели; - указание литературных источников, демонстрация экземпляров последних изданий; - актуализация опорных знаний; - изложение материала лекции с применением иллюстраций; - заключительное слово. Структура практического занятия: - мотивация; - решение практических задач; - оценка полученных знаний путем тестирования. Следует пояснить некоторые компоненты структуры занятий: 1. Организационный момент. Для организации рабочей обстановки в группе следует зайти в аудиторию за 3-5 минут до начала занятия, попросить дежурных подготовить учебную доску, проветрить кабинет. На доске необходимо написать тему занятия и вопросы, которые будут рассматриваться. Нужно также подготовить наглядные пособия. 2. Сообщение темы и цели занятий. На лекции необходимо сообщить тему, которая будет рассматриваться, и дать ее план. Практическое занятие также следует начать с напоминания темы, рассмотренной на лекции, и сообщения плана занятия. 3. Актуализация опорных знаний. Актуализация опорных знаний проводится в начале лекции и осуществляется с помощью краткого рассмотрения и обсуждения вопросов: - что такое валовая выручка? - что включают в себя издержки предприятия? - как рассчитать прибыль предприятия? - какие средства предприятия относят к основным, оборотным, заемным, - что такое себестоимость? 4. Мотивация. Для пробуждения интереса студентов и создания активного внимания в аудитории к усвоению новых знаний в качестве приема мотиваций будет рассмотрен вопрос из реальной из реальной жизни: “Вы имеете определенный капитал в денежной форме (7000 грн.) и хотите, чтобы он работал на вас. Перед вами несколько вариантов: 1). положить средства в банк на депозитный счет под 15% годовых; 2). Вложить 5000 грн. в предприятие с годовой прибылью в 600 грн.; 3). Вложить 3000 грн. в предприятие с ежемесячной прибылью в 40 грн. По каким из этих направлений вы пустите работать свой капитал и какие его части будут вложены в выбранные направления?” Следует дать время студентам (5-10 минут) на расчет величины дохода, который они получили по выбранным направлениям, а потом сравнить с максимальным доходом (1080 грн.), который можно получить по данному примеру. Очевидно, методика расчета эффективности использования капитала должна пробудить интерес студентов к данной теме. 5. Изложение нового материала. Изложение нового материала будет проходить в ходе лекции. В качестве плана-конспекта лекции с основными ее терминами по теме «Анализ рентабельности предприятия» представлен следующий. Вопросы лекции: 1). Понятие относительных показателей. Сущность рентабельности и ее роль при анализе финансового состояния предприятия. Виды рентабельности. 2). Рентабельность продукции, ее виды и методика расчета. 3). Рентабельность предприятия, ее виды и методика расчета. 4). Анализ показателей рентабельности. Вопрос 1. Абсолютные показатели характеризуют величину тех или иных средств предприятия или источников их формирования за определенный период. Относительные показатели отражают удельный вес тех или иных величин (абсолютных показателей) в составе других, более объемных. Цель расчета относительных показателей - определение состава и структуры наиболее важных показателей деятельности предприятия, таких как выручка, валовая прибыль, издержки и т.п. Рентабельность - показатель, характеризующий относительную прибыльность предприятия и отражающий эффективность использования его капитала. В общем случае рентабельность можно высчитать как отношение прибыли к затратам на получение этой прибыли. Расчет рентабельности позволяет определить общую эффективность использования капитала предприятия, эффективность отдельных сторон и направлений его деятельности. На основе данных рентабельности можно выявить факторы, негативно влияющие на результаты деятельности и дать рекомендации по улучшению финансового состояния. Различают два основных вида рентабельности: рентабельность продукции и рентабельность использования капитала (или рентабельность предприятия). Вопрос 2. Рентабельность продукции - соотношение прибыли от производства и реализации продукции и издержек на ее производство и реализацию. Рентабельность продукции отражает эффективность производства и реализации продукции предприятия в целом и отдельных ее видов. Различают следующие показатели рентабельности продукции: 1). Рентабельность реализованной продукции. Рассчитывается как отношение прибыли от реализации продукции к ее полной себестоимости. 2). Рентабельность товарной продукции - отношение прибыли от реализации продукции к ее стоимости в оптовых ценах предприятия. 3). Рентабельность изделия - отношение прибыли на единицу изделия к ее себестоимости. Прибыль от изделия рассчитывается как разница между ее оптовой ценой и себестоимостью. Вопрос 3. Рентабельность предприятия - это эффективность (прибыльность) вложенного в него капитала. В зависимости от типа капитала различают следующие ее показатели: 1). Рентабельность продаж (оборота) - отношение прибыли от реализации продукции, работ, услуг к выручке от реализации(данные берутся из Формы №2 “Отчет о финансовых результатах”); 2). Рентабельность всего капитала предприятия - отношение прибыли к итогу баланса предприятия (Форма №1); 3). Рентабельность основных средств предприятия - отношение прибыли к итогу первого раздела актива баланса; 4). Рентабельность собственного капитала - отношение прибыли к величине источников собственных средств предприятия (итог первого раздела пассива баланса); 5). Рентабельность перманентного капитала - отношение прибыли к величине долгосрочных кредитов и займов (итог второго раздела пассива баланса). Вопрос 4. Показатели рентабельности и доходности имеют общую экономическую характеристику, они отражают конечную эффективность работы предприятия и выпускаемой им продукции. Главным из показателей уровня рентабельности является отношение общей суммы прибыли к производственным фондам. Существует много факторов, определяющих величину прибыли и уровень рентабельности. Эти факторы можно подразделить на внутренние и внешние. Внешние - это факторы не зависящие от усилий данного коллектива, например изменение цен на материалы, продукцию, тарифов перевозки, норм амортизации и т.д. Такие мероприятия проводятся в общем масштабе и сильно воздействуют на обобщающие показатели производственно - хозяйственной деятельности предприятий. Структурные сдвиги в ассортименте продукции существенно влияют на величину реализованной продукции, себестоимость и рентабельность производства. Задача экономического анализа - выявить влияние внешних факторов, определить сумму прибыли, полученную в результате действия основных внутренних факторов, отражающих трудовые вложения работников и эффективность использования производственных ресурсов. Показатели рентабельности ( доходности ) являются общеэкономическими. Они отражают конечный финансовый результат и отражаются в бухгалтерском балансе и отчетности о финансовых результатах. Под рентабельностью предприятия понимается его способность к приращению вложенного капитала. Задачей анализа рентабельности являются несколько положений: оценить динамику показателя рентабельности с начала года, степень выполнения плана, определяют и оценивают факторы, влияющие на эти показатели, и их отклонения от плана; выявляют и изучают причины потерь и убытков, вызванных бесхозяйственностью, ошибками в руководстве и другими упущениями в производственно - хозяйственной деятельности предприятия; вскрывают и подсчитывают резервы возможного увеличения прибыли или дохода предприятия. 6. Закрепление. Закрепление вопросов лекции будет происходить после изложения каждого вопроса лекции в форме ответа на вопросы студентов и в зависимости от их вопросов, в задавании встречных вопросов, которые касаются рассмотренного материала. В ходе практического занятия можно провести фронтальную беседу для закрепления и систематизации всего изложенного материала. Основными ее направлениями будут сферы рассматриваемых вопросов лекции с приведенными фактическими примерами и ответы на вопросы учеников. Для закрепления материала и в качестве наглядных пособий будут использоваться формы финансовой отчетности (Приложения 1,2), на основе которых в коллективной обстановке рассчитываются показатели рентабельности, а также тестовое задание (Приложение 3), призванное оценить уровень усвоения темы. 3.7. Заключение. После написания дидактического раздела выпускной работой по теме «Анализ рентабельности предприятия» были укреплены теоретические знания, получен практический опыт разработки дидактических материалов для занятий, исследованы источники психолого-педагогической и экономической литературы. В ходе написания раздела была составлена психолого-педагогическая характеристика группы обучения. Также была разработана модель усвоения базы знаний, которая помогла конкретизировать цели обучения, выбрать формы и методы проведения занятий, разработать тестовые задания для проведения контроля знаний студентов. Рассмотрены формы организации и методы обучения, и в результате их анализа для проведения занятий были выбраны лекция и практическое занятие. В соответствии со структурой занятий подготовлены дидактические материалы и разработан план-конспект лекции по одному из разделов темы выпускной работы. Для проверки знаний, полученных на лекции были разработаны тестовые задания по вопросам темы. В целом, задачи, поставленные перед написанием раздела “Дидактика” данной выпускной работы, достигнуты. Разработанные дидактические материалы позволяют применять их в процессе преподавания темы “Анализ рентабельности предприятия” в высшем политехническом училище и оценивать уровень полученных студентами знаний.
ВВЕДЕНИЕ. Каким образом и на основании чего деловые партнеры оценивают друг друга? Сегодня прошло время, когда об успешности деятельности какого-либо предприятия или организации судят по шикарным автомобилям, офису в центре города. На первое место становятся научные подходы при оценке надежности любой фирмы. Поэтому немаловажным становится проведение различных видов анализа. Анализ связан с повседневной финансово-хозяйственной деятельностью предприятий, их коллективов, менеджеров, собственников. В настоящее время необходимо проводить анализ обоснования и выполнения бизнес-планов, сравнительный анализ маркетинговых предприятий, анализ возможностей производства и сбыта, выяснение внутренних и внешнеэкономических ситуаций, влияющих на производство и сбыт, анализ соотношения спроса и предложения, анализ конкретных потребителей и оценки последними качества выпускающихся изделий, анализ затрат живого и овеществленного труда с необходимой их детализацией, анализ конечных финансовых результатов производственной, сбытовой, маркетинговой деятельности, анализ коммерческого риска с сказываемым на него влиянием различных факторов. Одному из основных видов анализа - анализу финансового состояния - и будет посвящена данная выпускная работа. Финансовый анализ основывается на данных финансовой отчетности, которая является по существу «лицом» фирмы. Она представляет собой систему обобщенных показателей, которые характеризуют итоги финансово-хозяйственной деятельности предприятия. Данные финансовой отчетности служат основными источниками информации для анализа финансового состояния предприятия. Ведь для того, чтобы принять решение необходимо проанализировать обеспеченность финансовыми ресурсами, целесообразность и эффективность их размещения и использования, платежеспособность предприятия, его финансовые взаимоотношения с партнерами. Оценка этих показателей, нужна для эффективного управления фирмой. С их помощью руководители осуществляют планирование, контроль, улучшают и совершенствуют направление своей деятельности. Основной целью и задачей данной выпускной работы является изучение методики анализа финансового состояния предприятия и результатов его деятельности с отражением механизма чтения финансовой отчетности и расчета финансовых показателей, рассмотрение внутренних и внешних отношений хозяйственного субъекта. Основными задачами анализа финансового состояния являются: - общая оценка финансового состояния и его изменения за отчетный период; - анализ финансовой устойчивости предприятия; - анализ ликвидности баланса; - анализ финансовых коэффициентов, - анализ уровня и структуры абсолютных показателей финансовых результатов; - анализ рентабельности и деловой активности предприятия. Основными источниками информации при написании выпускной работы будут служить материалы книг под редакцией Шеремета, Сайфулина, Негашева, нормативные документы и инструкции Кабинета Министров Украины, Минфина Украины, а также материалы периодических изданий. Известно, что теория хорошо познается только на практике. Поэтому, теоретические аспекты будут тесно переплетаться с практическим материалом. Для этого будут использованы реальные материалы производственно-коммерческого объединения “Южкомсервис”. Отсюда еще одной задачей вытекает разработка на основе результатов анализа рекомендаций по улучшению финансового состояния анализируемого объединения. ЗАКЛЮЧЕНИЕ В ходе написания выпускной работы был изложен материал, описывающий сущность, структуру, информационную базу финансового анализа, а также представлена методика расчета показателей анализа с использованием реальных данных производственно-коммерческого объединения “Южкомсервис”. На основе исследования деятельности фирмы за год разработана реальная картина финансового состояния предприятия и ее изменение в течение 1998 года. На основе теоретического материала работы можно сделать следующие выводы. Одной из наиболее важных задач анализа финансового состояния является определение устойчивости соотношения структуры средств предприятия и структуры источников их формирования. Основными информационными источниками внешнего финансового анализа, проводимого в данной работе, являются “Баланс предприятия” (Форма №1) и “Отчет о финансовых результатах предприятия” (Форма №2). Баланс представляет собой фиксированный “снимок” финансового состояния на начало и конец отчетного периода и позволяет анализировать размер, структуру и динамику средств предприятия и их источников. Отчет о финансовых результатах дает информацию для анализа уровня и структуры абсолютных показателей финансовых результатов, анализа рентабельности и деловой активности. Выводы внешнего финансового анализа не являются абсолютно объективными и достаточными, поэтому работниками предприятия может проводиться внутренний анализ финансового состояния на основе данных бухгалтерского учета. Следует отметить, что проведение финансового анализа необходимо не только самому предприятию, но и заинтересованным контрагентам - кредиторам, поставщикам, покупателям и другим лицам. Использование финансовой отчетности в ходе внешнего анализа позволяет корректно оценить финансовое состояние партнера без необходимости вмешательства в его коммерческую тайну. В практической части выпускной работы была подробно изложена методика проведения каждого из этапов финансового анализа с применением практических расчетов по данным деятельности производственно-коммерческого объединения “Южкомсервис”. Результаты анализа вскрыли интересную картину деятельности предприятия малого типа в нелегких экономических условиях, сложившихся в Украине. К негативным воздействиям со стороны сложившейся экономической ситуации можно отнести: - высокий удельный вес налогов в выручке, что, либо отбивает стимул к осуществлению какой-либо деятельности вообще, либо вынуждает переводить в “тень” часть оборота; - риск неплатежей со стороны покупателей продукции, особенно со стороны предприятий и организаций государственных форм собственности; - нестабильность национальной валюты, проявляющаяся в периодических инфляционных процессах; - отсутствие реальной возможности получить кредит в банке на выгодных условиях; - низкая покупательная способность населения и другие факторы. В результате финансового анализа были выявлены интересные пути выживания фирмы в столь нелегкой ситуации. Во-первых, для анализируемого предприятия характерен низкий удельный вес основных фондов, а также собственных источников формирования средств в составе имущества, что говорит о предпочтении руководства фирмы работать и рисковать чужим капиталом, нежели своим. Во-вторых, отсутствие возможности привлечения долгосрочных и краткосрочных заемных средств в банковском секторе привело к использованию коммерческих (товарных) кредитов, функции и условия которых приближаются к банковским. По существу, таким способом предприятие получает косвенный банковский кредит, когда поставщик, имеющий возможность получить банковские заемные средства, выдает его в форме коммерческого кредита и включает процент по нему в цену продукции. В-третьих, предприятие стремится по возможности минимизировать величину налогооблагаемой прибыли, увеличивая величину расходов. Таким образом удается уйти от иммобилизации оборотных средств в налоги. В-четвертых, политика руководства направлена на минимизацию численности персонала, что достигается путем привлечения высококвалифицированных работников и применением компьютерной техники. Такие способы функционирования предприятия в условиях украинской экономики применимы лишь на локальном уровне и не приводят к улучшению общеэкономической ситуации в государстве. К тому же, на основе данных финансовой отчетности получается довольно нелепая картина. С одной стороны, оставляют желать лучшего показатели финансовой устойчивости и ликвидности, а с другой - нереально высокими являются уровни рентабельности и деловой активности предприятия. Так, например, рентабельность собственного капитала анализируемого объединения составила 69%, а рентабельность основных средств достигла 100%. Финансовое благополучие субъектов хозяйствования, а также благополучие всей страны зависит от проведения эффективной государственной экономической политики. Не будем перечислять многочисленные шаги, которые необходимы для улучшения экономики. Этим должны заниматься правительство и законодательные органы Украины. |
|||||||||||||||||||||||||||||||||||||||||||||||||||||||||||||||||||||||||||||||||||||||||||||||||||||||||||||||||||||||||||||||||||||||||||||||||||||||||||||||||||||||||||||||||||||||||||||||||||||||||||||||||||||||||||||||||||||||||||||||||||||||||||||||||||||||||||||||||||||||||||||||||||||||||||||||||||||||||||||||||||||||||||||||||||||||||||||||||||||||||||||||||||||||||||||||||||||||||||||||||||||||||||||||||||||||||||||||||||||||||||||||||||||||||||||||||||||||||||||||||||||||||||||||||||||||||||||||||||||||||||||||||||||||||||||||||||||||||||||||||||||||||||||||||||||||||||||||||||||||||||||||||||||||||||||||||||||||||||||||||||||||||||||||||||||||||||||||||||||||||||||||||||||||||||||||||||||||||||||||||||||||||||||||||||||||||||||||||||||||||||||||||||||||||||||||||||||||||||||||||||||||||||||||||||||||||||||||||||||||||||||||||||||||||||||||||||||||||||||||||||||||||||||||||||||||||||||||||||||||||||||||||||||||||||||||||||||||||||||||||||||||||||||||||||||||||||||||||||||||








































Для
формулировки
оценочных
выводов необходимо
соотнести
величину чистой
прибыли с
показателями
имущества
предприятия
и его источников
:
























































Для
формулировки
оценочных
выводов необходимо
соотнести
величину чистой
прибыли с
показателями
имущества
предприятия
и его источников
:















