Реферат: Обработка данных о студентах
|
Название: Обработка данных о студентах Раздел: Рефераты по информатике, программированию Тип: реферат | ||||||||||||||||||||||||||||||||
Министерство образования и науки Республики Казахстан Восточно-Казахстанский государственный технический университет им. Д.М.Серикбаева Колледж ВКГТУ Отделение Информационных технологий, управления и экономики Комиссия Программирования и информатики Пояснительная записка к курсовому проекту по предмету «Основы алгоритмизации и программирования» Тема: «Обработка данных о студентах» Специальность 3706002 «Программное обеспечение вычислительной техники и автоматизированных систем» Группа 02-КП-1 Преподаватель Троеглазова В.П. Учащийся Терещенко Т г. Усть–Каменогорск 2004 Содержание Введение……………………………………………………………………………...4 1 Основная часть 1.1 Аналитическая часть…………………………………………………………….5 1.1.1 Описание и постановка задачи………………………………………………..5 1.1.2 Описание и формализация технологии передачи и обработки информации……………………………………………………………………………………6 1.1.3 Обоснование этапов обработки информации, общая концепция программы её состав и структура…………………………………………………..6 1.1.4 Обоснование выбора инструментальных средств…………………………...7 1.2 Технологическая связь…………………………………………………………..7 1.2.1 Назначение и цель создания…………………………………………………..8 1.2.2 Требование к системе………………………………………………….............8 1.2.2.1 Требования к функциям системы…………………………………………..8 1.2.2.2 Требования к интерфейсу пользователя…………………………………...8 1.2.3 Описание функциональных возможностей и схем диалога………………..9 1.2.4 Перечень и описание входных данных………………………………..........10 1.2.5 Руководство к использованию и эксплуатации……………………………10 1.2.6 Результаты экспериментальной проверки………………………………….12 2 Охрана труда и техника безопасности………………………………………….12 3 Заключение……………………………………………………………………….13 4 Список используемой литературы……………………………………………...14 Приложение – А. Блок схемы Приложение – Б. Распечатка образов экрана Приложение – В. Отчет Приложение – Г. Текст программы Введение На данный момент существует огромное множество магазинов, складов, оптовых баз. «Человек – не машина», и он может попросту перепутать либо столбец, либо строку. Из-за таких ошибок фирма может понести ущерб не только в материальном смысле, она также может потерять доверие покупателей, что наложит отпечаток на репутации фирмы, поэтому было предложено частично или полностью автоматизировать дынный процесс с внедрением персональных компьютеров. Создание АРМ таких типов направленно на уменьшение времени для поиска того или иного товара на склада, а это в свою очередь способствует увеличению производительности. Программа реализована на языке программирования Turbo Pascal 7.0 так как он один из первых языков программирования, предназначен для написания программ для операционной системы MS-DOS. И успешно используется в учебных целях. У программы удобный интерфейс, понятный даже не подготовленному пользователю. Задача данной работы - создать программное обеспечение для ПК. Пользователь должен имеет возможность просмотра информации о каждом товаре, а также, при необходимости, изменять эту информацию. 1.1 Аналитическая часть
Реализовать базу данных на основе двунаправленного динамического списка, содержащего номер договора, наименование товара, производитель, цену товара, количество и подсчитать сумму. В программном изделии предусмотреть работу со списком, которая включает в себя 11 пунктов меню и реализовано по следующему алгоритму:
После выполнения каждой функции необходимо обеспечить возврат в главное меню и выбор любой другой функции. При выборе функции «Выход» работа программы завершается. При выборе функции «Добавление записи», выделяется память для хранения данных, затем пользователю предлагается ввести номер договора, название, производителя, эти данные заносятся в память, после чего автоматически определяется сумма на которую товара на складе . При выборе функции «Удалить», проверяется наличие данных в списке. Если список пуст, на дисплей выводится соответствующее сообщение; Если данные о товаре внесены в список, то происходит удаление этих данных и освобождение памяти; иначе на дисплей выводится надпись об их отсутствии. При выборе функции «Просмотреть», поверяется наличие данных в списке. Если данные отсутствуют, на дисплей выводится соответствующее сообщение; иначе выводится таблица, содержащая номер договора, производитель, название товара, количество данного товара, его цена и сумма. При выборе функции «Сортировать», происходит сортировка списка по названию товара. «Поиск» осуществляется по названию товара и если товар есть в наличии, то выводится полная информация о нем, если нет товара на складе, то выводится сообщение товар отсутствует.
Компьютеры очень быстро развиваются и становятся все более мощными, но и по сей день, возникают проблемы при работе с большими объемами информации. Для решения данной проблемы было предложено использование динамической памяти и переменных особого типа – указатели. Для нормального функционирования полученного программного обеспечения ПК должен удовлетворять следующим минимальным требованиям: 1. Наличие 2МВ свободного места на жестком диске. 2. Операционная система Windows 95’, 98’, или среда DOS. 3. Видео карта не менее 4 МБ 4. Процессор с частотой 600МГц. 5. 16МВ оперативной памяти. Для более точного и быстрого функционирования программы необходимы более поздние версии операционной системы, больше свободного места на жестком диске, а также наиболее современная аппаратура.
структура Разработка данного программного продукта состоит из нескольких этапов: постановка задачи, разработка алгоритма и блок схемы, запись в программный код.
На рисунке 1 показаны информационные связи программы.
Рисунок 1.1 – Информационные связи в программе
Для реализации данной программы был выбран язык программирования Turbo Pascal 7.0, так как он является более простым в применении и не затрачивает большого количества системных ресурсов. Аппаратные средства отвечали всем необходимым требованиям для выполнения поставленной задачи, просты в использовании, разработке обеспечения и дальнейшей отладки, относительно недороги и достаточно полно документированы производителем. 1.2.1 Назначение и цели создания Программа «АРМ кладовщика» разрабатывается для облегчения работы работников склада. Программа уменьшает время поиска товаров из большого количества, а также осуществляет просмотр информации о товаре и подсчет суммы. 1.2.2 Требования к системе 1.2.2.1 Требования к функциям системы Данная программа будет корректно работать на ЭВМ не меньше чем Pentium I 100 MHz, ОЗУ-32Мb, video card-16Mb, mouse, keyboard. Операционными системами, с которыми совместима данная программа являются: Windows 9х, Windows NT, Windows Me, Windows XP, MS-DOS с установленным на нем полной версией Turbo Pascal 7.0. 1.2.2.2 Требования к интерфейсу пользователя Интерфейс пользователя в программе является диалоговым, при запуске выводится следующее меню: 1.Создание базы данных; 2.Создание списка записей; 3.Вывод списка на дисплей; 4.Запись списка в файл; 5.Просмотр файла; 6.Добавление записи; 7.Поиск по наименованию; 8.Редактирование записей; 9.Удаление записей; 10.Сортировка списка; 11.Выход из программы; Пункты меню выбираются соответствующей цифрой на клавиатуре и нажатием клавиши Enter. Программа содержит следующие поля : Номер договора, название товара, производитель, количество, цена, сумма. 1.2.3 Описание функциональных возможностей и схем диалога Программный продукт включает в себя основной модуль (меню) и 8 вспомогательных модулей (процедур): Процедура «Создать файл» создает на жестком диске файл, в котором хранятся данные, введенные с клавиатуры. Процедура «Создать список» формирует в динамической памяти двунаправленный список, который включает записи, находящиеся в файле. Процедура «Записать список в файл» переносит данные, хранящиеся в динамической памяти в ранее созданный файл. Процедура «Вывод на экран» на экран выдает информацию, расположенную в динамической памяти компьютера. Процедура «Добавление» – можно дополнить двунаправленный список новыми данными. Процедура «Удаление» удаляет ненужные данные из списка. Процедура «Сортировка по названию» сортирует данные в алфавитном порядке по наименованию товара. Процедура «Поиск по названию» помогает находить необходимые данные о товаре, по его наименованию. Процедура «Редактирование» редактирует данные в списке. 1.2.4 Перечень и описание входных и выходных данных Таблица 1.1. Перечень и описание входных и выходных данных
1.2.5 Руководство к использованию и эксплуатации Для работы с данной программой необходимо иметь на компьютере операционную систему MS-DOS, Windows 9x или XP, а также компилятор Turbo Pascal 7.0 или Borland Pascal 7.1.
Программа выдаст запрос: Введите количество наименований товара: Пример: 1 Введите номер договора Пример: 0012 Введите производителя: Пример: Россия Введите название Пример: краска Введите цену: Пример: 250 Введите количество данного товара на складе: Пример: 24
Введите название искомого товара? Пример: Краска Если товар обнаружен в базе данных, выведется сообщение: «Товар найден» и таблица с его данными, иначе сообщение: «Такого товара нет на складе».
Чтобы покинуть Turbo Pascal, в контекстном меню компилятора, нужно выбрать пункт File -> Exit или нажатием клавиш [ alt+x ]. 1.2.6 Результаты экспериментального тестирования Тестирование осуществлялось неоднократно в среде Turbo Pascal 7.0 и установленной операционной системой Windows XP. Входе финального тестирования не было замечено никаких ошибок.
Для работы с данной программой мы непосредственно сталкиваемся с работой на ЭВМ. При работе с компьютером нужен персонал обладающий базовыми навыками работы с ПК. При оборудовании рабочего места должны быть учтены все факторы, а так же соблюдена техника безопасности. При работе пользователь сталкивается с вредным воздействием от монитора, поэтому следует соблюдать несколько простых правил: при долговременной работе нужно чаще отдыхать и делать расслабление глаз с помощью упражнений для глаз. Освещение должно быть подобрано таким образом что – бы обеспечить наименьшее напряжение на глаза. При работе с компьютером желательно использовать осветительный прибор с мягким освещением (не более 60-70 ватт). Запрещается разбирать системный блок, монитор, клавиатуру и прочие периферийные устройства в момент его работы. Для ремонта компьютера необходимо отсоединить компьютер от электросети. При некорректной работе компьютера, а также при появления характерного запаха из монитора или системного блока, немедленно отключить компьютер из сети. Расстояние от глаз до монитора должно составлять 40-60 сантиметров. Во избежании переутомления не рекомендуется длительное пребывание за компьютером. Заключение При разработке данного программного продукта мы научились работать с динамической памятью и с указателями, а так же пришлось поработать с большим количеством литературы. Данная программы показывает лишь немногие возможности, которые можно осуществить на ЭВМ. С программой предоставляется пояснительная записка, в которой поясняется принципы работы и описание программы. Список используемой литературы
Приложение А. Блок-схема главного модуля.
Рис. А1
Блок-схема процедуры вывода.
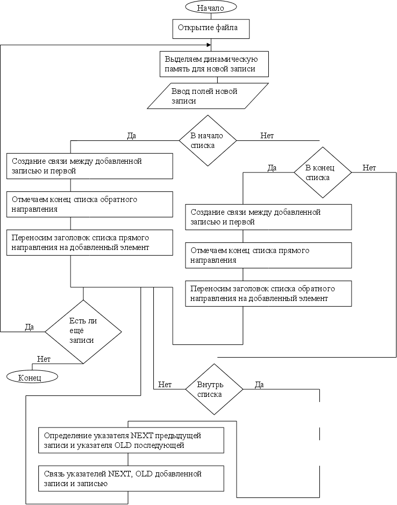
Рис. А2 Блок-схема процедуры добавления.
Определение значений указателей NEXT, OLD дополнительного элемента Присвоение добавленной записи значений NEXT, OLD предыдущей Блок-схема процедуры удаления.
Блок-схема процедуры поиска.
Блок-схема процедуры изменения.
Блок-схема процедуры записи в динамическую память.
Блок-схема процедуры создания файла.
|

























