Реферат: Системное и программное обеспечение
|
Название: Системное и программное обеспечение Раздел: Рефераты по информатике, программированию Тип: реферат | ||||||||||||||||||||||||||||||||||||||||||||||||||||||||||||||||||||||||||||||||||||||||||||||||||||||||||||||||||||||||||||||||||||||||||||||||||||||||||||||||||||||||||||||||||||||||||||||||||||||||
| Введение. Основные понятия, термины, определения. Програмирование: 1. В широком смысле слова,– процесс составления плана действий (или программ). 2. В узком смысле – раздел прикладной математики, изучающий способы и методы реализации алгоритма решения конкретной задачи, составление программы, ее отладку и эксплуатацию. Любая АСУ содержит два основных компонента: 1. Функциональная часть, реализация задачи, стоящей перед системой. Например управление предприятием: бухучет, кадры, склад и т.д. Это функциональная часть АСУП предприятия. 2. Виды обеспечения: а) техническое б) математическое в) программное г) информационное д) организационно–методическое е) правовое ж) метрологическое Жизненный цикл программного продукта: 1. Бумажное программирование (начинается с изучения предмета реализации, заканчивается – алгоритмом). 2. Программная реализация. 3. Эксплуатация программного продукта. Укрупненная технология разработки программных продуктов. Этапы и стадии: 1. Первоначальное изучение конкретной предметной области с помощью научно–техническоц литературы, а также с использованием технической эксплуатационной и нормативно–технической документации. Включает: ТОСТы, ОСТы, РТМы, Рмы. 2. Обследование объекта автоматизации (управления). Включает: исследование объекта автоматизации и анализ полученных данных. Исследование объекта автоматизации проводится как правило с помощью специально разработанных методик обследования, которые содержат специально разработанные формы с последующим их дополнением и рекомендациями по анализу полученных данных.
Второй этап предполагает сбор данных методом интервью у заказчика. Второй этап заканчивается подготовкой технического задания (технические условия, предложения, отчет). 3. Содержательная и формализованная постановка задач. 4. Разработка алгоритма решения задач. Входит: выбор, анализ, обоснование средств программирования. После выбора средств программирования составляется блок–схема алгоритма решения задач и дается соответствующее ее описание. 5. Собственное программирование. 6. Отладка тестирования и корректировка программного продукта. 7. По результатам опытной эксплуатации осуществляется корректировка программного продукта. 8. Сдача программного продукта в опытную эксплуатацию. 9. Программная эксплуатация разработанного программного обеспечения. 10. Создается новая версия или модернизация программного продукта. Способы преобразования информации при работе ЭВМ с внешними устройствами. Исходными данными в ниже рассматриваемых способах преобразования является точностные характеристики используемых параметров. Если Р
произвольный параметр процесса, объекта, системы и т.д., то его основной точностной характеристикой является дисперсия погрешностей: Р
® 1. Определение шага или интервала дискритизации.
Для обработки выборки N необходимо определить шаг дискретизации:
DT – может быть равномерным и неравномерным. Существуют разработанные алгоритмы и программы определяющие DT. Программы входят в состав стандартной библиотеки программ. 2. Отбраковка ложных промахов (выбросов).
Если значение Р
не попадает в 3. Сжатие информации. Два случая когда нужно сжать информацию: а) недостаточный объем памяти; б) не требуется высокая точность. Различают необратимое сжатие (НС) и квазиобратимое сжатие (КС) НС:
Сжатие–выборка:
При НС совокупность значений Р 1 —Р n заменяется на1 значение Р ср , которое запоминается, а предыдущая совокупность Р 1 —Р n стирается. КС (ложнообратимое):
При КС назначается значение разброса параметра Р —DР. Проводится расчет Р ср и запоминается два значения: Р ср и DР . Предыдущая совокупность Р 1 —Р n стирается. Для получения выборки значения Р от 1 до N используются стандартные программы RND по тому или иному закону. 4. Аналитическая градуеровка устройства.
Y ® ЭВМ Y– записанное значение в память ЭВМ. Известно устройство и принцип действия Þ функция X Y Неизвестно Х
берем По этой функции строится градуеровочная таблица:
. . полиномы n – степени. Эти полиномы реализованы в виде программ и на Паскале их . . объем достигает 40–60 строк. . . 5. Интерполяция и экстраполяция.
Интерполяция используется для нахождения промежуточного (прошлого) значения параметра Р . Различают: прямую, ступенчатую, параболическую, квадратичную интерполяцию.
Экстраполяция используется для нахождения будущих (последующих) значений. Р max – аварийное значение. Способы итерполяции и экстраполяции оформлены в виде программы, которая хранится в стандартной библиотеке. 6. Цифровая фильтрация. Существуют программы, реализующие цифровые фильтры 0,1,2–го порядка, а также цифровые фильтры Калмана и Калмана–Бьюри. Способы управления ЭВМ при работе с внешними устройствами. 1. Управление по отклонениям.
Проблема: Dх – может быть const или @. На практике: а) либо Dх определяется или рассчитывается исходя из описания объекта управления устройств связи с ОУ и условий его работы; б) либо проводится предварительное моделирование работы объекта и по результатам этого моделирования определяется работа х. 2. Пропорциональное управление.
Данный способ является более грубым по сравнению с предыдущим. На практике (когда объект не меняем):
3. Стохостическая аппроксимация.
Данный способ является более тонким по сравнению со вторым способом. Эти способы позволяют организовать сам процесс управления. Элементы математического моделирования. Различают следующие классы моделей: 1. Линейный и нелинейный. 2. Статический и динамический. 3. Непрерывный и дискретный. 4. Детерминированный (заранее определенный) и стохастический. Различные способы модели. Для автоматизации технических процессов функционирования объектов моделирования работы вычислительных систем как правило используется линейная стохостическая модель которая описывается системой 2-х векторных конечноразностных уравнений следующего вида:
, (1) уравнение динамики , (2) уравнение наблюдения (измерения) i– дискретное время
Ai ,i+1 – Известная квадратная матрица перехода процесса объекта системы из состояния в момент времени i в состояние момента времени i+1 размерностью [n*n];
Bi+1 – Известная матрица наблюдения или измерения в момент времени i+1 , размерностью [m*n];
m£n; В этой системе уравнений неизвестной являются его компоненты вектора столбца Пример: Измеряется плавно меняющийся параметр, которым нужно управлять (с заданной погрешностью).
В данной системе учитываются только аддитивные ошибки. Для учета, наряду с учетом аддитивных ошибок и мультипликативных ошибок система принимает вид:
Рассмотрена система уравнений представленных цифровым фильтром Калмана с помощью которого могут быть определены текущие параметры, а также предшествующие и последующие. Пример: Фрагмент программного обеспечения в сложной АСУ: АСУ=ОУ+ЦСУ а) Объект управления включает в себя: колесные средства передвижения и испытательный стенд для имитации натурных экспериментов. б) Комплекс технических средств: сложное АСУ имеющий иерархию.
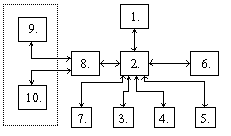
М–мышь; Вт–видетерминал; СК–сканер; Кл–клавиатура; ГП–графопостроитель; П–принтер; ПС–подсистемный сбор; ПУ–пультовое управление оператора. На 1-м уровне производится сбор, регистрация, преобразование информации, реализация управляющих воздействий. На 2-м уровне производится оперативная обработка информации с 1-го уровня. На 3-м уровне производится планирование экспериментов, обработка статистики за длительный период и ее анализ, расчет обработанных характеристик. 3. Взаимосвязь основных прикладных программ (программных модулей) под системой управления АСУ:
Модули: 1. Управляющая программа (программа–монитор). 2. Программа управления параметрами процесса. 3. Программа межмашинной связи (286 на 1-м уровне, 386 на 2-м уровне) и подсистема управления. 4. Модули межмашинной связи (286 процессора подсистема управления и 286 процессора подсистема сбора информации). 5. Программа сбора и регистрации измерительной информации в подсистеме управления (286 процессор подсистема управления) 6. Программа обработки измерительной информации в подсистеме управления (286 процессор подсистемы управления). 7. Программа начального диалога (программа, предназначена для ведения начального диалога пользователем с ПЭВМ 2-го уровня 386). 8. Программа визуализации процесса (ПЭВМ 2-го уровня 386). 9. Программа протоколирования результатов эксперимента (ПЭВМ 2-го уровня 386). 10. Программа сбора и регистрации измерительной информации в подсистеме сбора информации (286 процессор подсистемы сбора информации). 11. Программа аварийного останова (286 процессор подсистемы управления). 12. Программа перевода системы в режим ожидания (286 процессор системы управления). 13. Программы выхода из режима ожидания (286 процессор подсистемы управления). Эти программы предназначены для ввода, хранения и выдачи необходимой информации оператору с использованием базы данных. Содержит 2 вида исходных данных: а) постоянно меняющиеся данные (от сеанса к сеансу). К ним относятся дата и время проведения эксперимента; фамилия, имя, отчество оператора; его должность; техническое задание на эксперимент; технические условия; дополнительные условия. б) постоянные (редко меняющиеся) данные: справочная информация (ГОСТы, ОСТы, нормативы); справочные таблицы; различные расчеты (формулы). Этой справочной информации соответствует справочный раздел базы данных (справка или help–помощь). Рекомендуемые данные: метрологические характеристики приборов и устройств; постоянные сведения на эти приборы. Потом запускаем систему Þ 8. Программа визуализации процесса. Эти программы необходимы для вывода на экран важнейших параметров экспериментального процесса с возможностью просмотра других групп параметров. 9. Программа протоколирования результатов для выдачи на принтер результатов эксперимента. Два варианта протоколирования: а) прямой вывод информации (всех результатов) при отказе или аварии; б) оговоренный заранее заказчиком, вывод определенного блока результата эксперимента. 5,10. Программа сбора и регистрации измерительной информации. Предназначена для сбора информации с объекта управления и проверки параметров процесса на предупредительный и аварийный уровень. В данном примере информация регистрировалась в 2-х буферах, работающих поочередно. После наполнения 1-го буфера, информация переходит во 2-й буфер. 6. Программа обработки измерительной информации в подсистеме управления. Были реализованы на основе основных способах преобразования информации при работе ЭВМ с внешними устройствами. 11. Программа аварийного останова. Назначение: в случае превышения аварийного уровня параметров выдать команду на клапан, прерывающий подачу топлива. Она реализована на 2-х языках внешний блок– Турбо-Паскаль, внутренний блок – на Ассемблере (для быстроты). 12. Программа перевода системы в режим ожидания. Необходима в случае превышения предупредительного уровня параметров. На экран оператору выдается соответствующее сообщение. Испытывают 13 модуль и система снова начинает работать. 3,4. Программа межмашинных связей . Написана только на Ассемблере. 2. Программа управления параметрами процесса. Представляет собой внешнюю оболочку всех остальных программ. Пример способов преобразовании информации и управления при работе с внешними устройствами. В качестве АСУ рассмотрим АСУ ТП цеха термообработки деталей. 1. Объект управления (ОУ)– термическая печь закалки деталей:
Внутри печи надо создать температурное поле, которое обеспечило бы закалку деталей. Контроль за полем осуществляется в 100 точках с помощью датчиков одного класса и типа:
2. Комплекс технических средств (КТС). К нему относятся: а) датчики (Д)(ПП– первичный преобразователь). б) устройство связи с объектом – система интерфейса (УСО–Ш) в) вычислительная машина (комплекс ВК),(ППЭВМ типа IBM PC) г) кабели (КС) д) исполнительные механизмы (ИМ), нагревательные элементы (НЭ) е) пульт управления (ПУ) Типовой состав пульта управления: рабочее место оператора, приборы (измерительные), мнемосхема – отражения процесса (например лампочки), органы управления (тумблера, рычаги), средства связи. Структурная схема КТС:
Отражает одноуровневою структуру АСУ. Стандартный набор УСО: а) устройство преобразования информации – усилители, нормализаторы; б) устройство выдачи информации; в) устройство управления – контроллер; г) интерфейс; д) блок питания. Рассмотрим один из измерительных каналов АСУ ТП:
Д– первичный преобразователь. У– усилитель. Н– нормализатор. Способы управления: а) определение шага дискретизации; б) отбраковка ложных промахов; в) цифровая фильтрация; г) интер–экстрополяция. 3. Математическая постановка задачи.
Способ управления– стохостической аппроксимации.
Вместо yi используют y из RND с учетом распределения Гаусса.
Пример: Построение математической модели стохастического типа. В процессе функционирования АСУ получены 100 замеров плавноменяющегося параметра Р. Замеры проводились в течении 10 секунд равномерно (т.е. каждую секунду). Наибольшее отклонение параметра Р от его некоторого среднего значения Рср , не превышают 10% т.е. задана погрешность. Погрешность измерения параметра – 5%. Какой вид будет иметь стохастическая модель в виде системы двух конечноразностных уравнений (динамики и измерения).
DР – берем либо из условия задач или через большее значение. Построение баз данных. База данных (БД)– совокупность взаимосвязанных данных хранящихся в памяти ЭВМ, вводятся, хранятся, просматриваются, обрабатываются, а также выводятся на экран. Существует два способа создания базы данных: а) Позадачный– каждая задача работает со своей совокупностью данных; б) с использованием систем управления БД (СУБД).
Имеем БД, СУБД, задачи (прикладная программа 1,2, ... , n) работает сразу со всеми задачами. СУБД выполняет двоякую функцию: а) является инструментальным средством (средой), создания, разработки, программирование БД; б) обеспечивает эксплуатацию БД. Современные СУБД можно классифицировать на следующие классы: а) электронные таблицы (Super Calc /MSDOS/, Excel /Windows/) Первый класс СУБД используется для решения небольших по объему (V) и несложных по выполнению задач. Функциональные возможности электронных таблиц: — написание, корректировка и другая работа с текстом (т.е. имеют свой встроенный редактор); — проведение расчетов и вычислений с помощью общепринятых арифметических, логических операций и встроенных функций (sin, cos, tg, ctg). — работа в режиме псевдографики, т.е. создание столбцовых, прямоугольных, круговых, линейчатых, зонных и других диаграмм. — работа со встроенной БД реалиционного типа. Пример:
X В графике:
Умножение 200*300 B1*C1 Электронные таблицы содержат help(помощь); встроенный пакет–справочник с примерами. При работе с базой данных в электронных таблицах, исходную таблицу смещают вниз от левого верхнего угла, а вверху записывают условия нахождения данных, они же–результирующие таблицы, которые отражают поиска. б) Второй класс СУБД средство программирования баз данных оперативного типа (Clipper, dbase, FoxBase). Эти СУБД с точки зрения технологии создания БД аналогичны стандартному языку программирования (Турбо–паскаль). в) СУБД комбинированного типа (на основе файловой структуры /Clarion/). г) СУБД со встроенными программами (генераторами) автоматизированного программирования объектов БД (таблицу, форм входных документаций, меню с подключением механизма реорганизации данных в БД, запросов с отчетами /форм входных документов/). Paradox – язык Pal (Pal не уступает Турбо–Паскалю 7.0). Он позволяет подключение подпрограмм, написанных на любом языке программирования Объекты базы данных: 1. а) Таблицы (взаимосвязанные или невзаимосвязанные); б) логические (вертуальные) таблицы – связанные между собой с помощью ключевых атрибутов (нужна, чтоб не дублировать данные). 2. Формы входных документов с которыми работает пользователь. 3. Система управляющего меню. 4. Запросы. 5. Формы входных документов (отчеты). Для полноценной работы БД создают или подключают механизм реорганизации данных в БД. Жизненный цикл автоматизированной информационной системы: — “бумажное” программирование; — реализация; — эксплуатация (введение БД). Различают 3 основных модели БД: — иерархическая; — сетевая (реализует технологию “Клиент–Сервер”); — реляционную модель для IBM PC (локальная). Существует два подхода к созданию базы данных: — сначала создаются таблицы и формы, а потом меню и запросы с отчетом; — создается меню, потом таблицы и формы, запросы с отчетами. Элементы построения баз данных.
printf (“ú ¾¾¾¾¾ú ¾¾¾¾¾¾¾¾ú ¾¾¾¾ú ¾¾¾¾¾¾¾¾ú ¾¾¾¾¾¾ú ¾¾¾¾¾ú \n”); printf (“\n Номер ½Буква алфавита ½ ФИО ½ Место работы ½ Телефон ½ Адрес ½\n”); printf (“ú ¾¾¾¾¾ú ¾¾¾¾¾¾¾¾ú ¾¾¾¾ú ¾¾¾¾¾¾¾¾ú ¾¾¾¾¾¾ú ¾¾¾¾¾ú \n”); В современных средствах программирования баз данных используется программа автоматизации программирования следующих объектов: таблиц, форм документов, систем управления меню и запросов с отчетами. Эти средства делятся на классы: — средства операторного типа; — средства, включающие комплекс программ автоматизированного построения указанных объектов электронной таблицы. Для небольшого по V и несложных по вычислению баз данных используются электронные таблицы. Структура базы данных. Это взаимосвязь основных объектов БД (таблицы, формы, меню) с файловой структурой. В настоящее время для создания баз данных и других программных продуктов используются технологии “Клиент–Сервер”. Рассмотрим применение этой технологии на примере разработки фирмы Staffware (Англия). На протяжении последнего года эта фирма разрабатывает продукты вместе с IBM(США) и Microsoft (США). Структура разработки фирмы Staffware:
Данная система предназначена для автоматизации управления документами в электронном офисе. Объем электронной текстовой информации (документа) станет в 3 раза больше. Например в США ежедневно создается 900 млн. страниц информации, 76 млн. писем и 21млн. других документов, храница »1.3трл. документов на бумаге. Однако, получить доступ можно лишь к 10% этой информации. Примеры внедрения данной системы в России: а) Уникомбанк и его филиалы; б) ГосДума; в) Телебанк; г) АО “Связьинформ”; д) Московская сотовая связь; е) Газавтотехобслуживание; ж) Мосводоканал; е) Росэнерго. Расшифровка схемы: 1. Начальник. 2. UNIX–сервер (графическая станция). 3. Архив (дискеты, аппаратура). 4. Бухгелтерия (IBM PC, MS–Windows, Stаffware)/ 5. Канцелярия (IBM, управление канцелярией, MS–Windows). 6. Отдел реализации (IBM, управление канцелярией, MS–Windows). 7. Факсимильный аппарат (факс). 8. Модем. 9. Налоговая инспекция. 10. Банк. В данной системе используется русифицированный Windows и русифицированные прикладные программы с документацией. В более ранних разработках используется “Formflow”. Система обеспечивает: — управление документами; — обработку образцов документов. Workflow – это документооборот и/или потоки работ, которые организуются процедурой (последовательность четко выделенных шагов) в соответствии с предварительно заданными правилами и ориентирован на коллективное выполнение. Преимущества Workflow: а) много пользователей; б) много задач; в) разделение работ; г) управление, контроль исполнения; д) простота в использовании, гибкость. Яркий пример обеспечения этих достоинств, наличие в системе графопостроителя процедур (все делается на экране) – это новое инструментальное средство в составе Staffware, позволяет графически описать все основные компоненты логической схемы документооборота: — адреса–имена пользователей (их группы, их роли /должности/); — поля (текстовые, цифровые, демонстрационные); — команды связанные с полями или формами; — события (внешнее воздействие); — действия (последовательность, параллельность, условность); — ожидание , т.е. точки синхронизации; — предельные сроки. Формы могут быть разработаны с помощью разработчика форм Staffware for UNIX. Окно графического построителя процедур:
Просмотр процедур запускается на выполнение из главного окна Staffware. Командой в меню Procedure позволяет загрузить , сохранить, удалить и начать процедуру и определить владельца процедуры . Команда в меню Edit предназначена для удаления и корректировки объектов. В меню Tools обеспечивается выбор из набора объектов (схемы документооборотов): 1. Указатель. 2. Линия. 3. Маршрутизатор. 4. Шаг. 5. Автоматический шаг. 6. Сценарий. 7. Событие. 8. Административный отчет. 9. Условие. 10. Ожидание. 11. Стоп. В меню View уменьшение или увеличение размера изображения, команды карта–схема всей процедуры и выбора ее частей для редактирования. Field – единственная команда определить описание поля используемой процедуры, имя поля, его тип, длину. Options – установка различных параметров настройки различных построителей. Упрощенная структура базы данных. 1. База данных содержит таблицы, которые состоят из строк и столбцов.
2. Форма (ы) – как правило имеют три раздела.
Форма является маской, которая сканирует по строкам или записанным столбцам и выдает данные. 3. Система управляющего меню (оболочка). Оно работает как с формой, так и с таблицей, с запросами и т.д. 4. Запросы. 5. Механизм реорганизации данных. Основные функции электронных таблиц: Super Calc (MS DOS) и Excel (Windows). 1. Написание и корректировка текста, числовой информации, таблиц и матриц. 2. Проведение расчетов и вычислений с помощью операций и функций. 3. Псевдографика. 4. Наличие встроенной базы данных реляционного типа. Стандартный вид Super Calc.
Пример разработки БД для предоставления оперативной информации руководителю предприятия. БД должна включать четыре следующих раздела: — записная книжка; — сведения о предприятиях, фирмах и организациях; — планирование и контроль выполнения работ; — сведения о сотрудниках. Технология разработки БД используя 1-ый подход: сначала создаются таблицы и формы, а затем меню и отчеты с запросами. Разработка таблицы: Т1, содержащей сведения об интересующих руководителя, подразделениях (офиса) лицах.
Атрибуты– наименование колонок таблицы. 1. После создания таблицы с наименованием атрибутов необходимо расставить ключи: а) можно по номеру: сведения о лицах по заданному номеру; б) по букве алфавита; в) по Ф.И.О.; г) по домашнему телефону; д) по рабочему телефону. Это все 5 ключей. 2. Записи: определить тип данных. 3. Определить формат данных. Исходные данные в таблицу (БД) заносятся с помощью формы, которую мы еще не создали. Создание формы входного документа.
Создание управляющего меню. а) Главное меню (заставка). На нем отображаются сведения о предприятии или разработчиках данной БД. б) Версии и модификации информационной системы. в) Служебная информация (подсказка). Служебное меню:
отображает основные функции работы системы ввод, просмотр и корректировки данных, реорганизация данных, запросы. Создание запросов с формами выходных документов (отчетами). Различают запросы: — с параметрами для выборки; — с отчетами. Они потом склеиваются. Оба вида запросов стыкуются с другими в указанной последовательности и соответственно последовательно выполняются как единый запрос. Режим работы с запросами является наиболее эффективным. Формы выходных документов составляются разработчиками в соответствии с конкретной задачей и ширина этих форм 76 символов. ___________________________________________________________________________________________________ 1. Тема: БД для учета и контроля деятельности Маршрутно–Квалификационной Комиссии. Сведения: о деятельности Маршрутно–Квалификационной Комиссии. Атрибуты: Номер заявочной книжки, категория похода, район похода, наименование коллектива, Ф.И.О. руководителя, телефон руководителя, количество участников, количество взрослых, количество детей, год похода, сезон, сроки, продолжительность, вид туризма, основные пункты, километраж, дата регистрации, общее количество походов, общее количество участников. 2. Тема: БД для учета сведений о промышленных предприятиях, фирмах, кооперативах. Сведения: о предприятиях, фирмах, кооперативах. Атрибуты: номер, название предприятия, страна, адрес, телефон, основной вид деятельности. 3. Тема: БД для учета материальных ценностей склада, в выбранной таре, в нужном количестве и т.д. Сведения: о материальных ценностях склада. Атрибуты: номер склада, номер отдела, номер этажа, номер ряда, номер стеллажа, название материальной ценности, сведения об упаковочной таре, сведения о размере материальной ценности, сведения о весе, сведения о количестве, сведения о дате изготовления, сведения об изготовителе. 4. Тема: БД для автоматизации учета нарушений правил техники безопасности на горном предприятии (шахте). Сведения: о работниках предприятия, о нарушениях техники безопасности работниками предприятия. Атрибуты: табельный номер, Ф.И.О., возраст, должность, стаж работы, профсоюзный статус, дополнительная информация о работнике предприятия. 5. Тема: БД для учета и контроля наличия продукции на предприятиях. Сведения: о наличии продукции на складе предприятия. Атрибуты: название предприятия, наименование продукции, количество единиц продукции, себестоимость единицы продукции, номер (ГОСТ продукции).Тема: БД для контроля и учета исполнения документов на предприятии. Сведения: об исполнении документов. Атрибуты: номер, наименование раздела, наименование документа, краткое содержание документа, дата создания документа, дата использования документа, ответственный исполнитель, должность исполнителя, рабочий телефон, домашний телефон, местный телефон, дополнительная информация. 6.Тема: БД для учета труда и расчета заработной платы работников предприятия со сдельно–повременной формой оплаты. Сведения: по учету труда, сведения о заработной плате. Атрибуты: номер, Ф.И.О., деятельность, стаж работы, форма оплаты труда. 7.Тема: БД для учета туристических маршрутов. Атрибуты: категория отеля, срок тура, условия проживания, стоимость труда, специфика тура, туристическая фирма, контактные телефоны, страна. 8.Тема: БД для учета сведений о промышленных предприятиях города Москвы. Атрибуты: название, род деятельности, адрес, телефон, вид собственности, род образования, степень размера капитала. ___________________________________________________________________________________________________ Краткие сведения о технологии программирования баз знаний. Основные понятия и определения. Основные идеи современной автоматизации различных работ базирующихся на концепции баз данных. Понятие “системы баз данных”: СБД»БД+СУБД. Существует аналогичный термин – “система баз знаний”: СБЗ»БЗ+СУБЗ,(БЗ включает БД). БД – предметные знания (характеристики предметных областей). Система баз знаний (СБЗ) – аналогтермин БД который понимается как: а) инструментальная система для создания и функционирования баз знаний; б) функционирования конкретной базы знаний или несколько таких баз (прикладная). В зарубежной литературе СБЗ понимается как система базирующаяся на знаниях. В русско–язычной литературе СБЗ называется: интеллектуальная система, экспертная система, система искусственного интеллекта. Основные части базы знаний:
Примечания: 1. границы между частями условны (могут пересекаться). 2. в различных системах БЗ эти части имеют различия как в принципах, так и в деталях. Самая характерная черта СБЗ состоит в наличии и использовании БЗ. Интеллектуальная система относится к классу информационно–справочных систем. Структура и состав БЗ.
Замечание: часто в литературе СБЗ называют БЗ. Модульное программирование. Модульная часть программы выполняет определенную функцию, имеющая заключительный вид. Стратегия модульного программирования “сверху–вниз” применяется в тех случаях, когда разработчик имеет полный набор исходных данных. Эта стратегия дает возможность параллельно моделировать программы с наименьшей трудоемкостью. Тем не менее в тех случаях, когда получение полного набора исходных данных растянуто во времени, используют стратегию “снизу–вверх”, которая позволяет начать программу до момента получения полного набора исходных данных. Различные алгоритмические и неалгоритмические знания. Алгоритмические (процедурные) знания – алгоритмы, программы, процедуры, выходные функции, выполняют преобразования и решают точно определенные задачи. База алгоритмических знаний – любое собрание (библиотека) программ. Неалгоритмические знания – знания, состоящие из мыслимых объектов, называющиеся понятиями. Существует два вида неалгоритмических знаний: концептуальные (понятийные) и фактуальные (предметные). Структура и состав системного программного обеспечения (СПО). Структура СПО:
ОС– операционная система. ППП– пакеты прикладной программы. КПТО– комплекс программ технического обслуживания. УП– управляющая программа. СП– система программ. СО– система обслуживания. СГ– система генерации. Единая система программной документации (ЕСПД). Существует две основных системы документации: 1. ЕСКД (конструктивная документация). 2. ЕСПД (программная документация). Инструкция для введения базы данных, перечень основных документов необходимых при разработке программных продуктов и АСУ. 1. Техническое задание – это результат сбора и анализа исходных данных исследования конкретной предметной области и работы разработчика для заказчика. 2. Техническое предложение (необязательно). 3. Эскизный проект. 4. Технический проект. 5. Рабочий проект. 6. Паспорт на программное обеспечение и программу. 7. Паспорта на отдельные программные модули. 8. Инструкция системному программисту. 9. Инструкция программисту. 10. Инструкция пользователю. 11. Инструкция по эксплуатации. 12. Листы изменения. Техническое предложение – совокупность рекомендаций по реализации конкретной задачи. Иногда техническое предложение заменяется на части: Эскизный проект – документ с предварительным определением технических, математических, информационных, программных, метрологических средств, с организационно–методическим обеспечением. Технический проект – документ, в котором определены перечисленными в эскизном проекте средствами, не содержащий рабочей программы. Рабочий проект – завершающий документ, в котором окончательно определены все средства, начиная от технических и кончая организационный метод обеспечения. Стадии разработки ТЗ: Во многих случаях предшествует разработкам методами исследования конкретной предметной области. Рассмотрим СПД: ГОСТ 19104–78 – основные надписи. В состав основных надписей листа утверждения и титульного листа программных документов входят структурные данные: а) наименование ведомства; б) наименование документа; в) обозначение документа (коды); г) сведения о носителе данных с подлинником; д) сведения о разработчике; е) виза–норма контролера; ж) отметка об учете и хранении; з) сведения об изменении. ГОСТ 19105–78 – обязательные требования к программе. Программный продукт состоит из условных частей: а) титульная – лист утверждения, титульный лист; б) информационная – аннотация, содержание; в) основная – структура установленная стандартами ЕСПД на соответствующий документ; г) регистрация изменений – о каждом изменении документа делается надпись по ГОСТу 19603–78. ГОСТ 19106–78 – требования к программным продуктам, выполненным печатным способом. Печатные способы: а) машинописный – на одной стороне листа через два интервала (1 или 1.5 интервала можно, если подходить к микрофильмированию по ГОСТу 13102–72); б) машинный – на одной стороне листа через интервал для микрофильмирования; в) типографный способ – в соответствии с требованиями, предъявляемыми к изданиям, изготовленным этим способом. ГОСТ 1975–78 – спецификация требований к содержанию оформления. Спецификация выпускаемая на каждую программу, в общем случае должна содержать: а) документацию; б) входящие программы. ГОСТ 19402–78 – описание программы. Основная часть состоит из вводной части и разделов: а) функциональная назначенность; б) описание логики. ГОСТ 19501–78 – формуляр к требованию содержания оформления. В основной части документа различают: а) общие указания; б) общие сведения; в) основные характеристики; г) комплектность; д) периодический контроль основных характеристик при эксплуатации и хранении; е) свидетельство о приемке; ж) свидетельство об упаковке и маркировке; з) гарантийные обязательства; и) сведения о рекламациях; к) сведения о хранении; л) сведения о закреплении программного изделия при эксплуатации; м) сведения об изменениях; н) особые отметки; о) примечания. ГОСТ 19502–78 – основные описания требуемые к содержанию и оформлению. Разделены на основные части: а) назначение; б) условия применения; в) состав и функции. При создании БЗ используется механизм принятия решений с набором логических функций. Для их построения применяются две таблицы истинности (в них используется 5 операций): 1. @ (эквивалентный). 2. É (следование). 3. & (И). 4. È (ИЛИ). 5. – (отрицание). Таблица 1: Таблица 2:
Пример:
Структурное программирование. Схема алгоритма– графическое представление алгоритма, дополняется элементами словесной записи. Каждый пункт алгоритма отображается на схеме некоторой геометрической фигурой – блоком. Причем правило выполнения схем алгоритмов регламентируют два ГОСТа: 1. ГОСТ 19.002–80 2. ГОСТ 19.003–80 (ЕСПД–единственная система программной документации) Блоки на схемах соединяются линиями потоков информации. Основное направление потока информации идет сверху–вниз и слева–направо (стрелки могут не указываться), снизу–вверх и справа–налево — стрелка обязательна. Количество входящих линий для блока не ограничено. Пример: Выходящих линий – одна, за исключением логического блока.
1. Блок вычислений –вычислительные действия или последовательность действий.
2. Логический блок – выбор направления выполнения алгоритма в зависимости от некоторого условия.
3. Блоки – общие обозначения ввода (вывода) данных (вне ввода–вывода зависимости от физического носителя) (Вывод данных, носителем которых является документ)
4. Начало (конец) –Начало или конец алгоритма, вход или выход в программу.
5. Предопеделяющий – Вычисление по стандартной программе или подпрограмме процесс пользователя. (подпрограмма)
6. Блок модификации – Функция выполняет действия, изменяющие пункты (заголовок цикла) алгоритма.
7. Соединитель – Указание связи прерванными линиями между потоками информации в пределах 1 листа.
8. Межстраничные – Указание связи между информацией на разных листах. соединения В блоках приняты размеры:
а=10,15,20 мм
b=1.5*а
Пример: Разработка блок схемы алгоритма решения задачи по контролю знаний слушателей ФПК.
ОписаниеФФффуввыа блоков схемы алгоритма решения задачи. Блок 1 – ввести имя (обозначение) задачи, ввести дату и время, используя символьные клавиши основной части клавиатуры и управляющие клавиши F1–F10. Блок 2 – разработать элемент с помощью установки курсора на соответствующую опцию, обслуживающую меню пакета (СУБД) и нажать клавишу ENTER. Блок 3 – блок условия о создании таблиц: если Да, идти на блок 4; если Нет то на блок 5. Блок 4 – создание таблицы Т, используя вышеперечисленные клавиши блока 1 и специальные команды редактора таблиц. Блок 5 – условие создания формы F1: если Да – блок 6, если Нет –блок 7. Блок 6 – создание формы F1 с использованием перечисленных клавиш и команд. Блок 7 – условие создания формы F2: если Да – блок 8, если Нет – блок 9. Блок 8 – создание формы F2 с использованием аналогичных клавиш и команд. Блок 9 – условие создания пользовательского меню: если Да – блок 10. Пояснения к записям: в ней содержатся сведения о слушателях, Ф.И.О., номер служителя. 1-ый запрос: сведения о средних даллах; 2-ой запрос: диаграмма результатов контроля знаний слушателей ППК. |
||||||||||||||||||||||||||||||||||||||||||||||||||||||||||||||||||||||||||||||||||||||||||||||||||||||||||||||||||||||||||||||||||||||||||||||||||||||||||||||||||||||||||||||||||||||||||||||||||||||||






, · – коэффициент







; ±> – больше аварийного.


; 
















