Реферат: Статистика трудовых ресурсов, занятости и безработицы
|
Название: Статистика трудовых ресурсов, занятости и безработицы Раздел: Рефераты по трудовому праву Тип: реферат | |||||||||||||||||||||||||||||||||||||||||||||||||||||||||||||||||||||||||||||||||||||||||||||||||||||||||||||||||||||||||||||||||||||||||||||||||||||||||||||||||||||||||||||||||||||||||||||||||||||||||||||||||||||||||||||||||||||||||||||||||||||||||||||||||||||||||||||||||||||||||||||||||||||||||
Курсовая работа по статистике на тему: «Статистика трудовых ресурсов, занятости и безработицы» Выполнила: Трусова Татьяна Викторовна студентка 3 курса факультет: учётно-статистический специальность: бух. учёт(вечер) №02УБД7380 Калуга -2004- Оглавление. 1. Статистика трудовых ресурсов…………4 2. Статистика занятости и безработицы…..10 1. Задание №1…………………………………21 2. Задание №2…………………………………25 Введение. В любом современном обществе всегда существует часть населения, которая желает работать (при чем неважно, является ли эта часть населения занятой или ее можно отнести к безработным) и те, кто нанимает этих желающих работать на работу для производства каких-нибудь товаров или услуг. И те и другие, а также государство, как один из самых заинтересованных посредников, устанавливающее основные правила игры, вступают в непосредственные и опосредованные контакты друг с другом по поводу купли-продажи рабочей силы, обучения работников и использования их в процессе производства.Возникающие при этом между ними совокупность отношений носит название рынок труда. Однако кроме понятия рынок труда существует еще и понятие. Дадим еще несколько понятий, необходимых нам для понимания сути рассматриваемого вопроса курсовой. Экономически активное население страны – часть населения обоих полов, обеспечивающая предложение рабочей силы для производства товаров и услуг (включает в себя занятых и безработных). Занятыми следует назвать тех лиц обоего пола, которые в рассматриваемый период выполняли работу по найму за вознаграждение на условиях полного или неполного дня, а также выполняли работу не по найму, самостоятельно или с несколькими компаньонами, выполняли работу без оплаты на семейном предприятии или временно отсутствовали на работе (из-за болезни, ухода за больными, отпуска, забастовки и т.д.) Безработными считаются лица 16 лет и старше, которые в рассматриваемый период не имели работы (доходного занятия), занимались поиском работы в государственных или коммерческих службах занятости, предпринимали шаги к открытию собственного дела, были готовы приступить к работе. Все эти понятия и вопросы я раскрою более подробно в своей курсовой работе. 1. Статистика трудовых ресурсов . Трудовые ресурсы - это лица обоего пола, которые потенциально могли бы участвовать в производстве товаров и услуг. Они имеют важное значение в условиях рыночной экономики, поскольку интегрируют такие категории, как экономически активное население, включающее занятых и безработных лиц, и экономически неактивное население в трудоспособном возрасте. Численность трудовых ресурсов определяется исходя из численности трудоспособного населения в трудоспособном возрасте и работающих лиц за пределами трудоспособного возраста. Человеку труда принадлежит решающая роль в развитии хозяйственной деятельности, совершенствовании её организации и управления с целью получения наибольшей отдачи от своей творческой работы. Люди изобретают и производят орудия труда и средства производства, организуют рациональное разделение и кооперацию труда на различных уровнях производственной деятельности, начиная от рабочего места и кончая организацией в рамках всего народного хозяйства. Рабочая сила, как совокупность физических и духовных способностей человека является главной производительной силой общества и составляет трудовые ресурсы всех предприятий и учреждений, принадлежащих к различным отраслям народного хозяйства. Трудовые ресурсы каждой произведённой единицы представляет собой часть распределённых по отраслям народного хозяйства трудовых ресурсов. Статистической характеристикой наличия трудовых ресурсов предприятия, учреждения, объединения, отрасли промышленности, сельского хозяйства, строительства или транспорта в отдельности или всего народнохозяйственного комплекса, является списочная численность занятых в них работников. Статистика каждой отрасли народного хозяйства изучает следующие вопросы, связанные с применением живого труда: 1. Статистика трудовых ресурсов и их использования. 2. Статистика производительности труда. 3. Статистика заработной платы. Статистика трудовых ресурсов делится в свою очередь на две части: 1.Статистику рабочей силы – основными задачами является изучение численности и состава работников, изучение изменения численности работников; оценка обеспеченности предприятия трудовыми ресурсами; изучение организации труда и использования работников по соответствующей квалификации; изучение трудовой дисциплины. 2.Статистику рабочего времени - задачами является определение общей величины отработанного времени; изучение использования рабочего времени, и выявление потерь рабочего времени. Статистика состава трудовых ресурсов. В силу разноплановости трудовых ресурсов состав работников на предприятии изучается в следующих направлениях: 1) по отраслевой принадлежности; 2) по участкам работы; 3) по функциям, выполняемым в процессе производства. В зависимости от отраслевой принадлежности подразделения предприятий выделяют персонал основной деятельности или промышленно-производственный персонал и персонал непромышленных организаций. По выполняемым функциям работники промышленно-производственного персонала подразделяются на шесть категорий: рабочие, ученики, инженерно-технические работники (ИТР), служащие, младший обслуживающий персонал (МОП) и работники охраны. Самой многочисленной и основной частью состава работников являются рабочие. К рабочим относятся лица, непосредственно связанные с производством продукции, а также лица, занятые ремонтом и уходом за оборудованием, доставкой материала к рабочим местам и т.д. К ученикам относятся лица, обучающиеся на производстве той или иной профессии рабочих и получающие заработную плату. ИТР составляют ту часть предприятия, которые осуществляют организацию и руководство производственным и технологическим процессом. К служащим относятся работники, выполняющие административно-управленческие и хозяйственные функции. К МОПу относят работников, имеющих дело с обслуживанием производственных и непроизводственных помещений. В зависимости от роли в процессе производства продукции различают основных и вспомогательных рабочих. К основным относят рабочих ,непосредственно занятые изготовлением продукции, приводящие к действию производственное оборудование. К вспомогательным относятся рабочие, занятые обслуживанием основных рабочих, оборудования, на автоматизации их труда. Рабочие основные и вспомогательные в свою очередь характеризуются степенью механизации и автоматизации их труда. Важнейшим статистическим показателем численности работников предприятия является величина среднего списочного числа работников. Средняя списочная численность работников предприятия или цеха, принятых за неполный рабочий день, исчисляется так: общее число человеко-часов, отработанных этими работниками за месяц, делится на установленную продолжительность рабочего дня и полученное таким образом число отработанных человеко-дней, делят на число рабочих дней в месяце по календарю. Например, за месяц, в котором по календарю 22 рабочих дня, рабочими отработано 12500 человеко-часов. Тогда при пятидневной рабочей недели число отработанных человеко-дней составит 1524, как частное от деления 12500 на 8,2; т.е.12500:8,2. Средняя списочная численность рабочих, принятых за неполный рабочий день (1524:22=69 чел.) составит 69 человек. Таким образом, среднюю списочную численность работников, принятых за неполную рабочую неделю, определяют как отношение отработанных этими Работниками человеко-дней к числу рабочих дней в отведённом месяце по календарю. А среднее списочное число работников работающих полный рабочий день вычисляется как среднюю арифметическую простую в течение определённого отрезка времени (месяц, квартал, год). Предположим, что за первое полугодие средняя списочная численность промышленно-производственного персонала составила 730 человек, а за июль - 710, август 700. Средняя списочная численность промышленно-производственного персонала за январь - август (8 мес.) будет равняться: (736х6+710х1+700х1):8=5826:8=728 Основное внимание экономическая статистика уделяет той части трудовых ресурсов, которая принимает участие в общественном труде. Не менее важной задачей остаётся определение занятых работников по отрасли народного хозяйства. Выделяются две группы трудовых ресурсов: занятые физическим трудом и занятые умственным трудом. Показатели движения трудовых ресурсов и использование рабочего времени . Показатели движения трудовых ресурсов раскрывают процессы роста или уменьшения, перемещения работающих на предприятии, перемещения работающих на предприятиях и организациях, а также в целом по отрасли, регионам или страны в целом. Для характеристики движения работников используются следующие показатели: 1.Абсолютные: -оборот работающих – величина равная общему числу принятых и уволенных работников за определённый период. -оборот по приёму – число работников, принятых на предприятие за определённый период. Данные по этому показателю группируются следующим образом: по организованному набору; из числа окончивших профессионально-техническое училища; принятым самим предприятием; принятые для прохождения производственной практики и работы учащихся ПТУ и студентов ВУЗов и техникумов. -оборот по увольнению – число работников, уволенных с предприятия за определенный период. 2.Относительные: -коэффициент интенсивности оборота числа работающих как отношение абсолютной величины оборота к среднесуточной численности работающих. -коэффициент оборота по увольнения как отношение числа уволенных к среднесписочной численности. -коэффициент текучести, как отношение числа уволенных по собственному желанию (прогулы) к среднесписочной численности. Статистика рабочего времени. В статистической практике в качестве единицы измерения рабочего времени служат человеко-день и человеко-час. Под человеко-днем понимают явки на работу одного человека в течение полного рабочего дня. В статистике отработанным человеко-днем для работника считается такой день, когда он явился и приступил к работе независимо от ее продолжительности. Человеко-днем целодневного простая считается такой день, когда работник явился на работу, но по тем или иным причинам, обычно от него не зависящим, к работе не преступил. Человеко-днем неявки считается для работника, состоящего в списках предприятия, такой день, когда он не явился на работу, нет. Учет рабочего времени в человеко-днях не позволяет вскрыть потери рабочего времени, которые могут иметь место внутри рабочего дня, что обусловлено спецификой самого понятия "отработанный человеко-день". Поэтому наряду с учетом рабочего времени в человеко-днях осуществляется учет в человеко-часах. В человеко-часах учитывается фактически отработанное время и внутрисменные перерывы внутри рабочего дня. В статистической отчетности учет в человеко-часах ведется только по рабочим. Отработанными человеко-часами считается час фактической работы одного человека. В свою очередь по режиму работы отработанные человеко-часы делятся на урочные и сверхурочные. Наличие сверхурочных часов является следствием неритмичной работы предприятия и других недостатков в организации производства. Внутрисменные перерывы представляют собой невыполнение рабочими производственных обязанностей внутри смены. В статистической практике внутрисменными простоями считается время простоев, которые имели место внутри рабочего дня или смены, продолжительностью от 5 мину т. По данным учёта рабочего времени в человеко-днях и человеко-часах рассчитываются следующие показатели использования рабочего времени: 1.Средняя арифметическая продолжительность рабочего дня. 2.Среднее число дней работы на одного списочного рабочего. 3.Среднее число часов работы на одного списочного рабочего. Система показателей использования рабочего времени на предприятии строится на классификации календарного фонда времени, учете его использования в разрезе выделенных в ней группировок и ряда взаимосвязанных относительных показателей в различных единицах измерения. Календарный фонд времени, составляющий физически предельные ресурсы рабочего времени предприятия, равен числу работников, умноженному на число календарных дней в году, или сумме явок и неявок всех работников в течение года. Календарный фонд отражает то же экономическое содержание, что и показатель среднесписочной численности работников исчисленный в человеко-днях. Календарный фонд без праздничных и выходных дней называется табельным фондом рабочего времени. Максимально возможный фонд рабочего времени, который характеризует наилучший показатель использования рабочего времени, определяется как разность между календарным фондом и суммой очередных отпусков, праздничных и выходных дней. Отношение максимально возможного фонда рабочего времени к среднесписочной численности работающих, показывает среднюю продолжительность рабочего года. Этот показатель является одной из социально-экономических характеристик труда. 2.Статистика занятости и безработицы. В соответствии с концепцией рабочей силы, отвечающей международным стандартам, занятость и безработица рассматриваются как две взаимодополняющие характеристики. Равновесию экономической системы соответствует определенный уровень занятости. При этом обычно спрос на труд превышает существующий объем занятости, что обусловливает наличие безработицы. Вместе с тем это превышение не беспредельно для обеспечения экономической и социальной стабильности общества. Поэтому в странах с рыночной экономикой занятость и безработица изучаются систематически. Статистические данные необходимы при регулировании рынка труда, обеспечении социальной защиты населения, организации своевременной профессиональной подготовки и переподготовки кадров. Задачи занятости и безработицы: 1) сбор данных о численности занятых и безработных как составных частях рабочей силы; 2) измерение уровня занятости и безработицы с целью изучения состояния, тенденций на рынке труда; 3) изучение трудоустройства населения для оценки ситуации на рынке труда и ее прогнозирования; 4) изучение состава занятых и безработных с тем, чтобы разработать программу занятости; 5) измерение взаимосвязи между занятостью, доходом, содержанием и другими мотивациями труда с целью разработки программы занятости. Выполнение этих задач создает условия для измерения предложения рабочей силы и ее фактического использования. Их решение основывается на сочетании ряда источников информации. В соответствии с рекомендациями МОТ, как было отмечено ранее, статистика рассматривает численность занятых и безработных как две составные части экономически активного населения, т. е. рабочей силы. Под экономически активным населением (рабочей силой) подразумевается часть населения, обеспечивающая предложение рабочей силы для производства товаров и услуг. Численность экономически активного населения измеряется по отношению к определенному периоду и включает занятых и безработных. Для примера укажем, что численность экономически активного населения к концу апреля 1996 г. составила в России 73,1 млн. человек Численность экономически активного населения оценивают по данным выборочных обследований населения по проблемам занятости. Чтобы иметь представление об уровне экономической активности населения страны (региона), определяется доля экономически активного населения в общей численности населения. В России в конце 1995 г. уровень экономической активности населения был равен 49,4%. Это значит, что в общей численности населения страны 49,4% составляют жители, обеспечивающие предложение рабочей силы. В их числе 67,1 млн. человек (91,7%) были заняты всеми видами экономической деятельности и 6,0 млн. человек (8,3%) не имели занятия, но активно его искали и в соответствии с методологией МОТ классифицировались как безработные. Правильное измерение экономически активного населения зависит от того, как точно определены его две составные части: занятые и безработные. К занятым относятся лица обоего пола в возрасте 16 лет и старше, а также лица младших возрастов, которые в рассматриваемый период: 1) выполняли работу по найму за вознаграждение (на условиях полного либо неполного рабочего времени), а также иную приносящую доход работу (самостоятельно или у отдельных граждан); 2) временно отсутствовали на работе из-за болезни, травмы, по случаю отпуска и другим причинам; 3) выполняли работу без оплаты на семейном предприятии. К безработным относятся лица 16 лет и старше, которые в рассматриваемый период: 1) не имели работы (доходного занятия); 2) занимались поиском работы (обращались в службу занятости, к администрации предприятия, использовали личные связи, помещали объявления в печати и др.) или предпринимали шаги к организации собственного дела; 3) были готовы приступить к работе. При отнесении к безработным должны присутствовать все три критерия, перечисленных выше. К безработным относятся также лица, обучающиеся по направлению служб занятости или выполняющие оплачиваемые общественные работы, получаемые через службы занятости. По методологии МОТ к безработным могут быть отнесены и учащиеся, студенты, пенсионеры и инвалиды, если они занимались поиском работы и были готовы к ней приступить. В составе безработных выделяются лица, не занятые трудовой деятельностью, зарегистрированные в службе занятости в качестве ищущих работу, а также признанных безработными. Чтобы иметь представление об уровне экономической активности населения страны (региона), определяется доля экономически активного населения в общей численности населения. В России в конце 1995 г. уровень экономической активности населения был равен 49,4%. Это значит, что в общей численности населения страны 49,4% составляют жители, обеспечивающие предложение рабочей силы. В их числе 67,1 млн. человек (91,7%) были заняты всеми видами экономической деятельности и 6,0 млн. человек (8,3%) не имели занятия, но активно его искали и в соответствии с методологией МОТ классифицировались как безработные. Правильное измерение экономически активного населения зависит от того, как точно определены его две составные части: занятые и безработные. Ситуация на рынке труда оценивается не только через абсолютную численность занятых и безработных, но и через уровень безработицы и уровень занятости, которые определяются как удельный вес соответствующей категории рабочей силы в численности экономически активного населения на начало (конец) периода: Уровень численность безработных
(в %) численность экономически активного населения Уровень численность занятых
(в %) численность экономически активного населения Состав занятых. Занятость - одна из важнейших социально-экономических проблем рыночной экономики. Ее статистическое отражение неоднократно обсуждалось на международных конференциях статистиков труда (1949, 1957, 1982, 1993 гг.), проводимых Международным бюро труда (г. Женева) - основным рабочим органом Международной организации труда (МОТ). Уровень занятости характеризует степень использования трудоспособного населения в сфере общественно полезного труда. Величина данного показателя отражает сложившуюся экономическую ситуацию в стране. Она зависит от развития производительных сил, научно-технического прогресса в обществе, уровня благосостояния населения. Различают полную, частичную и скрытую занятость. Полная занятость предполагает создание таких условий жизни, при которых каждому трудоспособному человеку предоставляется возможность при его желании быть занятым или незанятым. Полная занятость не означает, что все трудоспособное население в трудоспособном возрасте должно быть обязательно занятым. В силу ряда обстоятельств отдельные трудоспособные лица могут и не участвовать в процессе труда (женщины, ухаживающие за детьми; люди, не работающие потому, что желают сменить профессию и др.). Полная занятость достигается, когда спрос на рабочую силу совпадает с ее предложением, что является довольно редким событием в условиях рыночной экономики. Частичная занятость предполагает заранее обусловленную работу в течение неполного рабочего дня, неполной рабочей недели. Она присуща странам с высоким уровнем экономического развития, где состояние науки создает экономические условия для частичной занятости. В настоящее время удельный вес численности частично занятых в экономически активном населении составляет: в Норвегии - 25,6%, Великобритании - 24,7%, Швеции — 24,7%, Австралии - 20,2%, США - 17,3%, в Японии - 12%. Рост категории частично занятого населения предполагает достаточно высокий уровень оплаты труда. Неполный рабочий день (неделя) может более широко использоваться и в нашей стране, особенно среди женщин, не как вынужденная, а как сознательно выбранная форма организации труда. Особого внимания заслуживает скрытая занятость (потенциальная безработица), при которой работники трудятся не по своей воле в режиме неполной занятости, пользуются отпусками по инициативе администрации без сохранения или с частичным сохранением заработной платы. Такая неполная видимая занятость преуменьшает реальное число безработных. Изменения в отраслевом составе занятых за рассматриваемый период достаточно заметны. Интенсивность структурных сдвигов может быть измерена, например, с помощью квадратического коэффициента абсолютных структурных сдвигов:
где
При изучении состава занятых статистика руководствуется Международной классификацией статуса в занятости (МКСЗ). Статус в занятости определяется для экономически активного населения, т. е. как для занятых, так и для безработных. Для безработных, ранее имевших работу, статус определяется по их предыдущей занятости. МКСЗ дает группировку отдельных лиц в зависимости от их фактической или потенциальной связи с работой. В настоящее время в России 93% - это наемные работники, т. е. лица наемного труда, заключившие трудовой договор, контракте руководителем предприятия или устное соглашение с отдельным лицом об условиях трудовой деятельности и размере оплаты труда. Сюда же относятся лица, назначенные на оплачиваемую должность, включая руководителей предприятий и организаций. К лицам, работающим на индивидуальной основе, относятся граждане, осуществляющие самостоятельно деятельность, приносящую доход, не используя при этом наемный труд (за исключением случайных или сезонных работ). Эта группа людей пока не велика-4,2%.К работодателям относятся лица, управляющие собственным частным (семейным) предприятием, фермой или работающие самостоятельно, но постоянно использующие труд наемных работников. В общей численности предпринимателей, осуществляющих свой бизнес (0,9%), преобладают мужчины, хотя постепенно и женщины все чаще занимаются им. Как говорят англичане, «в бизнесе нет мужчин и женщин, есть деловые партнеры» Неоплачиваемые работники семейных предприятий - это лица, работающие без оплаты на частном семейном предприятии, которым владеет родственник. Члены коллективных предприятий - лица, работающие на данном предприятии и являющиеся собственниками, совладельцами его. Они принимают непосредственное участие в решении всех вопросов, связанных с деятельностью предприятия, распределением его доходов среди членов коллектива. Для наемных работников статистика изучает социальный состав занятых, подразделяя работающих на рабочих и служащих. Рабочие представляют собой работников, занятых непосредственно в процессе создания материальных ценностей, а также производящих ремонтные работы, перемещение грузов, пассажиров, оказание материальных услуг. Среди служащих рассматриваются следующие три группы: руководители, специалисты и другие служащие. Группа руководителей включает работников, занимающих должности руководителей предприятий и их структурных подразделений. Эта группа охватывает глав администраций, министров, директоров, начальников, управляющих, менеджеров. В группу специалистов входят занятые инженерно-техническими, экономическими, агрономическими работами. Группа других служащих состоит из лиц, подготавливающих и оформляющих документы, осуществляющих учет, контроль, хозяйственное обслуживание. К ним относятся: агенты, архивариусы, дежурные, делопроизводители, кассиры, коменданты, секретари-машинистки, смотрители, статистики, стенографистки, табельщики, учетчики, чертежники. Все работающие в зависимости от вида исполняемой работы и уровня квалификации распределяются при изучении состава занятых по видам занятий в соответствии с Общероссийским классификатором занятости (ОКЗ), разработанным на базе Международной стандартной классификации занятий (МСКЗ). По данным ОКЗ можно получить информацию, позволяющую вводить международные сопоставления в области занятости. В отличие от ОКПДТР данный классификатор охватывает не только лиц, работающих по найму, но и выступающих в роли работодателей, самостоятельно занятых, членов производственных кооперативов, а также неоплачиваемых семейных работников. Состав безработных. Различают безработицу фрикционную, структурную, институциональную, циклическую, добровольную. Фрикционная безработица отражает текучесть кадров, связанную с переменой рабочих мест, места жительства. Среди совокупной рабочей силы какая-то часть постоянно находится в движении, перемещаясь на новые рабочие места. Этот тип безработицы включает в себя людей, которые незаняты в связи с переходом с одной работы на другую и в течение недели рассчитывают приступить к работе на новом месте, а также работников в тех отраслях, где временные увольнения являются нормой без влияния на общий уровень дохода людей, например, в строительстве. В период внедрения новых достижений технического прогресса, такое движение становится не только неизбежным, но и более интенсивным. В какой-то мере эта безработица является желательной т.к. многие рабочие переходят с низкопродуктивной, малооплачиваемой работы на более высокооплачиваемую и более продуктивную работу. Это означает более высокие доходы для рабочих и более рациональное распределение трудовых ресурсов, а следовательно, и больший реальный объем реального национального продукта. Структурная безработица по существу является углублением фрикционной. С течением времени в структуре потребительского спроса и в технологии происходят важные изменения, которые, в свою очередь, изменяют структуру общего спроса на рабочую силу. Из-за таких изменений спрос на некоторые виды профессий уменьшается или вовсе прекращается. Спрос на другие профессии, включая новые, увеличивается. Возникает безработица, т.к. рабочая сила реагирует на это изменение медленно и ее структура не отвечает новой структуре рабочих мест. Разница между структурной и фрикционной безработицей весьма неопределенная. Существенное различие состоит в том, что у “фрикционных” безработных есть навыки, которые они могут продать, а структурные безработные не могут сразу получить работу без переподготовки. Фрикционная безработица носит более краткосрочный характер, а структурная более долговременная и поэтому считается более серьезной проблемой. Институциональная безработица возникает, когда сама организация рынка труда недостаточно эффективна. Допустим, неполна информация о вакантных рабочих местах. Уровень безработицы был бы ниже при налаженной работе системы информации. В этом же направлении действует завышенное пособие по безработице или заниженные налоги на доходы. В этом случае возрастает продолжительность безработицы т.к. гасятся стимулы для энергичных поисков работы. Циклическую безработицу вызывает спад производства во время промышленного кризиса, депрессии, спада, т.е. фаза экономического цикла, которая характеризуется недостаточностью общих, или совокупных, расходов. Когда совокупный спрос на товары и услуги уменьшается, занятость сокращается, а безработица растет. По этой причине циклическую безработицу иногда называют безработицей, связанной с дефицитом спроса. С переходом к оживлению и подъему число безработных обычно становится меньше. Добровольная безработица вызвана тем, что в любом обществе существует прослойка людей, которые по своему психическому складу или по иным причинам не хотят работать. В нашей стране хорошо известно, что усилия по принудительному устройству так называемых “бомжей” не привели к переориентации этой категории населения. Таким образом, безработица является характерной чертой рыночной экономики. Поэтому полная занятость - нонсенс, не совместимый с идеей рыночного хозяйства. В то же время понятие “полная занятость” не означает полного отсутствия безработицы. Экономисты считают фрикционную и структурную безработицу совершенно неизбежной, следовательно, уровень безработицы при полной занятости равен сумме уровней фрикционной и структурной безработицы. Другими словами, уровень безработицы при полной занятости достигается в том случае, когда циклическая безработица равна нулю. Уровень безработицы при полной занятости называется естественным уровнем безработицы. Расчётная часть. Задание№1 Имеются следующие данные о численности занятого населения в экономике РФ, млн. чел.
Определите за каждый год: 1) численность занятого населения в экономике по формам собственности; 2) Численность безработных; 3) уровень экономической активности населения; 4) уровень занятости населения; 5) уровень безработицы; 6) коэффициент нагрузки на одного занятого в экономики; 7) структуру численности занятого населения по формам собственности. Построить секторную диаграмму. 8) Определить абсолютные приросты, темпы роста. Дать экономический анализ показателей, сделать вывод. Задание№2 Определить интегральный показатель структурных различий занятого населения в экономике по формам собственности (индекс А. Салаи). Решение: Задача№1 1) на государственных и муниципальных предприятиях занято в 1999г. 24,4млн. чел., в частном секторе-26,6, в общественных организациях-0,4, на совместных предпритиях-11,6,на предприятиях смешанной формы собственности-0,8. Показатели на 2000г. 24,4; 29,7; 0,5;8,0; 1,7 соответственно. 2) численность безработных (Б)=численность экономически активного населения (ЭА) - численность занятых (З). Б1999=72,5-(24,4+26,4+0,4+11,6+0,8)=72,5-63,6=8,9млн. чел. Б2000=71,3-(24,4+29,7+0,5+8+1,7)=71,3-64,3=8 млн. чел. 3)Уровень экономически активного населения (ЭА%)=ЭА/ср.год.числ.нас. ЭА%1999=72,5/146,6*100=49,5% ЭА%2000=71,3/145,2*100=49,1% 4)Уровень занятого населения (З%)=З/ЭА*100 З%1999=63,6/72,5*100=87,7% З%2000=64,3/71,3*100=90,1% 5)Уровень безработицы (Б%)=Б/ЭА*100 Б%1999=8,9/72,5*100=12,3% Б%2000=7/71,3*100=9,9% 6)Коэффициент нагрузки (кн.)=Б/З кн1999=8,9/63,6=0,14 кн2000=8/64,3=0,12 7)Распределение численности занятого населения по формам собственности
8)
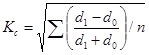
а) найдём абсолютный прирост∆, за базисный период возьмем 2000г. ∆= у2-у1 ∆числ.нас =145,2-146,6=-1,4 ∆эконом.акт.=71,3-72,5=-1,2 ∆зан.1=24,4-24,4=0 ∆2=29,7-26,4=3,3 ∆3=0,5-0,4=0,1 ∆4=8-11,6=-3,6 ∆5=1,7-0,8=0,9 Абсолютный прирост показывает, на сколько единиц увеличится или уменьшится последующий уровень ряда по сравнению с предыдущем или с уровнем, принятым за базу сравнения. Среднегодовая численность населения в 1999г. уменьшилась на 1,4 млн. чел. по сравнению с базисным 2000 годом; численность экономически активного населения уменьшилась на 1,2 млн. чел.; занятых на государственных и муниципальных предприятиях не изменилось; в частном секторе увеличилось на 3,3 млн. чел.; в общественных организациях увеличилось на 0,1 млн. чел.; на предприятиях смешанной формы собственности уменьшилось на 0,9 млн. чел. б) Найдём темпы роста Тр, за базисный период возьмем 1999г(100%). Тр=уi/у0*100 Трчисл. насел.=145,2/146,6*100=99% Трэкон. акт.=71,3/72,5*100=98% Трзан.1=24,4/24,4*100=0% Трзан.2=29,7/26,4*100=112% Трзан.3=0,5/0,4*100=125% Трзан.4=8/11,6*100=69% Трзан.5=1,7/0,8*100=212% Темпы роста показывает во сколько раз уровень данного периода больше уровня базы сравнения. Среднегодовая численность населения в 2000г. по сравнению с 1999г. уменьшилась на 1%, численность экономически активного населения на 2% и численность занятых на совместных предприятиях уменьшилась на 31%. Темпы роста занятых в частном секторе составило 112%, по сравнению с 1999г.; в общественных организациях составило 125%, по сравнению с базисным годом и на предприятиях совместной формы собственности темпы роста составило 212%. Задание№2
Кс=√((24,4-24,4)/(24,4+24,4))+((29,7-26,4)/(29,7+26,4))+((0,5-0,4)/(0,5+0,4))= ((8-11,6)/(8+11,6))+((1,7-0,8)/(1,7+0,8))/5=√0,0000346+0,0123+0,033+0,129= √0,035 =0,19 Аналитическая часть. 1) Рассмотрим динамику численности занятых, безработных и экономически активного населения по данным 1999-2000г. Калужской области. Поскольку численность экономически активного населения, численность занятых и безработных связаны аддитивно, динамика этих показателей характеризуется следующим образом: Кэ = Кз Уз 0 + Кб Кб 0 где Кэ – коэффициент роста численности экономически активного населения; Кз и Кб – коэффициенты роста численности занятых и безработных; Уз 0 и Кб 0 – Уровни занятости и безработицы в базисном периоде. По Калужской области имеется следующая информация, приведенная в табл.1 Экономически активное население. (тысяча человек) Таблица 1
В соответствии с равенством Кэ = Кз Уз 0 + Кб Кб 0 0,99*0,91+0,71*0,087=0,96 Таким образом, общий темп динамики численности экономически активного населения 96% определяется темпами роста численности занятых (97%) и безработных (71%). Изменения в уровнях занятости и безработицы, хотя и могут быть измерены коэффициентами роста (как дано в табл. 1), но нагляднее характеризовать их в виде абсолютных приростов, выраженных в процентных пунктах. Так, уровень безработицы в отчетном периоде снизился на 2,3 процентных пункта. Соответственно на эту же величину снизился уровень занятости экономически активного населения. Изменение в пунктах уровня безработицы (занятости) можно определить, не обращаясь к данным табл.1 а основываясь на модели динамики численности экономически активного населения:
где ∆Yб - абсолютное изменение уровня безработицы, выраженное в процентных пунктах. Применительно к рассматриваемому примеру получим: ∆Yб = ((0,71/0,97)-1)*8,7=-2,3 2) Распределение численности занятых по формам собственности. (в процентах) Таблица3
В частном секторе работает большая часть экономически активного населения-52%. 3) Распределение численности безработных по возрастным группам и уровню образования. (в процентах) Таблица 2
Образовательный уровень безработных в России один из самых высоких в мире: на конец 2001 г. в Калужской области 65% безработных имели высшее и среднее специальное образование. Безработные женщины, как правило, имеют более высокий уровень образования, чем мужчины: так, в Калужской области к концу 2001 г. среди безработных женщин 35,9% имели высшее и среднее специальное образование, в то время как среди мужчин 29,5%. В настоящее время в России образование не выступает фактором социальной защиты от безработицы. В дальнейшем можно ожидать роста устойчивости положения работника на производстве с ростом его образовательного уровня. Эту тенденцию можно наблюдать сегодня в западных странах. С позиции профессиональной ориентации безработных необходимо изучение их возрастного состава. Основную часть безработных в Калужской области составляют люди зрелого возраста. Средний возраст безработных составил 37 лет, у женщин 36,1, а у мужчин-37 лет.Особую социальную значимость имеет безработица среди молодежи. В 2001 году 32,6% безработных в составляли люди в возрасте до 30 лет. В ряде регионов страны трудоустройством молодежи занимаются наряду с государственными службами занятости молодежные биржи труда, а также Межрегиональный центр занятости. Выводы: qДля Калужской области характерно снижение численности населения за 5 лет (с 1997 по 2002 гг.) на 3%, соответственно снижается и трудовой потенциал области; qСредний возраст безработице в области составляет - 37лет; qСреди безработных доля молодежи составляет – 32,6%, доля лиц с высшим и средне профессиональным образованием – 65% -В частом секторе работает большая часть экономически активного населения области-52% Приложение. Данные о численности экономически активного населения, занятых и безработных получены по материалам обследований населения по проблемам занятости, проводившихся статистическими органами, начиная с октября 1997г., и по балансу трудовых ресурсов. Данные за 1999-2000г. пересчитаны в соответствии с принятой в 2001г.методологии исчисления занятости населения. Заключение. Очевидно, что проблема безработицы является основным вопросом в рыночной экономике. Не решив этот вопрос невозможно наладить деятельность экономики. Особенно остро проблема безработицы стоит сейчас перед Россией, на примере Калужской области уровень безработных повышается по нескольким фактором, одним из них является образование. Выяснилось, что безработные люди с высшим образованием составляют большую часть, а если различать по полу, то женщин безработных больше, чем мужчин. Исходя из этого, можно сказать, что в сфере занятости региональные органы власти должны разработать действенные меры по оказанию помощи в трудоустройстве молодежи, лиц зрелого возрасти (в случае потери работы) и лиц с ограниченными трудовыми способностями. Список литературы. 1. «Общая теория статистики». Учебник, - М: ИНФРА-М, 1998.Ефимов М.Р., Петрова Е.В., Румянцева В.Н. 2. «Теория статистики». Учебник. Под редакцией Р.А. Шмойловой. - М: ИНФРА-М., 1996. 3. «Социальная статистика». Под редакцией И.И.Елисеевой 1998г. 4. «Социально-экономическая статистика», под ред. Г.Л. Громыко. Изд. МГУ, 1989. 5.Статистический сборник по Калужской области.2001г. 6. «Общая теория статистики» И. И. Елисеева, М. М. Юзбашев. Общая теория статистики М.: Финансы и статистика, 1999. |
Коэффициент или индекс А.Салаи