Реферат: Полиуретановые материалы
|
Название: Полиуретановые материалы Раздел: Рефераты по химии Тип: реферат | ||||||||||||||||||||||||||||||||||||||||||||||||||||||||||||||||||||||||||||||||||||||||||||||||||||||||||||||||||||||||||||||||||||||||||||||||||||||||||||||||||||||||||||||||||||||||||||||||||||||||||||||||||||||||||||||||||||||||||||||||||||||||||||||||||||||||||||||||||||||||||||||||||||||||||||||||||||||||||||||||||||||||||||||||||||||||||||||||||||||||||||||||||||||||||||||||||||||||||||||||||||||||||||||||||||||||||||||||||||||||||||||||||||||||||||||||||||||||||||||||||||||||||||||||||||||||||||||||||||||||||||||||||||||||||||||||||||||||||||||||||||||||||||||||||||||||||||||||||||||||||||||||||||||||||||||||||||||||||||||||||||||||||||||||||||||||||||||||||||||||||||||||||||||||||||||||||||||||||||||||||||||||||||||||||||||||||||||||||||||||||||||||||||||||||||||||||||||||||||||
Министерство общего и профессионального образования Российской Федерации Волгоградский Государственный технический университет Волжский политехнический институтФакультет_______________________________________________________________________Направление подготовки__________________________________________________________________________________________________________________________________________ Выпускная работа бакалавра тема:___________________________________________________________________________ ________________________________________________________________________________________________ ________________________________________________________________________________________________ Код выпускной работы: ________________________________ Студент _____________________________________________ _____________ (Фамилия, имя, отчество) (Подпись) Руководитель работы __________________________________ _____________ (фамилия, инициалы) (Подпись) Консультанты ________________________________________ _____________ (фамилия, инициалы) (Подпись) ________________________________________ _____________ (фамилия, инициалы) (Подпись) ________________________________________ _____________ (фамилия, инициалы) (Подпись) Зав. кафедрой __________ ____________________________ _____________ (аббревиатура) (фамилия, инициалы) (Подпись) ВолжскийМинистерство общего и профессионального образования Российской Федерации Волгоградский Государственный технический университет Волжский политехнический институтФакультет__________________________________Кафедра_________________________ Напрвление__________________________________________________________________ «УТВЕРЖДАЮ» Зав.кафедрой ____________________ “___”_______________199___г. ЗаданиеСтудента________________________________________________________________________ (фамилия, имя, отчество) 1.Тема__________________________________________________________________________ ________________________________________________________________________________ ________________________________________________________________________________ утверждена приказом по институту от «____» _____________ 199__ г. ___________________ 2. Срок сдачи ____________________________________________________________________ 3. Исходные данные: _____________________________________________________________ ________________________________________________________________________________ ________________________________________________________________________________ ________________________________________________________________________________ 4. Содержание выпускной работы (перечень подлежащих разработке вопросов) ___________ ________________________________________________________________________________ ________________________________________________________________________________ ________________________________________________________________________________ ________________________________________________________________________________ ________________________________________________________________________________ ________________________________________________________________________________ 5. Перечень иллюстративного материала (с точным указанием обязательных иллюстраций)__ ________________________________________________________________________________________________________________________________________________________________________________________________________________________________________________________________________________________________________________________________________________________________________________________________________________________________________________________________________________________________ 6. Консультанты по работе с указанием относящихся к ним разделов
7. Дата выдачи задания ___________________________________________________________ Руководитель работы_____________________________________________________________ (фамилия, инициалы) (подпись) Студент ________________________________________________________________________ (фамилия, инициалы) (подпись) 1. Литературный обзор.1.1. Введение.Защита резин от теплового и озонного старения является основной целью данной работы. В качестве ингредиентов, защищающих резину от старения, применяются композиция диафена ФП с диафеном ФФ и поливинилипоридом (дисперсная среда). Процесс изготовления противостарительной пасты описывается в экспериментальной части. Противостарительную пасту применяют в резинах на основе изопренового каучука СКИ-3. Резины на основе этого каучука стойки к действию воды, ацетона, этилового спирта и не стойки к действию бензина, минеральных и животных масел и т.д. [1] При хранении резин и эксплуатации резиновых изделий происходит неизбежный процесс старения, приводящий к ухудшению их свойств. Чтобы улучшить свойства резин применяют диафен ФФ в композиции с диафеном ФП и поливинилхлоридом, которые также позволяют в некоторой степени решить вопрос о выцветании резин. 1.2. Старение резин.При хранении каучуков, а также при хранении и эксплуатации резиновых изделий происходит неизбежный процесс старения, приводящий к ухудшению их свойств. В результате старения снижается прочность при растяжении, эластичность и относительное удлинение, повышаются гистерезисные потери и твердость, уменьшается сопротивление истиранию, изменяется пластичность, вязкость и растворимость невулканизированного каучука. Кроме того, в результате старения значительно уменьшается продолжительность эксплуатации резиновых изделий. Поэтому повышение стойкости резины к старению имеет большое значение для увеличения надежности и работоспособности резиновых изделий [1]. Старение – результат воздействия на каучук кислорода, нагревания, света и особенно озона. Кроме того, старение каучуков и резин ускоряется в присутствии соединений поливалентных металлов и при многократных деформациях [2]. Стойкость вулканизатов к старению зависит от ряда факторов, важнейшими из которых является:
Наибольшей стойкостью к старению и окислению характеризуются полярные каучуки – бутадиен-нитрильные, хлоропреновые и др. Неполярные каучуки менее стойки к старению. Их сопротивление старению определяется главным образом особенностями молекулярной структуры, положением двойных связей и их количеством в основной цепи. Для повышения стойкости каучуков и резин к старению в них вводят противостарители, которые замедляют окисление и старение [3]. 1.2.1. Виды старения.В связи с тем, что роль факторов, активирующих окисление, меняется в зависимости от природы и состава полимерного материала, резличают в соответствии с преимущественным влиянием одного из факторов следующие виды старения:
В данной работе исследуется влияние противостарительной дисперсии ПВХ на термоокислительную и озонную стойкость резин на основе неполярных каучуков. Поэтому далее подробнее рассматриваются термоокислительное и озонное старение. 1.2.2. Тепловое старение.Тепловое старение – результат одновременного воздействия тепла и кислорода. Окислительные процессы являются главной причиной теплового старения в воздушной среде. Большинство ингредиентов в той или иной степени влияют на эти процессы. Технический углерод и другие наполнители адсорбируют противостарители на своей поверхности, уменьшают их концентрацию в каучуке и, следовательно, ускоряют старение. Сильно окисленные сажи могут быть катализаторами окисления резин. Малоокисленные (печные, термические) сажи, как правило, замедляют окисление каучуков [5]. При тепловом старении резин, которое протекает при повышенных температурах, необратимо изменяются практически все основные физико-механические свойства. Изменение этих свойств зависит от соотношения процессов структурирования и деструкции. При тепловом старении большинства резин на основе синтетических каучуков преимущественно происходит структурирование, что сопровождается снижением эластичности и повышением жесткости. При тепловом старении резин из натурального и синтетического изопропенового каучука и бутил каучука в большей мере развиваются деструктивные процессы, приводящие к уменьшению условных напряжений при заданных удлинения и повышению остаточных деформаций [6]. Отношение наполнителя к окислению будет зависеть от его природы, от типа ингибиторов, введенных в резину, и от характера вулканизационных связей [2]. Ускорители вулканизации, как и продукты, их превращения, остающиеся в резинах (меркаптаны, карбонаты и др.), могут участвовать в окислительных процессах. Они могут вызывать разложение гидроперекисей по молекулярному механизму и способствовать, таким образом, защите резин от старения [7]. Существенное влияние на термическое старение оказывают природа вулканизационной сетки. При умеренной температуре (до 70о) свободная сера и полисульфидные поперечные связи замедляют окисление. Однако при повышении температуры перегруппировка полисульфидных связей, в которую может вовлекаться и свободная сера, приводит к ускоренному окислению вулканизатов, которые оказываются в этих условиях нестойким. Поэтому необходимо подбирать вулканизационную группу, обеспечивающую образование стойких к перегруппировке и окислению поперечных связей [8]. Для защиты резин от теплового старения применяются противостарители, повышающие стойкость резин и каучуков к воздействию кислорода, т.е. вещества, обладающие свойствами антиоксидантов – прежде всего вторичные ароматические амины, фенолы, бисфинолы и др. [1] 1.2.3. Озонное старение.Озон оказывает сильное влияние на старение резин даже в незначительной концентрации. Это обнаруживается иногда уже в процессе хранения и перевозки резиновых изделий. Если при этом резина находится в растянутом состоянии, то на поверхности ее возникают трещины, разрастание которых может привести к разрыву материала [9]. Озон, по-видимому, присоединяется к каучуку по двойным связям с образованием озонидов, распад которых приводит к разрыву макромолекул и сопровождается образованием трещин на поверхности растянутых резин. Кроме того, при озонировании одновременно развиваются окислительные процессы, способствующие разрастанию трещин. Скорость озонного старения возрастает при увеличении концентрации озона, величины деформации, повышении температуры и при воздействии света. Понижение температуры приводит к резкому замедлению данного старения. В условиях испытаний при постоянном значении деформаций; при температурах, превышающих на 15-20 градусов Цельсия температуру стеклования полимера, старение почти полностью прекращается [10]. Стойкость резин к действию озона зависит главным образом от химической природы каучука. Резины на основе различных каучуков по озоностойкости можно разделить на 4 группы:
Наиболее эффективно при защите от озонного старения совместное применение антиозонтов и воскообразных веществ. К антиозонантам химического действия относятся N-замещенные ароматические амины и производные дигидрохинолина. Антиозонанты реагируют на поверхности резины с озоном с большой скоростью, значительно превосходящей скорость взаимодействия озона с каучуком. В результате этого процесса озонного старения замедляется [11]. Наиболее эффективными противостарительными и антиозонтами для защиты резин от теплового и озонного старений являются вторичные ароматические диамины. 1.3. Противостарители и антиозонанты.Наиболее эффективными противостарителями и антиозонантами являются вторичные ароматические амины. Они не окисляются молекулярным кислородом ни в сухом виде, ни в растворах, но окисляются перекисями каучука в процессе теплового старения и при динамической работе, вызывая отрыв цепи. Так дифениламин; N, N’-дифенил-nфенилендиамин при динамическом утомлении или тепловом старении резин расходуется почти на 90%. При этом изменяется только содержание групп NH, содержание же азота в резине остается неизменным, что указывает на присоединение противостарителя к углеводороду каучука [12]. Противостарители этого класса обладают очень высоким защитным действием от теплового и озонного старения. Одним из широко распрастраненных представителей этой группы противостарителей является N,N’-дифенил-n-фенилендиалин (диафен ФФ).
Это эффективный антиоксидант, повышающий сопротивление резин на основе СДК, СКИ-3 и натурального каучука действию многократных деформаций. Диафен ФФ окрашивает резину. Наилучшим противостарителем по защите резин от теплового и озонного старения, а также от утомления является диафен ФП, однако он отличается сравнительно высокой летучестью и легко экстрагируется из резин водой [13].
N С увеличением величины алкильной группы заместителя увеличивается растворимость вторичных ароматических диаминов, в полимерах; повышаются устойчивость к вымыванию водой, уменьшается летучесть и токсичность [14]. Сравнительная характеристика диафена ФФ и диафена ФП приводится потому, что в данной работе проводятся исследования, которые вызваны тем, что использование диафена ФФ как индивидуального продукта приводит к «выцветанию» его на поверхности резиновых смесей и вулканизатов. К тому же он по защитному действию несколько уступает диафену ФП; имеет в сравнении с последним более высокую температуру плавления, что отрицательно сказывается на распределении его в резинах [15]. В качестве связующего (дисперсной среды) для получения пасты на основе комбинаций противостарителей диафена ФФ и диафена ФП используется ПВХ. 1.4. Поливинилхлорид.Поливинилхлорид является продуктом полимеризации хлористого винила (CH2=CHCl). ПВХ выпускается в виде порошка с размерами частиц 100-200 мкм. ПВХ – аморфный полимер плотностью 1380-1400 кг/м3 и с температурой стеклования 70-80оС. Это один из наиболее полярных полимеров с высоким межмолекулярным взаимодействие. Он хорошо совмещается с большинством выпускаемых промышленностью пластификаторов [16]. Большое содержание хлора в ПВХ делает его самозатухающим материалом. ПВХ – это полимер общетехнического назначения. На практике имеют дело с пластизолями [17]. 1.4.1. Пластизоли ПВХ.Пластизоли – это дисперсии ПВХ в жидких пластификаторах. Количество пластификаторов (дибутилфталатов, диалкилфталатов и т.д.) составляет от 30 до 80%. При обычных температурах частицы ПВХ практически не набухают в указанных пластификаторах, что делает пластизоли стабильными. При нагревании до 35-40оС в результате ускорения процесса набухания (желатинизация) пластизоли превращаются в высокосвязанные массы, которые после охлаждения переходят в эластичные материалы [18]. 1.4.2. Механизм желатинизации пластизолей.Механизм желатинизации состоит в следующем. При повышении температуры пластификатор медленно проникает в частицы полимера, которые увеличиваются в размере. Агломераты распадаются на первичные частицы. В зависимости от прочности агломератов распад может начаться при комнатной температуре. По мере увеличения температуры до 80-100оС вязкость пластозоля сильно растет, свободный пластификатор исчезает, а набухшие зерна полимера соприкасаются. На этой стадии, называемой предварительной желатинизацией, материал выглядит совершенно однородным, однако изготовленные из него изделия не обладают достаточными физико-механическими характеристиками. Желатинизация завершается лишь тогда, когда пластификаторов равномерно распределиться в поливинилхлориде, и пластизоль превратится в однородное тело. При этом происходит сплавление поверхности набухших первичных частиц полимера и образование пластифицированного поливинилхлорида [19]. 2. Выбор направления исследования.В настоящее время в отечественной промышленности основными ингредиентами, защищающими резины от старения, является диафен ФП и ацетил Р. Слишком небольшой ассортимент, представленный двумя противостарителями объясняется тем, что, во-первых, некоторые производства противостарителей прекратили свое существование (неозон Д), во-вторых, другие противостарители не отвечают современным требованиям (диафен ФФ). Большинство противостарителей выцветают на поверхности резин. Для того чтобы уменьшить выцветание противостарителей можно использовать смеси противостарителей, обладающие либо синергическими, либо аддетивными свойствами. Это в свою очередь позволяет провести экономию дефицитного противостарителя. Использование комбинации противостарителей предлагается проводить индивидуальным дозированием каждого противостарителя, но наиболее целесообразно использование противостарителей в виде смеси или в виде пастообразующих композиций. Дисперсионной средой в пастах служат низкомолекулярные вещества, как, например масла нефтяного происхождения, а также полимеры – каучуки, смолы, термопласты. В данной работе исследуется возможность использования поливинилхлорида в качестве связующего (дисперсной среды) для получения пасты на основе комбинаций противостарителей диафена ФФ и диафена ФП. Проведение исследований вызвано тем, что использование диафена ФФ как индивидуального продукта приводит к «выцветанию» его на поверхности резиновых смесей и вулканизатов. К тому же по защитному действию диафен ФФ несколько уступает диафену ФП; имеет в сравнении с последним более высокую температуру плавления, что отрицательно сказывается на распределении диафена ФФ в резинах. 3. Технические условия на продукт.Настоящее техническое условие распространяется на дисперсию ПД-9, представляющую собой композицию поливинилхлорида с противостарителем аминного типа. Дисперсия ПД-9 предназначена для использования в качестве ингредиента к резиновым смесям для повышения озоностойкости вулканизатов. 3.1. Технические требования.3.1.1. Дисперсия ПД-9 должна быть изготовлена в соответствии с требованиями настоящих технических условий по технологическому регламенту в установленном порядке. 3.1.2. По физическим показателям дисперсия ПД-9 должна соответствовать нормам, указанным в таблице. Таблица.
*) нормы уточняются после выпуска опытной партии и статистической обработки результатов. 3.2. Требования безопасности.3.2.1. Дисперсия ПД-9 – горючее вещество. Температура вспышки не ниже 150оС. Температура самовоспламенения 500оС. Средством пожаротушения при загорании является тонко распыленная вода и химическая пена. Средством индивидуальной защиты – противогаз маки «М». 3.2.2. Дисперсия ПД-9 – малотоксичное вещество. При попадании в глаза следует промыть их водой. Попавший на кожу продукт удаляют, смывая водой с мылом. 3.2.3. Все рабочие помещения, в которых ведутся работы с дисперсией ПД-9, должны быть оборудованы приточно-вытяжной вентиляцией. Дисперсия ПД-9 не требует установления для нее гигиенического регламента (ПДК и ОБУВ). 3.3. Методы испытаний.3.3.1. Отбирают точечные пробы не менее трех, затем соединяют, тщательно перемешивают и отбирают среднюю пробу методом квартования. 3.3.2. Определение внешнего вида. Внешний вид определяется визуально при отборе проб. 3.3.3. Определение размера крошки. Для определения размера крошки дисперсии ПД-9 используют метрическую линейку. 3.3.4. Определение массы дисперсии ПД-9 в полиэтиленовом мешке. Для определения массы дисперсии ПД-9 в полиэтиленовом мешке используют весы типа РН-10Ц 13М. 3.3.5. Определение вязкости по Муни. Определение вязкости по Муни основано на присутствии в дисперсии ПД-9 определенного количества полимерной составляющей. 3.4. Гарантия изготовителя.3.4.1. Изготовитель гарантирует соответствие дисперсии ПД-9 требованиям настоящих технических условий. 3.4.2. Гарантийный срок хранения дисперсии ПД-9 6 месяцев со дня изготовления. 4. Экспериментальная часть.В данной работе исследуется возможность использования поливинилхлорида (ПВХ) в качестве связующего (дисперсной среды) для получения пасты на основе комбинаций противостарителей диафена ФФ и диафена ФП. Исследуется также влияние данной противостарительной дисперсии на термоокислительную и озонную стойкость резин на основе каучука СКИ-3 Приготовление противостарительной пасты. На рис. 1. Показана установка для приготовления противостарительной пасты. Приготовление проводилось в стеклянной колбе (6) объемом 500 см3. Колба с ингредиентами нагревалась на электрической плитке (1). Колба помещена в баню (2). Температура в колбе регулировалась с помощью контактного термометра (13). Перемешивание осуществляют при температуре 70±5оС и при помощи лопастной мешалки (5).
Рис.1. Установка для приготовления противостарительной пасты. 1 – плита электрическая с закрытой спиралью (220 В); 2 – баня; 3 – контактный термометр; 4 – реле контактного термометра; 5 – мешалка лопастная; 6 – стеклянная колба. Порядок загрузки ингредиентов. В колбу загружалось расчетное количество диафена ФФ, диафена ФП, старина и часть (10% мас.) дибутилфталана (ДБФ). После чего осуществлялось перемешивание в течение 10-15 минут до получения однородной массы. Далее смесь охлаждалась до комнатной температуры. После чего в смесь загружали поливинилхлорид и оставшуюся часть ДБФ (9% мас.). Полученный продукт выгружали в фарфоровый стакан. Далее производилось терморегулирование продукта при температурах 100, 110, 120, 130, 140оС. Состав полученной композиции приведен в таблице 1. Таблица 1 Состав противостарительной пасты П-9.
Для исследования влияния противостарительной пасты на свойства вулканизатов использовались резиновая смесь на основе СКИ-3. Полученную противостарительную пасту ввели в резиновую смесь на основе СКИ-3. Составы резиновых смесей с противостарительной пастой приведены в таблице 2. Физико-механические показатели вулканизатов определялись в соответствии с ГОСТ и ТУ, приведенными в таблице 3. Таблица 2 Составы резиновой смеси.
Примечание: (оС*) – в скобках указана температура предварительной желатинизации пасты (П-9). Таблица 3
Определение реологических свойств противостарительной пасты. 1. Определение вязкости по Муни. Определение вязкости по Муни осуществлялось на приборе вискометр «Муни» (ГДР). Изготовление образцов для испытания и непосредственно испытания осуществляются по методике, изложенной в технических условиях. 2. Определение когезионной прочности пастообразных композиций. Образцы паст после желатинизации и охлаждения до комнатной температуры пропускались через зазор вальцов толщиной 2,5 мм. Затем из этих листов в вулканизационном прессе изготовлялись пластины размером 13,6*11,6 мм с толщиной 2±0,3 мм. После вылежки пластин в течение суток штанцевым ножом вырубались лопаточки в соответствии с ГОСТ 265-72 и далее, на разрывной машине РМИ-60 при скорости 500, определялась разрывная нагрузка. Удельная нагрузка принималась за когезенную прочность. 5. Полученные результаты и их обсуждение.При исследовании возможности использования ПВХ, а также композиции полярных пластификаторов в качестве связующих (дисперсной среды) для получения паст на основе комбинаций противостарителей диафена ФФ и диафена ФП, было выявлено, что сплав диафена ФФ с диафеном ФП в массовом соотношении 1:1 характеризуется низкой скоростью кристаллизации и температурой плавления около 90оС. Низкая скорость кристаллизации играет положительную роль в процессе изготовления наполненного смесью противостарителей пластизоля ПВХ. В этом случае значительно снижаются энергозатраты на получение гомогенной композиции, не расслаивающейся во времени. Вязкость расплава диафена ФФ и диафена ФП близка к вязкости пластизоля ПВХ. Это позволяет проводить смешение расплава и пластизоля в реакторах с мешалками якорного типа. На рис. 1 представлена схема установки для изготовления паст. Пасты до их предварительной желатинизации удовлетворительно сливаются из реатора. Известно, что процесс желатинизации [18] протекает при 150оС и выше. Однако, в этих условиях возможно отщепление хлористого водорода, который, в свою очередь, способен блокировать подвижный атом водорода в молекулах вторичных аминов, в данном случае являющихся противостарителями. Этот процесс протекает по следующей схеме. Проводя процесс желатинизации (предварительной желатинизации) при относительно невысоких температурах (100-140оС) можно избежать те явления, о которых говорилось выше, т.е. уменьшить вероятность отщепления хлористого водорода. Окончательный процесс желатинизации приводит к получению паст с вязкостью по Муни меньшей, чем вязкость наполненной резиновой смеси и низкой когезионной прочностью (см.рис. 2.3). Пасты, обладающие низкой вязкостью по Муни, во-первых, хорошо распределяются в смеси, во-вторых, незначительные части компонентов, составляющих пасту, способны достаточно легко мигрировать в поверхностные слои вулканизатов, защищая тем самым резины от старения. В частности в вопросе «раздавливания» пастообразующих композиций придается немаловажное значение при объяснении причин ухудшения свойств некоторых композиций при действии озона [7]. В данном случае исходная низкая вязкость паст и кроме того не меняющаяся в процессе хранения (таблица 4), позволяет осуществить более равномерное распределение пасты, и дает возможность миграции ее составляющих к поверхности вулканизата. Таблица 4 Показатели вязкости по Муни пасты (П-9)
Изменяя содержание ПВХ и противостарителей, можно получить пасты, пригодные для защиты резин от термоокилительного и озонного старения как на основе неполярных, так и полярных каучуков. В первом случае, содержание ПВХ составляет 40-50% мас. (паста П-9), во втором – 80-90% мас. В данной работе исследуются вулканизаты на основе изопренового каучука СКИ-3. Физико-механические показатели вулканизатов с использованием пасты (П-9) представлены в таблицах 5 и 6. Стойкость исследуемых вулканизатов к термоокислительному старению повышается с увеличением содержания противостарительной пасты в смеси, как это видно из таблицы 5. Показатели изменения условной прочности, штатного состава (1-9) составляет (-22%), в то время как для состава (4-9) – (-18%). Необходимо отметить также, что при введении пасты, способствующей увеличению стойкости вулканизатов к термоокислительному старению, придается более значительная динамическая выносливость. Причем, объясняя увеличение динамической выносливости, невозможно, по-видимому ограничиться только фактором повышения дозы противостарителя в матрице каучука. Не последнюю роль при этом, вероятно, играет ПВХ. В этом случае можно предположить [20], что присутствие ПВХ может вызвать эффект образования им цепочечных непрерывных структур, которые равномерно распределяются в каучуке и препятствуют разрастанию микротрещин возникающих при растрескивании. Уменьшая содержание противостарительной пасты и тем самым доли ПВХ (таблица 6) эффект повышения динамической выносливости практически аннулируется. В этом случае положительное влияние пасты проявляется лишь в условиях термоокислительного и озонного старения. Следует отметить, что наилучшие физико-механические показатели наблюдаются при использовании противостарительной пасты, полученной при более мягких условиях (температура предварительной желатинизации 100оС). Такие условия получения пасты обеспечивают более высокий уровень стабильности, по сравнению с пастой полученной при термостатированной в течение часа при 140оС. Увеличение вязкости ПВХ в пасте, полученной при данной температуре, не способствует также сохранению динамической выносливости вулканизатов. И как следует из таблицы 6, динамическая выносливость в большой степени уменьшается в пастах, термостатированных при 140оС. Использование диафена ФФ в композиции с диафеном ФП и ПВХ позволяет в некоторой степени решить проблему выцветания. Таблица 5 Физико-механические показатели вулканизатов, содержащих противостарительную пасту (П-9).
Таблица 6 Физико-механические показатели вулканизатов, содержащих противостарительную пасту (П-9).
Перечень условных обозначений. ПВХ – поливинилхлорид Диафен ФФ – N,N’ – Дифенил – n – фенилендиамин Диафен ФП – N – Фенил – N’ – изопропил – n – фенилендиамин ДБФ – дибутилфталат СКИ-3 – изопреновый каучук П-9 – противостарительная паста Список использованной литературы:[1] – Тарасов З.Н. Старение и стабилизация синтетических каучуков. – М.: Химия, 1980. – 264 с. [2] – Гармонов И.В. Синтетический каучук. – Л.: Химия, 1976. – 450 с. [3] – Старение и стабилизация полимеров. /Под ред. Козьминского А.С. – М.: Химия, 1966. – 212 с. [4] – Соболев В.М., Бородина И.В. Промышленные синтетические каучуки. – М.: Химия, 1977. – 520 с. [5] – Белозеров Н.В. Технология резины: 3-е изд.перераб. и доп. – М.: Химия, 1979. – 472 с. [6] – Кошелев Ф.Ф., Корнев А.Е., Климов Н.С. Общая технология резины: 3-е изд.перераб. и доп. – М.: Химия, 1968. – 560 с. [7] – Технология пластических масс. /Под ред. Коршака В.В. Изд. 2-е, перераб. и доп. – М.: Химия, 1976. – 608 с. [8] – Кирпичников П.А., Аверко-Антонович Л.А. Химия и технология синтетического каучука. – Л.: Химия, 1970. – 527 с. [9] – Догадкин Б.А., Донцов А.А., Шертнов В.А. Химия эластомеров. – М.: Химия, 1981. – 372 с. [10] – Зуев Ю.С. Разрушение полимеров под действием агрессивных сред: 2-е изд.перераб. и доп. – М.: Химия, 1972. – 232 с. [11] – Зуев Ю.С., Дегтярева Т.Г. Стойкость эластомеров в эксплутационных условиях. – М.: Химия, 1980. – 264 с. [12] – Огневская Т.Е., Богуславская К.В. Повышение атмосферостойкости резин за счет введения озоностойких полимеров. – М.: Химия, 1969. – 72 с. [13] – Кудинова Г.Д., Прокопчук Н.Р., Прокопович В.П., Климовцова И.А. // Сырье и материалы для резиновой промышленности: настоящее и будущее: Тезисы докладов пятой юбилейной Российской научно-практической конференции резинщиков. – М.: Химия, 1998. – 482 с. [14] – Хрулев М.В. Поливинилхлорид. – М.: Химия, 1964. – 325 с. [15] – Получение и свойства ПВХ /Под ред. Зельбермана Е.Н. – М.: Химия, 1968. – 440 с. [16] – Рахман М.З., Изковский Н.Н., Антонова М.А. //Каучук и резина. – М., 1967, №6. – с. 17-19 [17] – Abram S.W. //Rubb. Age. 1962. V. 91. №2. P. 255-262 [18] – Энциклопедия полимеров /Под ред. Кабанова В.А. и др.: В 3-х т., Т. 2. – М.: Советская энциклопедия, 1972. – 1032 с. [19] – Справочник резинщика. Материалы резинового производства /Под ред. Захарченко П.И. и др. – М.: Химия, 1971. – 430 с. [20] – Тагер А.А. Физикохимия полимеров. Изд. 3-е, перераб. и доп. – М.: Химия, 1978. – 544 с. Содержание Введение. 6 1. Литературный обзор. 7 1.1. Общие положения. 7 1.2. Поучение уретановых эластомеров. 8 1.3. Модификация полиуретана с целью снижения горючести. 10 2. Полученные результаты и их обсуждение. 23 3. Лабораторная методика. Получение продукта. 30 4. Технические условия на продукт. 32 4.1. Технические требования. 33 4.2. Требования безопасности. 34 4.3. Правило приемки. 35 4.4. Методы испытания. 35 4.5. Упаковка, маркировка, хранение. 35 4.6. Гарантии изготовителя. 36 Выводы 38 Использованная литература. 39 Аннотация. Модификация полиуретана является перспективным способом изменения первоначальных свойств полимерного материала. Химическая модификация имеет ряд преимуществ, поэтому находит все более широкое применение. В данной работе исследована возможность синтеза полиуретанов с частичной или полной заменой промышленного удлинителя цепи диаминопропана на фосполиол, полученный окипропилированием 1-оксиэтилендиенфосфоновой кислоты. Синтезированные полиуретаны подвергали физико-химическим воздействиям, а также исследовали влияние на их свойства повышенных температур. Выбрана концентрация фосполиола, при которой полиуретан характеризуется оптимальными свойствами. Количество используемых источников - , таблиц - , графиков - . Список условных обозначений. ПУ – полиуретан; ФП – фосполиол; ДМФ – демитилформамид; ПТМЭГ – политетраметиленэфиргликоль; ДМИ – дифинилметан –4,4-диизоцианат; ФОС – фосфорорганические соединения; ММВ – межмолекулярные взаимодействия; ПЭА – полиэтиленгликоль адипината; ТДИ – 2,4-толуилендиизоцианата; ФТЭС – фенил этоксисилан. Введение.Полиуретановые материалы являются широко распространенными полимерами в народном хозяйстве. Они характеризуются комплексом ценных эксплуатационных свойств, а именно высокой прочностью, высоким относительным удлинением устойчивостью гидролитическому воздействию и устойчивости к воздействию некоторых видов агрессивных сред. Однако, основным недостатком полиуретановых материалов является их низкая устойчивость к воздействию к термической и термоокислительной деструкции, причем полиуретаны являются горючими полимерами, их кислородный индекс составляет 17-19%. Поэтому повышение устойчивости полиуретанов к воздействию высоких температур и к воздействию открытого пламени является актуальной задачей. Снижение влияния этого недостатка на работоспособность полимеров в процессе их эксплуатации осуществляют за счет модификации. Существуют несколько способов модификации. Модификация может быть физической и осуществляется путем наполнения полимерного материала различного рода продуктами без образования химических связей, либо химической. В этом случае присутствуют химические связи между полимерной матрицей и соединением модификатора. В свою очередь химическая модификация может быть осуществлена на различных стадиях получения и переработки полимеров. Таким образом, существует реальная возможность варьирования свойств полимерного материала в широких пределах, а так же получение полимера с комплексом заданных свойств. В настоящее время ведутся активные работы в области получения модифицированных полимерных материалов, в том числе и полиуретановых, которые сохраняют исходные свойства и характеризуются дополнительными, в частности имеют повышенную термическую устойчивость. Целью нашей работы является изучение модификации полиуретанового материала на стадии синтеза и повышение эго термо- и огнестойкости. 1. Литературный обзор.1.1. Общие положения.Полиуретаны – один из новых видов полимерных материалов, имеющих большое промышленное значение. К полиуретанам относят высокомолекулярные соединения, содержащие значительное количество уретановых групп, независимо от строения остальной части молекул. Обычно эти полимеры получают при взаимодействии полиизоцианатов с веществами, имеющими несколько гидроксильных групп, например с гликолями. Такие вещества могут содержать и другие реакционно-способные группы, в частности аминные и карбоксильные. Поэтому в полиуретанах кроме уретановых групп можно обнаружить амидные, эфирные (простые и сложные) группы, а также ароматические и алифатические радикалы. Эти полимеры называют иногда «полиуретанами», иногда – «изоцианатными полимерами».
У
уретановая группа, которой имеет строение Тот, кто не знаком с этой отраслью полимерной химии, может предположить, что исходный мономером при синтезе полиуретанов являются этикарбомат H2NCOOC2H5, который долго был известен под названием “уретан”. В действительности полиуретаны получают не из этого соединения, и при их деструкции и гидролизе этот эфир выделить не возможно. Следовательно, токсические свойства этилкарбомата нельзя приписать полиуретанам. Полиуретаны можно синтезировать различными способами, однако в промышленности наиболее распространено получение их при взаимодействии ди- или полиизоцианатов с соединениями содержащими 2 или более гидроксильные группы в молекуле, например с простыми и сложными полиэфирами с концевыми OH-группами.
Л При увеличении числа функциональных групп в молекулах одного или обоих компонентов до трех или более получаются разветвленные или сшитые полимеры. Структуру и свойства полиуретанов можно менять в широких пределах путем подбора соответствующих исходных веществ. Они относятся к числу тех немногих полимеров, у которых можно направленно регулировать число поперечных связей, гибкость полимерных молекул и характер межмолекулярных взаимодействий. Это дает возможность получать из полиуретанов самые разнообразные материалы – синтетические волокна, твердые и мягкие эластомеры, жесткие и эластичные пеноматериалы, различные термореактивные покрытия и пластические массы. 1.2. Поучение уретановых эластомеров.Уретановые эластомеры обычно получают из диолов с длинной цепью (например, из линейных простых или сложных полиэфиров с молекулярным весом от 1000 до 2000), диизоцианатов и низкомолекулярных «удлинителей цепи» (гликоль или диамин). Хотя для получения полиуретанов используют различные методы, наиболее удобным является форполимерный. На первый стадии проводят реакцию диола с избытком диизоцианата: R(NCO)2+H-…-…OH → OCN-R-NHCOO-…OCNH-R-NCO Такой продукт реакции называется форполимером; он имеет невысокий молекулярный вес и представляет собой или жидкость или низкоплавкое твердое вещество. Поскольку он содержит концевые изоцианатные группы, он может вступать во все реакции, свойственные изоцианатам. На второй стадии к форполимеру добавляют низкомолекулярный гликоль или диамин. Соотношение реагентов подбирают так, чтобы в смеси имелся небольшой избыток изоцианатных групп:
( OCN[RNHCOOЇ…OCONHRNH-COOR-OCONH]n RNHCOO…OCONHRNCO Последняя стадия процесса может начаться в то время, когда вторая еще не закончилась и может продолжаться в течении нескольких часов или даже суток в зависимости от выбранной системы и температуры. Возможно, что на этой последней стадии (отверждение) происходит взаимодействие концевых изиционатных групп с активными атомами водорода цепи, например, с водородом уретановых групп, в результате чего образуются аллофонатные узлы разветвления:
…
… CONH-R-… При таком способе получения полимеров количество поперечных связей можно регулировать путем изменения отношения изоцианатных групп к общему количеству активных атомов водорода. Для того, чтобы получился сшитый полимер это соотношение должно быть больше1. Приведенная выше схема получения сшитого полиуретанового эластомера применима главным образом в случае некатализируемых реакций. Под влиянием соответствующего катализатора некоторые из этих реакций могут быть ускорены. Очевидно, образующиеся полимеры могут иметь различное строение в зависимости от строения и молекулярного веса диола и соотношения реагентов. Уретановые эластомеры можно считать блоксополимерами, в которых величину и строение любого блока можно изменять в широком диапазоне. Поэтому обычный эластомер состоит из элементарного звена сложного или простого эфира, остатка ароматическогодиизацианата, уретановой группы, остатка низкомолекулярного гликоля («удлинителя») и аллофанатного узла разветвления. Таким образом, этот полимер содержит умеренно гибкие, длинные, линейные сегменты полиэфира и сравнительно жесткие сегменты (в основном это ароматические и уретановые группы). Разветвление может происходить только по этим жестким сегментам (если сложный или простой полиэфир был линейным). Количество узлов разветвления и среднюю длину такого жесткого ароматического уретанового сегмента можно варьировать [1]. 1.3. Модификация полиуретана с целью снижения горючести.Горючесть – это комплексная, многофакторная характеристика материала или конструкции [2]. Она может включать следующие величины:
Все методы снижения горючести полимерных материалов основаны на следующих основных принципах:
Следует отметить, что в большинстве случаев невозможно добиться того, чтобы полимерный материал стал абсолютно негорючим и не сгорал в интенсивном огне. Однако большинство пожаров возникает от малокаллорийных источников тепла и огня – сигарет, спичек, свечей, короткого замыкания. Поэтому важно настолько понизить горючесть полимера, чтобы он медленнее загорался, медленнее распространялось пламя, а для загорания требовались бы более жесткие условия. Полиуретаны относятся к группе полимеров, для которой возможно проведение двух видов модификаций, как путем наполнения, так и структурной. Однако по данным научно-технической литературы методы структурной модификации целесообразно применять в тех случаях, когда существует необходимость изменить физико-механические параметры полимера. В тоже время, наполнение полиуретанов позволяет не только удешевить эластомеры, но и получить окрашенные материалы; придать им специфические свойства. Это обстоятельство, зачастую, вынуждает отказаться от структурных вариаций и прибегнуть к наполнению. В настоящее время для большинства термопластичных полимерных материалов целесообразно использовать добавки, снижающие горючесть исходного материала – антипирены. Анализ литературных источников антипиреновой тематики показывает, что основными замедлителями горения полимерных материалов являются органические и неорганические соединения, содержащие как правило фосфор и галогены. Однако для повышения огнестойкости полимерных материалов вместе с основными замедлителями горения часто целесообразно использовать такие соединения как: бор-, алюминий-, кремний-, металлсодержащие соединения. В зависимости от того, как антипирены вводятся и взаимодействуют с полимерами или исходными мономерами различают антипирены инертного и реакционного типов [3]. Инертные или неактивные антипирены механически совмещаются с полимером. В общем объеме потребления антипиренов доля инертных составляет около 80%. Эти антипирены привлекают внимание исследователей тем, что их применение не связано непосредственно с производством полимеров. Введение в композицию может быть осуществлено на стадиях переработки полимеров в изделия, что существенно расширяет возможности создания новых огнестойких материалов. В то же время инертным антипиренам присуще существенные недостатки. Это, прежде всего их влияние на физико-механические свойства полимерных материалов, склонность их к миграции на поверхность, способность вымываться водой, моющими средствами и т. д. В связи с этим, наблюдается определенная тенденция некоторого сокращения объема потребления инертных антипиренов по сравнению с реакционноспособными, которые вводятся в полимерный материал в процессе изготовления и становятся его неотъемлемой частью [4]. Реакционноспособные антипирены содержат в своих молекулах функциональные группы или атомы, участвующие в различных реакциях: полимеризации, поликонденсации, присоединения, структурирования и т. д. Реакционные антипирены можно подразделить на две самостоятельные подгруппы: антипирены полимеризационного типа и антипирены поликонденсационного типа. Однако в обоих случаях наибольшую эффективность проявляет полимерный антипирен [5]. Влияниеполимерных антипиренов на снижение горючести объясняется их стабилизирующим действием и образованием при диструкции полифосфатной полимерной пленки, которая препятствует проникновению кислорода в реакционную зону. К реакционноспособным анипиренам полимеризационного типа относятся фосфорорганические мономеры с непредельными группами при атоме фосфора. Эти мономеры-антипирены вводят в композицию непосредственно в процессе полимеризации, реализуя совместную и привитую полимеризацию. С их помощью можно придавать огнезащитные свойства практически любым полимерным материалам. Была обнаружена определенная корреляция увеличения кислородного индекса полимеров сувеличением реакционной способности мономеров в реакциях радикальной полимеризации, т.е. эффективность антипирена зависит от степени конверсии мономера. Следовательно, наилучшими антипиренами являются те мономеры, активность которых при полимеризации высока, а термостабильность полимеров на их основе близка к таковой для основного полимера. Наиболее доступными антипиренамиполимиризационного типа являются винильные ааллильные производные фосфора. Однако фосфорорганические мономеры с двойной связью у атома фосфора или, отделенной от него кислородом, и аллиловые производные кислот фосфора при полимеризации образуют низкомолекулярные продукты и неактивно вступают в сополимеризацию. Для виниловых фосфорных мономеров предлагается участие фосфорильной группы предпоследнего звена растущей цепи в передаче реакционного радикального центра на мономер, приводящее к снижению мономолекулярной масс [6]. Удаление двойной связи от атома фосфора приводит к повышению сополимеризационной активности мономеров и к получению высокомолекулярных полимеров. Так при образовании сополимеров по радикальному механизму значительной реакционной способностью характеризуются фосфорсодержащие диены. Непридельные производные фосфора используются для модификации полимеров не только методом сополимеризации, но и методом привитой полимеризации на готовый полимер. Этот способ хорошо изучен и уже применяется в промышленном масштабе. Предполагается, что благодаря гибкости и другим приемуществам этот путь получения огнезащитных полимеров станет наиболее важным в будующем. Как правило антипирены поликонденсационного типа содержат гидроксильные, карбонильные, амидные и др. функциональные группы. Эти соединения используют для получения фосфорсодержащих гомополимеров, так и в качестве мономеров для модификации полимеров. В настоящее время отличается тенденция к применению антипиренов с максимально высоким относительным содержанием фосфора. Наибольшее применение находят поликонденсационные антипирены с фосфатными, фосфонатными и фосфитными группами; в том же ряду в большинстве случаев наблюдается уменьшение эффективности антипиренов. Как правило [7] огнестойкость полимеров на основе фосфатов повышается с увеличением содержания фосфора в полимере, в случае же фосфонатов (диэтил –N, N-бис (2-гидроксиэтил) аминометил-фосфонат) и фосфитов (трис (дипропиленгликоль) фосфит) кислородный индекс полимеров не изменяется примерно с 0,3% содержания фосфора. Наилучший эффект огнестойкости достигается при использовании алифатических галогенов (2% Br) с фосфонатом и фосфитом (0,5% P), в то время как с фосфоритом синергизма не наблюдается. В целом с ростом концентрации фосфора до 2,04% [8] скорость распространения пламени пропорционально снижается с 0.74 до 0,23 см/с, а линейная скорость выгорания уменьшается с 0,7 до 0,41 см/с. Дальнейшее увеличение концентрации фосфора не влияет на скорость выгорания. Различия в характере зависимости скорости распространения пламени по горизонтальной поверхности и линейной скорости выгорания от концентрации фосфора обусловлено влиянием образующегося при горении карбонизированного слоя пенококса на тепло и массообмен при горении. При распространении пламени сверху вниз при испытании ППУ в условиях КИ слой кокса, образовавшийся при горении, лимитирует прогрев пены и диффузиционный перенос реагентов в зону химических реакций. Дымообразующая способностьППУ в режиме тления практически не зависит от содержания фосфора в материале, а в режиме горения максимальная удельная оптическая плотность дыма монотонно возрастает с повышением концентрации фосфора, что связано с неполнотой сгорания продуктов пиролиза, которая приводит к повышению выхода сажи. Так же следует отметить, что максимальная скорость дымовыделения в режиме горения на порядок выше скорости дымовыделения в режиме тления. Исследование состава продуктов пиролиза и горения фосфоросодержащих ППУ в различных условиях показало, что введение в состав исходной полиэфирной смеси оксиэтилированного фосфополиола приводит к повышению их токсичности. Проведенные термические исследования [9] в динамических условиях показали, что при повышении скорости нагрева жестких ППУ наблюдается повышение Т нр Так при высокой скорости нагрева зависимость Тнр от концентрации фосфора имеет ярко выраженный характер. Тсв монотонно растет с увеличением концентрации фосфора (с530 до 610 С), а температура выделения горючих газов снижается с 360 до 340 С. Так как для исходный ППУ значения температуря воспламенения и выделения горючих газов одинаковы, то возникает предположение, что различие зависимостей Тсв и Тг от концентрации фосфора обусловлено различным влиянием вынужденной и естественной конвекции на массо- и теплообмен системы. Кислородный индекс ППУ линейно растет с ростом концентрации фосфора. Показатель потери массы нелинейно зависит от содеожания фосфора в образце. При содержании фосполиола выше 50% (концентрация фосфора более 2,55%) потери массы не изменяются и составляют 24-25%. В связи с многообразием и неоднозначностью свойств полиуретанов, модифицированных фосфорсодержащими полиолами, технологичностью их получения, исследования в области синтеза фосфоросодержащих полиолов продолжаются. Как правило, мономеры, содержащие ароматические группы, поваляют получить высокомолекулярные соединения с достаточно высокими физико-механическими параметрами. Так, файрол-6 в комбинации с ароматическими полиолами, содержащими бензольные, нафталиновые или дифинильные циклы применялся также для синтеза жестких ППУ [10]. Высокий огнестойкостью обладает ППУ на основе полиалов, содержащих двузамещенные нафталиновые и дефинильные циклы. Термостойкость системы ППУ не оказывает заметного влияния на их термомеханические свойства, которые определяются главным образом плотностью молимерной сетки, типом и количеством введенных циклических структур [11]. Однако, в литературе можно встретить данные [12], свидетельствующие о том, что огнестойкие ППУ, модифицированные олигомерами на основе эфиров оксипропоксиалкисфосфоновых кислот характеризуются физико-механическими свойствами, превосходящими ППУ, содержащие антипирены Файрол-6 и Файрол-СЭФ. Работа [13] также посвящена синтезу огнестойких полиуретанов, при этом введение фосфорсодержащих диаминов в цепь уретанового термоэластопласта приводит к улучшению физико-механических свойств полимера. К тому же фосфородержащие полиуретанмоченвины после вынесения их из зоны горения затухают через 1-3 секунды. В этой же работе изучена возможность модификации ПУ фосфитами (таблица). Таблица1.1. Мономеры на основе три (оксиметил) фосфина.
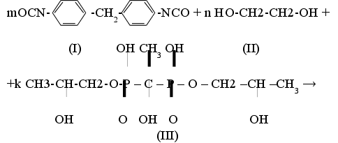
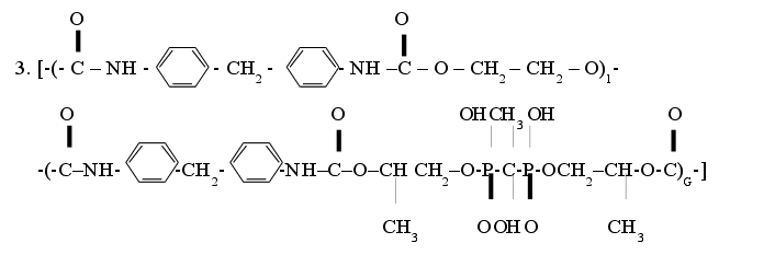
Замещение триомкилфосфины являются эффективными термо- и свето- стабилизаторами уретановых термоэластопластов. Введение в полиуретан 0,1% стабилизатора приводит к повышению температуры начала разложения на 10С, исчезает первый пик на кривых ДТА, соответствующий деструкции уретановых групп, при этом разрушается сетка физических связей [14]. При добавлении 1% замещенных триалкилфосфинов к уретановым эластомерам повышается на 10-20 0С температура 10%-ой потери массы, увеличивается энергия активации деструкции и уменьшается максимальная скорость потери веса полиуретанов. Пенополиуретаны являются самозатухающими при содержании 10% три (оксиметил) фосфина в композиции. Энергия активации деструкции после ультрафиолетового облучения (с. 171,4 до 169, 4 Дж/моль) по сравнению с термоэластопластами без стабилизирующих добавок, у которых энергия активации деструкции после ультрафиолетового облучения значительно снижается (со 157,7 до 134,7 кДж/моль). Максимальная скорость потери веса стабилизированных полиуретанов после ультрафиолетового облучения почти не изменяется. Физико-механические свойства уретановых термоэластомеров с добавками замещенных триалкилфосфинов не ухудшаются. Степень окисления фосфора не оказывает влияния на эффективности антипирина, в то время как природа спиртового радикала при фосфоре оказывает существенное влияние на активность антипиренов. С увеличением длины и гибкости спиртового остатка [15] возрастает выход пространственно-силитных полимеров, уменьшается плотность сшивки и соответственно значения разрушающего напряжения при растяжении и твердость самозатухающих материалом, но повышается их ударная прочность, эластичность, степень набухания. В работе [16] предложены результаты исследований некоторых свойств фочфорсодержащих диолов: бис (2-оксиэтил)-аминометилфосфоната, которые использовались для синтеза уретановых олигомеров с концевымиаллильными группами. В ИК-спектрах олигомеров проявляются характеристические полосы группы Р=0 и группы Р-О-С, позволяющие говорить об их термической устойчивости. В целом, на основании проведенного анализа можно сделать вывод, что аддитивные замедлители горения чувствительно уменьшают эффективную энергию активации первичного разложения, а реакционноспособные – останавливают ее практически без изменения; у уретановых эластомеров возрастает эффективная энергия активации первичного разложения. Термические исследования этапов деструкции показывают, что в твердых пенополиуретановых антипирены, как правило, катализируюткоксообразование, а в уретановых эластомерах замедляют тепловыделение. При этом концентрация связанного фосфора в полиуретане для снижения его пожароопастности и получении трудновоспламеняемых ПУ составляет около 2,2% [17].Огнезащищенные полиуретаны, как правило, содеожат С-О-Р связи[18]. Эти структуры термостабильнее соеденений, содержащих С-Р связи, но гидролитически неустойчивы. Следует отметить, что использование фосфорсодержащих олигоэфиров в качестве антипиренов не позволяет получить трудногорючие ПУ [19]. Несмотря на большое количество работ в области огнезащиты полеуретановых эластомеров полимеры и сополимеры фосфорорганических соединений (ФОС) до сих пор используют промышленностью в сравнительно небольшом объеме [14]. Это в значительной степени обусловлено низкой молекулярной массой большинства из них и соответственно неудовлетворительными механическими свойствами материалов. Установлено, что причиной образования низкомолекулярных продуктов в процессе радикальной полимерилизации этиленфосфонатов являются побочные реакции внутримолекулярной передачи цепи. Конкуренция сопутствующих процессов с целевым направлением реакции, как правило, приводит к подобным полимерам и при использовании многочисленных вариантов поликонденсации [20ъ. С другой стороны принятые наукой и технологией характеристики горючести часто являются противоречивыми и улучшение одного из них сопровождается ухудшением других. В целом, снижение пожарной опасности полимерных материалов является многокритериальной задачей по оптимизации комплекса характеристик создаваемого материала. Известно, что большое влияние на физическое состояние полимера и его основные механические свойства оказывают межмолекулярные взаимодействия (ММВ). Многообразие функциональных групп в цепи полиуретанов создает широкие возможности для возникновения межмолекулярных связей различной энергии и химической природы. Роль ММВ, особенно важно учитывать при рассмотрении трехмерных сетчатых полиуретановых, в которых, в отличие от большинства других сетчатых каучукообразных материалов, эти связи имеют первостепенное значение. В работе [21] методом обращенной газовой хромотографии (ОГХ) был исследован процесс синтеза саженаполненных полиуретановых материалов на основе полиэтиленгликольальдипината (ПЭА) и 2.4-толуиле-диизацианата (ТДИ) с с улучшенными физико-механическими свойствами. Поскольку согласно [22] технический углерод обладает повышенной активностью, то введение его в полиуретановые материалы есть введение дополнительного акцепторного ценза. Данные хроматографических факторов полярности(ХФП) свидетельствуют о происходящем взаимодействии между ПЭА и поверхностью технического углерода с образованием донорно-акцепторных комплексов. Методом ОГКХ установлено, что содержание технического углерода в системе меньше 5% не оказывает влияние на свойства системы, при содержании технического углерода до 15% наблюдается хорошая эластичность при сохранении высоких прочностных показателей (рисунок). Определенный интерес вызывает возможность модификации литьевых полиуретанов продуктами химической деструкции этих полимеров [23]. Для осуществления термокаталитической деструкции полиуретаны измельчали до крошек с условным диаметром 1 мм и вводили в деструктирующий агент. В качестве деструктирующего агента использовали простые и сложные полиэфиры в смеси с катализатором – третичным амином. В результате сравнительного анализа было установлено, что деструкция полиуретана на основе простого полиэфира протекает быстрее, чем деструкция полиуретана на основе простого полиэфира. При этом разрушение происходит главным образом по сложноэфирным связям. Уретановые связи также подвержены гликолизу, но он протекает труднее. В результате анализа ИК-спектров продуктов деструкции установили, что качественный остав продукта деструкции и сложного полиэфира практически идентичен, а их молекулярные массы сопоставимы. Продукт деструкции может применяться как добавка хорошо сопоставимая с исходным полиолом при синтезе полиуретана. Так при введении до 20% (мас) деструктированного полиуретана в исходный полиэфир, готовый продукт сохраняет физико-механические показатели на первоначальном уровне. Кремнийорганические полиуретаны являются сравнительно новым классом кремнейорганических полимеров . Получают их обычно взаимодействием высокомолекулярных кремнийорганических диалов с диизоцианатами [24]. Кроме того, кремнийорганические могут быть синтезированы на основе реакционноспособных олигомеров [25], в частности кремнийорганических олигоэфируретанакфилатов, лекко полимеризирующихся по радикальному механизму. Использование кремнийорганических (КО) карбофункциональныъх соединений для модификации полиуретанов способствует существенному улучшению физико-механических показателей, повышению тепло- и морозостойкости, износостойкости, гидрофабности, водо- и химической устойчивости [25]. Пленкообразующие полиуретановые композиции, модифицированные смесью органических и кремнийорганических продуктов, как правило, характеризуются высокими физико-механическими показателями [26]. В данной работе проведено комплексное изучение подобных пленкообразующих композиций на основе простых полиэфиров и ароматического полиизоцианата. В качестве органического модификатора вводили тройной сополимер винилхлорид-винилацетат-виниловый спирт (ВХ-ВА-ВС). Для модификации были выбраны модификаторы:фенилэтоксисилан (ФТЭС), а также синтезированные ФБС, КОУД-Б, КОУП-ФБС. Процесс формирования модифицированных полиуретанов изучали пот кинетикеизицианатного полиприсоединения и гелеобразованию. Наблюдается рост константы скорости реакции при введении полиэфируретана тройного сополимера и различного типа КО модификаторов, различающихся химическим строением и пространственной конфигурацией, что связявают с увеличением содержания более активных в реакции изоцианатного полиприсоединения межмолекулярных ассоциатов гидроксильных групп, а также разным набором конформации молекул. Характерно, что сочетание тройного сополимера и КО модификаторов разного строения в полеуретановых существенно улучшает относительную твердость пленок, прочность при разрыве с одновременной эластификацией. Все модифицированные полиуретаны обладают максимальными показателями прочности при ударе и изгибе. При совместном введении винилового сополимера и КО модификаторов в полиэфируретаны значительно снижается водородопоглащение (не превышает 3%) и улучшаются защитные свойства пленок. Модифицированные уретановые эластомеры являются перспективными полимерами для получения на их основе армированных пленочных материалов, применяемых практически во всех отраслях промышленности. Армированные пленочные материалы на основе простых и сложных полиэфиров обладают высокими физико-механическими показателями, хорошей адгезией полимерного покрытия к основам различной природы и строения. 2. Полученные результаты и их обсуждение.Широкое применение в техники находят полиуретановые эластомеры, в том числе композиционные слоистые материалы на их основе, обладающие ограниченной горючестью [27]. В настоящее время одним из самых распространенных способов снижения горючести полиуретанов является введение в их состав антипиренов, среди которых часто обращаются к фосфорсодержащим полиолам [28-31]. Проблемы, возникающие в процессе применения таких полиолов, как правило, сопряжены с их низкой совместимостью с исходными мономерами и растворами в условиях гомогенного синтеза полиуретанов, а образующийся полимер зачастую не обладает ожидаемыми свойствами. В данной работе изучен способ снижения горючести полиуретанов в результате регулирования состава макромолекулы изменением соотношения исходных веществ. В процессе синтеза в качестве антипирирующего модификатора использовались химически-активная добавка – фосполиол (III, см. схему 1), полученный оксипропилированием 1-оксиэтилидендифосфоновой кислоты. Преимуществом фосполиола является возможность синтеза его на основе промышленного доступных соединений технологичным методом, описанным в работе [32]. Синтез полиуретана осуществляли в присутствии растворителя (диметилфомамида), при температуре 1150С в течении 1,5 часов в атмосфере воздуха при мольном соотношении реагентов фосполиол (диол): диизоцианат – 1,4; диол-этиленгликоль (II),диизацианат-дифенилметан – 4,4 – диизоцианат (I). Реакция, вероятно, протекает одновременно по трем направлениям:
m=n+k За ходом реакции следили рефрактометрическим методом по изменению показателя преломления реакционной массы. Постоянное в течение трех часов значение П20Д принималось за конечное значение, при котором реакция считалась завершенной. Экспериментальные данные представлены на рис. 1 показывают, что по реакционной способности полиуретан с различной степенью модификации по реакционной способности располагаются в ряд: 0,75<0,5<2<3<1 Рисунок 1.
В Полученную реакционную массу отливали на стеклянную поверхность и термостатировали до образования пленок. В зависимости от состава реакционных смесей полученным композициям присвоены обозначения, приведенные в таблице 2.1. Таблица 2.1 Обозначение синтезированных полиуретанов
Примечание: * - n=1; k=0 ** - n=0; k=1 Введение фосполиола в реакционную смесь приводит к получению полимерных продуктов, обладающих физико-механическими и технологическими свойствами, приведенными в таблице 2.2. Так, алигомеры, содержащие в своем составе от 1 до 4% (масс.) оксипропилированного фосполиола имеют увеличенную плотность и прочностные свойства. Некоторое снижение эластичности, вероятно, является следствием структурообразования и и сливания реакционного продукта за счет взаимодействия диизоцианита со свободными группами фосполиола. Таблица 2.2 Физико –химические свойства полиуретанов
Исследование водопоглощения полиуретановых пленок проводили в течение 24 часов. Для модифицированных полиуретанов при содержании 6-8% (масс.) фосполиола водопоглощение составляет 4%, что определяет их достаточную устойчивость к гидролитическому воздействию. Термостойкость полиуретановых образцов исследована на дериваточрафе системы Паулик – Эрдеи при скорости подъема темпиратуры 10оС в минуту. Анализ данных термогравиметрии показывает, что процесс термоокилительной деструкции модифицированных полиуретанов включает три экзотермические стадии, которым соответствуют пики кривой дифференциального термического анализа (см. табл. 2.3.), первая и вторая стадии некоторых образцов (6 и7) налагаются друг на друга. Для других образцов (3 и 10) характерен экзотермический пик в интервале температур 40-80 оС, связанный, скорее всего, с существованием конформационных переходов, обусловленных процессом упорядочивания макромолекулы, т.к. до 100 оС макромолекулы полиуретана укладываются в основном, согласно [33] в псевдокристаллическую структуру. Экзотермический пик соответствующий температурному интервалу 140-200 оС и обусловлен процессом дополнительного отвержения полимеров. Существующий экзотермический пик в области температур 240-300 оС связан с процессом термодеструкции, который идет ступенчато в две стадии; начало второй стадии соответствует температуре 520оС и выше (третий экзотермический пик). Скорее всего, окисление начинается около 300 оС, термодеструкция за счет разложения диизоцианата – при 365 оС и деполимеризация – выше 500 оС, что согласуется с данными работы [34]. На кривой ДТА немодифицированного полиуретана отмечается наличие аналогичных экзотермических пиков. Максимум первого экзотермического пика приходится на 140 оС, следовательно для синтезированных фосфорсодержащих поилиуретанов он сдвинут в область более высоких температур на 60 оС, второй экзотермический пик напротив сдвинут в область более низких темпиратур (приходится на 300 оС), однако именно с этого момента происходит интенсивная потеря массы, тогда как для немодифицированных полиуретанов потеря массы в этот момент составляет около 50% от начальной массы образца. Таблица 2.3 Параметры термодеструкции фосфорсодержащих полиуретанов
Таким образом, область экзотермического разложения модифицированных полиуретанов смещается в зону более низких температур, что обусловлено наличием фосфора в продукте и соответственно более быстрому протеканию процесса коксообразования, однако суммарный термический эффект значительно увеличивается; перспективными с этой точки зрения могут быть признаны образцы 5, 6, 9. Энергия активации (см. табл.) соответствует участку наибольшей потери массы образцом. Исследование горючести разработанных компонентов проводили в соответствии с ГОСТ 17088-71. Установлено, что горючесть образцов 6,7,9,10 такова, что они могут быть отнесены к самозатухающим. Оптимальной концентрацией фосфора при получении модифицированных полиуретанов пониженной пожароопасности следует считать [Р]>=2,2%, т.е. содержание фосполиола в исходной полиэфирной смеси должно быть не менее 10% от массы диизацианата. 3. Лабораторная методика. Получение продукта.Получение полиуретанового раствора ведется стадией полимеризации. Она сводится к реакции получения полиуретанового полимера взаимодействием форполимера с фосполиолом. Конечным продуктом реакции является полиуретановый полимер. Процесс полимеризации осуществляется в реакторе емкостью 1,325 метра куб., который представляет собой вертикальный аппарат с мешалкой и рубашкой для охлаждения. Охлаждающей средой является этиленгликоль с температурой минус 12,5±°С. В начале принимается первый раствор форполимера. Затем в реактор загружается суспензия двуокиси титана, красителя и второй раствор форполимера. Как только температура в реакторе достигает 8-10°С начинается загрузка ДМФ, в котором растворен удлинитель цепи. Одновременно циркуляция хладагента в рубашке прекращается. В начальной стадии полимеризации раствор ФП в ДМФ загружается непрерывно. После загрузки примерно 75% от теоретического количества раствора дальнейшая дозировка прекращается на 8 минут для завершения реакции. Спустя 8 минут для завершения начальной стадии загрузки раствора удлинителя цепи, вязкость реакционной смеси достигает обычно 500 пуаз. Определение вязкости ведется через каждые 7,5 минут автоматическим вискозиметром после добавки ФП. Эту операцию повторяют до тех пор, пока вязкость будет соответствовать 1700±200 пуаз. Рабочий цикл реакции полимеризации обычно завершается в течение 90 минут. При достижении вязкости реакционной массы 1700±200 пуаз в реактор производится загрузка обрывателя цепи. После загрузки обрывателя цепи производят корректировку концентрации полимера с добавлением ДМФ из сборника насосом. Для стабилизации вязкости полимера через 30 минут после загрузки обрывателя цепи загружается уксусный ангидрид в ДМФ, который вступая в реакцию с обрывателем цепи, предотвращает разложение молекул полимера и поведение его вязкости. Перемешиванием реакционной массы после добавки уксусного продолжается ангидрида 30-40 минут, после чего процесс полимеризации заканчивается. 4. Технические условия на продукт.Настоящие технические условия распространяются на полиуретан пониженной горючести. Таблица 4.1 Сырье, используемое для изготовления модифицированного ПУ.
4.1. Технические требования.Модифицированный полиуретан должен соответствовать требованиям настоящих технических условий и изготавливаться по техническому регламенту, утвержденному в установленном порядке. 4.1.1. Основные свойства. Показатели качества модифицированного ПУ приведены в таблице 4.2. Таблица 4.2 Показатели качества
4.2. Требования безопасности.4.2.1. При производстве ПУ следует соблюдать меры предосторожности. ФП вреден при вдыхании. 4.2.2. ПУ является устойчивым, при нормальных условиях, веществом и не образует токсичных соединений под воздействием других веществ или факторов производственной среды. 4.2.3.Лица, работающие в производстве ПУ, подлежат прохождению предварительных, при поступлении на работу, и периодических медицинских осмотров, согласно приказу Министерства здравоохранения от 19.06.84 г. 4.2.4. При работе необходимо применять средства индивидуальной защиты: костюм из хлопчатобумажной ткани (ГОСТ 12.4.108-82, ГОСТ 12.4.109-82) или халат из хлопчатобумажной ткани (ГОСТ 12.4.131-83, ГОСТ 12.4.132-83); респиратор или противогаз (ГОСТ 12.4.034-85, ГОСТ 12.4.122-83); защитные очки (ГОСТ 12.4.013-85Е); специальную обувь. 4.2.5. В производстве ПУ производственные помещения должны быть обеспечены приточно-вытяжной вентиляцией, обеспечивающей содержание вредных веществ в воздухе рабочей зоны не выше предельно допустимого, а места их возможного выделения в воздухе рабочей зоны – местными отсосами согласно СН-245-71, СниП 11-Н-М-79. 4.2.6. Контроль за состоянием воздуха производственных помещений проводят по графику санитарного контроля утвержденному главным инженером предприятия и согласованному с местными органами государственного надзора. 4.3. Правило приемки.4.3.1. Приемку ПУ проводят партиями. Партией считается количество однородного по показателям вещества, полученного от одной или нескольких технологических операция и сопровождаемого одним документом о качестве. 4.3.2. Документ о качестве должен содержать:
4.3.3. При получении неудовлетворительных результатов испытаний хотя бы по одному из показателей проводят повторный анализ ПУ отобранный в удвоенном объеме той же партии. Результаты повторного анализа являются окончательными и распространяются на всю партию. 4.4. Методы испытания.4.4.1. Условная прочность, относительное удлинение, остаточное удлинение определялось по ГОСТ 270-75. 4.4.2. Определение содержания фосфора осуществляется по ГОСТ 208512-75. 4.5. Упаковка, маркировка, хранение.4.5.1. Готовый модифицированный ПУ, скрученный в рулон упаковывают в пленку, затем в бумажный мешок. 4.5.2. На каждую единицу продукции прикрепляют маркировочный ярлык с нанесением на нем данных, характеризующих продукцию:
4.5.3. Транспортную маркировка, содержащую основные, дополнительные и информационные надписи, наносят по ГОСТ 14192-77. На каждое грузовое место наносят манипуляторные знаки по ГОСТ 14192-77, а так же знак опасности по ГОСТ 19433-81. 4.6. Гарантии изготовителя.4.6.1. Изготовитель гарантирует соответствие ПУ техническим условиям при соблюдении условий хранения. 4.6.2 Гарантийный срок хранения ПУ 3 месяца со дня изготовления. Таблица 4.3. Перечень нормативно-технической документации
Выводы1. Проведена модификация полидиизоцианатоа, полученного на основе диффенилметан–4,4–диизационата и политетраметилен эфиргликоля путем замены частичной или полной исходного удлинителя цепи на фосфорсодержаший полиол. При введении до 30% масс:
2. Проведена оптимизация методики синтеза ПУ с использованием в качестве удлинителя цепи фосфорсодержащего полиола. Использованная литература.
|
||||||||||||||||||||||||||||||||||||||||||||||||||||||||||||||||||||||||||||||||||||||||||||||||||||||||||||||||||||||||||||||||||||||||||||||||||||||||||||||||||||||||||||||||||||||||||||||||||||||||||||||||||||||||||||||||||||||||||||||||||||||||||||||||||||||||||||||||||||||||||||||||||||||||||||||||||||||||||||||||||||||||||||||||||||||||||||||||||||||||||||||||||||||||||||||||||||||||||||||||||||||||||||||||||||||||||||||||||||||||||||||||||||||||||||||||||||||||||||||||||||||||||||||||||||||||||||||||||||||||||||||||||||||||||||||||||||||||||||||||||||||||||||||||||||||||||||||||||||||||||||||||||||||||||||||||||||||||||||||||||||||||||||||||||||||||||||||||||||||||||||||||||||||||||||||||||||||||||||||||||||||||||||||||||||||||||||||||||||||||||||||||||||||||||||||||||||||||||||||
-Фенил-N’-изопропил-n-фенилендиамин
(диафен ФП, 4010 NA,
сантофлекс
IP) имеет
следующую
формулу:
ретан
можно рассматривать
как эфир неустойчивой
карбаминовой
кислоты или
как амидоэфир
угольной кислоты.
инейный
полиуретан
синтезированный
из соединениями
с двумя ОН-группами
НОROH и диизоционата
OCNR’NCO, имеет
строение:



