Реферат: Изучение электромагнитного излучения, создаваемого персональным компьютером
|
Название: Изучение электромагнитного излучения, создаваемого персональным компьютером Раздел: Рефераты по экологии Тип: реферат | ||||||||||||||||||||||||||||||||||||||||||||||||||||||||||||
ЛАБОРАТОРНАЯ РАБОТА Изучение электромагнитного излучения, создаваемого персональным компьютером. ЦЕЛЬ РАБОТЫ: Изучение характеристик электромагнитного поля, создаваемого персональным компьютером. Разработка рекомендаций при работе с компьютером. Порядок проведения работы 1. Ознакомиться с установкой для измерения электромагнитного поля, излучаемого компьютером. 2. Измерить по всем направлениям от компьютера величину электромагнитного поля в зависимости от расстояния. 3. Заполнить таблицы 1, 2, 3. 4. Построить графики зависимости магнитной индукции от расстояния и рассчитать ошибки излучений. 5. Сделать выводы по проведенной работе и дать рекомендации при работе с компьютером. Таблица 1. Для плоскости XOY
Таблица 2. Для плоскости XOZ
Таблица 3. Для плоскости YOZ
Выписки из гигиенических требований к видеодисплейным терминалам (ВДТ), персональным электронно-вычислительным машинам (ПЭВМ) и организации работы. (Санитарные правила и нормы 2.2.2. 542-96, Госкомсанэпиднадзор России, Москва, 1996). 1. НОРМЫ ИЗЛУЧЕНИЯ НА ВДТ И ПЭВМ. 1.Конструкции ВДТ (видеодисплейный терминал) и ПЭВМ (персональная электронно-вычислительная машина) должны обеспечивать мощность экспозиционной дозы рентгеновского излучения в любой точке на расстоянии 0,05 м от экрана и корпуса - 0,1 мБэр/час (100 мкр/час). 2. Допустимые значения параметров неионизирующих электромагнитных излучений: а) напряженность электромагнитного поля по электрической составляющей на г=50 см от экрана - 10B/м б) напряженность электромагнитного поля по магнитной составляющей г=50 см от экрана - 0,3 А/м. Примечание : Рентген - доза гамма-излучения под действием которого в 1 м3 сухого воздуха при t=00 С и давлении 760 мм рт.ст. создаются ионы, несущие одну электростатическую единицу электричества. Мощность экспозиционной дозы измеряется: Р/час (1P = 2,58 10-4 Кл/Кг). БЭР - биологический эквивалент рентгена, т.е. такая доза любого излучения, которая вызывает тот же биологический эффект, что и один рентген гамма-излучения (нормальный фон 15 - 30 мкР/час). 2. ОБЩИЕ ТРЕБОВАНИЯ К ОРГАНИЗАЦИИ РЕЖИМА И ОТДЫХА ПРИ РАБОТЕ С ВДТ И ПЭВМ. 1. Режим труда и отдыха при работе с ПЭВМ и ВДТ должны организовываться в зависимости от вида и категории трудовой деятельности. 2. Виды трудовой деятельности разделяются на три группы: Группа А - работа по считыванию информации с экрана ВДТ или ПЭВМ с предварительным запросом; Группа Б - работа по вводу информации; Группа В - творческая работа в режиме диалога с ЭВМ. 3. Для видов трудовой деятельности устанавливается три категории тяжести и напряженности работы с ВДТ и ПЭВМ, которые определяются: - для группы А - по суммарному числу считываемых знаков за рабочую смену, но не более 60000 знаков за смену; - для группы Б - по суммарному числу считываемых или вводимых знаков за рабочую смену, но не более 4000 знаков. - для группы В - по суммарному времени непосредственной работы с ВДТ и ПЭВМ за рабочую смену, но не более 6 часов за смену. 4. Продолжительность непрерывной работы с ВДТ без регламентированного перерыва не должна превышать 2 часов. 3. ТРЕБОВАНИЯ К ШУМУ И ВИБРАЦИИ. 1. При выполнении основной работы на ВДТ и ПЭВМ уровень шума на рабочем месте не должен превышать 50 дБ (диспетчерские, операторские, расчетные кабины, залы вычислительной техники, учебные помещения). 2. В помещения операторов ЭВМ (без дисплеев) уровень шума не должен превышать 65 дБ. 3. На рабочих местах в помещениях для размещения шумных агрегатов вычислительных машин ( АЦПУ, принтеры и т.п.) уровень шума не должен превышать 75 дБ. Примечание: Для оценки физической характеристики звука вводится понятие уровень громкости: L=lgI/Io, где I - интенсивность данного звука, Iо - исходная интенсивность (I1о принимают равной 10-12 Вт/м, так что порог слышимости при частоте 10 Гц лежит на нулевом уровне, Вт - ватт, единица мощности). Единица уровня громкости L называется Белом (Б). Обычно пользуются в 10 раз меньшими единицами - децибелами (дБ). (Тихиq разговор - 40 дБ, громкfz речь - 70 дБ., шум самолета на расстоянии З rv- 130 Дб). ТЕОРЕТИЧЕСКАЯ ЧАСТЬ Вокруг проводников с током и постоянных магнитов образуется магнитное поле. При помещение в магнитное поле проводника действует сила, величина которой пропорциональна длине этого отрезка в пространстве. Магнитное поле характеризуется вектором магнитной индукции В. Вектор магнитной индукции направлен вдоль отрезка проводника с током, когда этот отрезок ориентирован так, что на него со стороны магнитного поля не действует сила. Величина модуля вектора магнитной индукции равна
где L - длина отрезка проводника; I - ток, идущий в нем; F - максимальная сила, действующая на этот отрезок проводника в магнитном поле (когда этот отрезок перпендикулярен к направлению вектора В). Из (1) следует, что магнитная индукция численно равна отношению силы, действующую со стороны магнитного поля к произведению силы тока на длину проводника, если он расположен в поле. В системе СИ , когда сила измеряется в Ньютонах, ток в Амперах, а длина в метрах, единицей магнитной индукции является тесла. Если в некоторой области пространства известен вектор магнитной индукции, то на помещенный в этой области отрезок проводника длиной L, по которому течет ток, действует со стороны магнитного поля сила, называемая силой Ампера/ FA = I В l sin a , (2) где (a- угол между направлениям вектора магнитной индукции и отрезком проводника. Вспомогательной величиной, характеризующей магнитное поле токов, является вектор напряженности магнитного поля В системе СИ единицей напряженности магнитного поля является Ампер/метр. Связь между магнитной индукцией и напряженностью магнитного поля устанавливает соотношение: В= m m 0 H (3) где m 0 = 4p10-7 Гн/м - магнитная постоянная, m - магнитная проницаемость вещества. Примечание: Следует заметить, что согласно формуле связи напряженности (Е) электрического поля с разностью потенциалов (j) Е =( j1 - j2 )/r, (4) напряженность электрического поля измеряется в В/м (вольт на м). Закон Био -Сaвара - Лапласа. Как следует из опытных данных, индукция магнитного поля В в вакууме всегда пропорциональна величине электрического тока 1, возбуждающего поле B= m 0 kI (5) Такова общая (интегральная) форма закона магнитного поля тока, установленного в 1820г. французскими учеными Био и Саваром. Зависимость В от конфигурации и расположения токов, скрытая в коэффициенте к, имеет в каждом конкретном случае особый частный характер. Однако, как показал Лаплас, можно записать этот закон в такой дифференциальной форме, не зависящей от формы токов, пользуясь которой, можно рассчитать индукцию магнитного поля, создаваемого током любой геометрической формы. Известно, что движущийся заряд создает вокруг себя магнитное поле, вектор магнитной индукции которого B=[ m 0 /4 p ][q(v.r)]/ r3 (6) где v - скорость движения заряда, r - радиус вектор, проведенный от заряда до точки определения В . Рассмотрим магнитное поле отдельного элемента тока, используя принцип суперпозиции магнитных полей, который заключается в следующем: магнитное поле отдельно движущихся зарядов векторно складывается и каждый заряд возбуждает магнитное поле, которое не зависит от наличия других зарядов. Для расчета магнитной индукции отдельного элемента тока с учетом принципа суперпозиции, рассмотрим проводник сечениемS , длинойdL , по которому движутся заряженные частицы с зарядамиq и концентрацией n Число частиц в объеме dV будет dV = ndV = ndLS, а магнитное поле dB, создаваемое элементом тока в рассматриваемой точке, находящейся на расстоянии радиуса-вектораr от dL , согласно (6) будет в dN=ndLS раз больше, чем поле В, создаваемое одним движущимся зарядом (закон Био-Савара-Лапласа): dB= m 0 nq[vr]dLS/4 p r3 = m 0 I [dL r]/ 4 p r3 (7) 1) Магнитное поле бесконечно длинного проводника с током Применим закон Био - Савара - Лапласа для расчета магнитного поля, создаваемого током 1, текущим по бесконечному длинному проводнику (рис. 1) в точке А, которая находится на расстоянии R от оси прямолинейного
Каждый элемент тока TdL создает в точке А элементарную составляющую магнитной индукции, формула 7. Из (7) следует, что вектор dB перпендикулярен плоскости чертежа и направлен На нас. Так как все векторы dВ, создаваемые отдельными dL , имеют одинаковое направление в точке А, то сложение векторов dB можно заменить сложением их модулей dB = m 0 I dL sin a /4 p r2 (8) Величина результирующей магнитной индукции может быть определена интегрированием (8) " В = (m 0 / 4 p ) - oo J+°° I s in a r -2 в L (9) Чтобы произвести интегрирование, следует выразить все переменные под интегралом через одну переменную, например, угол j. Тогда для L получим L=Rtg j (10) Дифференцируя (10) получим, что dL=Rcos-2 j d j ( II) Следует заметить, что при изменении L от-оо до+оо, угол j изменяется от - p /2 до + p /2, и поэтому пределы интегрирования в (9) меняются. Далее, sin a = sin(900 - j ) = cos j (12) r=R/cos j (13) Подставляя (11), (12), (13) в (9) и меняя пределы интегрирования, получим В = (m 0 / 4 p R ) - p /2 J+ p/2 cos j d j ( 14) Заметим, что в уравнении (14) - p /2 J+ p/2 co s j d j = 2 (15) Учитывая (15), получим В== m 0 I/2 p R (16) Таким образом, магнитная индукция поля прямого тока определяется формулой ( 16), и она может быть 'также использована для расчета поля проводника с током конечной длины при условии, что расстояние R мало по сравнению с длиной проводника. Магнитное поле контура с током. С помощью закона Био-Савара-Лапласа определим магнитное поле в центре кругового витка с током, радиус которого R (рис. 2). Каждый элемент тока создает в центре витка магнитную индукцию, которая направлена вдольнормали плоскости витка, и поэтому векторное сложение полей dB создаваемых элементами с током, можно свести к сложению их модулей. Элементарная составляющая dB, согласно (8) , равна: dB
= m
0
IdL/4
p
R2
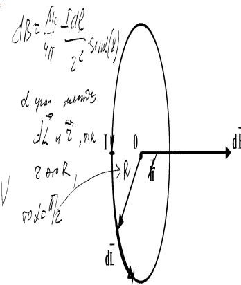
Рис. 2 Поскольку в данном случае a = p /2, а расстояние r от каждого элемента тока до рассматриваемой точки поля одинаково и равно R, то интегрируя выражение (17) по всей длинеL=2 p R контура с током, получим: В= m 0 I/2R (18) Рассчитаем магнитное поле на оси кругового витка с током в точке А, которая отстоит от плоскости витка на расстоянии а (рис. 3)
Рис. 3. Пусть плоскость витка с током перпендикулярна плоскости чертежа, в которой лежит ось витка, а направление тока указано на чертеже. Величина модуля элементарной составляющей в В в точке А равна dB= m 0 ldL/4 p R (19) (угол между dL и dr равен p /2) Векторы dB по правилу векторного умножения вектора на вектор перпендикулярны к плоскости, проходящей через соответствующий элемент тока dL и точку А, а следовательно, они образуют симметричный конический веер. Геометрическая сумма всех векторов dB числено равна алгебраической сумме проекций всех векторов на ось X. Проекция вектора в В х на ось Х равна dBx = dB sin j = m 0 IdL sin j / 4 p r2 (20) Учитывая, что sin j = R/r получим dBx = m 0 I R dL / 4 p r3 (21) Величина результирующей магнитной индукции определяется интегрированием, по всей длине L=2 p R витка. Учитывая, что г 2 = R2 +d2 , окончательно получим В = m 0 I R2 / 2(R2 + d2 ) 3/2 (22) С помощью формулы (22) можно рассчитать магнитное поле кругового тока в любой точке оси X. СОДЕРЖАНИЕ ОТЧЕТА 1. Название и цель работы. 2. порядок выполнения работы со схемой, заполненными таблицами, графиками и проводимыми вычислениями. 3. Краткое содержание теоретической части. 4. ответы на вопросы для самопроверки. Вопросы для самопроверки. 1. Общие гигиенические требования к ВДТ и ПЭВМ по вопросам электромагнитного излучения, шумы и вибрации, а также режима труда и отдыха. 2. Основная характеристика электромагнитного поля - магнрггная индукция и напряженность, единицы их измерения. 3. Основные характеристики электромагнитного поля - напряженность, потенциал единицы и измерения, связь между ними. Закон Био-Савара-Лапласа для электромагнитного поля. 4. Расчет напряженности магнитного поля, создаваемого электромагнитным током, (магнитное поле бесконечно длинного проводника с током, магнитное поле контура с током, магнитное поле на оси кругового тока). 5. Теория ошибок: нормальный закон распределения. Определение дисперсии по опытным данным. Метод наименьших квадратов. Литература 1. А.А. Детлаф, Б.М. Яворский. Курс физики. М. «Высшая школа», 1989г. 2. И.В.Савельев. Курс общей физики.,т. 1,2, 3, М. «Наука» (любой год издания). |


