Реферат: Рациональные методики поиска оптимальных путей сетевых графиков и их автоматизация на ЭВМ
|
Название: Рациональные методики поиска оптимальных путей сетевых графиков и их автоматизация на ЭВМ Раздел: Рефераты по экономико-математическому моделированию Тип: реферат | |||||||||
| Реферат Курсовой проект 43 с., 5 рис., 6 блок-схем, 1 таблица, 1 источник. СЕТЕВОЙ ГРАФИК, АНАЛИЗ ОПТЕМАЛЬНОСТИ СЕТЕВЫХ ГРАФИКОВ, РАЦИОНАЛЬНЫЕ МЕТОДИКИ ПОИСКА ОСОБЫХ ПУТЕЙ СЕТЕВЫХ ГРАФИКОВ, АВТОМАТИЗАЦИЯ АНАЛИЗА СЕТЕВЫХ ГРАФИКОВ НА ЭВМ. Направление работы – изучение математических и алгоритмических аспектов анализа оптимальности сетевых графиков. Основная цель работы – найти и доказать рациональные методики поиска особых путей сетевых графиков, легко поддающиеся автоматизации на ЭВМ и сокращающие затраты на сетевое планирование, за счёт уменьшения сроков разработки оптимальных сетевых графиков. Используемый в работе метод исследований – аппарат формальной логики, позволяющий осуществлять математические доказательства с минимальным привлечением, для этого, формул. В ходе работы получены блок-схемы алгоритмов расчёта параметров сетевых графиков и поиска их особых путей, которые предполагается использовать при создании конкретной программы анализа оптимальности сетевых графиков на любом из известных языках программирования. Новизна работы состоит в том, что разработанные методы позволяют найти критический и наикратчайший пути сетевого графика без перебора всех возможных вариантов, что даёт: во-первых – высокую скорость разработки оптимальных сетевых графиков, а во-вторых – возможность точного ответа на вопрос об оптимальности уже готового сетевого графика и высокую степень оптимизации сетевых графиков по длительности в случае их неоптимальности. Содержание Введение 4 1 Постановка задачи 6 2 Теоретические основы сетевого планирования 9 3 Обоснование рациональных методик поиска особых путей сетевых графиков 15 4 Автоматизация анализа оптимальности сетевых графиков на ЭВМ 22 4.1 Представление сетевого графика в машинной форме 22 4.2 Автоматизация расчёта параметров сетевого графика 27 4.3 Автоматизация процесса поиска особых путей сетевого графика 40 Заключение 42 Список использованных источников 43 Введение Одним из основных экономических показателей, определяющих себестоимость проведения проектных, научно-исследовательских, опытно-конструкторских и других, поддающихся экономическому анализу, работ, связанных с разработкой и внедрением на предприятие новой техники или с организацией и управлением деятельности всего предприятия, является общая продолжительность их выполнения. Естественно, что в рамках некоторого рассматриваемого проекта, эта продолжительность существенно зависит от структуры упорядочивания отдельных, входящих в него работ. Поэтому, построение оптимальной структуры упорядочивания проектных работ является основной задачей сетевого планирования. В основе решения указанной задачи лежит анализ смыслового содержания работ и установление взаимосвязей между ними, что позволяет выявить возможность их параллельного выполнения. Последнее, является основным фактором сокращения длительности всего проекта. Распространены два метода оптимального планирования или упорядочивания проектных работ. Один из методов, основан на построении ленточного графика, где каждой работе присваиваются такие характеристики как время начала её выполнения, её длительность, которые затем, в виде параллельных отрезков, наносятся на шкалу времени. Другой из методов, основан на построении сетевого графика, где структура упорядочивания работ изображается графически в виде сигнального графа. Выбор того или иного метода планирования зависит от числа работ, входящих в состав проекта. Принято, что если число работ превышает 25, то наиболее наглядный и удобный метод оптимального планирования – есть метод, основанный на построении сетевого графика. На практике этот метод более употребителен, в силу того, что число работ, входящих в некоторый рассматриваемый проект, как правило, достигает нескольких сотен. Для сетевого графика, существует два понятия оптимальности: оптимальность по структуре и оптимальность по длительности. Оптимальность по структуре характеризуется степенью параллельности исполнения отдельных работ. Оптимальность по длительности характеризуется рациональным распределением трудовых ресурсов между параллельными видами работами, которое обеспечивает примерно равную их продолжительность. На сегодняшний день нет, и не предвидится появление, строгих методов и алгоритмов построения оптимального сетевого графика, поддающихся автоматизации на ЭВМ. Это связано с тем, что процесс построения оптимального сетевого графика требует от экономиста-проектировщика опыта и интуитивных свойств мышления, реализовать которые на ЭВМ практически не возможно. По другому обстоит дело с задачей анализа оптимальности уже готового сетевого графика. Надо сказать, что с этой задачей экономист-проектировщик сталкивается систематически при оптимизации сетевого графика по длительности, когда каждое очередное принятое решение о перераспределении трудовых ресурсов требует проверки на достижение оптимального варианта. Очевидно, что если автоматизировать процесс решения рассматриваемой задачи, то это существенно снизит продолжительность разработки сетевого графика, а значит и затраты на сетевое планирование в целом. Так вот, задача анализа оптимальности сетевого графика математически формализуема и, с некоторыми трудностями, решаема на ЭВМ. В данном курсовом проекте, как раз и будут предложены и обоснованы рациональные методики решения задачи анализа оптимальности сетевых графиков, легко автоматизируемые на ЭВМ. 1 Постановка задачиКак правило, экономисту-проектировщику не представляется сложным, с первого раза, построить оптимальный по структуре сетевой график, когда будет обеспечена максимальная параллельность исполнения отдельных работ. Всё зависит от понимания им сущности и содержания каждой работы, входящей в состав сетевого графика. Труднее обстоит дело с распределением трудовых ресурсов по отдельным видам работ, от которого зависит оптимальность сетевого графика по длительности. Проблема в том, что практически невозможно предугадать, как отразится на длительности всего проекта и соотношении длительностей различных путей его сетевого графика, перенос трудовых ресурсов с одних работ на другие, в результате которого, при неизменной трудоемкости работ, происходит увеличение длительности первых и уменьшение длительности вторых. В таких условиях, остаётся только один способ оптимизации сетевого графика по длительности. Этот способ основан на методе проб и ошибок, когда, первостепенную важность играет задача проверки и анализа оптимальности уже готового, полностью рассчитанного сетевого графика, с целью выявления ошибок в распределении трудовых ресурсов. Рассмотрим эту задачу и связанные с ней трудности подробнее. Для сетевого графика существуют понятия пути и его продолжительности. Под путем понимается любая цепочка непрерывно следующих, друг за другом, последовательных во времени работ, от начала проекта до его завершения. Под длительностью пути понимается суммарная длительность всех, входящих в него, последовательных работ. Более понятными, данные определения станут при рассмотрении следующего раздела. Сейчас же, важно другое, что каждый сетевой график имеет в своём составе два особых пути: критический и наикратчайший. Критическим путём является путь, имеющий наибольшую продолжительность среди других возможных путей сетевого графика. Наикратчайшим путём является путь, который, в отличие от критического пути, имеет наименьшую продолжительность во всём сетевом графике. На понятиях этих двух путей основан наиболее простой и распространенный критерий оптимальности сетевого графика, формализуемый следующим образом:
где
Из критерия (1.1) следует, что некоторый рассматриваемый сетевой график принимается оптимальным, если отношение длительности его наикратчайшего пути к длительности его критического пути не менее 0.7, или, что тоже самое, если длительность наикратчайшего пути отличается от длительности критического пути не более чем на 30%. Забегая вперёд, можно сказать, что длительность критического пути, легко найти путём расчёта некоторых, принятых параметров сетевого графика, которые будут подробно рассмотрены в следующем разделе. Длительность же наикратчайшего пути, в общем случае неизвестна, и для её нахождения требуется суммировать длительности всех, входящих в него работ. Теперь встаёт проблема, – а как найти работы, принадлежащие наикратчайшему пути, чтобы иметь возможность просуммировать их длительности? Решить данную проблему, для человека, интуитивно или простым перебором вариантов, очень проблематично, особенно при большой, сильно разветвленной структуре сетевого графика. Зачастую и ЭВМ справиться с этой задачей не может, в силу того, что её быстродействие ограничено, а число всех возможных вариантов путей сетевого графика, уже при стах событиях, может достигать миллионов или даже сотен миллионов. Так вот, оказывается, эта проблема решаема, причём без перебора вариантов и сравнительно быстро даже для человека, не говоря уже об ЭВМ. Основной целью данной курсового проекта, как раз и является цель показать, а точнее доказать рациональные методики поиска особых путей сетевого графика, которые не только дают возможность проверки его оптимальности, но и позволяют рационально выполнить его оптимизацию по длительности. Последнее заключается в том, что если экономист-проектировщик будет знать, как проходят особые пути сетевого графика, то он сможет, в целях оптимизации, правильно перераспределить трудовые ресурсы, а именно – перенести ресурсы с работ, принадлежащих наикратчайшему пути, на работы, принадлежащие критическому пути, и тем самым уровнять длительности этих путей, для обеспечения выполнения критерия оптимальности (1.1). 2 Теоретические основы сетевого планированияПрежде, чем преступать к обоснованию рациональных методик поиска особых путей сетевого графика, необходимо напомнить, что вообще собой представляет сетевой график, и какими основными параметрами он характеризуется. Итак, сетевой график – есть математическая модель упорядочивания проектных работ типа “Сигнальный граф” (см. пример на рис.2.1 ). Любой сигнальный граф состоит только из двух элементов: дуг и вершин. В контексте сетевого планирования, дугами являются отдельные работы, изображаемые на сетевом графике в виде стрелок так, что начала стрелок, соответствует началам выполнения работ, концы стрелок – их завершению. Вершинами сигнального графа являются так называемые события, которые изображаются на сетевом графике в виде кружков, с порядковыми номерами в нижних квадрантах. Как раз события сетевого графика и служат для целей упорядочивания проектных работ, которое заключается в том, что исходящая из некоторого события работа не может начаться, пока не завершаться все входящие в него работы. Существует масса правил, узаконенных стандартом, придерживаться которых необходимо при построении сетевых графиков. Наиболее важные из них: − Любой сетевой график должен иметь начальное событие, работы из которого только исходят, и конечное событие, в которое они только входят; − Любой путь сетевого графика должен быть полным. То есть, любая цепочка, непрерывно следующих друг за другом, последовательных во времени работ, должна начинаться в исходном событии сетевого графика, а заканчиваться в конечном; − Сетевой график не должен иметь замкнутых петель. То есть, недопустимо, чтобы конец некоторой работы являлся бы началом другой работы, предшествующей первой по времени. Имея только структуру сетевого графика, невозможно разрешить вопрос о его оптимальности. Требуется проводить расчеты еще целого ряда, принятых параметров. К этим параметрам относятся: −
ранние и поздние сроки наступления событий; − ранние и поздние сроки начала и окончания работ; − резервы времени работ и событий. Ранний срок наступления события – это минимально возможный срок, необходимый для выполнения всех работ, предшествующих данному событию. Расчёт ранних сроков наступления событий ведут в порядке – от начального события проекта (с номером 0) до завершающего. При расчёте принимают, что ранний срок наступления начального события равен 0. Для определения раннего срока наступления
где
Таким образом, ранний срок наступления Поздний срок наступления события – это максимально допустимый срок наступления рассматриваемого события, определяемый из условия, что после наступления этого события в свой поздний срок остаётся достаточно времени, чтобы выполнить следующие за ним работы. Расчёт поздних сроков наступлений событий ведут в обратном порядке – от завершающего события проекта до начального (с номером 0). При расчёте принимают, что поздний срок наступления завершающего события совпадает с его ранним сроком наступления. Для расчёта позднего срока наступления
где
Таким образом, поздний срок наступления Зная ранний и поздний сроки наступления события, можно определить резерв времени события:
где Резерв времени события показывает насколько можно отсрочить наступление события по сравнению с его ранним сроком наступления без изменения общей продолжительности всего проекта. Ранний срок начала работы совпадает с ранним сроком наступления её начального события, а ранний срок окончания работы превышает его на величину продолжительности этой работы:
где
Поздний срок окончания работы совпадает с поздним сроком наступления её конечного события, а поздний срок начала работы меньше на величину продолжительности этой работы:
где
Полный резерв времени некоторой работы – это максимальное время, на которое можно отсрочить её начало или увеличить продолжительность, не изменяя директивного срока наступления завершающего события сетевого графика:
где Свободный резерв времени некоторой работы – максимальное время, на которое можно отсрочить её начало или увеличить её продолжительность при условии, что все события наступают в свои ранние сроки:
где В качестве примера, который потребуется и в дальнейшем, основные рассмотренные параметры сетевого графика рассчитаны для случая, представленного на рисунке 2.1 . Здесь, длительности работ, являющиеся исходными данными для расчёта, выбраны произвольным образом. Параметры работ обозначены соответствующими символами возле стрелок. Параметры событий отражены в трёх квадрантах соответствующих кружков. В левых квадрантах отражены значения ранних сроков свершения событий. В правых – значения поздних сроков свершения событий. В верхних – значения резервов времени событий. Как говорилось в предыдущем разделе, длительность критического пути легко найти из расчёта параметров сетевого графика. Теперь можно сказать, чему она равна, – она равна сроку свершения завершающего события сетевого графика и, соответственно, определяет длительность выполнения всех проектных работ. Последнее заключается в том, что проектные работы не могут завершиться в срок, меньший, чем длительность критического пути, и в тоже время, если все проектные работы выполняются вовремя, то срок их завершения равен длительности критического пути. 3 Обоснование рациональных методик поиска особых путей сетевых график овОбоснование рациональных методик поиска особых путей сетевого графика основано на смысле полного резерва времени работы, который показывает, на сколько можно отсрочить начало или увеличить продолжительность работы без изменения продолжительности всего проекта. Надо сказать, что этот смысл вытекает из правил расчёта сетевого графика и давно известен, поэтому сейчас он не требуется в специальном рассмотрении. Важно другое – из смысла полного резерва времени работы следует истинность следующего утверждения, на котором основаны некоторые, приводимые ниже доказательства, – полный резерв времени работы может появиться только за счёт существования другого более длительного пути, нежели путь, в состав которого входит рассматриваемая работа. Это утверждение становится очевидным, если подумать – за счёт чего, у некоторой работы, может появиться возможность отсрочить начало её выполнения или увеличить её продолжительность без изменения срока свершения завершающего события сетевого графика? Естественно, только за счёт того, что этот срок свершения определяется другим, более продолжительным путём. Начнём с доказательства методики поиска критического пути сетевого графика. Для этого рассмотрим ряд вспомогательных теорем. Теорема 3.1 – Для того, чтобы некоторый путь сетевого графика был бы критическим, необходимо и достаточно, чтобы полные резервы времени всех входящих в него работ были бы равны нулю. Необходимость – Если некоторый путь является критическим, то полные резервы времени всех входящих в него работ равны нулю. Докажем это утверждение методом от противного. Пусть известно, что некоторый рассматриваемый путь заведомо критический. Теперь предположим противное – на нём лежит хотя бы одна работа с ненулевым резервом времени. Это означает, что есть другой путь, с большей продолжительностью, чем рассматриваемый, за счёт чего и получается данный резерв времени. Но, раз имеется более продолжительный путь, то рассматриваемый путь уже не может быть критическим. Полученное противоречие доказывает невозможность существования на критическом пути работы с ненулевым полным резервом времени, так как в противном случае, он уже не будет являться критическим. Тогда, для любой работы критического пути остаётся другая возможная ситуация – её полный резерв времени равен нулю. Утверждение доказано. Поскольку любой сетевой график имеет критический путь, то есть путь с наибольшей продолжительностью, то, на основании только что доказанного, в любом сетевом графике можно найти путь, работы которого имеют только нулевые полные резервы времени. Достаточность – Если все работы некоторого пути имеют нулевые полные резервы времени, то этот путь обязательно является критическим. Если некоторый путь имеет работы только с нулевыми полными резервами времени, то это означает, что ни одну работу, указанного пути, нельзя увеличить по длительности без изменения срока свершения завершающего события сетевого графика. Это возможно, только когда сумма длительностей работ, рассматриваемого пути равна сроку свершения завершающего события, то есть длительности критического пути. Тогда, рассматриваемый путь и является критическим, в силу того, что он равен критическому пути по длительности. Утверждение доказано. Теорема 3.2 – Если в некоторое событие сетевого графика входит работа с нулевым полным резервом времени, то среди всех исходящих из данного события работ, обязательно найдётся хотя бы одна, имеющая также нулевой резерв времени. То есть, работы с нулевыми резервами времени следуют друг за другом непрерывно. Для доказательства данной теоремы рассмотрим обобщенный пример на рисунке 3.1 , где, в целях удобства, событиям присвоены условные номера. Докажем теорему методом от противного.
Пусть для работы, входящеё в событие 2, полный резерв времени Для начала найдём, чему равен поздний срок свершения события 2. Он, в соответствии с формулой (2.2), определяется как минимальное время позднего начала работы среди всех работ, исходящих из рассматриваемого события. Пусть поздний срок свершения события 2 равен позднему началу работы, входящей, например, в событие 4:
или, в соответствии с выражением (2.8) для полного резерва времени,
Теперь рассмотрим, какое может иметь значение полный резерв времени работы, исходящей из события 1 и входящей в событие 2. В соответствии с формулой (2.8):
Из формулы (3.2) видно, что минимально возможное значение полного резерва времени работы, исходящей из события 1 и входящей в событие 2, достигается тогда, когда величина
или, исходя из формулы (3.1):
Поскольку мы предположили от противного, что среди всех исходящих из события 2 работ нет работ с нулевым полным резервом времени, то отсюда сразу вытекает, что и работа, исходящая из события 1 и входящая в событие 2, также не может иметь нулевой полный резерв времени, уж если его минимальное значение заведомо неравно нулю, в соответствии с полученным равенством (3.3). Последнее противоречит условию теоремы. Из этого противоречия следует то, что невозможна ситуация, когда при нулевом резерве времени работы, входящей в событие 2, все исходящие из этого события работы имели бы ненулевые резервы времени. Если бы это имело место, то в соответствии с приведённым доказательством, работа, входящая в событие 2 также бы имела ненулевой полный резерв времени. Но ведь это не так по условию теоремы. Тогда для работ, исходящих из события 2 остаётся другая возможная ситуация – хотя бы одна из них имеет также нулевой полный резерв времени. Теорема доказана. Из доказанных выше теорем, непосредственно, следует методика поиска критического пути, приводимая ниже. Рациональная методика поиска критического пути сетевого графика: 1 Просмотр сетевого графика ведётся от его начального события к конечному; 2 При рассмотрении начального события сетевого графика, в качестве работы, лежащей на критическом пути, выбирается та, которая имеет нулевой полный резерв времени. В соответствии с теоремой 3.1 (утверждение-необходимость), такая работа обязательно будет существовать; 3 При рассмотрении работ, исходящих из события, к которому привила работа с нулевым полным резервом времени, выбирается работа, также имеющая нулевой полный резерв времени. В соответствии с теоремой 3.2, такая работа существует; 4 Если, среди исходящих из некоторого события работ, есть несколько работ с нулевыми полными резервами времени, то выбирается любая. При этом, согласно теореме 3.2, процесс построения критического пути в тупик зайти не может, и рано или поздно дойдет до завершающего события сетевого графика. Реализация указанных правил даёт путь, состоящий только из работ с нулевыми полными резервами времени. Тогда, на основании теоремы 3.1 (утверждение-достаточность), этот путь и будет являться критическим. В целях проверки, доказанная методика применена для сетевого графика, представленного на рисунке 2.1 . Здесь, найденные критические пути, выделены жирными стрелками. Как видно, таких путей два, благодаря тому, что среди работ, исходящих из события 0, есть две работы с нулевыми полными резервами времени. Проверить то, что найденные пути являются критическими легко, просуммировав длительности принадлежащих им работ. Суммы окажутся: во-первых, равными между собой, а во-вторых, наибольшими среди аналогичных сумм других возможных путей. Теперь рассмотрим вопрос поиска наикратчайшего пути сетевого графика. Оказывается, для его поиска можно применять, методику поиска критического пути, если использовать идею, высказываемую в следующей теореме. Теорема 3.3 – Если произвести расчёт параметров заданного сетевого графика по установленным правилам, но заменяя известные длительности работ на те же значения с отрицательным знаком (длительности всех работ будут меньше нуля), то наикратчайший путь сетевого графика станет подчиняться всем свойствам критического пути. Эту теорему легко доказать, используя правило сравнения отрицательных чисел. Данное правило заключается в том, что одно отрицательное число считается большим другого, если абсолютное значение первого меньше абсолютного значения второго. Поскольку длительность наикратчайшего пути, по абсолютному значению наименьшая, среди длительностей всех других путей сетевого графика, то, на основании указанного правила, отрицательная длительность наикратчайшего пути будет наибольшей среди отрицательных длительностей остальных путей. Тогда, наикратчайший путь, состоящий из работ с отрицательными длительностями, будет критическим, при условии, что все остальные пути, также состоят из работ с отрицательными длительностями. Теорема доказана. Для проверки доказанной теоремы, параметры сетевого графика на рисунке 2.1 пересчитаны заново, при отрицательных значениях длительностей работ, и представлены на рисунке 3.2 . Как видно, сетевой график на рисунке 3.2 содержит путь, работы которого имеют только нулевые полные резервы времени. Данный путь выделен жирными стрелками. Этот путь, являясь критическим для сетевого графика на рисунке 3.2 , в тоже время является наикратчайшим путем для сетевого графика на рисунке 2.1 . Последнее можно проверить простым суммированием длительностей его работ. Полученная сумма должна быть наименьшей по абсолютному значению, среди аналогичных сумм других путей сетевого графика на рисунке 2.1 . Вообще говоря, для нахождения продолжительности наикратчайшего пути, необходимой при анализе оптимальности сетевого графика по критерию (1.1), не обязательно суммировать длительности всех, принадлежащих ему работ. Она уже известна из рассчитанных, при отрицательных длительностях работ, параметров сетевого графика, и равна, как и для любого критического пути, сроку свершения завершающего события. Естественно, что данный срок свершения имеет отрицательное значение, и поэтому, для нахождения фактической длительности наикратчайшего пути, требуется менять это значение на противоположное.
Необходимо сказать, что можно поставить и решить общую задачу поиска пути заданной продолжительности. Но данная задача принципиальной важности, при анализе сетевого графика, не несёт. Для анализа оптимальности сетевого графика и осуществления его оптимизации, достаточно знать лишь, как проходят особые пути, и какова их продолжительность. Ответы на эти вопросы и дают рациональные методики поиска особых путей, доказанные в этом разделе. 4 Автоматизация анализа оптимальности сетевых графиков на ЭВМ4.1 Представление сетевого графика в машинной формеЛюбая ЭВМ нуждается в преобразовании различных абстрактных понятий, ясных для человека, в удобную для неё форму. Сетевой график, как графическое изображение упорядоченных кружков и стрелок само по себе для ЭВМ нечего не значить. Для того, чтобы ЭВМ могла понимать структуру сетевого графика и, главное, обрабатывать её, необходимо представить эту структуру в эквивалентной машинной форме. Наиболее удобный способ представления структуры сетевого графика в машинной форме, основан на понятии матрицы смежностей Матрица смежностей квадратная и имеет размерность Матрица смежностей будет верно отражать структуру сетевого графика, если сетевой график построен по всем, узаконенным стандартом правилам. Здесь, наиболее важны следующие: −
Событиям присваиваются номера с таким расчётом, что старший номер соответствует более позднему по времени событию. То есть, если рассмотреть некоторое событие и все входящие в него работы, то номер этого события должен быть больше номеров всех событий, из которых эти работы исходят. В этом случае первая строка и первый столбец матрицы смежностей соответствует начальному событию сетевого графика − Два события сетевого графика может соединять только одна работа. Если все же имеет место факт соединения двух событий несколькими работами, то, для выполнения указанного правила, необходимо ввести дополнительные события, разрывающие лишние работы и дополняющие их фиктивными работами с нулевой длительностью (см. пример на рис. 4.2 ). Дополнительные события также должны иметь свои уникальные, в сетевом графике, номера, присвоенные им в соответствии с первым правилом. Верно построенная матрица смежностей обладает радом полезных свойств: −
Если задаться некоторым номером события − Если задаться некоторым номером события − Если некоторое событие Любопытно заметить, что если последнее из перечисленных свойств не выполняется, то в сетевом графике есть петли, то есть, работы, концы которых являются началами других работ, предшествующих первым по времени, при условии, что все события занумерованы, верно. Из этого следует возможность легкой автоматизации на ЭВМ процесса проверки правильности построения сетевого графика. Данный процесс проверки, алгоритмически, представляется в виде блок-схемы 4.1 . Суть алгоритма проверки заключается в определении содержимого элементов нижней диагональной части матрицы смежностей. Если там встретится хотя бы одна единица, то это будет означать, что сетевой график построен неправильно – либо в нем есть петли, либо события занумерованы не верно.
Блок-схема 4.1 – Алгоритм тестирования матрицы смежностей 4.2 Автоматизация расчёта параметров сетевого графикаАнализ оптимальности сетевого графика возможно провести, только после расчёта всех, присущих ему параметров. Исходными данными для расчёта являются длительности всех, входящих в сетевой график работ. Результатами расчёта являются значения, описанных в разделе 2, параметров. И первое и второе, можно объединить в одной таблице исходных данных и результатов 4.1 . Данная таблица – есть двумерная матрица с пронумерованными строками и столбцами. Номера строк изменяются от 0 до Столбцы под номерами 0,1 и 2 определяют часть таблицы 4.1 , отведённую под хранение исходных данных, к которым относятся коды работ и длительности работ. Как видно, коды работ задаются ячейками двух столбцов под номерами 0 и 1. Здесь индекс Алгоритм заполнения таблицы 4.1 исходными данными представлен в виде блок-схемы 4.2 , где ячейки самой таблицы обозначены символом
Блок-схема 4.2 – Алгоритм заполнения исходными данными таблицы исходных данных и результатов
После заполнения таблицы 4.1 исходными данными для расчёта, идёт следующая стадия, – непосредственно, сам расчёт параметров сетевого графика. Данная стадия выполняется в три этапа. На первом этапе осуществляется расчёт сетевого графика в порядке – от начального события до завершающего, и определяются ранние сроки свершения событий, ранние начала и окончания работ. На втором этапе осуществляется расчёт сетевого графика в обратном порядке – от завершающего события до начального, и определяются поздние сроки свершения событий, поздние начала и окончания работ. На третьем этапе осуществляется расчёт резервов времени событий и работ, в произвольном порядке. Рассмотрим расчёт параметров сетевого графика на первом этапе. Ясно, что в общем случае, при попытке определить ранний срок свершения некоторого события, как максимальный из ранних окончаний всех работ, входящих в это событие, может быть неудача, так как к этому моменту не все ранние сроки окончаний работ могут быть известны. Тогда, встает задача найти такой порядок расчёта сетевого графика, при котором, переходя от события к событию, всегда удаётся находить их ранние сроки свершения. Оказывается, для всех сетевых графиков, с правильно занумерованными событиями этот порядок один и тот же, и основывается на следующей теореме. Теорема 4.1 – Если события сетевого графика занумерованы так, что любая его работа исходит из события с меньшим номером и входит в событие с большим номером, то расчёт ранних сроков свершения событий в порядке: 0-е событие, 1-е, 2-е, и так далее, до завершающего события, в тупик зайти не может, при условии, что рассчитывая ранний срок свершения очередного события, сразу же определяются ранние окончания всех, исходящих из него работ. Докажем эту теорему методом математической индукции. Зададимся нулевым сроком свершения 0-го события, и рассчитаем ранние окончания всех, исходящих из него работ. Далее. Рассмотрим 1-е событие. В него могут входить только работы, исходящие из событий с меньшими номерами – в данном случае только из 0-го события, при этом ранние окончания этих работ уже известны. Тогда можно рассчитать ранний срок свершения 1-го события. Рассчитав ранний срок свершения 1-го события, сразу же рассчитаем ранние окончания всех, исходящих из него работ. Далее. Рассмотрим 2-е событие. В него могут входить работы, только из 0-го и 1-го события, и ранние окончания которых уже известны. Тогда можем рассчитать ранний срок свершения 2-го события. Рассчитав ранний срок свершения 2-го события, сразу же рассчитаем ранние окончания всех, исходящих из него работ. Далее. Рассмотрим 3-е событие. В него могут входить работы, только из 0-го, 1-го и 2-го события, и ранние окончания которых уже известны. Тогда можем рассчитать ранний срок свершения 3-го события…. Продолжая данные рассуждения, по индукции, рано или поздно дойдём до завершающего события сетевого графика, ранний срок которого окажется возможным рассчитать, так как к этому времени, уже будут известны ранние окончания всех работ сетевого графика. Теорема доказана. Из данной теоремы, непосредственно, вырисовывается алгоритм расчёта параметров сетевого графика на первом этапе. Данный алгоритм представлен в виде блок-схемы 4.3 , и основан на том, что после выполнения алгоритма 4.2 , в таблице исходных данных и результатов Блок-схема 4.3 – Алгоритм расчета ранних сроков свершения событий сетевого графика
Рассмотрим расчёт параметров сетевого графика на втором этапе. В общем случае, при попытке определить поздний срок свершения некоторого события, как минимальный из поздних начал всех работ, исходящих из этого события, может быть неудача, так как к этому моменту не все поздние сроки начал работ могут быть известны. Тогда, встает задача найти такой порядок расчёта сетевого графика, при котором, переходя от события к событию, всегда удаётся находить их поздние сроки свершения. Оказывается, для всех сетевых графиков, с правильно занумерованными событиями этот порядок, опять, один и тот же, и основывается на следующей теореме. Теорема 4.2 – Если события сетевого графика занумерованы так, что любая его работа исходит из события с меньшим номером и входит в событие с большим номером, то расчёт поздних сроков свершения событий в порядке: последнее событие, предпоследние событие, предшествующее предпоследнему событию, и так далее, до начального (0-го) события, в тупик зайти не может, при условии, что рассчитывая поздний срок свершения очередного события, сразу же определяются поздние начала всех, входящих в него работ. Докажем эту теорему методом математической индукции. Зададимся поздним сроком свершения последнего события, равным его раннему сроку свершения, и рассчитаем поздние начала всех, входящих в него работ. Далее. Рассмотрим предпоследнее событие. Из него могут исходит только работы, входящие в события с большими номерами – в данном случае только в последнее событие, при этом поздние начала этих работ уже известны. Тогда можно рассчитать поздний срок свершения предпоследнего события. Рассчитав поздний срок свершения предпоследнего события, сразу же рассчитаем поздние начала всех, входящих в него работ. Далее. Рассмотрим событие, предшествующее предпоследнему. Из него могут исходить работы, только в предпоследнее и в последнее событие, и поздние начала которых уже известны. Тогда можем рассчитать поздний срок свершения события, предшествующего предпоследнему…. Продолжая данные рассуждения, по индукции, рано или поздно дойдём до начального события сетевого графика, поздний срок которого окажется возможным рассчитать, так как к этому времени, уже будут известны поздние начала всех работ сетевого графика. Теорема доказана. Из данной теоремы, непосредственно, следует алгоритм расчёта параметров сетевого графика на втором этапе. Данный алгоритм представлен в виде блок-схемы 4.4 , и основан на том, что после выполнения алгоритма 4.3 , в таблице исходных данных и результатов Блок-схема 4.4 – Алгоритм расчёта поздних сроков свершения событий сетевого графика
Если, сначала выполнить алгоритм расчёта ранних сроков свершения событий 4.3 , а затем алгоритм расчёта поздних сроков свершения 4.4 , то в таблице исходных данных и результатов останутся не заполненными только три последних столбца, с номерами: 11, 12 и 13. Данные столбцы, как видно из таблицы 4.1 , отведены под расчёт резервов времени сетевого графика. Расчёт резервов времени сетевого графика можно осуществить в любом порядке строк таблицы исходных данных и результатов, например, подряд – с 0-й строки по последнюю. Такой порядок расчёта представлен ниже, в виде блок-схемы 4.5 . Данный алгоритм является завершающим для процесса расчёта параметров сетевого графика, после выполнения которого, все ячейки таблицы исходных данных и результатов 4.1 , будут заполнены значениями соответствующих параметров.
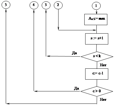
4.3 Автоматизация процесса поиска особых путей сетевого графикаКак уже известно, найти особые пути сетевого графика представляется возможным только, если будут рассчитаны полные резервы времени всех, входящих в него работ. Тогда, перед поиском особых путей, необходимо выполнять, описанные в предыдущем подразделе алгоритмы по расчёту параметров сетевого графика. Из раздела 3 ясно, что для поиска, и критического пути и наикратчайшего, возможно использовать одну и туже методику. Данная методика заключается в последовательном выборе, от 0-го события до завершающего, тех работ, которые имеют нулевые полные резервы времени. В случае, если параметры сетевого графика рассчитывались для положительных длительностей, входящих в него работ, то указанная методика даёт критический путь сетевого графика. Если же параметры рассчитывались при отрицательных длительностях работ, то методика даст наикратчайший путь сетевого графика. Алгоритм, реализующий методику поиска особого пути сетевого графика, представлен в виде блок-схемы 4.6 , и основан на том, что таблица исходных данных и результатов Имея в арсенале, все рассмотренные в данном разделе алгоритмы, любому программисту не составит труда объединить их в одну, общую программу анализа оптимальности сетевого графика по критерию оптимальности, подробно описанному в разделе 1. Проверка данного критерия, с целью выявления оптимальности сетевого графика, на столько проста в алгоритмической реализации, что специального рассмотрения не требует.
Заключение В данном курсовом проекте были предложены и обоснованы рациональные методики поиска особых путей сетевых графиков. Рациональность данных методик заключается в том, что они позволяют найти критический и наикротчайший пути сетевого графика без перебора всех возможных вариантов. Последнее, позволяет в короткие сроки осуществить решение двух основных задач сетевого планирования: задачу анализа оптимальности уже готового сетевого графика и задачу его оптимизации по длительности, в случае, если сетевой график оказывается не оптимальным. Кроме того, в курсовом проекте были рассмотрены вопросы автоматизации на ЭВМ рациональных методик поиска особых путей сетевого графика. В результате – разработаны блок схемы алгоритмов расчёта параметров сетевых графиков и поиска их особых путей, которые предполагается использовать при создании конкретной программы анализа оптимальности сетевых графиков на любом из известных языках программирования. Значимость проделанной работы заключается в том, что применение предложенных методик, во-первых – позволяет точно судить об оптимальности сетевых графиков любой сложности, а во-вторых – сокращает затраты на сетевое планирование в целом, прежде всего, за счёт сокращения длительности разработки оптимальных сетевых графиков. Список использованных источников Технико-экономическое обоснование дипломных проектов проектов: Учеб. Пособие для втузов / Л. А. Астреина, В. В. Балдесов, В. К. Беклешов и др.; Под ред. В. К. Беклешова. – М.: Высш. Шк., 1991. – 176 c.: ил. |
, 









Блок-схема
Блок-схема