Реферат: Философия космологии
|
Название: Философия космологии Раздел: Рефераты по философии Тип: реферат |
Закрытие открытия Станислав Кравченко Несомненно, в мировоззрении ведущих космологов происходят кардинальные изменения. Совершенно не случайно, как по заказу, появляется целая серия, в целом весьма тождественных по смысловому содержанию, статей. К примеру: Разгадывая величайшую в мире загадку (Мартин Рис) Физический вакуум и космическая анти-гравитация (A.Д. Чернин) Принцип Маха и энергия космического вакуума (В. Липунов) Космология и проблемы SETI (Н.С. Кардашев) Так или иначе, все они связаны с одним из самых важных “открытий” 1998 года - обнаружения “ускорения расширения Вселенной”. Несмотря на внешнюю необычность такого “открытия”, оно практически моментально было признано большинством космологов. Это связано, конечно, с высокой достоверностью наблюдательных результатов и не признать их было нельзя, а также с тем, что открытие не было полной неожиданностью, большинство понятий были уже разработаны. Экстраординарные заключения, которым уже три года, сводятся к тому, что расширение Вселенной фактически ускоряется. Среди авторов есть члены двух групп (the High-Z Supernova Search Team and the Supernova Cosmology Project) которые представили доказательства ускорения расширения (см. Physics Today, June 1998, page 17.) Обе группы открыли и измерили несколько десятков сверхновых умеренно высоким красным смещением (0.3 < z < 0.9), и обнаружили что сверхновые тусклее, чем было бы в случае замедляющегося расширения. Эти результаты были восприняты достаточно серьезно. Имеется в виду, что в динамике космоса сейчас доминирует некая "темная энергия", которая работает против обычных сил гравитации на больших расстояниях. Утверждения об “ускорении расширения” и породили процветающую индустрию теоретических спекуляций. Это заставляет повнимательнее присмотреться к самим результатам, а не только к рекламируемым астровзрывниками заключениям. Большинство из них сделало себе имя, научное и общественное положение на теории Большого Взрыва и было бы весьма странно, если бы трактовка результатов была бы иной. Классический метод определения космологических расстояний основан на святой вере в чисто доплеровский эффект красного смещения спектров излучения объектов Вселенной при условии линейной зависимости их скорости от расстояния (v=Hr, где H~ 50 – 100 км/с*Мпк). Собственно, сама идея Большого Взрыва и была самым первым и самым дилетантским ответом на открытие Хабблом в его наблюдениях 1927-1929 гг зависимости лучевых скоростей двух дюжин галактик от оцененного им расстояния. Из обратной экстраполяции векторов при условии конечности скорости света, на первый взгляд неумолимо, вырастал монстр Большого Взрыва и конечности Вселенной, как в пространстве, так и во времени. Через 70 лет после после первой космологической публикации Хаббла, в 1999 г., вопрос о природе локального (до 20 Мпк) хаббловского потока был вновь отчетливо поставлен в работе А. Сэндиджа (см. также его публикации 1972 и 1986 гг. К настоящему времени наблюдениям стали доступны галактики со скоростями разбегания в сотни тысяч км/сек, что соответствует расстояниям в тысячи Мпк. Это бесспорно космологические масштабы. На таких масштабах линейный закон расширения был “надежно и уверенно установлен” - в полном соответствии с теоретическими ожиданиями в духе изотропных фридмановских моделей. Эту “надежную и уверенную установку” и решили проверить американские исследователи. Для этого они решили использовать результаты наблюдений космологических, т.е. очень далеких, сверхновых типа Ia. Сверхновые делятся на несколько типов, и для наблюдений важны те, которые обладают свойством "стандартной свечи", т.е. имеют примерно одинаковую светимость в максимуме блеска. Тогда по наблюдениям блеска можно немедленно определить расстояние до галактики, в которой вспыхнула сверхновая. Сразу две независимых группы наблюдателей -Проект космологических сверхновых под руководством Перлмуттера (S. Perlmutter) и Команда по поиску сверхновых на больших красных смещениях - получили сходные результаты. Оценка расстояния по шаблонным кривым блеска типичных сверхновых типа Ia не совпадала с оценкой расстояния по красному смещению их спектра излучения и существенно превышала последние. Вот это и есть действительный ФАКТ. Все остальное – домыслы, основанные на той или иной интерпретации данного ФАКТА. Действительно, если, не смотря на все оговорки о возможном ослабления блеска “стандартных космологических свечей” другими, не связанными с изменением расстояний, причинами, к примеру, межгалактической пылью или за счет эффекта гравитационного линзирования, признать основным фактором именно расстояние, то неизбежен вывод, что доплеровское смещение спектральных их линий не соответствует стандартной изотропной модели. “Доплеровская скорость удаления” сверхновых оказалась ощутимо меньше расчетной по стандартной модели. По астровзрывной идеологии было возможно два основных варианта следствий: Признать модель расширения пространственно не изотропной. Тогда более удаленные объекты будут наделяться все меньшим приращением скорости, центром расширения Вселенной неизбежно окажется Земля, а Вселенная от нее, как материя от чумы разума, “убегает” с формированием в будущем тонкого “фронта удаления” материи. Надо совсем презирать науку, чтобы всерьез обсуждать этот сценарий, хотя он, кстати, вполне укладывается в космологию с гравитационным замедлением расширения. Признать модель расширения не изотропной во времени. Дело в конечной скорости распространения света. Соответственно, пространственное удаление космологического объекта всегда есть и удаление во времени. Поэтому, из вышеупомянутого ФАКТА можно сделать еще один вывод, что это не пространственная скоростная анизотропия, а временная. То есть, раньше постоянная Хаббла была существенно меньше, чем сейчас. Для этого пришлось извлечь из небытия джина антигравитации, благо соответствующих теоретических разработок предостаточно. По этому сценарию гравитационное замедление расширения рано или поздно должно быть преодолено антигравитационным ускорением. Вывод об ускорении расширения Вселенной основан на том, что сверхновые с красным смещением z больше 0.5 (но меньше 1) оказываются более далекими от нас, чем они должны быть в космологических моделях, где гравитация обычного вещества тормозит расширение. Вот эта версия и нашла широкое признание среди астровзрывников. Им кажется, что другого нет и быть не может. По этому поводу могу напомнить две старые мудрости: есть многое на свете, друг Горацио, чего не снилось нашим мудрецам. Извлечь джина трудно, еще труднее загнать его назад. Беда в том, что джины поедают своих освободителей. Это сделает с астровзрывниками и антигравитация. Присмотримся к их господствующим моделям. Согласно современным моделям Вселенной, ее возраст составляет 14±1 млрд. лет, считается, что Вселенная возникла из сверхплотного вещества. Наиболее совестливые теоретики доопределяют модель до Нашей Области Вселенной, или Нашей Вселенной, или Наблюдаемой Вселенной, что подразумевает возможность расширения понятия до не Наших, что не столь уж принципиально с философской точки зрения. Важно представление о Вселенной, как об объекте конечных размеров с конечной плотностью, пусть динамическом, пусть не единственном, но с другими не взаимодействующем по каким-то причинам, к примеру, по причине расстояний. Возникает наивный вопрос – почему он не схлопывается? Да, возможно создание теоретического сценария, в котором энергия Большого Взрыва столь велика, что инерция материи позволит достичь Области-Вселенной размеров, где эффект антигравитации вакуумоподобной среды станет ощутимо нейтрализовать гравитацию материи, а в дальнейшем и вообще станет доминирующем. Таков общий базис современных воззрений. Но, по этим же воззрениям Область-Вселенная окружена неизмеримо более обширной областью пустого пространства. Поэтому внешнее доминантное давление вакуумоподобной среды должно столь же неизмеримо превосходить внутреннее, к тому же нейтрализуемое в той или иной степени гравитацией. Почему Наша Вселенная не схлопывается? Пустопорожних ответов может быть несколько: Пространство Нашей Вселенной замкнуто. В силу этого нет внешней среды, нет внешнего давления. “Снаружи” другая физика. Поздравляем с этим астровзрывников. Вселенная достигла максимума размеров и все разговоры о дальнейшем расширении придется прекратить. За то придется начать обдумывать эффекты обратной волны. И потом, мы уже проходили земной рай с хрустальными сферами недвижных звезд. “Снаружи” та же материя не меньшей плотности, что автоматически снимает вопрос внешнего давления, но ставит неизмеримо больше неизмеримо более сложных вопросов, из которых самый простой – о возможности дальнейшего расширения. Более того, именно о расширении бесконечной Вселенной говорил Александр Александрович Фридман. Только в ней принципиально нет точки Большого взрыва. Любой из этих и массы подобных “ответов” неотвратимо разрушают любую из имеющихся теорий Большого Взрыва. Таким образом, подхваченная, но так и не понятая астровзрывниками теория вакуумоподобной среды ставит крест на идее Большого Взрыва. Но это не означает, что Эраст Борисович Глинер не прав, понятие лоренцинвариантной среды только начинает свое победное шествие. Поэтому есть смысл еще раз проанализировать ситуацию. Для начала вернемся к бывшей “священной овце” космологии – к постоянной Хаббла. Учтем наблюдательный ФАКТ высокой степени глобальной изотропности плотности материи в наблюдаемой части пространства, хотя большинство говорит об изотропности самого пространства и только. Из этого ФАКТА действительно должно неотвратимо следовать изотропность пространственного приращения скоростей. Но соответствует ли понятие постоянства приращения скорости понятию постоянной Хаббла. Да, только на первый взгляд, без учета СТО, исходя из принципа бесконечной предельной скорости и векторного правила сложения скоростей. Нет, если учитывать релятивистские эффекты сложения скоростей СТО. Чисто арифметически приращивать скорость с вполне допустимой в космологии 5% ошибкой можно лишь до четверти-трети скорости света. А дальше необходимо учитывать релятивистское правило: V=(v1 + v2)/(1 + v1v2/c2) В силу этого, если какая то сверхновая удаляется от нас со скоростью 200.000 км/с, а другая сверхновая будет уже относительно ее удаляться с той же скоростью, то есть будет вдвое дальше относительно нас, то эта, вторая сверхновая, будет удаляться относительно нас не со скоростью 400.000 км/с, а со скоростью всего лишь 276923 км/с. Между тем некоторые, уж слишком умные, астровзывники настаивают именно на большей цифре (см. http://www.pereplet.ru/: На некоторых стадиях расширения Вселенной две галактики могут удаляться друг от друга со скоростью, превышающей световую). Дело их совести и профессиональной пригодности. С учетом релятивистских эффектов условие постоянства пространственного прироста скоростей приводит не к линейной зависимости наблюдаемой скорости от расстояния, а к гиперболической, по правилу гиперболического тангенса. Поэтому сам Хаббл был, безусловно, прав в своем открытии. Поэтому же “открытие ускорения расширения Вселенной” за 1998 год стоит без шума “закрыть”. Они не правы. Формула расчета расстояний: r = (с/H)Arth vr/c, где r – расстояние; H – постоянная Хаббла; vr – расчетная скорость по красному смещению; c – скорость света. Однако, это, на первый взгляд, всего лишь возвращает Большой Взрыв к первоначальным изотропным моделям, но не дискредитирует идею, как таковую. Не будем спешить с выводами, продолжим. Вернемся к ФАКТУ изотропности плотности материи в наблюдаемой части пространства. Между тем, это не только пространственная изотропность. В силу конечности скорости света это еще и изотропность во времени. Из существующей на настоящий момент трактовке результатов неотвратимо следует, что наблюдаемая на расстоянии 10 – 15 миллиардов световых лет, то есть 10 – 15 миллиардов лет назад, плотность материи и местная наблюдаемая плотность, то есть наблюдаемая сейчас, равны. Возникает недоуменный вопрос, а где же оно, расширение, падение плотности? Из ФАКТА наблюдаемой глобальной изотропности материи следует, что понятие Большого Взрыва пустое. Однако, необходим удовлетворительный ответ, по ФАКТУ открытия Хаббла, по красному смещению. Он давно дан, но повторюсь. Будем исходить из, все той же, изотропности плотности материи, отсутствия существенной ее анизотропии во времени. Из этого неизбежно следует вывод, что каких то существенных ее перемещений, даже за весьма внушительные промежутки времени, не происходит, то есть относительные скорости материальных объектов пренебрежимо малы по сравнению со скоростью света и расстояния между ними почти неизменны. Но, в отличие от астровзрывников, уважительно отнесемся Альберту Эйнштейну и Теории Относительности. Учтем, что пространством, по крайней мере, Специальной Теории Относительности будет не евклидовым, а пространством Эйнштейна или, в двумерном сечении, плоскостью Минковского. Неизменность в среднем расстояний между массами, в таком случае, предопределит, что мировые линии тел отсчета совпадут с эквидистантами (См. Рис.1.).
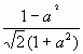
Рис.1. Мировые линии тел отсчета и пробного в физическом пространстве, заполненного веществом с критической плотностью. Модель Пуанкаре в единичном круге. Итак, неизменное взаимное пространственное положение физических тел, но в псевдоевклидовом пространстве обязывает их мировые линии в пространстве событий быть эквидистантными. А эквидистантность мировых линий обязывает появление относительного красного смещения в их спектрах. Это – геометрическая суть вопроса. Физически красное смещение является показателем основного физического процесса Вселенной. Это процесс кругооборота энергии между разными фазами вакуумоподобной среды. Без вырвавшегося на свободу джина уже не обойтись. Вакуум затрачивает часть своей энергии на рождение вещества. Вещество часть своей энергии превращает в излучение. Излучение часть своей энергии возвращает вакууму. Скорость основного физического процесса (его средневесовая температура) и определяет средневесовую температуру фона излучения, который можно назвать “реликтовым”. Красное смещение излучения пробных тел: 5.2. = 5.3. = Подробнее см. http://www.new-idea.narod.ru/. Но, что это я все вокруг да около и не слова не сказал по основной теме работы – по философии космологии. Слово скажу, даже два: ЧУДЕС НЕТ. Все остальное – следствия. Это основополагающий философский постулат применим в первую очередь к космологии. Из него автоматически следуют фундаментальные законы сохранения. Из них автоматически следует равенство нулю суммарных зарядов Вселенной. Из них автоматически следует равенство нулю суммарной энергии Вселенной. Последнее, памятуя о знаменитой формуле (E=-mc2), эквивалентно утверждению о равенстве нулю суммарной массы Вселенной. И без глубочайших идей Эраста Борисовича Глинера уже не обойтись, джин назад не вернется. Следствия автоматически запрещают всякие первотолчки, первоимпульсы, первовзрывы. Из следствий необходимо вытекает бесконечная в пространстве-времени и изотропная Вселенная. Но это вопрос отдельного большого разговора |
