Реферат: Прикладные схемы определения метрологических характеристик ядерно-геофизических методов исследования скважин
|
Название: Прикладные схемы определения метрологических характеристик ядерно-геофизических методов исследования скважин Раздел: Рефераты по географии Тип: реферат | ||||||||||||||||||||||||||||||||||||||||||||||||||||||
. Красноперов Владимир Анатольевич, доктор геол.-мин. наук, профессор, академик РАЕН, Кульдеев Ержан Итеменович, инженер, Университет Сулеймана Демиреля, г. Алматы, Казахстан С позиций метрологии опробование - процесс получения информации о составе и свойствах вещества, управляемый вероятностными и систематическими законами. Каждый метод опробования реализуется в два этапа: на первом создают благоприятные условия измерений, по возможности исключают источники снижения качества; на втором - проводят окончательное измерение, т.е. устанавливают числовую характеристику аналитического свойства. Из отмеченных обстоятельств вытекают важные следствия: а) количественный анализ - процесс измерительный; б) для него характерны своеобразные и сложные способы устранения факторов, снижающих достоверность результатов; в) при измерениях в естественном залегании (in situ) и неразрушающих испытаниях образцов процесс измерений дополнительно осложняется тем, что среда (образец) не может быть подвергнута дополнительной обработке с целью уменьшения влияния неоднородности состава; г) в различных методах опробования содержания в пробах малых объемов по "аналогии" распространяются на большие объемы, не всегда достаточно обоснованно; д) при использовании физических методов важной особенностью процесса анализа является необходимость градуировки: установления зависимости между содержанием элемента и числовой характеристикой аналитического свойства, что служит специфическим источником погрешностей. Все отмеченное делает правомерным метрологический подход к проблеме с определением таких характеристик, как избирательность, чувствительность, пределы обнаружения и определения, сходимость и воспроизводимость, представительность, правильность и точность [3,6,7,14,15,32,33]. Понятие избирательности (однозначности, специфичности) характеризует способность метода - выделить измеряемое аналитическое свойство элемента на фоне аналогичного от мешающих элементов. В ЯГФМ опробования однозначность определяется специфичностью свойств измеряемого параметра (определенного элемента), заложенной в физическом процессе для определения аналитической характеристики, связанной с измеряемым параметром. В общем случае подход заключается в оптимизации различных параметров инструментального метода для снижения влияния помех. Избирательность повышается применением более подходящего источника ядерных излучений, селективного анализатора, эффективного датчика и т.д. Чувствительность, пределы обнаружения и определения. В ЯГФМ мерой количества определяемого элемента служит величина физического эффекта в показаниях измерительного прибора. Регистрируемый сигнал пропорционален количеству определяемого элемента. Поскольку все измерения выполняются при наличии фона, то мерой количества является разность двух сигналов. Чувствительность - определяет способность метода измерений обнаружить с заданной надежностью или вероятностью разницу между очень малыми количествами вещества [28,30]. Существует также понятие - "разрешение метода измерений", т.е. способность с заданной надежностью или вероятностью различать близкие значения измеряемой величины в рабочем диапазоне измерений. Эти понятия специальным ГОСТ-ом не предусматриваются [7]. В проекте рекомендаций [34] понятия чувствительности и разрешения метода также отсутствуют. Даются лишь определения чувствительности и порога чувствительности для измерительного прибора. Понятия точности измерений [7] и чувствительности в рабочем диапазоне измерений практически имеют одинаковый смысл. В области малых значений концентраций введены понятия пределов обнаружения и определения [7] ,имеющие тот же смысл, что и порог чувствительности метода [20, 24, 29, 30]. Предел обнаружения характеризует способность метода обнаружить минимальное количество полезной информации (химического элемента) с надежностью, не превышающей заданную. Это практически предел, к которому нужно стремиться при разработке методики измерений. Он зависит лишь от соотношения между полезным эффектом и фоном. Предел определения характеризует способность метода определить минимальное количество полезной информации (химического элемента) с заданной надежностью и зависит от суммарной погрешности измерений в области малых содержаний:
где Р - предел определения; K - коэффициент надежности; M -величина полезного сигнала на единицу содержания; s å и s i - погрешности измерений. Для ЯГФМ наиболее оптимален случай, когда сумма аппаратурных, физических и технических погрешностей близка к статистической ошибке измерения фона и распределение информации при достаточно большом количестве измеряемых актов подчиняется нормальному закону:
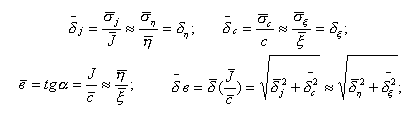
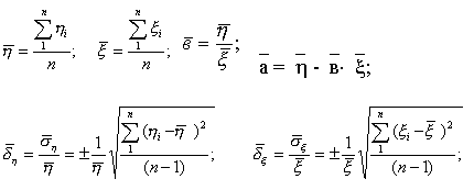
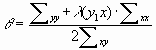
где Ja и Jф - интенсивности полезного сигнала на единицу содержания и фона; h =Ja/Jф контрастность; t-время измерения. Окончательно величина Р оценивается по сходимости результатов ЯГФМ в области забалансовых содержаний (< 0,3 бортового для за балансовых руд) на длину единичной геологической пробы – L (1-2 м) для t =L /V, где V - скорость каротажа. В радиохимии, активационном анализе используются следующие характеристики: критический уровень сигнала, на котором могут основываться решения; нижний предел детектирования, чувствительность детектирования, минимальная определяемая активность (или масса), предел гарантии чистоты [30]. К этому нужно добавить критерии, в которых предел обнаружения принят эквивалентным фону или превышает фон на заданную величину. В работе [30] проведена оценка различных критериев обнаружения, показано, что полученные значения составляют 1-20 стандартных отклонений фона. В ядерной геофизике порог чувствительности обычно оценивают лишь с учетом статистической ошибки [5, 31]. Поэтому определенный интерес представляет разработка способов оценки порога чувствительности, как предела определения, при конкретном использовании измерений с учетом главных действующих факторов. В соответствии с [7] качество измерений характеризуется сходимостью и воспроизводимостью. Сходимость измерений - качество, отражающее близость друг к другу результатов измерений, выполняемых в одинаковых условиях. Воспроизводимость измерений - качество, отражающее близость друг к другу результатов измерений, выполняемых в различных условиях (в разное время, в различных местах, различными методами и средствами). Следует отметить, что для рентгеновских и гамма-гамма методов, обладающих малой глубинностью, расхождения при повторных измерениях лучше характеризовать понятием воспроизводимость, т.к. информация поступает с различных частей поверхности скважины (выносной блок датчика описывает различные образующие), что при неравномерном распределении оруденения вносит весьма существенную дополнительную погрешность за счет при родной дисперсии содержаний. В то же время повторение результатов в условиях скважин для методов с большей глубинностью (активационных, нейтронных и гамма-радиационных), характеризуется понятием сходимости, т.к. информация поступает практически равномерно из окружающего объема породы, а глубинность исследований соизмерима с диаметром скважин. Поэтому при выполнении контрольных измерений в скважинах с неравномерным оруднением малоглубинными методами при оценке сходимости необходимо учитывать дисперсию содержаний по данным половин кернов. При этом дополнительным способом контроля служат измерения на специальных эталонах до и после записи диаграммы каротажа. В опробовании понятие представительность имеет ряд толкований, сводящихся к тому, на какой геологический объем распространяется информация от пробы [33]. Для геофизического опробования существует понятие глубинности метода, за которую принимается толщина насыщенного по мощности слоя исследуемой среда, дающая 90% полезной информации [31]. Понятие глубинности отвечает представительности пробы лишь в первом толковании, когда проба представляет собственную область замера. Для ЯГФМ глубинность изменяется от долей мм до десятков см. В соответствии с [7] правильность результатов измерений (данных опробования) определяется как качество, отражающее близость к нулю систематических погрешностей в их результатах. Оценка величины систематических расхождений проводится по сопоставлению средних значений подсчетных параметров: содержаний, мощностей и линейных запасов по ЯГФМ и геологическому опробованию. В сопоставлениях не должны участвовать данные геологического опробования, использованные ранее для получения рабочей эталонной зависимости (пересчетного коэффициента) для перевода показаний ЯГФМ в значения определяемого признака. Оценка правильности результатов наиболее важна для относительных измерений, к которым относятся ЯГФМ. Специфичность оценки правильности результатов при опробовании в естественном залегании, в том числе и ЯГФМ, заключается в отсутствии "абсолютных" эталонов для сравнения. Принято считать, что результаты по пробам большого объема (валовым) обладают большей надежностью, чем результаты оперативных рядовых методик опробования бороздой, затиркой, горстью, с помощью извлечения керна, шлама и т.п. ЯГФМ по объемной представительности (глубинности) принадлежат к группе рядовых, оперативных. Практика показывает, что на большинстве геологических объектов, разведуемых бурением, исполнители-геофизики имеют возможность сравнивать свои результаты с данными рядового опробования керна, отвечающими определенным инструктивным требованиям к качеству исполнения (весовой выход керна не менее допустимого, обычно 70%; точность химического анализа в соответствии с допусками [18]. Причем рядовое опробование зачастую обладает систематическими расхождениями за счет избирательных потерь материала геологических проб. В заключительную стадию разведки результаты оперативных методов опробования, в т.ч. ЯГФМ, имеющих эталоном рядовое геологическое опробование, могут быть "заверены" данными по пробам большого объема (вал, опытная отработка), если это предусмотрено проектом на разведку с целью повышения строгости оценки правильности результатов. Месторождения с весьма неравномерным распределением полезного компонента (золото, ртуть, вольфрам и т.д.) требуют специальных исследований для обоснования надежности опробования рядовыми геологическими методами. Полученные выводы распространяются и на ЯГФМ [13, 14, 15] . В соответствии с [7] понятие точность измерений трактуется как качество, отражающее близость результатов к истинному значению измеряемой величины. Причем понятие истинного значения принимается как идеальное. В реальных условиях действует понятие действительного значения измеряемой величины, т.е. найденного экспериментальным путем и настолько приближающегося к истинному значению, что может быть использовано вместо последнего. Точность является основной метрологической характеристикой метода измерений (методики опробования). Высокая (достаточная) точность соответствует малым погрешностям всех видов, как систематических, так и случайных. Поэтому за главный критерий при оценке точности ЯГФМ следует принять то, что их результаты на длину единичной пробы (по пределу определения, сходимости и правильности) должны быть не хуже оперативных геологических методов с близкой геометрией проб. Относительно предела определения ЯГФМ отметим следующее: предел должен обеспечить надежное (К=2, V=0,95) выделение забалансовых содержаний в единичной пробе. ЯГФМ каротажа обладают физической однозначностью и во многих случаях решают задачу количественной оценки признака. По своей метрологической сущности они являются относительными и требуют специальных мер по градуировке, которая выполняется статистическим сравнением с кондиционным керном, с данными опробования околоствольного пространства скважин в горных выработках и с искусственными и естественными моделями - эталонами. Зависимости между геофизическим параметром и определяемым признаком, в частности содержанием, можно рассматривать как функциональные с "шумами". Сравниваемые величины по своей природе не случайны, но измерены с некоторыми случайными и систематическими ошибками. Систематические ошибки в сравниваемых выборках должны быть учтены, а уровень случайных - сведен к разумному минимуму. Соответственно коэффициенты корреляции и корреляционные отношения должны быть близки к единице (не хуже 0,8). Лишь в этом случае градировочные зависимости могут служить для количественных определений. В каротаже практически используются одно- и двухкомпонентные зависимости. Первые - полностью или по частям аппроксимируются набором линейных функций или полиномами до 3-го порядка, вторые - решаются чаще номографически, а также с помощью эмпирических уравнений. Для оценки надежности однокомпонентной градировочной зависимости по среднему колебанию линии регрессии используется линейная связь. В общем содержание (С) и геофизический параметр (J) не случайны, но измерены с некоторыми случайным ошибками (систематические незначимы); x =С± s с; h = J± s J. Выборочные значения случайных величин с математическими ожиданиями М(s J)=М (s с)=0. Связь между h и x можно представить в виде:
она обусловлена определенной функциональной зависимостью между неслучайными "структурными" компонентами J и С: J=а+в× с. Запишем приближенные равенства через относительные погрешности:
т.к J И С измеряются независимо; Преобразуем связь между h и x :
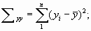
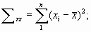
Полученное выражение позволяет с достаточной точностью оценить средние колебания линии регрессии при линейной аппроксимации градировочной зависимости [1]. Значения величин, входящих в (1.3) определяются из известных соотношений:
При опробовании в естественном залегании вопрос правильности результатов имеет принципиальное значение (естественная боязнь систематических отклонений в подсчете запасов). Идеальных способов контроля правильности опробования практически не существует, т.к. при опробовании постоянно действует фактор неполноты информации из-за отсутствия "абсолютно правильных" эталонов, а процесс пробоотбора контролируется не полностью. Существует чисто эмпирическая иерархия "здравого смысла" в правильности результатов по пробам различной величины (валовые и групповые пробы считаются более правильными и представительными). Ведомственные руководства лимитируют лишь величину случайных и систематических погрешностей при аналитических исследованиях проб, а остальные операции, дающие как правило большие отклонения, лишь регламентируются технологически. Для ЯФГМ с их относительной градуировкой оценка правильности результатов проводится в два этапа: на первом выявляются систематические расхождения с рядовым геологическим методом керн-каротаж, борозда - геофизический замер по представительным классам (не менее 20 единичных сравнений в каждом); на втором - в сравнении с данными "заверочного" опробования большеобъемными контрольными пробами, если специфика объекта по природной дисперсии в рядовых геологических и геофизических пробах не дает основания считать правильными данные рядового опробования. Субъективизм такого подхода очевиден, т.к. само опробование, точнее его математическая модель предусматривает решение некорректной задачи: определение характеристики целого по его частям, без знания законов изменения признака в объеме исследований. Отсюда структурно-системный подход и относительность оценок. Для ЯГФМ в зависимости от задач и структурного уровня исследования объекта базой для оценки правильности служат результаты геологических методов, обладающие погрешностями, определенными не всегда корректно из-за неповторимости вещественных проб ввиду повышенной природной дисперсии содержаний в смежных элементарных объемах (особенно для ртути, вольфрама, золота). Из различных способов проверки правильности измерений в практике опробования получили распространение способы выявления систематических ошибок по сопоставлению результатов основного и контрольного методов. При этом полагают, что полученные контрольные результаты (геологическое опробование) не имеют систематических ошибок [2, 4, 8, 9, 10, 11, 12, 19, 20, 23, 25]. Сопоставления выполняются по группам (классам), на которые разбивается весь диапазон оцениваемых содержаний. В каждом классе результаты характеризуются близостью значений содержаний и сходимостью измерений. Систематические ошибки устанавливают, проверяя статистическую значимость различия между средними результатами по основным и контрольным измерениям в каждом классе [12]. Схема следующая:
Надежность полученного расхождения между средними оценивают по статистике:
где путем сравнения V с табличным VT для соответствующих величин n и Таблица 1. Значения VT статистики при доверительной вероятности 95%.
При V < VT, считается, что разность в – случайна, т.е. при данном уровне случайных ошибок, значения систематических незначимы. В случае V > VT анализируют выборку на наличие членов (хі-уі) > ` в и исключают из рассмотрения “промахи” по статистике:
и оценкой x по таблицам для доверительной вероятности 95% в зависимости от n [22]. При n =20 , x £ 62,62. Оперативная оценка наличия "системы" в парных наблюдениях проводится графически в координатах (x, y). В геолого-геофизической практике получил распространение метод выявления систематических ошибок, состоящий в определении уравнения линейной регрессии y на x ( x -основные геофизические, y - контрольные геологические измерения) и в оценке существенного отличия коэффициента регрессии и свободного члена от единицы и нуля соответственно [12, 17, 20, 21]. Однако, как показано в [26] уравнение регрессии в общем случае не описывает зависимости между точными результатами измерений, и, следовательно, не может быть использовано для корректного выявления систематических ошибок. Действительно, сравнивая два ряда измерений: основной (Xi) и контрольный (Уi), выполненные без случайных ошибок можно записать: Уi=a у/х× Xi +b (1.7) Это уравнение определяет функциональное соотношение между точными результатами измерений и условием отсутствия систематических ошибок является выполнение равенств: a = 1, b = 0 (1.8) В случае опробования оба ряда отягощены случайными погрешностями, как основной, так и контрольный. Причем считается, что последний не имеет систематических ошибок. Задача состоит в том, чтобы определить величину и значимость систематических расхождений при заданном уровне случайных ошибок в каждом сравниваемом ряде измерений. В этом случае связь между xi и уi может быть представлена линейным уравнением регрессии: уi = a у/х× xi + ву/х (1.9) При этом, если s 2 (x ), s 2( e (Х)), s 2( e (У)) - дисперсии истинных содержаний и ошибок измерений соответственно, то дисперсии результатов измерений, коэффициенты регрессии и корреляции будут равны [27]: s 2 (х)= s 2 (x )+s 2( e (Х)), s 2 (у)= s 2 (x )+s 2( e (У)),
Откуда получим:
Из (1.11) следует, что если результаты основного метода содержат случайные ошибки измерения, то ау/х £ a у/х=1, аналогично b у/х=0, ву/х¹ 0 т.е. при отсутствии систематических ошибок в результатах основного метода коэффициенты уравнения регрессии могут отличаться от 1 и 0. Лишь в случае, когда диапазон изменения истинных содержаний достаточно широк, а ошибки измерений незначительны, различие между (1.9) и (1.7) может быть практически незначительным (К(х)< < 1). В общем случае, для определения коэффициентов (1.9) применяются методы конфлюэнтного анализа [16, 27, 35], позволяющие анализировать априори постулируемые функциональные связи между переменными, в условиях, когда наблюдаются не сами переменные, а случайные величины. Наиболее полно разработаны способы оценки линейного соотношения, из которых интересен для оценки систематических ошибок способ нахождения коэффициентов a и b при наличии дополнительной (по отношению к двум сопоставляемым рядам) информации о характеристиках ошибок измерений [35]. Для этого по экспериментальным данным получают оценки 1. Имеется n пар измерений (xi /yi) для n проб с истинными (но неизвестными нам) содержаниями искомого элемента x i. 2. Ошибки измерений распределены нормально, так что результаты измерений xi и yi могут рассматриваться как выборочные значения из нормальных совокупностей со средними значениями Xi и Yi соответственно. 3. Дисперсии ошибок основных и контрольных измерений одинаково зависят от измеряемой величины или постоянны. 4. Имеется дополнительная информация: известно отношение дисперсий ошибок сопоставляемых методов:
либо одно из значений в 2. Исходные статистики определяются по формулам:
Оценки
Если известна величина
Если известна величина
где Получаемые оценки В соответствии с характером обсуждаемых в настоящей работе задач и практического опыта применения ЯГФМ на месторождениях Южного Казахстана метрологические требования сводятся к следующему: 1. Фторометрия высоких содержаний, определение подсчетных параметров (содержания и мощности) при разведке флюоритов. В соответствии с требованиями кондиций пласт минимальной промышленной мощности с содержанием для оконтуривания забалансовых руд должен надежно фиксироваться по мощности и содержанию (10% СаF2 на 2 м. интервал). Сходимость результатов повторного и контрольного cпектрометрического нейтронного активационного каротажа ( СНАК ) по содержаниям в промышленных классах по величине среднеквадратической ошибки должна быть меньше среднеквадратических расхождений по половинам керна в промышленных по мощности пересечениях. Правильность СНАК оценивается по массовому сравнению с данными керна, имеющего повышенный выход (в соответствии с геологическим проектом). 2. Фторометрия малых (0,2-3,3% F2 ) и близких к кларковым (0,05-0,2% F2) содержаний (фосфориты, апатиты и геохимические первичные ореолы на месторождениях). Для фосфоритов и апатитов схема подхода остается как в пункте 1, соответственно содержания фтора 1,0% и 0,28% при мощностях 3 и 10 м. т.е. при близких линейных запасах (3 и 2,8 м*%). Для непрерывных и точечных измерений главным требованием становится предел определения (не хуже 0,1% F2). 3. Определение технологических компонент руд горно-химического сырья. Для флюоритов - это CaCO3 и SiО2 , для фосфоритов –это SiО2 в каждой пробе и Al2O3, СaО, CО2, MgO в подсечении или блоке. Сходимость результатов ЯГФМ по классам содержаний на длину указанных интервалов должна быть не хуже данных по сравнению этих параметров по половинам керна. Систематические погрешности оцениваются и при необходимости учитываются сравнением с результатами кернового химического опробования по опорным скважинам, имеющим кондиционный выход керна. 4. Для фторсодержащих сред с полиметаллическим, баритовым и редкометальным орудеяением требования к ЯГФМ можно конкретизировать следующим образом. В поисковых скважинах интерес представляют визуально отмечаемые в керне включения рудных минералов: вольфрамита, шеелита, галенита, сфалерита и барита. В этих случаях минимальные содержания вольфрама, свинца, цинка не превышают одну десятую и первые десятые доли процента, а барита первые проценты на длину керновой пробы (0,5; 1,0; 2,0 м). РРК должен обладать пределом определения не хуже 0,1% W03, Pb; 0,2% Zn. и 2,0 BaSO4 с надежностью 95% на единичный интервал опробования. Для разведочных скважин РРК должен надежно выделять и количественно оценивать содержания рудных компонентов, начиная с забалансовых в единичных интервалах; для вольфрама - 0,17% W03 на мощность 6 м, для полиметаллов - 0,35% Рb и 0,60% Zn. на мощность 3 м, для баритов - 10% на 3 м. 5. При расчленении карбонатно-терригенно-глинистых резрезов по петрогенным составляющим – SiO2, Al2O3, СaCО3 и (Ca,Mg) (CО3)2 должны быть найдены бескерновые способы однозначной оценки с пределами определения не выше 0,4% Al2O3, l% SiO2 и первые проценты для кальцита и доломита с обеспечением градаций расчленения по Al2O3, через 0,5-1%, а для других через 5%. 6. При расчленении пород разреза: по эффективному атомному номеру разрешение метода должно быть не выше 0,2 ед. в диапазоне 9,2-18 ед.; по плотности надтепловых нейтронов (общее водородосодержания) в относительных условных единицах разрешение метода должно быть не выше 0,2 усл.ед.; по содержанию урана, тория и калия основное внимание должно быть акцентировано на измерении малых активностей с пределами определения на интервал 5м не выше 0,2-0,3% калия и 1.10(-6)% урана и тория. Список литературы 1. Айвазян С.А. Статистическое исследование зависимостей. М.: Металлургия, 1968.- 227 с. 2. Алексеев Р.И., Коровин Ю.И. Руководство по вычислению и обработке результатов количественного анализа,- М.: Атомиздат, 1972,- 72 с. 3. Блюменцев A.M., Краснопёров В.А., Ратников В.М. О терминологии ядерно-геофизических методов рудного каротажа и опробования, - Сб.: Ядерно-геофизические методы при поисках и разведке рудных месторождений, - М., ВНИИЯГГ, 1980, с.196-199. 4. Ван Дер Варден Б.Л. Математическая статистика,- М.: ИЛ, 1960,-434 с. 5. Голъданский В.И., Куценко А.В., Подгорецкий М.И. Статистика отсчетов при регистрации ядерных частиц.- Физматгиз,1959,-412 с. 6. ГОСТ 16263-70. Государственная система обеспечения единства измерений. Метрология. Термины и определения. - М.,1982.-54 с. ГОСТ 14263-69. Государственная система обеспечения единства измерений. Общие требования к стандартным образцам веществ и материалов. - М., 1970.- 8 с. Гутер Р.С., Овчинский Б.В. Элементы численного анализа и математической обработки результатов опыта,- Физматгиз, 1970,-432 с. Давис М. Геостатистические методы при оценке запасов руд, -Пер. с англ,- М.: Недра, 1980,- 360 с. Зайдель А.П. Ошибки измерений физических величин,- Наука, 1974.- 108 с. Инструкция по гамма каротажу при поисках и разведке урановых месторождений,- М.: Госгеолтехиздат, 1963,- 103 с. Инструкция по гамма-каротажу при поисках и разведке урановых месторождений,- М.: Недра, 1974.- 108 с. Какдан А.Б. Разведка месторождений полезных ископаемых. -М.: Недра, 1977,- 327 с. Краснопёров В.А. Об основных определениях опробования и метрологических характеристиках в приложении к ядерно-физическим методам каротажа:/Тез.УI конф.: Математические методы при прямых поисках месторождений полезных ископаемых .-Новосибирск: ВЦ СО АН СССР, 1979, с.83-85. Краснопёров В.А. К вопросу оценки достоверности результатов ядерногеофизических методов опробования разрезов скважин на твердые полезные ископаемые. - Изв. АН KaзCCP. Сер.геол., 1982, № 2, с.80.- Полностью статья депонирована в КазНИИНТИ, №322-82 Деп.- 12 с. Маслов И.А. Лукницкий В.А. Справочник по нейтронному активационному анализу.- Л.:Наука, 1971,- 312 с. Методические рекомендации МУ 41-06-027-83. Оценка достоверности опробования на месторождениях твердых полезных ископаемых. - М.: Мингео СССР, НПО "Нефтегеофизика", ВНИИЯГГ, 1983,-34 с. Методы лабораторного контроля качества аналитических работ: Методические указания. -М. :Мингео СССР, ВИМС, 1975, вып.9,- 40 с. Митропольский А.К. Техника статистических вычислений. - М.: Наука, 1971,- 576 с. Новиков Г.Ф.,Капков Ю.Н. Радиоактивные методы разведки. -М.: Недра, 1965.-650 с. Налимов В.В. Применение математической статистики при анализе вещества.- М.: Физматгиз, I960,- 431 с. Оуэн Д.Б. Сборник статистических таблиц. - М., Вычислительный Центр АН СССР, 1966.- 586 с. Первичная статистическая обработка аналитических данных (методические указания № 13): М., ВИМС, 1977,- 50 с. Рабинович С.Г. Погрешности измерений, - Л.: Энергия, 1978,-262 с. Романовский В.И. Математическая статистика, - М.-Л.: ГОНТИ, 1938,- 528 с. Рощин Ю.В. Об использовании уравнения регрессии с целью выявления систематических ошибок при сопоставлении рядов основных и контрольных измерений.- Сб.: Вопросы рудной радиометрии, вып. 2.-М.: Атомиздат, 1968, с.108-120, Рощин Ю.В. Способы конфлюэнтного анализа и выявление систематических ошибок по сопоставлению рядов измерений. Там же. с.120-132. Таблицы физических величин. Справочник./Под ред.акад. И.К.Кикоина.- Л.: Атомиздат, 1976.-1008 с. Ферсман А.Е. Геохимия. Избр.тр.Изд.АН СССР; т.П, 1953,- 768 с.; т.Ш, 1955.- 799 с.; т.II, 1958,- 588 с. Физические методы анализа следов элементов.Пер. с англ. /Под ред.И.П.Алимарина,- М.:Мир,1967.-416 с. Филиппов Е.М. Прикладная ядерная геофизика.- АН СССР, 1962.- 580 с. Четвериков Я.И. Теоретические основы моделирования тел твердых полезных ископаемых,- Воронеж,ВГУ,1968,- 158 с. Четвериков Я.И. Теоретические основы пробы, - Сб.: Применение математических методов при поиске полезных ископаемых. -Новосибирск, 1974, с.73-91. Широков К.П. О проекте рекомендаций ВНИИМ: Основные метрологические термины и определения.- Сб.: Исследования по методике оценки погрешностей измерений, вып.57(117).- М.-Д.: Стандартиздат, 1962, с.101-122. Turckian K.K., Wedepohl K.H. Distribution of the elements in sone major units of the Barth. “The Geol. Sos. of Am. ” Bull., 1961, v. 72, N 2, p.p. 175-191. |
||||||||||||||||||||||||||||||||||||||||||||||||||||||
,
(I.I)
(1.2) 
(1.3)
(1.5)
, 
(1.6)
(1.14)
;
(1.15)
;
(1.16)