Реферат: Бессрочные облигации

Название: Бессрочные облигации
Раздел: Рефераты по экономике
Тип: реферат

И.Я. Лукасевич

Согласно отечественному законодательству, срок погашения выпускаемых в стране долговых обязательств не может превышать 30 лет. Таким образом, для существования в России облигаций с более длительным периодом погашения в настоящее время нет даже юридических оснований.

Вместе с тем, бессрочные облигации (perpetuity bond) не являются особой экзотикой в развитых странах. В качестве их эмитентов выступают как правительства, так и крупные корпорации.

Примерами государственных бессрочных облигаций могут служить британские консоли, выпущенные в начале XIX века, а также французская рента. Однако следует отметить, что в настоящее время рынок бессрочных обязательств представлен, в основном, 100-летними облигациями крупнейших корпораций.

В 1996 году фирма IBM стала 21-й компанией, выпустившей 100-летние облигации на общую сумму 850 млн. долларов США . Купонная ставка облигации составляет 7,22%. Это на 80 процентных пунктов выше, чем доходность 30-летних казначейских обязательств правительства. В число эмитентов 100-летних облигаций входят такие всемирно известные корпорации, как “Уолт Дисней”, “Кока-кола” и др.

Как правило, держателями подобных облигаций являются различные фонды и страховые компании, повышая тем самым дюрацию своих инвестиционных портфелей и получая средства для финансирования собственных долгосрочных проектов. Рассмотрим методы оценки бессрочных облигаций.

Доходность бессрочных облигаций

Так как срок обращения подобных облигаций очень большой, для удобства анализа делается допущение о бесконечности приносимых ими периодических доходов. При этом выплата номинала (погашение облигации) в обозримом будущем не ожидается и единственным источником получаемого дохода считаются купонные платежи.

Поскольку купонные доходы по облигации постоянны, а их число очень велико, подобный поток платежей называют вечной рентой или вечным аннуитетом (perpetuity annuity).

Определим текущую доходность Y бессрочной облигации. Она равна:

, (2.20)

где k – годовая ставка купона; N – номинал; P – цена; K – курсовая стоимость (цена).

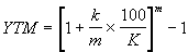
Для определения доходности к погашению YTM бессрочной облигации можно использовать следующее соотношение:

, (2.21)

где m – число купонных выплат в год.

Нетрудно заметить, что в случае, если купонные выплаты производятся один раз в год, доходность к погашению равна текущей, т.е. при m = 1, YTM = Y. Рассмотрим следующий пример.

Пример 2.14

Облигация фирмы IBM со сроком обращения 100 лет была куплена по курсу 92,50. Ставка купона равна 7,72%, выплачиваемых раз в полгода. Определить доходность операции.

Y = 100(0,772 / 92,50) » 0,0834, или около 8,3%.

YTM = (1 + (0,772 / 2)(100 / 92,50))2 - 1 » 0,0852, или около 8,5%.

Как следует из полученных результатов, и текущая, и доходность к погашению данной облигации выше купонной.

Оценка стоимости бессрочных облигаций

Текущая стоимость бессрочной облигации может быть определена из предположения, что генерируемый ею поток платежей представляет собой вечную ренту (аннуитет). Запишем формулу для определения текущей стоимости PV подобного аннуитета:

. (2.22)

Умножим обе части (2.22) на (1 + r):

. (2.23)

Вычтем из (2.23) выражение (2.22):

.

Поскольку 1 / (1 + r)¥ ® 0, PV´ r = CF. Откуда:

. (2.24)

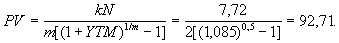
Если платежи осуществляются m-раз в год, формула исчисления текущей стоимости вечной ренты примет следующий вид:

. (2.25)

Определим текущую стоимость 100 единиц облигации из примера 2.14, исходя из требуемой нормы доходности в 8,5%.

Таким образом, при YTM = 8,5%, цена, уплаченная за облигацию в примере 2.14, была несколько ниже ее текущей стоимости.

Рассмотренные методы оценки могут быть также использованы для анализа привилегированных или обыкновенных акций, если по ним выплачивается постоянный дивиденд. Поскольку акции не имеют установленного срока обращения, их владельцы имеют право на получение дивидендов до тех пор, пока предприятие-эмитент функционирует. В случае регулярных постоянных выплат по акции, генерируемый ею денежный поток можно условно считать вечной рентой, для анализа которой можно использовать соотношения (2.20 – 2.25).

Применение ППП EXCEL в процессе анализа бессрочных облигаций обеспечивает большую точность и гибкость вычислений. Вместе с тем, специальные функции для работы с бессрочными, или приравниваемым к ним обязательствами, в ППП EXCEL отсутствуют.

Для автоматизации выполнения соответствующих расчетов может быть использован шаблон, реализующий анализ купонных облигаций, либо разработанный нами в первой главе шаблон для анализа аннуитетов.

В качестве упражнения, попробуйте самостоятельно разработать специальный шаблон для анализа бессрочных облигаций, путем реализации средствами ППП EXCEL соотношений (2.20 - 2.25).