Реферат: Время и Вселенная
|
Название: Время и Вселенная Раздел: Рефераты по науке и технике Тип: реферат |
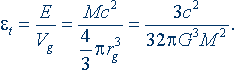
Владимир Юмашев Время дано и не подлежит обсуждению, Обсуждаешься ты – Разместившийся в нём. Древние В современных теориях пространства-времени время рассматривается как четвёртое измерение, дополнительно к трем пространственным и все эти измерения каким-то образом связаны между собой. Однако теории не объясняют физический смысл времени и как оно связано с пространством. Если время – измерение, то почему невозможно перемещаться во времени в каком-либо направлении с какой-либо скоростью. Время непрерывно и его можно только отсчитывать относительно какого-либо выбранного начала отсчета. Вернуться к этому началу отсчета невозможно, как невозможно и забежать вперед, относительно текущего момента времени. Нам известны только некоторые свойства времени. Но насколько эти свойства объективны и постоянны и каким образом время влияет на процессы, происходящие в нашей Вселенной, неизвестно. В данной работе сделана попытка по-новому взглянуть на понятие время и объяснить его физический смысл. При этом не отрицаются существующие законы, описывающие известные нам процессы Вселенной. Под временем подразумевается скорость хода часов в конкретной точке пространства. Основными свойствами времени являются: длительность, неповторяемость и необратимость. Известно также, что в различных точках пространства скорость хода часов неодинакова и зависит от гравитационной массы, вблизи которой происходит измерение времени, и расстояния до неё. Кроме этого, время участвует практически во всех уравнениях,описывающих какое-либо движение или процесс, как множитель. Вот практически и все, что нам известно о времени. Чтобы понять физический смысл времени, необходимо ответить на следующие основные вопросы: Почему время непрерывно и однонаправленно? Какая связь существует между временем и пространством? Почему течение времени замедляется вблизи гравитационных масс и энергетических процессов? (Любой энергетический процесс можно выразить через массу или наоборот: E=mc2 ). Среди известных физических явлений и процессов, непрерывностью и однонаправленностью, при неизменных внешних условиях, характеризуются физические поля, которые вызывают четыре вида фундаментальных взаимодействий в нашей Вселенной. Если провести аналогию, то можно предложить следующую гипотезу: Время – это величина, характеризующая воздействие физического поля на всю нашу Вселенную. Такое поле можно назвать хронополем, а темп хода часов является величиной, характеризующей напряжённость хронополя – Ht ~1/t, т.е. чем быстрее темп хода часов, тем больше напряжённость хронополя. Экспериментальные данные показывают,что по мере удаления от гравитационной массы темп хода часов возрастает. Следовательно, можно с уверенностью предположить, что на достаточно большом удалении от гравитационных масс и при отсутствии энергетических процессов, напряжённость хронополя будет наибольшей. Т.е. в вакууме, при отсутствии всех физических полей и вещества, плотность энергии хронополя будет максимальной. (Т.к. хронополе охватывает всю Вселенную, то имеет смысл говорить только о плотности его энергии в конкретной точке пространства). Для определения максимальной плотности энергии хронополя, примем за основу следующий постулат: Энергия любого вида материи во Вселенной образуется за счёт энергии хронополя. Таким образом, любой вид материи, обладающий внутренней энергией или энергией движения, а также любой процесс, сопровождающийся выделением или поглощением энергии, уменьшают энергию хронополя на соответствующую величину, что выражается в замедлении темпа хода часов. Если плотность энергии материи в какой-либо области пространства будет равна плотности энергии хронополя, то темп хода часов будет равен бесконечности,т.е. часы остановятся, а напряжённость хронополя будет равна нулю. Согласно существующим теориям строения Вселенной, такое явление должно происходить при образовании чёрной дыры.Из условия образования чёрной дыры, её гравитационный радиус равен: rg = 2GM / c2 , где G – гравитационная постоянная; M – масса чёрной дыры; c – скорость света в вакууме. Плотность энергии хронополя εt будет равна плотности энергии чёрной дыры:
Если принять, что критическая масса, при которой образуется чёрная дыра составляет две-три солнечных масс, то плотность энергии хронополя будет равна порядка εt ~1045 Гэв/м3 . Влияние гравитационных масс на напряжённость хронополя давно известно. Для изучения влияния энергетического процесса на хронополе можно провести следующий эксперимент. Необходимо взять двое часов (например два атомных стандарта частоты), ход которых будет синхронизирован. Затем, вблизи одних из часов, провести какой-либо энергетический процесс (например зажечь электрическую дугу), что приведёт к замедлению их хода. В качестве примечания необходимо отметить, что мысль о существовании во Вселенной «поля творения», энергия которого с течением времени переходит в энергию и массу элементарных частиц, уже высказывалась некоторыми учеными (P.Jordan). Теперь попробуем ответить на вопрос: какая связь существует между хронополем и пространством, свободным от какого-либо вещества. Рассмотрим известное выражение для интервала: dS2 = – (cdt)2 + dX2 + dY2 + dZ2 . Примем, что dS2 =0 и решим выражение для интервала относительно постоянного коэффициента – скорости света в вакууме с2 : c2 = (dX2 + dY2 + dZ2 ) / dt2 . Т.к. ход времени непрерывен, то из полученного выражения следует, что для того, чтобы обеспечивалось постоянное значение скорости света, каждому приращению времени должно соответствовать приращение пространственных координат. Или, другими словами, с течением времени происходит равномерное расширение пространства таким образом, что отношение приращения пространства к соответствующему приращению времени всегда постоянно и равно скорости света. Следовательно, можно предположить, что основная работа хронополя заключается в расширении пространства нашей Вселенной. Косвенным подтверждением такого расширения является закон Хаббла: галактики удаляются друг от друга со скоростями пропорциональными расстоянию между ними. Это явление связано с тем, что не галактики убегают друг от друга, а увеличивается пространство (расстояние) между ними. Однако галактики имеют собственные скорости движения относительно расширяющегося пространства. Это может привести к тому, что соседние галактики могут сближаться, если их суммарная скорость движения превысит скорость расширения пространства. По этой же причине постоянная Хаббла носит усреднённый характер и колеблется в пределах 50...100км/сМпк. Если предположение о хронополе и его воздействии на Вселенную верны, то возникает вопрос: откуда и куда расширяется наша Вселенная, т.е. из чего возникает и куда распространяется трёхмерное пространство? Из всех известных констант Вселенной можно выделить две абсолютные величины: скорость света в вакууме и абсолютный ноль температур по Кельвину. Согласно существующим законам природы материя не может существовать при температурах ниже абсолютного нуля температур или двигаться со скоростью выше скорости света. Эти две абсолютные величины и являются границами нашей Вселенной. Можно предположить, что расширение пространства идёт из области лежащей ниже абсолютного нуля температур в область, где материя существует только при скоростях, больших скорости света. Эти области можно соответственно назвать подпространство и надпространство. Таким образом, чтобы покинуть нашу Вселенную не нужно искать её границ. Достаточно в любой точке пространства понизить температуру ниже абсолютного нуля температур или превысить скорость света и мы очутимся за пределами нашей Вселенной. Но материя, которая существует в нашей Вселенной, не может существовать в подпространстве или надпространстве. Для этого она должна преобразоваться в другой вид материи, который будет соответствовать законам существования материи в этих областях. Можно только предположить, что энергетический уровень материи подпространства ниже энергетического уровня материи нашей Вселенной (E=mc2 ), а в надпространстве значительно выше. Поэтому мы и не в состоянии наблюдать как подпространство, так и надпространство. Несмотря на недоступность подпространства и надпространства нашему восприятию, можно обнаружить следы их воздействия на нашу Вселенную. Это воздействие должно быть равномерным, без какого-либо выделенного направления и соответствовать для подпространства – низким температурам и энергиям, а для надпространства – высоким скоростям и энергиям. Из экспериментальных данных, полученных при исследовании космоса в радиодиапазоне, известно фоновое излучение, приходящее со всех направлений из космоса с одинаковой интенсивностью, температура которого соответствует 3°К. Хотя это излучение и называют «реликтовым», возможно что оно и является результатом воздействия подпространства на нашу Вселенную, т.е. процесс расширения пространства из подпространства сопровождается низкотемпературным радиоизлучением. В 1972г. были открыты всплески гамма-лучей очень высокой мощности (~1040 эрг). Вспышки равномерно распределены по небесной сфере без какого-либо выделенного направления. Эти вспышки могут быть следствием воздействия надпространства на нашу Вселенную при расширении пространства в область надпространства. К такому воздействию можно отнести и первичные космические лучи высоких энергий, которые также изотропны в пространстве и неизменны во времени. Целенаправленные исследования могут выявить и другие факторы воздействия подпространства и надпространства на нашу Вселенную. Рассмотрим вопрос: как расширяется пространство вблизи гравитационной массы? Согласно общей теории относительности, гравитационная масса вызывает «искривление» пространства и за счёт этого возникает гравитационное притяжение. С точки зрения воздействия хронополя на пространство, при наличие гравитационной массы (m), плотность энергии хронополя уменьшается на соответствующую величину E=mc2 . Это приводит к тому, что вблизи гравитационной массы пространство расширяется медленней, чем вдали от неё. Именно за счёт этого и возникает гравитационное притяжение, т.е. имеет смысл говорить не о «искривлении» пространства, а о его «разряжении». Тогда гравитационные волны будут представлять собой области пространства переменной «плотности», которые распространяются со скоростью света. Ход часов в области разряжения будет медленнее чем за её пределами.Чтобы обнаружить такие гравитационные волны, необходимо опять же синхронизировать двое часов и сравнивать их ход. При прохождении областей пространства переменной плотности, часы будут попеременно замедляться. Сложность заключается в том, что часы должны быть удалены друг от друга на значительное расстояние, т.к. волны пространства переменной плотности распространяется со скоростью света. В данной работе сделана попытка по-новому взглянуть на строение Вселенной, объяснить известные явления с точки зрения существования хронополя. Остаются не выясненными много вопросов: что является источником хронополя; сколько измерений в подпространстве и надпространстве; как происходит расширение пространства и т.п. Возможно хронополе и возникает между двумя полюсами – надпространством и подпространством и наша Вселенная размещена во времени. Ответы на эти вопросы позволят создать теорию хронополя, которая, скорее всего, и будет единой теорией, объединяющей все взаимодействия в нашей Вселенной. |
