Статья: К методике преподавания прикладной математики в военно-инженерном вузе
|
Название: К методике преподавания прикладной математики в военно-инженерном вузе Раздел: психология, педагогика Тип: статья | ||||||||||||||||||||||||||||||
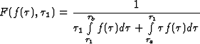
И.В. Бабичева, Б.К. Нартов, Омский танковый инженерный институт, кафедра математики и теоретической механики Цели и содержание обучения математике в военно-инженерном вузе прагматичны и жестко определяются реальными, достаточно устойчивыми потребностями армии. Кроме того, система военно-профессионального обучения - консервативная. Это ее объективное свойство: на фоне тех или иных инноваций военные профессии функционально устойчивее гражданских. Таким образом, следует признать, что свобода возможной коррекции целей и содержания курса прикладной математики в военно-инженерном вузе сравнительно невелика. Нам представляется, что возможная интенсификация обучения составляет здесь в большей степени методическую проблему, а именно: проблему оптимальной организации межпредметного взаимодействия математики и военно-профессиональных дисциплин. Обратимся за примером к важной группе задач теории массового обслуживания и теории надежности, предметная область которых охватывает большинство традиционных военных специальностей. Можно отметить, что многие центральные задачи этой группы - в курсе математики и в курсе военно-профессиональной дисциплины -решаются дважды и по-разному: 1. В курсе математики - полнота применения методов прикладной математики на фоне изолированных фрагментов реальной задачи. Приведем [1] типичный пример анализа результатов решения в курсовой работе по математике: "Можно сказать, что система работает с перегрузкой. Для уменьшения длины очереди и загруженности каналов предлагается увеличить число каналов обслуживания". Очевидно, что корректный учет стоимости эксплуатации канала обслуживания и других существенных факторов может привести к прямо противоположной рекомендации - уменьшить число каналов обслуживания. Однако исходная, традиционно предлагаемая курсанту формулировка курсовой работы и не предполагает решения на последнем этапе задачи оптимизации количества каналов обслуживания! В результате корректное и зачастую весьма трудоемкое решение промежуточной задачи массового обслуживания по необходимости завершается "анализом из общих соображений"; 2. В курсе военно-профессиональной дисциплины - завершающий этап реальной задачи, требующий лишь типовых расчетов. Так, например, в [2] решается задача определения периода планово-предупредительных работ для отдельного узла машины. Схема решения такова: по известному закону распределения плотности вероятности отказа узла строится соответствующая интегральная функция. Затем по заданной величине доверительной вероятности безотказной работы узла и графику интегральной функции графически определяется период планово-предупредительных работ. При этом необходимая предварительная задача определения оптимальной доверительной вероятности лишь упоминается как "сложная проблема, решаемая в полном объеме в центральных учреждениях". В данном случае авторы пособия не без основания ориентируются на военного специалиста действующих частей, где подобные задачи решаются на основе личного опыта эксплуатации или (по необходимости) сведены к использованию нормативных данных. Однако очевидно, что курсанты, ориентированные на продолжение военного образования и исследовательскую работу, должны осваивать полные схемы задач подобного рода. Необходимые для этого методы прикладной математики не выходят за пределы стандартного курса. Существенно (см. выше) , что в обоих вариантах, как правило, отсутствует корректная постановка задачи. Под такой постановкой и понимается: 1) общий анализ конкретной технической проблемы и выделение существенных факторов; 2) формулировка задачи, обоснование и формализация критериев; 3) формализация задачи. Реализация этих этапов в обучении, по нашему мнению, является "зоной ответственности" как преподавателя математики, так и преподавателя соответствующей военно-профессиональной дисциплины. Соответствующая встречная коррекция курса математики и курсов военно-профессиональных дисциплин требует, разумеется, большой осторожности и заведомо нереализуема "с одной стороны". Имея в виду объективно большую методическую консервативность военно-профессионального обучения, можно предположить, что разумным компромиссом мог бы стать здесь сопровождающе-корректирующий, математический факультатив. Кроме прочего, подобный факультатив может, по-видимому, частично решить две другие очевидные проблемы военного образования: - во-первых, он в состоянии взять на себя функции задачно-методического "мостика" между математикой и специальными дисциплинами (в инженерных вузах подобный мостик достаточно эффективно реализуется общепрофессиональными дисциплинами); - во-вторых - это потенциально главная функция сопровождающего факультатива - возникает возможность перехода курсовой работы по математике в дипломный проект, что привлекательно с методической стороны и сокращает дублирование учебного материала. Ниже предлагается вариант подобной, опорной, курсовой работы. "Оптимизация схемы планово-предупредительных работ" Примем следующие исходные данные: обслуживаемый объект - узел машины, заменяемый после отказа или планово. s1 - стоимость плановой замены узла; s2 - стоимость замены узла после отказа; s1<s2. Обоснование этого условия - первая самостоятельная задача курсанта. Возможное "доказательство" может состоять здесь, например, в том, что отказ двигателя транспортной машины на марше может потребовать не только замены какого-либо узла, но и предварительной эвакуации машины в ремонтное подразделение. Стратегия обслуживания узла - узел заменяется после отказа или планово - через время После обсуждения исходных данных курсанту могут быть предложены следующие задачи. Задача 1. Найти зависимость I - средней интенсивности затрат на обслуживание узла - от известных Уже формулировка этой задачи демонстрирует курсанту, что интервал планово-предупредительных работ выбирается отнюдь не из "общих соображений": при фиксированных прочих Решение задачи 1
Рис. 1. Процесс обслуживания узла Курсант должен отчетливо различать, что
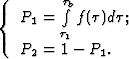
Вернемся теперь к изображенному на рис. 1 процессу обслуживания и выпишем вероятности P1 и P2 - вероятности перехода узла в состояния s1 и s2 соответственно. (Существенно, что P1 и P2 не зависят от исходного состояния узла). Из условий задачи
Теперь процесс обслуживания можно изобразить в виде последовательности "произвольных" событий (s1 и s2): с вероятностью P1 в состояние s1 через время t1 Рис.3 Введем далее следующие обозначения: N - количество последовательных событий обслуживания узла (замен); T(N) - длина соответствующего временного интервала; S(N) - суммарная стоимость N событий. Используя рис.3 и определение вероятности события, легко показать, что
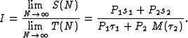
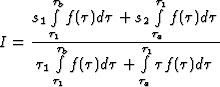
где Из (2) и (3) получаем предварительный вид I - искомой средней интенсивности затрат на обслуживание узла:
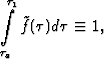
Теперь необходимо получить явный вид Выделим из реального процесса (см. рис.1) последовательность интервалов
Выпишем условия, задающие
- для любых Условие (6) очевидно. Условие (7) может потребовать отдельного разъяснения: оно определяется тем, что поведение узла не зависит от того, какое подмножество реального процесса мы рассматриваем (рис.4).
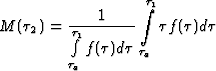
Определяя из (6) и (7) явный вид
Мы получили явный вид
Очевидно, что задачу 1 можно дополнить требованием указать возможные способы определения оптимального Задача 2. Найти оптимальное значение Решения задачи 2 Поскольку s0 - параметр задачи, а сумма интегралов числителя в (9) - тождественная единица, задача сводится к исследованию на минимум функции
Достаточно, таким образом, решить относительно
Поскольку (см. рис.2) знаменатель в (10) всегда положителен, для решения (11) достаточно знания основных правил дифференцирования и умения дифференцировать определенный интеграл по одному из его пределов. В результате (11) легко сводится к уравнению
т. е.
где Мы "строго доказали" известный практический рецепт: лампочки заменяют по потребности [2]. Эта рекомендация, конечно, не нуждается в математическом обосновании - мы проверили здесь справедливость (9) в тривиальном случае s1=s2. Заметим, что из элементарных соображений можно легко получить и левую границу
Пример: при фиксированном s1 и монотонно возрастающем s2 цена последствий отказа рано или поздно становится неприемлемой ( на практике при s2>>s1 принимается На последнем этапе курсовой работы полезно обсудить ее возможное развитие в реальную задачу обслуживания. Так, например, исходные данные необходимо по меньшей мере дополнить следующими: t1 - время плановой замены узла машины; t1 - время замены узла машины в случае отказа; s3 - стоимость единицы времени, в течение которого машина неисправна, т.е. не участвует в выполнении некоторой внешней задачи - например, перевозке грузов. Список литературы Бабичева И.В. Курсовая работа по математике в военно-инженерном вузе как средство обеспечения государственных образовательных стандартов: Материалы научно-практической конференции "Естественные науки в военном деле". Омск: ОТИИ, 1999. Методика использования статистических данных о надежности машин / Академия бронетанковых войск. М., 1975. |
Рис.2



Рис.4


