Статья: Восстановление и восстановительная циклизация N-(3-оксоалкил)карбоматов при взаимодействии с боргидридом натрия
|
Название: Восстановление и восстановительная циклизация N-(3-оксоалкил)карбоматов при взаимодействии с боргидридом натрия Раздел: Биология и химия Тип: статья |
Восстановление и восстановительная циклизация N-(3-оксоалкил)карбоматов при взаимодействии с боргидридом натрия. А.С. Фисюк, Е.А. Рыжова, Б.В. Унковский, Омский государственный университет, кафедра органической химии Известно, что взаимодействие N-(3-oкcoaлкил)карбаматов с комплексными гидридами металлов приводит к N-(3-гидроксиалкил)карбаматам [1, 2] либо продуктам их циклизации -тетрагидро-1,3-оксазин-2-онам [3]. С целью выявления стереонаправленности реакции и факторов, влияющих на глубину ее протекания, нами было изучено взаимодействие соединений Iа-г с боргидридом натрия. Мы установили, что продукты восстановления соединений Iв,д - N-(З-гидроксиалкил)карбаматы Пв,д, выделить не удается, так как в условиях реакции они нестабильны и превращаются в тетрагидро-1,3-оксазин-2-оны IIIв,д. Соединение Iв удалось получить только в нейтральной среде, которую мы поддерживали добавлением в реакционную смесь фосфатного буфера (схема 1).
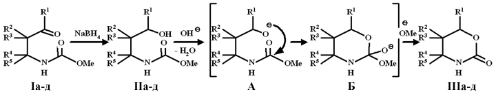
a. R1 = R2 = Me, R3 = R4 = R5 = H ; б. R1 = R2 = R4 = Me, R3 = R5 = H ; в. R1 = R4 = R5 = Me, R2 = R3 = H ; г. R1 = Me, R2 = R5 = H, R3 + R4 = (СH2)4; д. R3 + R4 = (СH2)4 ; R3, R4 + R5 = (СH2)5 ; Схема 1. Метил-N-(3-гидрокси-2-метилбутил)карбамат Iа, имеющий меньшее число заместителей в ал-кильном фрагменте, менее склонен к циклизации по сравнению с IIв,д, что позволило его получить из Iа в отсутствие буферной смеси. Только увеличение рН реакционной среды приводит к превращению На в 1,3-оксазин Ilia. Осуществить циклизацию незамещенного метил-N-(3-гидроксипропил-1)карбамата IIе (R1=R2=R3=R4=R5H) в тетрагидро-1,3-окса-зин-2-он в аналогичных условиях не удается. Аномальное поведение незамещенных циклических карбаматов (их нестабильность при перегонке, склонность к размыканию цикла и полимеризации) отмечалось в работах [4, 5, 6]. В то же время замещенные тетрагидро-1,3-оксазин-2-оны менее склонны к полимеризации [4]. Для объяснения эффекта ускоренной циклизации по-лизамещенных бифункциональных соединений ранее была предложена термодинамическая концепция [7], основанная на. сравнении энтальпии и энтропии для линейных и циклических структур. В ряду замещенных гексанов и циклогексанов показано, что при наличии в цикле алкиль-ных заместителей имеется меньше скошенных несвязанных взаимодействий, чем у соединений с открытыми цепями. Это означает, что энталь-пийные факторы в большей степени благоприятствуют циклизации метилзамещенной цепи по сравнению с незамещенной. Разветвления ограничивают внутреннее вращение, понижают энтропию соединений с открытой цепью, но не могут существенно изменить энтропию циклических соединений, имеющих меньшую свободу внутреннего вращения. Механизм образования тетрагидро-1,3-окса-зин-2-онов III, вероятно, включает в себя катализируемую основанием циклизацию N-(3-гидроксиалкил)карбаматов в 2-гем-замещенный тетраэдрический интермедиат Б, стабилизирующийся элиминированием метокси- или меркапто-аниона. Повышение рН среды увеличивает скорость реакции за счет увеличения концентрации аниона А. Взаимодействие карбамата Iг с NaBH4 приводит к смеси (4а,8а-транс,4а,4-транс)- и (4a,8a-транс,4а,4-цис)-4-метилоктагидро-2Н-3,1-бензоксазин-2-онов IIIг, с преобладанием последнего (1/4), в результате циклизации промежуточно образующихся N-(3-гидроксиалкил)карбаматов с конфигурациями анти,анти-IIг и анти,син-IIг. Взаимодействием соединения син-16 с боргидридом натрия была получена смесь оксази-нов 4,5-цис-5,6-транс-IIIб и 4,5-цис-5,6-цис-IIIб в соотношениях 4:1. Состав продуктов восстановительной циклизации карбаматов Iб,г свидетельствует о протекании нуклеофильной атаки атома углерода карбонильной группы гидрид-анионом преимущественно с менее затрудненной стороны , что соответствует "открытой" модели 1,2-асимметрической индукции (схема 2).
Схема 2. Таким образом, нами изучено поведение N-(З-оксоалкил)карбаматов в условиях боргидрид-ного восстановления и показано, что в зависимости от рН реакционной среды и строения исходного соединения оно может приводить к образованию Н-(3-гидроксиалкил)карбаматов или тетрагидро-1,3-оксазин-2-онов. Восстановление карбонильной группы протекает диастереоселективно в соответствии с "открытой" моделью 1,2-асимметрической индукции. Экспериментальная часть Спектры ЯМР 1Н записаны на спектрометре Broker M-250 (250 МГц) в растворе CDCI3 с внутренним стандартом ГМДС. ИК-спектры регистрировали на приборе Specord IR-75. Найденные значения элементного анализа синтезированных соединений соответствуют вычисленным. N-(3-оксоалкил)карбаматы Iа-д получали по методике работы [3]. По этой же методике ацилированием 1,3-аминопропанола метилхлорформатом с выходом 60% получено соединение IIе. Ткип. 98-100 °С/4 мм рт.ст. ИК-спектр (v, см -1, пленка); 1710 (NC=0); 3040-3500 (NH,OH). N-(3-Гидрокси-1,1-диметилбутил )метилкарбамат (IIв). К смеси, содержащей 10,42 г дигидрофосфата натрия, 23,82 г гидрофосфата натрия, 22 ммоль карбамата 1в в 150 мл метанола добавляют по каплям при перемешивании 22 ммоль боргидрида натрия в 8 мл воды. Через 1 ч реакционную массу разбавляют 150 мл воды и 100 мл эфира, органический слой отделяют, водный экстрагируют эфиром (3 х 70 мл). Объединенный эфирный экстракт промывают водой (2 X 100 мл), сушат сульфатом магния, эфир отгоняют, остаток перегоняют в вакууме Выход 92%. Ткип. 88-90 °С/ 0.26 мм рт.ст. ИК-спектр (v, см -1, пленка): 1695 (NC=0); 3140-3480 (NH,OH). N-(3-Гидрокси-2-метилбутил)метилкарбамат (IIIа-д). Соединения Iа восстанавливают аналогично Iв в отсутствие буферной смеси. Через 1 ч после добавления боргидрида натрия реакционную смесь подкисляют концентрированной соляной кислотой до рН~7, метанол удаляют под вакуумом. К остатку добавляют 5-10 мл воды и экстрагируют эфиром (3х30 мл). Объединенный эфирный экстракт промывают водой насыщенным раствором NaCl, сушат сульфатом магния, эфир отгоняют, остаток перегоняют в вакууме. Выход 86%. Ткип. 93-96 °С/0.30 мм рт.ст. ИК-спектр (v, см-1, пленка): 1695 (NC=0); 3130-3500 (NH,OH). Тетрагидро-1,3-оксазин-2-оны IIIa-д. В раствор 24.5 ммоль карбамата Iа-д в 40 мл спирта порциями вносят 24.5 ммоль боргидрида натрия, перемешивают 1 ч, добавляют 20 мл 5М раствора гидроксида натрия в спирте и оставляют на ночь. Далее спирт отгоняют, в остаток добавляют 20 мл воды и экстрагируют хлороформом (3х30 мл). Объединенный хлороформный экстракт промывают водой, насыщенным раствором NaCl, сушат над CaCl2, растворитель отгоняют. Оксазин Шв из 1в получают аналогично, без добавления раствора гидроксида натрия. IIIб. Выход (цис-,цис-/транс-, цис-; 1/4) 72%. Тпл 113-114 °С(ацетон). Спектр ПМР цис-.транс-IIIб (, м.д., CDCl3): 6.99 (1Н, уш.с., NH); 4,28 (1H, м., 2J=6.4, 8.0 Гц, 6-Н); 3.63 (1H, м., 2J=3.0, 6.7, 5.3 Гц, 4-Н); 1.93 (1H, м., 3J=5.3, 7.1, 8.0 Гц, 5-Н ); 1.40 (ЗН, д., 3J=6.4 Гц, 6-Ме); 1.19 (ЗН, д., 3J=6.7 Гц, 4-Ме); 1.00 (ЗН, д., 3J=7.1 Гц, 5-Ме) Спектр ПМР цис-,цис- (, м.д., CDCl3): 6.70 (1H, уш.с., NH); 4.56 (1H, м., 3J=2.0, 6.6 Гц, 6-Н); 3.79 (1H, м., 3J=4.0, 6.6 Гц, 4-Н); 1.80 (1H, м., 5-Н); 1.38 (ЗН, д., 3J=6.5 Гц, 6-Ме); 1.23 (ЗН, д., 3J=6.6 Гц, 4-Ме); 0.95 (ЗН, д., 3J=6.5 Гц, 5-Ме). Выход IIIг (цис-, транс-/транс-, транс-, 4/1) 80%. Спектр ПМР транс-, транс-IIIг (, м.д., CDCl3): 7.13 (1H, уш.с., NH); 3.78 (1H, м., 3J=6.6, 10.6 Гц, 4-Н); 2.89 (1H, м., 3J=3.8, 10.5, 0,5 Гц, 8а-Н); 2.12-1.97 1(Н, м., 4а-Н); 1.90-0.96 (8Н, м., (СН2)4); 1.32 (ЗН, д., 3J=6.6 Гц, 4-СН3). Чистый (4а,8а-транс,4а,4-цис)-4-метилоктагидро-2Н-3,1-бензоксазин-2-он IIIг был выделен из смеси изомеров после двукратной перекристаллизации из ацетона. Тпл. 163-164 °С. ИК-спектр (v, см -1нуйол): 1680 (NC=0); 3260 (NH). Спектр ПМР (, м.д., CDCl3): 7,13 (1H, уш.с., NH); 4.44 (1м., 3J=4.6, 6.6, 4-Н); 3.15 (1H, м., 3J=4.0, 10.4, 10.4 Гц, 8а-Н); 1.97-2.12 (1H, м., 4а-Н); 1.90-0.96 (8Н, м., (СН2)4); 1.28 (ЗН, д., 3J=6.6 Гц, 4-СН3) Выходы и свойства соединений III а,в,д приведены в работе [З]. Список литературы ShonoТ., KiseN., SandaP., OhiS., YoshiokaK.// TetrahedronLett., 1989, 30, № 10, p. 1253. Barluenga J., Olano В., Fustero S.// J. Org. Chem., 1985, 50, p. 4052. A.c. 1203092 (СССР. /Фисюк А. С., Унковский Б. В., Зайцев В. П., Кондратова А. А., Малина Ю. Ф.// Б. и., 1986, № 1. Neffgen S., Keui Н., Hoecker H.//Macromol. Rapid Commun., 1996, 17, p. 373. Lebedev В. V., Simmova N. N., Kiparisova E. G.// Macromol. Chem. Phys., 1997, 198. p. 41. Lebedev В. V., Smirnova N., Telnoy V.// Macromol. Chem. Phys., 1996, 197, p. 3807. Allinger N.L., Zaikov V.// J. Org. Chem., 1960, 25, p. 701. |

