Статья: Расчет поверхностной энергии металлов в рамках моделиобобщенного псевдопотенциала Хейне-Абаренкова
|
Название: Расчет поверхностной энергии металлов в рамках моделиобобщенного псевдопотенциала Хейне-Абаренкова Раздел: Рефераты по математике Тип: статья | ||||||||||||||||||||||||||||||||||||||||||||||||||||||||||||||||||||||||||||||||||||||||||||||||||||||||||||||||
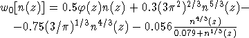
М.В. Мамонова, Р.В. Потерин, В.В. Прудников, Омский государственный университет, кафедра теоретической физики В последнее время интенсивно развиваются методы аналитического описания поверхностных свойств твердых тел, основанные на определении энергетического состояния поверхности с привлечением методов квантовой механики. При описании поверхностных явлений в металлах особенно эффективно применяется метод функционала электронной плотности [1,2]. В предлагаемой работе в рамках метода функционала плотности проведен расчет поверхностной энергии для ряда металлов. Исследованы влияния различных приближений, учитывающих дискретность кристаллической структуры и неоднородность электронного газа в поверхностном слое металлов. Для расчета влияния электрон-ионного взаимодействия на величину поверхностной энергии металлов впервые был использован обобщенный псевдопотенциал Хейне-Абаренкова. Проведен сравнительный анализ результатов, полученных с его использованием, с результатами, полученными с привлечением иных моделей, в частности псевдопотенциала Ашкрофта. Рассмотрим полуограниченный металл, граничащий с вакуумом. При расчете поверхностных свойств определяющей является функция распределения электронной плотности n(z) вблизи поверхности. Она должна удовлетворять требованию экспоненциального затухания вне металла и стремиться к объемному значению электронной плотности внутри металла. Распределение электронной плотности n(z) находится как функция, обеспечивающая минимум функционала полной энергии неоднородной системы. Представим функционал полной энергии в виде градиентного разложения :
где
есть плотность энергии однородного электронного газа в атомных единицах, включающая последовательно электростатическую, кинетическую, обменную и корреляционную энергии, а
где
В качестве пробных функций для потенциала
где n0 - объемная электронная плотность, В дальнейшем параметр Поверхностную энергию металла представим в виде следующей суммы :
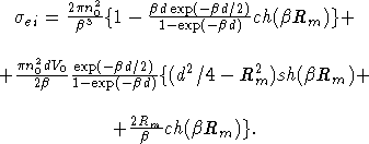
где
где Z - валентность ионов; с - расстояние между ближайшими соседями в плоскости параллельной поверхности; в - межплоскостное расстояние. Для вычисления поправки на электрон-ионное взаимодействие воспользуемся широко применяемым в физике металлов обобщенным псевдопотенциалом Хейне-Абаренкова. Явный вид данного псевдопотенциала можно записать следующим образом:
Псевдопотенциал Хейне-Абаренкова переходит в выражение для другого широко используемого псевдопотенциала Ашкрофта при V0=0. Для получения
где
Проводя суммирование по ионным плоскостям с z=-(i+d/2), i=1,2,... и воспользовавшись периодичностью потенциала
Проводя численное интегрирование и минимизацию полной поверхностной энергии (5), определяем параметр
Минимизация данного соотношения по rs приводит к выражению, связывающему V0 и Rm :
В результате возникает проблема определения второго параметра потенциала (7). Обычно его определяют по сопоставлению расчетов, проведенных с использованием данного псевдопотенциала, с какими-либо эмпирическими характеристиками. В данной работе в качестве такой Таблица 1
экспериментальной характеристики была использована величина поверхностной энергии. В таблице 1 приведены значения параметров, использованные для расчета поверхностной энергии металлов, и рассчитанные значения параметров псевдопотенциала Хейне-Абаренкова для ряда простых и переходных металлов, дающие в соответствии с развитой методикой значения поверхностной энергии, наиболее хорошо согласующиеся с экспериментальными. Следует заметить, что для определения параметра обрезания rc псевдопотенциала Ашкрофта достаточно использования условия минимальности объемной энергии металла. Получающиеся при этом значения параметра обрезания rc и соответствующие значения поверхностной энергии также приведены в табл. 1. Проведенные нами расчеты поверхностной энергии металлов с использованием псевдопотенциала Ашкрофта и различного типа обменно-корреляционных поправок на неоднородность электронного газа [7] показали, что ни одна из поправок не является универсальной, а модель псевдопотенциала Ашкрофта неприменима для описания поверхностных характеристик благородных и переходных металлов,так как дает для них чересчур заниженные значения. Модель, использующая псевдопотенциал Хейне-Абаренкова, позволяет решить эту проблему. Отсутствие универсальных обменно-корреляционных поправок для металлов в рамках модели псевдопотенциала Ашкрофта [], приводит к значительным трудностям при расчетах адгезионных характеристик. Применение псевдопотенциала Хейне-Абаренкова с единой обменно-корреляционной поправкой в приближении Вашишты-Сингви позволяет избежать данных трудностей и позволяет применять данную модель для расчета адгезионных свойств как простых, так и переходных металлов. Список литературы Партенский М.Б. Самосогласованная электронная теория металлической поверхности // УФН. 1979. 128. Вып.1. С.69-106. Ухов В.Ф., Кобелева Р.М., Дедков Г.В., Темроков А.И. Электронностатистическая теория металлов и ионных кристаллов. М.:Наука, 1982. Vashishta P., Singwi K.S. Electron correlations at metallic densities. // Phys.Rev., 1972. B6. N3. P.875-887. Ferrante J., Smith J.R. A theory of adhesional bimetallic interface overlap effects. // Surface Science. 1973. 38. N1. P.77-92. Кобелева Р.М., Гельчинский Б.Р., Ухов В.Ф. К расчету поверхностной энергии металлов в модели дискретного положительного заряда // ФММ. 1978. 48. N1. С.25-32. Вакилов А.Н., Прудников В.В., Прудникова М.В. Расчет решеточной релаксации металлических поверхностей с учетом влияния градиентных поправок на неоднородность электронной системы // ФММ. 1993. 76. N6. С.38-48. Вакилов А.Н., Потерин Р.В. Прудников В.В., Прудникова М.В. Расчет адгезионных характеристик металлов и их расплавов. // ФММ, 1995, 79, N4, с.13-22. |








