Реферат: Банковская статистика

Название: Банковская статистика
Раздел: Рефераты по банковскому делу
Тип: реферат

Задача №1

1. По данным вашего варианта (таблица 1) построить ряд распределения по 30 коммерческим банкам (группировка по привлеченным ресурсам).

таблица 1

Назание банка Привлеченные ресурсы
АК Б Торибанк 155729
Автобанк 101
АвтоВАЗбанк 491686
АКБ Енисей 16826
АКБ Софинтрейд 196170
Башкредитбанк 154317
Башпромбанк 297613
Газпромбанк 32935
Гута банк 82060
Еврофинанс 653123
Запсибкомбанк 893982
Импэксбанк 12511
ИнтерТЭКбанк 737797
Конврсбанк. 110261
Кредо банк 105771
Кузбаспромбанк 42226
Международный пром-ый 106720
Межкомбанк 18669
Московский нац. Банк 20893
Мосстройэкономбанк 42534
Мост-банк 10981
Нефтехимбанк 64928
Омскпромстройбанк 181397
П ромрадтехбанк 1482119
Петровский 327621
Промышленно-строит. банк 10545
Ростэстбанк 2269172
Челиндбанк 667271

Произведем группировку с произвольными интервалами с помощью коэффициента вариации, определяемого по формуле:


где s — среднее квадратическое отклонение, x — средняя арифметическая.
№ группы Группы банков по количеству привлеченных ресурсов Число банков, входящих в группу Название банка Количество привлеченных ресурсов (млн.руб.)
1 Менее 10000 1 Автобанк 101
Промышленно-строит. банк 10545
Мост-банк 10981
2 10000—30000 6 Импэксбанк 12511
АКБ Енисей 16826
Межкомбанк 18669
Московский нац. Банк 20893
Газпромбанк 32935
3 30000—80000 4 Кузбаспромбанк 42226
Мосстройэкономбанк 42534
Нефтехимбанк 64928
Гута банк 82060
Кредо банк 105771
Международный пром-ый 106720
4 80000—200000 8 Конверсбанк. 110261
Башкредитбанк 154317
АКБ Торибанк 155729
Омскпромстройбанк 181397
АКБ Софинтрейд 196170
Башпромбанк 297613
5 200000—500000 3 Петровский 327621
АвтоВАЗбанк 491686
Еврофнианс 653123
6 500000—900000 4 Челиндбанк 667271
ИнтерТЭКбанк 737797
Запсибкомбанк 893982
7 900000—2300000 2 П ромрадтехбанк 1482119
Ростэстбанк 2269172

2. А) По полученным рядам распределения определить привлеченные ресурсы в среднем на один коммерческий банк.

№ группы Группы банков по количеству привлеченных ресурсов Число банков, входящих в группу (fi)

Середина интервала

X i

X i * f i

| X i- X |

| X i- X | f i

2

( X i- X )

2

( X i- X ) f i

1 Менее 10000 1 5000 5000 299107 299107 89464997449 89464997449
2 10000—30000 6 20000 120000 284107 1704642 80716787449 484300724694
3 30000—80000 4 55000 220000 249107 996428 62054297449 248217189796
4 80000—200000 8 140000 1120000 164107 1312856 26931107449 215448859592
5 200000—500000 3 350000 1050000 45893 137679 2106167449 6318502347
6 500000—900000 4 700000 2800000 395893 1583572 156731267449 626925069796
7 900000— 2300000 2 1600000 3200000 1295893 2591786 1679338667449 3358677334898
Итого: 28 8515000 2734107 8626070 2097343292143 5029352678572
— в среднем на один коммерческий банк.

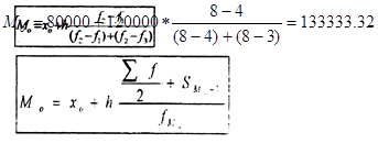
Б) Найти модальное и медианное значение привлеченных ресурсов.

Интервал

Число банков,

входящих в этот интервал

Накопленные частоты
Менее 10000 1 1
10000—30000 6 7
30000—80000 4 11
80000—200000 8 19
200000—500000 3 22
500000—900000 4 26
900000— 2300000 2 28
28
—модальное значение

—медианное значение
В) По данному ряду распределения рассчитать размах вариации, среднеквадратическое отклонение, коэффициент вариации
.
Коэффициент вариации

Задача №2

1. На основе полученного ряда распределения построить структурную группировку этих же 30 банков. каждую выделенную группу охарактеризуйте 3-4 наиболее связанными и существенными показателями, имеющимся в вашей таблице, кроме абсолютных показателей. Выделенные группы охарактеризуйте относительными величинами структуры. Результаты изложите в табличной форме и сделайте выводы.

№ группы Интервалы Число банков в группе Относительный показатель структуры (%) Относительные показатели координации Относительный показатель сравнения (%)
1 Менее 10000 1 3,6 0,13 16,7
2 10000—30000 6 21,4 0,75 150
3 30000—80000 4 14,3 0,5 50
4 80000—200000 8 28,6 1 266
5 200000—500000 3 10,7 0,38 75
6 500000—900000 4 14,3 0,5 200
7 900000— 2300000 2 7,1 0,25
Итого: 28 100

Относительный показатель структуры (ОПС) представляет собой соотношение структурных частей изучаемого объекта и их целого. ОПС показывают какой долей обладают части в общем итоге, так, например, 4 группа составляет 28%, 2 — 21,4%, а 3 и 6 — 14,3%.

Относительные показатели координации характеризуют соотношение отдельных частей целого между собой при этом в качестве базы сравнения выбирается та часть, которая имеет наибольший удельный вес. В результате получают сколько единиц каждой структурной части приходится на одну единицу(сто,тысячу и т.д.) базисной структурной части

При расчете относительных показателей координации за базу примем 4 группу, так как в нее входит наибоьшее количество банков.

Относительный показатель сравнения представляет собой соотношение одноименных абсолютных показателей. Характеризующих разные объекты. Так, например, количество банков в 1 группе составляет 16,7% от количества банков во 2 группе, во 2 группе количество банков в 1,5 раза больше, чем в 3 группе, а в 6 группе в 2 раза больше, чем в 7.


Среднеквадратическое отклонение

Размах вариации равен