Реферат: К вопросу об учете эффектов причинной механики в геофизических задачах
|
Название: К вопросу об учете эффектов причинной механики в геофизических задачах Раздел: Рефераты по географии Тип: реферат |
Арушанов Михаил Львович, Горячев Анатолий Михайлович Учет эффектов причинной механики [12,13] в геофизических задачах позволяет объяснить ряд феноменов, не нашедших объяснения с классических позиций. На основании учета эффектов причинной механики в гидродинамических моделях дано строгое объяснение особенностям распределения геофизических полей, неподдающиеся физическому обоснованию в рамках классической механики. Впервые в мировой практике показано, что введение силы причинности в простую баротропную гидродинамическую модель прогноза погоды приводит к результатам, которые, с одной стороны, в принципе не могут быть описаны с позиций классической гидротермодинамики, с другой стороны, к реально существующей в природе картине. Предисловие Гидрометеорология, и в целом геофизика, как один из разделов прикладной физики, концептуально всецело зависит от идеологии, сложившейся в результате теоретических и экспериментальных исследований в фундаментальной физике. Обратное влияние почти отсутствует, в результате исследователи-геофизики рассматривают свой круг задач только, как частные применения давно устоявшихся (в случае гидрометеорологии – более ста лет назад) физических теорий в конкретной естественной обстановке. Вся геофизическая специфика сводится к сложности естественных систем, неполноте информации о них и, как правило, к невозможности активного эксперимента, т.е. в замене эксперимента, в физическом понимании этого слова, пассивным наблюдением. Отсутствие обратной связи приводит к большой инерционности геофизики к восприятию круга новых общих концепций фундаментальной физики. Конечно, не всякая новая общефизическая идея должна обязательно оказать какое-либо влияние на геофизику. Тем не менее, трудно дать универсальный, отрицательный ответ, не проведя в каждом конкретном случае работу по проверке того, что дает некоторая новая (обычно не общепринятая, а иногда неудовлетворительно формализованная) физическая идея в конкретных, геофизических условиях. С другой стороны, во многих разделах геофизики, и в гидрометеорологии в частности, сложился определенный набор фактов, не поддающихся объяснению в рамках принятой парадигмы. Простой пример, – почему Северное полушарие теплее Южного? Этот и другие подобные вопросы обычно “обходят” в триумфальном марше гидрометеорологии, основанном на технологическом, но отнюдь не идейном прогрессе. На упомянутый вопрос, либо не отвечают вообще, либо делают невнятную ссылку на нелинейность взаимодействия океан-атмосфера. Между тем, учет этой нелинейности ведет к выводу о том, что океаническое (Южное) полушарие должно быть теплее континентального (Северного) – в диаметральном противоречии с наблюдаемым фактом. В сравнении с другими разделами прикладной физики – астрофизикой, биофизикой и др., именно в геофизике общеупотребительная парадигма наиболее консервативна и, как следствие, все чаще не способна ответить на вызовы современности. Предполагаемая вниманию работа представляет важный шаг по выходу на новый уровень понимания атмосферных процессов за счет приложения идей нового физического направления – причинной механики к Земле, как естественной диссипативной гироскопической системе. Судьба самой причинной механики, как и ее основателя – российского астрофизика Николая Александровича Козырева сложилась драматично. Ее идеи возникли в поисках ответа на коренные проблемы астрофизики и затрагивают наиболее фундаментальную физическую проблему природы времени. Замечательно, что эти идеи не остаются умозрительными, а приводят к вполне конкретным, проверяемым в эксперименте, следствиям. Но первой государственной наградой их автору были 10 лет лагерей, причем, к стандартным для всех порядочных людей обвинениям в антисоветской деятельности, было еще добавлено “вредительство в области звездной астрономии”. Н. А. Козырев оказался единственным из оказавшейся в сталинских застенках, плеяды пулковских астрофизиков, сумевших выжить. Выжить не сломленным, защитившим через 2 месяца (!!!) после освобождения докторскую диссертацию, посвященную, по существу, астрофизическому введению в причинную механику. После этого им были построены основы теории причинной механики, основной постулат которой прост – наблюдаемая асимметрия времени есть свойство самого времени, а не частных систем. Из теории следовало, как одно из самых простых следствий, существование в диссипативной гироскопической системе сил, направленных вдоль оси вращения, которые были названы силами причинности. Серия лабораторных экспериментов подтвердила существование этих сил и позволила Н. А. Козыреву далее поставить исследование более сложных следствий теории, касающихся принципиально нового типа взаимодействия диссипативных процессов. В данной работе рассматривается из множества явлений, предсказываемых причинной механикой, только сила причинности. Это совершенно оправдано, поскольку именно этот эффект допускает ясную полуклассическую трактовку, не вызывающую принципиальных затруднений в приложении к достаточно сложной естественной системе. Результаты оказываются важными, как для понимания физики атмосферы, так и для практических прогностических приложений. Авторам удалось получить ответы на ряд принципиальных вопросов формирования атмосферной циркуляции и климата, показать, каким образом сила причинности включается в систему уравнений гидродинамики и в модели численного прогноза. Получен вывод, что такое расширение уравнений практически наиболее важно именно для долгосрочных прогнозов погоды. Есть все основания думать, что развитие этих работ сыграет серьезную роль, как в теоретической, так и в практической метеорологии. С другой стороны, полученные результаты представляют интерес и для исследователей в фундаментальной физике, представляя хороший пример проверки новых физических идей в условиях натурного эксперимента. Все это касается результатов приложения лишь одной из граней причинной механики. В целом же, в последние годы обнаружена удивительная конвергенция результатов трех физических направлений, зародившихся и долгие годы развивавшихся независимо: причинной механики, теории прямого межчастичного взаимодействия и квантовой нелокальности. Предельно коротко намечающая картина такова. Необратимость (диссипативность) процессов может не только вести к декогеренции и разрушению квантовых нелокальных корреляций, но в определенных условиях, напротив, играть конструктивную роль. В этом случае квантовые корреляции выходят на макроуровень, проявляясь, как новый тип взаимодействия диссипативных процессов. Это взаимодействие принципиально отличается от всех известных, именно нелокальностью, отличается настолько, что в англоязычной литературе вместо термина interaction предпочитают иной термин – transaction. У этого взаимодействия отсутствуют локальные переносчики (бозоны), его осуществляет комбинация запаздывающего и опережающего полей прямого межчастичного взаимодействия. Асимметрия времени (основной постулат причинной механики) выражается через асимметрию поглощения запаздывающего и опережающего полей: запаздывающее поглощается полностью, опережающее – нет. В итоге, опережающее поле неконтролируемых (естественных) диссипативных процессов – источников, оказывается, наблюдаемо через опережающую реакцию пробных диссипативных процессов. Этот вывод недавно был подтвержден в эксперименте. В частности, наблюдалась реакция пробных процессов – детекторов на процессы синоптической активности с опережением до 3 месяцев. Поэтому, будущие приложения причинной механики в метеорологии могут быть еще более важны. Думается, что данная работа послужит стимулом для новых идей и исследований. Заведующий лабораторией Института геоэлектромагнитных исследований РАН, доктор физикоматематических наук, профессор С. М. Коротаев. Несмотря на современный высокий научный и технический потенциал в геофизике определился довольно обширный ряд фактов, не объясненных с обычных позиций. Действительно, геоид в третьем приближении имеет вид кардиоидального эллипсоида со впадиной на Южном полюсе и поднятием на Северном. Коэффициент асимметрии h ~ 105 [25]. Математически этот факт формулируется следующим образом. В разложении гравитационного потенциала (по данным траектории полета искусственных спутников Земли) в ряд по полиномам Лежандра
где G–постоянная, входящая в закон всемирного тяготения, M–масса Земли, r–радиус круга с центром в начале координат, На Северном полюсе ( Зональное распределение суши и моря также асимметрично [22] и характеризуется кардиоидой обратной геодезической. Известно [9], что это распределение несмотря на процессы дрейфа материков и перемещения полюса при осреднении за период времени порядка сотен млн. лет, в целом сохранилось. В атмосфере наблюдается тепловая асимметрия полушарий: северное полушарие на » 3о теплее южного [21], асимметрия внутритропической зоны конвергенции (ВЗК) и другие показатели асимметрии. В конце 50х годов вышла книга крупнейшего астрофизика Н. А. Козырева “Причинная или несимметричная механика в линейном приближении” [12]. Механика Н.А. Козырева вызвала большой резонанс в научных кругах, но, в целом, из-за ряда положений, неукладывающихся в рамки парадигмы существующей физики, негативную реакцию. Однако в конце 80х, начале 90х годов ряд положений причинной механики был успешно подтвержден экспериментально М. М. Лаврентьевым с сотрудниками [16,17,18] и японскими [24] физиками. Один из основных выводов причинной механики, подтвержденный экспериментально – это то, что в гироскопической системе при определенных условиях возникает дополнительная сила, действующая вдоль оси гироскопа и названная Козыревым силой причинности [12,13]:
где u – линейная скорость вращения гироскопа, В работе [23], рассматривая планету как гироскопическую систему, нами получено выражение для козыревской силы применительно к Земле и атмосфере, зависящей от широты:
В соответствии с теорией причинной механики, рассматриваемая сила имеет противоположный знак для причин и следствий. Качественные соображения указывают, что причину и следствие можно определить по направлению потока свободной энергии: поток энергии всегда направлен от причины к следствию. Твердое тело Земли отдает тепло в окружающее пространство. Следовательно, его можно считать находящимся в “области причин”. Рассматривая же систему, Земля атмосфера, аналогичным образом приходим к выводу, что атмосфера находится в “области следствий”. Эти качественные соображения были подтверждены количественно с использованием аппарата причинного анализа [1,2,14]. Для этого был рассмотрен радиационный баланс системы Земля-атмосфера, а именно, эффективное излучение Земли и собственное излучение атмосферы в направлении земной поверхности. Результаты причинного анализа (энтропийные параметры) “излучение Земли–противоизлучение атмосферы” (a=H(Y)/H(X)=0,541; b=H(Y/X)/H(X/Y) =0,421; ix½ y= H(X/Y)/H(X) =0,616; iy½ x=H(Y/X)/H(Y)=0,792; ¡ =iy½ x/ix½ y=0,777, где H(Y), H(X), H(Y/X), H(X/Y) – безусловные и условные энтропии процессов X, Y соответственно) показывают, что параметр причинности ¡ эффективного излучения земной поверхности и противоизлучения атмосферы меньше единицы, т.е. попадает на энтропийной диаграмме [1,2,14] в область “нормальной причинности”. Этот результат совпадает с феноменологическим представлением о направленности причинно-следственной зависимости в системе Земля – атмосфера. Таким образом Расчеты силы В физике Земли и атмосферы вертикальные и горизонтальные силы играют различную роль. Поэтому были рассмотрены отдельно горизонтальная Qj и вертикальная Qr компоненты силы причинности
В геологическом масштабе времени результат действия этих сил можно выразить через их дивергенции:
где знак “+” для северного полушария, “” – для южного. Одно из важнейших геофизических следствий эффектов причинной механики – гипотеза, что вертикальная составляющая Qr должна быть ответственна за деформацию равновесной фигуры Земли. В силу того, что за фигуру Земли принимается потенциал силы тяжести кривая Qr описывает фигуру, обратную геодезической, но потенциал U этой силы
совпадает по знаку с геодезической кардиоидой (рис. 1). Выделение в процессе дифференциации вещества мантии более легкой гранитоидной фракции, контролируемое в основном реакцией MgSiO3® Mg2SiO4+SiO2 [20], идет быстрее при уменьшение давления, т.е. в условиях вертикального растяжения (divQr>0). Следовательно, зоны где divQr>0 более благоприятны для формирования коры материкового типа, чем зоны, где divQr<0. В свою очередь, зоны с divQr<0 более благоприятны для обратного процесса – базификации. Эти соображения наиболее просто могут быть подтверждены кривой распределения суши в сравнении с распределением, как функции широты, кривой divQr. Эти кривые приведены на рис. 1. Как видно они достаточно близки. Учитывая их нетривиальный вид, с большой вероятностью можно говорить, что именно “поле” силы причинности, влияя на процессы дифференциации, оказало решающее влияние на формирование зонального распределения типов коры. Выражение для divQr позволяет дать физическое обоснование ранее морфологически выделенным признакам антисимметрии Земли относительно экватора: кругам антисимметрии полярных стран (± 71о), северному эпейрогеническому (+62о) и южному талассогеническому (62о) кругам [10]. Поскольку сила причинности перманентный фактор, можно ожидать концентрации подвижных материковых масс в зонах конвергенции горизонтальной силы (divQj<0) и дефицита в зонах дивергенции (divQj>0). Зависимость divQj от широты показана на рис. 1, где действительно материковые зоны качественно соответствуют зонам конвергенции горизонтальной компоненты силы, океанические – зонам дивергенции. До настоящего времени нет однозначного мнения о физическом механизме образования орогенических поясов и зон глубинных разломов. С этой точки зрения рассмотрен ротор силы
где положительное направление вектора rot
Рис. 1. Зональное распределение суши (1), вертикальной составляющей (2), дивергенции вертикальной (2) и горизонтальной (3) составляющих и потенциала (2) силы причинности (для r = 1кг/м3 ). Факт тепловой асимметрии полушарий и смещение теплового экватора относительно географического к северу » на 10о, был зафиксирован по наблюденным многолетним данным [21]. Однако, этот факт не получил удовлетворительного объяснения. Рассмотрим явление тепловой асимметрии полушарий с позиций причинной механики. Ротор силы
определяет интенсивность меридиональной циркуляции. Из кривой зависимости rot от широты (рис. 2) видно, что в целом в атмосфере преобладают положительные значения. Это означает существование в нижних слоях атмосферы интегрального переноса из южного полушария в северное и обратного переноса в верхних. В результате, в северном полушарии приземная температура должна быть выше, чем в южном полушарии. Другой факт, не нашедший в метеорологии убедительного объяснения – это сам факт существования внутритропической зоны конвергенции (ВЗК) и ее некоторое смещение, в среднем за год, в северное полушарие [6,7]. На рис. 1 можно видеть, что дивергенция divQj горизонтальной составляющей силы причинности Qj терпит разрыв на экваторе и отрицательна для атмосферы в зоне от 0о до 24о с.ш. С позиций постоянно действующей асимметричной силы в механизме общей циркуляции атмосферы такое распределение divQj объясняет как само существование ВЗК, так и некоторое ее смещение относительно экватора в северное полушарие. Следующий очевидный шаг учета козыревской силы, возникающей в гироскопической системе, это ее введение в гидродинамические модели, в частности, в модели атмосферы [4]. Для этого воспользуемся простейшей полусферной баротропной моделью. Как известно из классической механики жидкости и газов в баротропной атмосфере уравнение вихря скорости имеет вид [5]
Рис.2. Зональное распределение ротора силы причинности в литосфере (1, g~ r) и атмосфере (2, g=const,) (для r = 1кг/м3 ).
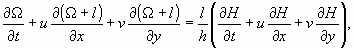
где В предположении квази-геострофичности движения компоненты ветра представляются соотношениями
где g ускорение свободного падения. Подставляя (12) в (11) получим выражение для баротропного уравнения вихря
где
В отличие от классической механики, причинная механика, построенная на непреложном факте необратимости времени, вводит понятие силы причинности. В результате в правой части уравнения (13) появляется член, представляющий вихрь силы причинности (10). Уравнение (13) с учетом (10) принимает вид
где AQ= Для выяснения вклада силы причинности в уравнения (14) были выполнены численные эксперименты с целью получения эволюции начального поля, заданного над северным полушарием в трех вариантах: невозмущенное, циклоническое и антициклональное поле геопотенциала поверхности 500гПа. Последние задавались с центром в полюсе. Уравнение Гельмгольца (14) решалось конечноразностным методом с применением экстраполяционной процедуры Либмана на квадратной сетке с горизонтальным шагом 300км по территории Северного полушария. На границах моделируемой области задавались нулевые граничные условия. В классическом варианте баротропного уравнения вихря (13) невозмущенное начальное состояние поля с течением времени не изменяется. С учетом силы причинности происходит эволюция поля геопотенциала, в результате которой возникает планетарная область пониженного давления с центром в полюсе (рис. 4). Циклонический вихрь с центром в полюсе полностью не заполняется и представляет из себя устойчивую во времени барическую систему. Антициклонический вихрь с центром в полюсе полностью разрушается. На его месте возникает циклонический вихрь устойчивый во времени. Во всех трех рассмотренных случаях возникает субтропическая область повышенного давления. Эволюционная картина моделируемых полей по трем сценариям полностью соответствует климатическому полю геопотенциала поверхности 500 гПа (рис. 3). Это соответствие однозначно указывает на существование в Природе силы, выступающая, в нашем случае, как источник, и ранее никоим образом неучтенная классической механикой. Таким образом, сила причинности, предсказанная причинной механикой и экспериментально обнаруженная Н. А. Козыревым и другими исследователями, является определяющей силой, приводящей состояние атмосферы в устойчивое. Действительно, с точки зрения атмосферы все три заданные начальные состояния являются неустойчивыми (даже в случае отсутствия источника!). С течением времени (в наших экспериментах 5 суток) эти неустойчивые состояния в результате наличия силы причинности переходят в одно устойчивое в виде циклонического вихря с центром в полюсе и субтропическим кольцом повышенного давления. Это состояние качественно соответствует климатическому полю. Важно отметить, что классические уравнения не позволяют получить эволюционную картину поля в отсутствии источника. На основании (14) были выполнены прогнозы поля геопотенциала изобарической поверхности 500 гПа с интервалом интегрирования от 24 ч до 240 ч и пространственным шагом h=300 и 150 км по данным для северного полушария в коде GRIB за период январь апрель 2003 г. В качестве оценок точности прогнозов использовались: коэффициент корреляции Rфп между прогностическими и фактическими изменчивостями геопотенциала
Рис. 3. Динамика поля геопотенциала поверхности 500 гПа (г,д,е) под действием силы причинности от невозмущенного (а), циклонического (б) и антициклонального (в) состояний. ж) климатическое поле геопотенциала поверхности 500 гПа. относительная ошибка e
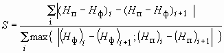
где В (15), (16) Hп, Hф, Hисх прогностические, фактические на момент прогноза и исходные поля геопотенциала, соответственно; оценка совпадения градиентов S между фактическими и прогностическими полями геопотенциала оценка Шумана
Оценки прогнозов, полученные по численным схемам, реализующие модели (13) и (14) с пространственным шагом h=300 и 150 км, выполнялись для четырех секторов северного полушария (рис.4) и по полушарию в целом. Результаты оценок 80 выполненных прогнозов в виде средних по этой выборке представлены на рис. 5. Как видно из рис. 5 во всех без исключения видов оценок, независимо от сектора и по полушарию в целом, наблюдается значимое улучшение прогнозов изобарической поверхности 500 гПа для модели (14) относительно классической модели (13).Причем, уменьшение пространственного шага в два раза улучшает в большей степени прогноз, выполненной по модели (14). Чрезвычайно важным является тот факт, что в случае модели (14) с увеличением срока прогноза его ошибка относительно модели (13) заметно уменьшается. С математической точки зрения это указывает, при прочих равных факторах, на большую устойчивость первой относительно второй. Более важна физическая причина. Она состоит в следующем.
Рис. 4. Сектора северного полушария, по которым выполнялась количественная оценка прогнозов поля геопотенциала изобарической поверхности 500 гПа. В классической механике состояние системы точечных частиц описывается координатами х1 , х2 , …, хk и импульсами р1, р2, рk. Энергия системы, записанная в этих координатах, имеет вид
где Еk - кинетическая энергия (зависит только от импульсов), Ер – потенциальная энергия (функция только координат), Н – гамильтониан. Если известен Н, то движение системы полностью определено. Однако выражение гамильтониана получено путем игнорирования фундаментального свойства времени – его необратимости: гамильтоновы уравнения инварианты относительно подстановки t ® t. Последнее означает абсолютную симметрию причинности (иначе, ее отсутствие) относительно фиксированного момента времени to, а значит выражение Н строго применимо только к замкнутым системам. Значительные успехи, достигнутые в гидродинамическом краткосрочном прогнозе погоды и отсутствие таковых в гидродинамическом долгосрочном прогнозе, есть следствие игнорирования направленности времени. Действительно, в случае краткосрочного прогноза с достаточной точностью атмосферу можно рассматривать как изолированную среду, для которой справедливы уравнения Гамильтона. В случае долгосрочных прогнозов определяющими являются источники энергии, так как главенствующую роль приобретают неадиабатические процессы, и атмосфера категорически должна рассматриваться как открытая система, для которой
Рис. 5. Средние по 80 случаям оценки прогноза геопотенциала изобарической поверхности 500 гПа с заблаговременностью от 24 ч до 240 ч, выполненные по модели атмосферы с использованием баротропного уравнения вихря скорости с учетом и без учета силы причинности по данным для северного полушария в коде GRIB за период январь апрель 2003 г. строго уравнения Гамильтона не выполняются. В противном случае, игнорируется свойство необратимости времени, а вместе с тем вопрос причинности событий. Из-за невозможности “прослеживания” в рамках детерминизма причинно-следственных связей на достаточно длительном интервале времени применяется феноменологический принцип, широко распространенный еще с древних времен. Его суть состоит в определении причин по наблюдаемым следствиям. Этот подход создает иллюзию возможности обойти проблему предсказуемости, которая неизбежно возникает в рамках классического детерминизма. По сути же, как только мы выходим из рамок классического детерминизма и во главу угла ставятся причинные связи, она становится искусственной. Именно поэтому, оставаясь в рамках классической гидродинамики, никакими формальными способами “проблему предсказуемости” обойти невозможно, ибо реально ее просто нет, а на лицо принципиальная некорректность применения законов классической гидротермодинамики к открытым системам, в частности, к среднесрочному и долгосрочному прогнозу погоды. В работе [19] Э. Лоренц, обсуждая проблему предсказуемости, заметил: “… рассматриваемая предсказуемость скорее связана с ограничением наших знаний о системе, чем с внутренними ее свойствами”. Это замечание Э. Лоренца оказывается весьма актуальным. Список литературы А р у ш а н о в М. Л., К о р о т а е в С. М. Причинный анализ и его применение для изучения физических процессов в атмосфере Метеорология и гидрология.N6,1994, с. 1522. А р у ш а н о в М. Л., К о р о т а е в С. М., От реляционного времени к субстанциональному.– Ташкент: САНИГМИ,1995, 233с. А р у ш а н о в М. Л. Моделирование формирования фигуры Земли и некоторых геофизических полей на основе положений причинной механики. Узбекский журнал Проблемы Информатики и Энергетики, 2000. N1, с. 58-64. А р у ш а н о в М. Л. Г о р я ч е в А. М. О необходимости учета эффектов причинной механики в гидродинамических моделях прогноза и климата. ДАН РУз, 2002, N6, c. 38-40. Б е л о в П. Н. Численные методы прогноза погоды. Л.: Гидрометеоиздат, 1976, 392с. Б л ю т г е н И. География климатов. Т1. М.: Прогресс, 1973, 373с. Б л ю т г е н И. География климатов. Т2. М.: Прогресс, 1973, 381с. Д е м е н и ц к а я Р. М., К а р а с и к А. М. Проблемы генезиса Северного Ледовитого океана . История мирового океана. М.: Наука. 1971, c. 58-76. Д р а г у н о в В. И. О транссибирской поперечной дислокации. Материалы по геологии и полезным ископаемым Сибирской платформы. Тр. ВСЕГЕИ, 1960, вып. 44, с.16-23. К а т т е р ф е л ь д Г. Н. Лик Земли и его происхождение. М.: Наука, 1962, 152с. К о з ы р е в Н. А. Возможная асимметрия в фигурах планет. ДАН,1950, Т. 40, N3, с.389 – 392. К о з ы р е в Н. А. Причинная или несимметричная механика в линейном приближении. Л.: АО Пулково. 1958. 232с. К о з ы р е в Н. А. Сборник трудов. Л.: ЛГУ, 1993. 450с. К о р о т а е в С. М., Ш а б е л я н с к и й В. О. Обобщенный причинный анализ и его применение для изучения электромагнитного поля в море. Известия АН, Физика Земли, 1992, N6, с. 77-86. К р а у з е Д. К. Экваториальная зона сдвига. Система рифтов Земли. М.:Наука.1970. С. 59-73. Л а в р е н т ь е в М. М., Е г а н о в а И. А., Л у ц е т М. К. Ф о м и н ы х С. Ф. О регистрации реакции веществ на внешней необратимый процесс. ДАН, 1990, Т. 314, N3, с.635-638. Л а в р е н т ь е в М. М., Г у с е в В. А., Е г а н о в а И. А., Л у ц е т М. К., Ф о м и н ы х С. Ф. О регистрации истинного положения Солнца. - ДАН, 1990, Т.315, N3, с. 368-371. Л а в р е н т ь е в М. М., Е г а н о в а И. А., Л у ц е т. О дистанционном воздействии звезд на резистор. -ДАН, 1990, Т. 314, N2, с.352-355. Л о р е н ц Э. Некоторые аспекты предсказуемости поведения атмосферы. / Долгосрочное и среднесрочное прогнозирование погоды. Проблемы и перспективы. М.: Мир, 1987.- С. 10-32. М а г н и ц к и й В. А. К вопросу о происхождении и путях развития континентов и океанов. -Вопросы Космогонии, 1958, вып. 6, c. 152-161. Х р о м о в С. П., К а ц А. Л., Б у р л у ц к и й Р. Ф. Структура внутритропической зоны конвергенции в Атлантическом океане. Квазидвухлетняя цикличность и циркуляция в атмосфере и океане. -Л.: Гидрометеоиздат ,1971, с.192-226. Ш у б а е в Л. П. О зональности рельефа. -Ученые записки Ленингр. Гос. пед. института им. А. И. Герцена,1958, Т. 151, с. 17-26. A r u s h a n o v M. L., K o r o t a e v S. M Geophysical effects of causal mechanics. - On the way to Under-standing the time phenomenon. The Construction of Time in Natural Science”.-World Scientific, Singapore, New Jersey, London, 1995, pp.101-108. H a y a s a k a H. and T a k e u c h i S. Anomalies wight redaction on gyroscope right around the vertical axis of the Earth. - Phys. Rev. Lett., vol. 63, N25, 1990, pp. 2701-2704. K i n g-H e l e D. G. and M e r s o n R. H. M. New value for the Earth’s flattening, derived from Measurements of Satellite Orbits. - Nature, 1959.-V. 183, N4665, PP.39-46. K i n g E. R., S i e t z I., A l l r e в g e L. R. Genesis of the Arctic Ocean Basin. -Scince, 1964, Vol. 144, N3626, pp. 78-89. K o z a i Y. Revised values for coefficients of zonal spherical harmonics in the geopotential, dynamics of satellites. -Berlin: Springer-Verlag, 1969, pp. 104-108. |
, (1)
(8)
, (9)

(12)
; (15)
. (17)
