Курсовая работа: Подготовка судна к безопасному плаванию и промыслу (по маршруту перехода порт Керчь – промрайон ЮВА)
|
Название: Подготовка судна к безопасному плаванию и промыслу (по маршруту перехода порт Керчь – промрайон ЮВА) Раздел: Остальные рефераты Тип: курсовая работа | ||||||||||||||||||||||||||||||||||||||||||||||||||||||||||||||||||||||||||||||||||||||||||||||||||||||||||||||||||||||||||||||||||||||||
. Курсовой проект по курсу “Навигационная безопасность” Керченский морской технологический институт Керчь 2004 г. 1 Гидрографическое и гидрометеорологическое обеспечение плавания судна на переходах и промысле. Общая характеристика документов и пособий, используемых в судовождении для гидрографического, гидрометеорологического и нормативного обеспечения безопасного мореплавания. Морская карта – содержит уменьшенное измеримое и обобщенное изображение на плоскости моря с прилегающей сушей и предназначается для изучения района плавания и графического решения задач судовождения. Морские карты подразделяются на навигационные, справочные и вспомогательные. Навигационные морские карты состоят из надписей, картографического изображения и дополнительной характеристики. Точность построения на карте не превышает 0,2мм, что определяет ее предельную точность масштаба. По своему масштабу карты подразделяются на генеральные (более 1 000 000), путевые(от 100 000 до 500 000), частные (от 25 000 до 100 000) и план (менее 25 000). Номер карты состоит из пяти цифр. Первая указывает океан, вторая - масштаб, третья – подрайон, четвертая и пятая – номер карты. В навигации используются карты, выполненные в Меркаторской (нормальной, цилиндрической, равноугольной) проекции. На карту наносятся отметки глубин, изобаты, представляющие опасность для навигации подводные объекты, высоты, береговые ориентиры и другая дополнительная информация. Морские пособия – включают в себя Океанские пути мира, Международные правила предупреждения столкновения судов (МППСС-72), Общие правила морских и рыбных портов, Обязательные постановления по портам, Сборник международных соглашений и законодательных актов по вопросам мореплавания, Таблицы ширины территориальных и специальных вод зарубежных государств, Условные знаки на морских картах, Правила совместного плавания и ведения промысла судами рыбопромыслового флота, наставление гидрометеорологическим станциям и постам, астрономические таблицы и пособия. Адмиралтейский номер руководства состоит из четырех цифр. Первая указывает вид пособия, вторая – океан, третья и четвертая – порядковый номер в данном океане. Печатные извещения мореплавателям – издаются ГУНиО МО в виде еженедельных выпусков. Кроме того издаются бассейновые извещения. Каждое извещение имеет порядковый для данного года номер, каждый еженедельник – свой номер и содержит несколько извещений, номера которых указаны на обложке. Для облегчения подбора извещений дважды в год выпускается нумерники, в которых в порядке возрастания адмиралтейских номеров указаны карты, руководства и перечислены номера извещений, по которым они должны быть откорректированы. Кроме печатных выпусков ГУНиО МО готовит извещения мореплавателям, срочно передаваемые по радио. Для облегчения отбора информации Мировой океан поделен на 16 районов, каждый из которых также поделен на подрайоны. В каждом районе указывается страна, осуществляющая сбор, обработку и передачу информации. Районные предупреждения НАВАРЕА нумеруются с начала года по районам и передаются не менее двух раз в сутки. В районах с интенсивным судоходством созданы региональные системы прибрежного предупреждения – ПРИПы. Прибрежные предупреждения передаются не менее четырех раз в сутки в телефонном, телеграфном режимах и с использованием системы НАВТЕКС на английском и национальном языках. Нумерация НАВИП и ПРИП отлична от НАВАРЕА и сквозная в течение всего года. Гидрометеорологические пособия – гидрометеорологические атласы, карты, таблицы и морские атласы. Атласы океанов включают в себя метеорологические данные в виде карт по месяцам такие как облачность, осадки, туманы, ветер у поверхности океана, течения, средняя и максимальная высоты волн, мгновенное положение приливного уровня и т.п. Таблицы приливов издаются ежегодно и содержат информацию об уровне приливов в основных и дополнительных пунктах а также правила пользования таблицами. Атлас тропических циклонов публикуется для акваторий Индийского и Атлантического океанов и содержит описание путей тропических циклонов, скорость, направление их движения и повторяемость на месяц или полмесяца в зависимости от их интенсивности возникновения. Атлас опасных и особо опасных для мореплавания и рыболовства гидрометеорологических явлений содержит ежемесячные карты таких явлений как повторяемость штормового ветра, его скорость, направление, устойчивость, повторяемость и продолжительность ограниченной видимости, ледовая обстановка, карты тропических циклонов, типовые карты синоптических положений при жестоких штормах, карты поверхностных течений. Прогнозы погоды при нахождении судна в море принимаются в телефонном, телеграфном, факсимильном (в виде карт погоды) режимах и через спутниковую системы Инмарсат. Списки станций, осуществляющих такую передачу, приведены в пособиях “Расписание передач навигационных и гидрометеорологических сообщений”, “Расписание факсимильных гидрометеорологических сообщений”, а также в третьем томе “Admiralty list of radio signals”. Передача осуществляется, как правило, на английском и национальном языках. В отличие от текстовых сообщений, факсимильные карты дают информацию в более законченном виде и содержат анализ и прогноз развития ситуации с указанием центров нахождения циклонов и антициклонов, изобар, направление и силу ветра, границы атмосферных фронтов, высоту волнения и направление его распространения и т.п. Нормативные документы и пособия – включают в себя совокупность мероприятий технического, организационного, правового и социального порядка и описывают правила постройки, оборудования и снабжения морских судов, требования к подготовке плавсостава и несению вахт, правила предупреждения столкновения судов и разделения их движения, правила совместного плавания и ведения промысла, правила радиосвязи и установления зон безопасности, системы навигационной и гидрометеорологической информации, правила организации поиска и спасения на море, правила ограждения опасностей, материалы по оформлению и расследованию морских происшествий, требования органов государственного надзора к судам и соблюдением объявленного режима морских путей, нормы охраны морской среды от загрязнения. Нормативные документы и пособия подразделяются на четыре группы: -технические стандарты; -местные и международные правила, регулирующие безопасность мореплавания; -правовые нормы и технические средства организации поиска и спасения людей и имущества; -правовые нормы, технические требования и организационные мероприятия, направленные на предупреждение нанесения ущерба окружающей среде, загрязнению моря и уменьшению последствий аварийных случаев, связанных с выбросом вредных веществ. К первой группе относятся технические стандарты, содержащиеся в Правилах Регистра, Международной конвенции по охране человеческой жизни на море (СОЛАС-74) и правилах зарубежных классификационных обществ. Вторую группу составляют требования по подготовке и дипломированию морских специалистов, изложенные в Кодексе торгового мореплавания Украины, Международной конвенции по подготовке и дипломированию моряков и несения вахты от 1978 года, в приказах и инструкциях Министерства транспорта и Министерства рыбного хозяйства Украины. Все положения по безопасному расхождению судов изложены в МППСС-72 с поправками 81 года и в национальных местных правилах плавания в прибрежных, портовых водах и проливах. Требования к безопасности плавания рыбных судов, занятых рыбной ловлей, изложены в Конвенции о порядке ведения промысла в Северной Атлантике, Инструкции о порядке плавания судов рыбной промышленности, Международной конвенции по безопасности рыболовных судов 1977 года, Правила совместного плавания в ведения промысла судов флота рыбной промышленности. Правила радиосвязи и сигнализации изложены в международном своде сигналов 65 года, Международной конвенции электросвязи 82 года, Правила радиосвязи морской подвижной службы. Правила навигационного ограждения опасностей, условные обозначения и другие сведения об опасностях и изменениях навигационной обстановки изложены в отечественных и зарубежных лоциях, на морских картах, в руководствах и пособиях “Огни и знаки”, “Огни”, “Радиотехнические средства навигационного оборудования”, в извещениях мореплавателям и навигационных предупреждениях, передаваемых по радио. Третья группа документов включает в себя Международную конвенцию по поиску и спасению на море 79 года, международные соглашения Правительства Украины с отдельными государствами о сотрудничестве при спасении жизни и имущества на море, Кодекс торгового мореплавания Украины, инструкции о взаимодействии различных ведомств при оказании помощи судам, терпящим бедствие. Ограничительные требования к нагрузке судов при плавании в различных районах Мирового океана в разное время года изложены в Международной конвенции по грузовой марке 66 года, правилах национального и международных Регистров, Инструкции по обеспечению безопасности морских буксировок. Правила документального оформления расследования и оформления аварийных морских происшествий изложены в Положениях о порядке расследования аварий морских судов. Четвертая группа охватывает Международную конвенцию по предотвращения загрязнения моря нефтью 54 года с поправками, Международную конвенцию по гражданской ответственности за ущерб от загрязнению нефтью 69 года, Международную конвенцию по предупреждению загрязнения с судов 73 года с протоколом 78 года, Международную конвенцию относительно вмешательства в открытом море в случаях аварий, приводящих к загрязнению веществами, иными чем нефть 73 года а также рядом других национальных и международных актов. Судовой журнал ведется с момента приемки судна и до сдачи судна на слом или продажи и относится к официальным документам и обязательно регистрируется и заверяется капитаном порта. В течение двух лет судовой журнал хранится на борту суда, после чего сдается в архив. Сведения, занесенные в судовой журнал приобретают доказательство имевшего место факта и могут быть оспорены только в результате специального расследования. В ряде государств с целью обеспечения безопасности мореплавания в своих территориальных водах издаются специальные правила. В них излагается широкий круг вопросов, начиная от маршрутов переходов и организации службы до использования навигационного оборудования и его минимальный состав, от наличия пособий до плавания до ограничения возраста заходящих в порты судов. Кроме описанных нормативных документов имеется ряд материалов рекомендательного и справочного характера. К ним можно отнести Рекомендации по организации штурманской службы на транспортных и промысловых судах, с которых содержится расширенное толкование ряда руководящих документов, а также отражен опыт морской практики многих поколений мореплавателей. Резолюция ИМО А285 по несению штурманской ходовой вахты освещает опыт применения некоторых международных конвенций, выявленных упущений и недостатков по основным направлениям организации работы на ходовом мостике судна. Подбор и подготовка навигационных пособий. Основным документом, использованным для подбора карт, руководств и пособия явился “Каталог карт и книг” . В данной курсовой работе согласно маршрута перехода использованы две его части: “Средиземное, Черное Азовское и Каспийское моря” и “Атлантический океан”. Согласно схем нарезки карты выбраны по маршруту движения порт Керчь – район ЮВА. При этом для выхода из порта и плавания в узкостях подбирались карты масштаба 1:50 000 и крупнее, при плавании в видимости берегов – путевые карты масштаба 1:100 000 – 1:250 000, при плавании в открытом море в зоне действия радиомаяков и радионавигационных систем дальнего действия – карты масштаба 1:250 000 – 1:500 000, при плавании в значительном удалении от берегов – генеральные карты масштаба 1:1 000 000 и менеее. Результаты подбора карт занесены в таблицу Приложения №1 с последовательности порт отхода, генеральная карта подрайона, путевые карты подрайона, … , путевые карты района промысла. В конце списка находятся карты подходов и мест возможного укрытия. Подбор пособий произведен по сборному листу раздела каталога “Книги”. Результаты подбора пособий занесены в таблицу Приложения №2 Корректура отобранных карт начинается с самого последнего извещения мореплавателям и продолжается в последовательности убывания номеров. Если какое-либо извещения мореплавателям отменяет или заменяет другое (предыдущее) только частично, то такие извещения используются совместно. С целью ускорения процедуры коррекции следуют пользоваться полугодовыми или годовыми нумерниками извещений мореплавателям, а также перечнем карт, подлежащих корректуре по данному выпуску ИМ, являющимся фактически нумерником за неделю. Все исправления на картах выполняются аккуратно, в соответствии с условными знаками, применяемыми на морских картах. При корректуре по постоянным ИМ новые данные наносятся красной тушью (пастой, чернилами). Отмененные обозначения перечеркиваются крестиком, а текстовая часть зачеркивается тонкой линией. Ошибочно нанесенные на карте обозначения перечеркиваются синей тушью (пастой, чернилами). По временным и предварительным извещениям мореплавателей корректура карт выполняются аналогично, но простым остро отточенным карандашом. Вклейки к картам вырезаются и после совмещения контрольных линий, контуров и точек аккуратно наклеиваются на соответствующее место. Дату, которая соответствует вклейке, вырезают и наклеивают рядом с вклейкой на свободном месте карты. После окончания корректуры по ИМ в нижнем левом углу под рамкой карты записываются номера ИМ, по которым произведены исправления на карте. Дату последнего просмотренного выпуска и подпись лица, выполнившего корректуру, ставят в табличке, помещаемой в свободном углу карты. В качестве примера откорректируем произведем корректировку на одной из карт согласно извещений мореплавателям Национальной Гидрографической Ассоциации США. По причине отсутствия карт необходимого масштаба, наиболее подходящей для корректура представляется карты Мраморного моря. Согласно географического локатора (Приложение 3). Мраморное море относится к подрайону 54. Из списка корректур для карт выбираем сообщение из еженедельника №25/04 для английской карты №55040 (Приложение №4 , второе сообщение). Согласно данных координат опознали огонь, как Инджебурун, находящийся на входе в пролив Дарданеллы. Указанная на карте дальность видимости составляет 12М. Красной пастой зачеркивает это значение и рядом вносим новое, равное 16М. За рамкой карты пишем “Откорректировано по ИМ №25/04 NGA USA Шибанов, подпись”. При корректуре пособий в случае, если текст значительно измене, поверх старого наклеивается новый, вырезанный. Если же изменения коснулись лишь незначительной части, то допускается внесения изменений красной тушью (пастой) с предварительным зачеркиванием старых данных. В качестве примера используем информацию для корректировки пособий NGA USA (Приложение №5). Согласно Публикации №113 в пособии “Огни и знаки” для Средиземного и Черного морей вклеим огонь D1591 Cabo Lastres Пр.Бл.(5)25с4М, высота огня над уровнем моря 131метр, сооружение – белая круглая башня высотой 20 метров, ИМ №35/04 Характеристика гидрометеорологических условий плавания. Маршрут перехода порт Керчь – район ЮВА условно разделен на пять участков : Черное море, Мраморное море, Средиземное море, Центральная часть Атлантического океана вдоль западного побережья Африки, Южная часть Атлантического океана вдоль западного побережья Африки. Гидрометеорологические условия плавания для этих подрайонов, выбранные на основании лоций и гидрометеорологических пособий для летнего времени года сведены в таблицу приложения №6. Штурманская подготовка к переходу. Планирование перехода. Заданный маршрут перехода предполагает проход судна через Черное, Мраморное, Средиземное моря, центральную и южную часть Атлантического океана, а также через проливы Керченский, Босфор, Дарданеллы и Гибралтарский. Графическая предварительная прокладка выполнена на картах. Результаты прокладки в прибрежных водах (порт Керчь – выход из пролива Гибралтар) занесены в таблицу Приложения №7 .Прокладки в открытом океане в таблицу Приложения №8 составленных по рекомендованной форме. Сведения об огнях и знаках, радиомаяках и радионавигационных системах, действующих по маршруту движения на основе соответствующих пособий сведены в таблицы : Сведения о маяках и навигационных знаках (Приложение №9). При нанесении на карту дальность видимости огней определялась для глаз наблюдателя 12 метров над уровнем моря т.е. плюс 2,6 мили ко всем табличным данным. Сведения и радиомаяках (Приложение №10) и Сведения о навигационных системах (Приложение №11). Сведения о возможных пунктах захода или укрытия (Приложение №12) Подготовка и плавание в особых условиях. Подготовка к плаванию в особых условиях основана на изучении процедур МКУБ по безопасному плаванию. Цель МКУБ состоит в обеспечении безопасности на море, предотвращению несчастных случаев или гибели людей и избежания причинения ущерб окружающей среде и имуществу. На судне существует разработанная, задействованная и поддерживаемая система управления безопасностью (СУБ), которая включает следующие функциональные требования: 1) политику в области безопасности и защиты окружающей среды; 2) инструкции и процедуры для обеспечения безопасной эксплуатации судов и защиты окружающей среды согласно соответствующему международному праву и законодательству государства флага; 3) установленный объем полномочий и линии связи между персоналом на берегу и на судне, а также внутренней связи; 4) порядок передачи сообщений об авариях и случаях несоблюдения положений настоящего Кодекса; 5) порядок подготовки к аварийным ситуациям и действий по их устранению, 6) порядок проведения внутренних проверок и обзора управления. В соответствии с этим документами четко определена и оформлена ответственность капитана. Судно укомплектовывается квалифицированными, дипломированными и годными в медицинском отношении моряками согласно международным и национальным требованиям. Обязанностями членов экипажа оформляются в виде документов и предоставлены экипажу инструкции, с которыми необходимо ознакомиться до выхода в море. Задачи, связанные с проведением основных операций на судне, касающихся безопасности, должны быть определены и поручены квалифицированному персоналу. Порядок выявления и устранения аварийных ситуаций на судне, программы учений экипажа и отработка действий определены соответствующими инструкциями. Документы, используемые для описания и выполнения СУБ, могут называться "Руководство по управлению безопасностью". Судно должно эксплуатироваться компанией, получившей документ о соответствии требованиям, относящимся к этому судну. Документ о соответствии требованиям должен выдаваться каждой компании, отвечающих требованиям МКУБ Администрацией, организацией, признанной Администрацией или правительством страны, с которой компания ведет свои дела по поручению Администрации. Это документ должен приниматься как доказательство того, что компания способна выполнять требования Кодекса. Копия такого документа должна находиться на судне с тем, чтобы капитан по требованию мог предъявить его для проверки Администрацией или признанной ею организацией. Свидетельство, именуемое Свидетельством об управлении безопасностью должно выдаваться судну Администрацией или организацией, признанной Администрацией. Более подробно рассмотрим подготовку к плаванию в стесненных водах. К навигационным особенностям такого плавания можно отнести следующее: плавание происходит в непосредственной близости от навигационных опасностей; ширина фарватера находится в предельном соотношении с шириной полосы, очерчиваемой судном; изменяется направление фарватера; наблюдаются резкие перепады глубин на фарватере и около него а также значительные приливные колебания уровня моря и приливно-отливные течения, направления и скорости которых не всегда точно известны; плавание происходит на пониженных скоростях когда силы и моменты внешних воздействий на судно соизмеримы с силами и моментами управляющих воздействий, что грозит ухудшением или полной потерей управляемости; В связи с эти используются карты масштаба 1:50 000 и крупнее, которые позволяют учитывать маневренные и инерционно-тормозные характеристики судна и обеспечивать необходимую точность определения и счисления места судна, непрерывно контролируется место судна для своевременного обнаружения отклонения от намеченного маршрута движения, обеспечивается специальная повышенная надежность работы машины, судовых устройств и систем за счет дополнительного вахтенного обслуживания, введения в действие резервных механизмов и повышенной готовности всех лиц вахтенной службы к работе в случае возникновения аварийной ситуации. Специальные меры по обеспечению плавания в стесненных условиях заключают в себе следующее: тщательное предварительное планирование пути с проведением необходимых расчетов; заблаговременная подготовка штурманской службы, четкая организация ее работы с распределением обязанностей в соответствии с опытом судоводителей; более частое определение места судна и учет неодновременности измерения навигационных параметров; повышенную точность счисления пути судна; надежный контроль за достоверностью опознаваемых ориентиров; непрерывный контроль движения судна и изменений окружающей обстановки; учет ветрового дрейфа и сноса от течения с максимально возможной точностью; тщательную подготовку всех судовых служб. Главной предпосылкой безаварийного плавания является тщательная и заблаговременная подготовка к плаванию. Обеспечение контроля за навигационной безопасностью. Для районов со сложной навигационной обстановкой, где требуются частые обсервации при дефиците времени, на крупномасштабных картах или планах заранее строится сетка навигационных изолиний. Каждая линия на этой сетке соответствует постоянному значению навигационного параметра. Сетки вычерчиваются цветными шариковыми ручками и тем же цветом подписываются значения параметра. Использование таких сеток позволяет сократить затраты времени на определение места судна и наносить обсервованные точки на карту способом графической интерполяции между изолиниями на глаз сразу же после измерения параметров. Навигационная безопасность мореплавания может обеспечиваться обсервациями только с учетом из точности и частоты. Однако при выполнении обсерваций нет времени для расчета их точности. Поэтому все расчеты и построения по оценке точности планируемых обсерваций нужно производить заблаговременно при навигационной подготовке к плаванию. Для оценки точности места судна традиционно применяется элипсы погрешностей или средняя квадратическая (она же радиальная или круговая) погрешность. Резолюции ИМО утвержден “Стандарт точности судовождения” , согласно которому стандартной оценкой точности места судна принята 95%-ая фигура погрешности. Такая фигура получается путем увеличения среднеквадратического элипса погрешностей в 2,5 раза. Радиус круга R 95%-ой вероятности для практических целей используют с некоторым запасом равной двум погрешностям места (R=2*M). Точность определения места зависит от погрешностей измерения навигационного параметра и положения судно относительно ориентира. Погрешность измерений характеризуется средними квадратическими значениями m, полученными по результатам специальных исследований. Используя значения m можно предвычислить 95%-ую погрешность определения места судна всеми способами и в любой точке перехода. Результаты такого предвычисления представляются в виде изолиний или маршрутных графиков точности, а также отметками и надписями на графическом плане перехода. В качестве примера произведем расчет и построения маршрутного графика точности для пролива Босфор (точки 8 – 20 согласно таблицы рекомендованных курсов при плавании в прибрежных водах). Расчет произведем по данным колонки “Объекты и пеленги в момент поворота” для пяти способов определения. Оценка точности определения по двум пеленгам производится по формуле
(2.3.1) где DП – разность измеренных пеленгов, D1 и D2 – расстояния до объектов, D – расстояние между объектами, mп – СКП пеленгования, mDл – СКП принятой поправки компаса. Столбики Rмкп, R,гккп и Rрлп рассчитаны по данной формуле с изменением СКП соответственно для магнитного, гироскопического компасов и РЛС. В качестве примера приведем первое значение первого из этих столбиков:
Оценка точности определения по двум расстояниям на примере первой строчки производится по формуле
(2.3.2) где mD – СКП радиолокационного расстояния ( в нашем случае на шкалах менее 4 миль). Оценка точности определения по пеленгу и расстоянию, измеренным по РЛС производится по формуле
где DD предельная погрешность объекта (для шкалы 2 мили принимаем 0,04 кбт) Результаты расчетов по формуле (2.3.1) при измерении пеленгов по магнитному компасу, гирокомпасу и РЛС занесены в таблицу и построены графики Приложения №13 “Ряд 1”, “Ряд 2”и ‘Ряд 3” соответственно. Результаты расчетов по формуле (2.3.2) при измерении двух расстояний по РЛС занесены и построен график в “Ряд 4”. Результаты расчетов по формуле (2.3.3) при определении по пеленгу и расстоянию с помощью РДС занесены в колонку и построен график “Ряд 5”. Расчет приливов. Для определения высоты прилива служат Адмиралтейские таблицы приливов. Определим высоту прилива для стандартного порта Гибралтар в 16:00 на дату прохождения его согласно предварительной прокладки (09 июня). Данные о высоте и времени наступления полной и малой воды и ее уровне берем на соответствующую дату из Приложения 14а (Высокая вода в 05:26 – 0,8м, малая в 12:12 – 0,2м, высокая в 18:48 – 0,8м). На стандартной диаграмме (Приложение №14б) по осям высокой и малой воды откладываем соответственно 0,8 и 0,2м. и соединяем их прямой линией. На шкале разности времени под диаграммой наносим точку 18:48 – 16:00 = - 2 часа 48 минут. Из этой точки до пересечения с кривой прилива проводим прямую вертикальную линию, затем продолжаем ее до пересечения с линией, соединяющей полную и малую воды на рассматриваемую дату (0,2м – 0,8м) и далее проводим вертикальную линию до пересечения с осью высокой воды. В результате произведенных построения получаем, что 9 июня в 16 часов высота воды в порту Гибралтар составляет 0,56 метра. Определим высоту и время наступления полной и малой воды в порту Сеута, который является вторичным по отношению к стандартному порту Гибралтар. Предварительные данные для определения разницы во времени и уровне наступления полной и малой воды по отношению к стандартному порту берем из Приложения 14в. Для получения окончательных данных разницы во времени и уровне наступления полной и малой воды во вторичном порту необходимо произвести ряд графических построений и заполнить Tidal Prediction Form. Определим разницу времени. Нанесем точки (Приложение №14г) соответствующие разнице –0040 в 0000 и 1200 и –0120 в 0700 и 1900 и соединим их линией (красной). Затем по оси Х отложим значения 0626 и 1848, а по оси Y получим соответственно разницу для утренней и вечерней полной воды –0116 (-76 минут) и –0118 (-70минут). Для получения значения разницы малой воды отложим точки –0040 в 0600 и –0140 в 1300. Соединим их прямой (зеленой). По оси Х отложим значение 1212, а по оси Y получим разность наступления малой воды в порту Сеута –0132 (-92 минуты). Для нахождения разности уровней (Приложение №14д) отложим точки 1,0 0,0 и 0,7 +0,1 (красная) для полной воды, и точки 0,3 +0,1 и 0,1 +0,1 (зеленая) для малой воды. Отложив по оси Х значения полной воды 0,8м и малой воды 0,2м для порта Гибралтар по оси Y получим соответственно разницы в уровне полной и малой воды для порта Сеута +0,04м и +0,1м. Сведем полученные данные в итоговую форму. Standard port….GIBRALTAR.. Time/Height required ……. Secondary port ..Ceuta………… Date ..09 June.. Time zone…-0100..
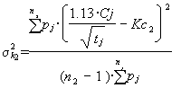
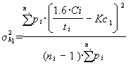
HW 0510 GMT = 0610 LT LW 1040 GMT = 1040 LT HW 1730 GMT = 1830 LT Обеспечение навигационной безопасности в процессе плавания и промысла. Подготовка и контроль работы компасов и лага. Непременным условием контроля навигационной безопасности плавания является своевременная подготовка, исправное состояние и умелое использование технических средств навигации. Компасы, магнитный и гироскопический являются основными приборами, обеспечивающими навигационную безопасность плавания. Компасы и лаг относятся о конвенционным приборам, обязательным для всех морских судов. Контроль за работой компасов в плавании осуществляется вахтенным помощником капитана, которые обязан ежечасно, а также при изменении курса и перевода управления на авторулевой и обратно, сличать курсы по гироскопическому и магнитному компасам. Кроме того необходимо систематически определять поправку гирокомпаса навигационными и астрономическими методами. По створу определяют наиболее надежно и точно поправку любого компаса. Истинный пеленг створа надписан на карте, а пеленгованием при пересечении створа получают его компасный пеленг: DК=ИП-КП. Эта формула дает величину и знак для исправления курсов и пеленгов. Если нет специального створа, то для определения поправки рекомендуется использовать пару приметных и нанесенных на карту ориентиров, истинный пеленг их створа измеряют на карте. При этом предпочтение следует отдавать средствам навигационного ограждения, гидротехническим сооружениям, обрывистым мысам и возвышенностям с острой вершиной, положение которых на карте обозначено наиболее точно. Такие ориентиры наблюдаются как бы в створе, когда угол между направлениями на них до 3’ и погрешность направления створа не превышает 0,10, а расстояние до переднего ориентира не более двойного расстояния между ними. Определение по трем пеленгам следует рассматривать лишь как способ ориентировочного выявления большой погрешности. По пеленгам светил (Полярной звезде, видимому восходу Солнца)надежно и точно поправку можно определить только при из высоте до 300. Для контроля магнитного компаса можно использовать один из приведенных выше способов или сравнить его показания с гирокомпасом, поправка которого уже известна, а также в получении девиации на данном компасном курсе: d=ГКК-КК+DГК-d. Определив таким образом девиацию на компасных курсах Е и W, находят среднюю. Затем любой из этих курсов поворотом продольных магнитов девиационного прибора нактоуза девиацию доводят до средней. Аналогично на курсах N и S уничтожается девиация поперечными магнитами. Креновая девиация уничтожается путем изменения положения вертикального магнита при минимальном рыскании картушки. После чего вычисляется остаточная девиация и составляется ее таблица. В нашем случае определение поправки ГК можно произвести по трем парам створных огней КЕК и двум парам створных огней подхоных каналов КМРП и КМТП. Контроль за работой лага осуществляется путем систематического определения его поправки Dл или коэффициента лага Кл. Согласно Рекомендациям погрешность поправки лага не должна превышать 0,5%. Способы определения поправки лага отличаются лишь тем, как устанавливаются истинное плавания. На мерной линии определение наиболее точно. Такая линия – это полигон у приглубого берега с парой параллельных створов, точное расстояние между которыми указано на карте. Определение сводится к определению пройденного расстояния относительно воды за некоторый промежуток времени. Судно ложится на перпендикулярный секущим створам курс и развивает нужную скорость. Для достижения достаточной точности к началу измерении судно должно развить заданную скорость и удерживать ее в течение всего пробега, курс должен быть постоянный, ветер и волнение не более 2-3 баллов, глубины достаточными, скорость течения минимальна и не меняться в течение всего пробега. При наличии течения измерения производятся два раза (вторые на контркурсе). Определение по точным обсервациям или с помощью РЛС можно осуществить с помощью промыслового буя с пассивным отражателем. Судно отходит от этого буя на 4-5 миль и ложится курсом на него, развивая необходимую скорость и измеряется расстояние до него. При этом замечается момент времени по секундомеру и отсчет лага. Продолжая следовать тем же курсом и пройдя некоторое расстояние, равное рекомендованной длине пробега, снова измеряются те же параметры. Оба расстояния измеряют при помощи ПВД. В формулу поправки лага вместо S ставится D1-D2. Влияние течения исключается, если в качестве ориентира используется свободно плавающий буй ли веха (груз для него заглубляется на величину осадки судна). По фазовой РНС поправку лага определяют, совершая пробег 2-3 мили по нормали к изолиниям-гиперболам. На приемоиндикаторе измеряют расстояние между изолиниями, при пересечении которых по показаниям фазометра приемоиндикатора сняты отсчеты лага. По обсервациям, расстояние между которыми принимают за эталонное при расчетах получают не поправку лага, а поправку плавания, но ее называют и обозначают как поправка лага. Поправкой, полученной таким способом можно пользоваться при счислении, пока условия плавания неизменны. В нашем случае наиболее целесообразным представляется определение поправки лага на мерной линии на ходовых испытаниях перед выходом судна в рейс или относительно плавающего буя после прибытия на промысел. Использование данных методов в процессе перехода маловероятно по причине жесткого графика перехода. Применение же других из рассмотренных выше методов не позволяет исключить элемент течения при однократном проходе судна на измеряемой дистанции. Счисление пути с оценкой точности. Возможные погрешности в значениях элементов счисления, углах сноса и дрейфа, поправках компаса и лага, а также погрешности графических построений на карте, постепенно накапливаясь, приводят к тому, что действительное место судна не совпадает с нанесенным на карту. Поэтому для обеспечения навигационной безопасности счисление нуждается в контроле и коррекции по обсервациям. Устав обязывает вахтенного помощника выполнять обсервации при любой возможности наиболее точным способом. Невязка между счислимой и обсервованной точками оценивается 95% погрешностью Ri, обусловленной погрешностями счислимой Rс и обсервованной Rо точек. Если величина невязки не превосходит ее погрешности, то счисление продолжается по-прежнему. Если же круги погрешностей счислимой и обсервованной точек не перекрывают друг друга, то это служит признаком грубых погрешностей или существенным изменением условий плавания. Чтобы проанализировать данную ситуацию, необходимо проанализировать счисление после последней надежной обсервации: уточнить правильность опознания ориентиров, всех расчетов и построений, послуживших причиной обсервации, повторить обсервацию другим способом по другим ориентирам, сопоставить измеренные глубины около счислимой и обсервованной точек. Даже менее точная контрольная обсервация обеспечивает надежную проверку правильности опознания ориентиров и отсутствие грубых погрешностей. При этом могут возникнуть следующие ситуации: предельный круг погрешностей независимой контрольной обсервации частично перекрыл круг счислимого места. Тогда можно предположить, что при выполнении первой обсервации была допущена грубая ошибка а обсервованное место следует принимать в середине перекрываемого сектора на линии, соединяющей две обсервации, предельный круг погрешности контрольной обсервации частично перекрыл круг первой обсервации. В этом случае опять же была допущена грубая ошибка и обсервованное место следует считать в секторе перекрытия кругов в центре линии, соединяющей центры этих кругов, предельный круг погрешности контрольной обсервации не перекрывает круги погрешностей счислимого места и места первой обсервации. В этом случае два из трех сопоставляемых мест содержат грубые ошибки, а имеющиеся данные не проясняют ситуацию. Следовательно, необходимо выполнить дополнительные контрольные обсервации. Математическое ожидание погрешности счисления в течение интервала времени менее 2 часов изменяется по линейному закону, а при времени более двух часов – по параболическому. При этом СКП счислимой точки в первом случае определяется как Мс(t)=0,7*Кс а во втором как Мс(t)=Кс*t^0,5. Радиальная СКП счислимого места через интервал времени t после последней обсервации Мсч=(Мо^2+Mc^2)^0,5. Эти формулы позволяют оценить точность счисления и точность счислимого места, но для этого надо знать коэффициент точности счисления Кс. Статистический метод оценки коэффициента точности счисления основан на определении его по невязкам. При этом отдельно рассматриваются невязки, полученные при плавании до и более 2 часов после последней обсервации. Для расчета Кс1 и Кс2 используются приведенные выше формулы Мс(t) соответственно. Применяя к этим уравнениям метод наименьших квадратов, получим:
(3.2.1)
(3.2.2) для промежутков времени менее и более 2 часов соответственно, где i – порядковый номер невязки из группы невязок, соответствующих интервалам счисления менее 2 часов, j – порядковый номер невязки из группы невязок, соответствующих интервалам счисления более 2 часов, n1 и n2 – rколичество невязок Ci и Cj соответственно, pci и pcj – веса невязок Ci и Cj соответственно. Вероятнейшее значение коэффициента точности счисления, рассчитывается как среднее взвешенное значение из Кс1 и Кс2.
(3.2.3) где sк1 и sк2 – СКП частных коэффициентов Кс1 и Кс2.
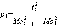
(3.2.4) (3.2.5) Где pi и pj - веса
(3.2.6)
(3.2.7) Расчет по формулам (3.2.1) – (3.2.7) автоматизируется с помощью программируемого микро калькулятора, однако в связи с тем, что все большее распространение на судах получают персональные компьютеры, автором курсового на основании данных примера [2 стр87] с в формате программы Excel (Приложение №15) на основании этих же формул составлены таблицы для расчетов коэффициента счисления и СКП по двадцати невязкам при плавании между обсервациями менее и по двадцать невязкам при плавании между обсервациями более 2 часов. При этом в ячейки, обозначенные зеленым цветом заносятся исходные данные, а ячейки, обозначенные желтым цветом содержат формулы. Колонки 6-9 обоих таблиц являются вспомогательными для облегчения ввода формул и при использовании могут быть скрыты. Расхождения между конечными результатами первоисточника и полученными мною во втором знаке после запятой обусловлены разной точностью вычисления ПМК и ПК. В качестве примера составим графический план коррекции счисления для участка плавания в открытом океане после последнего поворота, когда единственными возможными средствами определения места судна останутся РНС “Омега” и среднеорбитальные спутники. Фазовая гиперболическая РНС “Омега” является глобальной сверхдлинноволновой системой. Основная ошибка в измерении навигационного параметра вызывается суточными и сезонными вариациями фазы колебаний, которые зависят от высоты Солнца в точке наблюдений и на трассе распространения радиоволн. Днем, когда трасса полностью освещена, СКО измерения разности фаз равна порядка +/-(0,04-0,05) фазовых циклов, ночью +/-(0,06-0,09) ф.ц. [19 стр 230-231 ]. Согласно [3 стр70] +/_ 0,1 и 0,15 ф.ц. соответственно. Большие ошибки наблюдаются в период захода-восхода Солнца (0,3 ф.ц. и более). Расчет СКП для всех пяти значений СКО приведен в Приложении 16, выполненного в EXCELe. Там же также произведен расчет и построен график необходимого времени коррекции счисления. При вычислении использовались следующие формулы с примерами расчета первого значения колонки: СКО определения разности расстояний
Радиальная СКП места
(3.2.9) СКП счислимого места через время t.
(3.2.10) Коэффициент погрешности счисления может принимать значения от 0,5 до 2,5. При счислении продолжительностью до полусуток можно применять линейную зависимость линейную зависимость погрешности счисления от времени, принимая Кс=1,3 [2 стр. 105] По результатам расчетов и построений можно сделать вывод о том, что данная РНС удовлетворяет современным требования ИМО к точности определения (М=2 мили) только при самых благоприятных условиях. При этом коррекцию счисления после произведенных по ней обсерваций необходимо производить днем не позднее чем через 1 час 16 минут, а ночью не позднее чем через 22 минуты. Точность измерения визуальных навигационных параметров. Магнитный компас благодаря высокой надежности и постоянной готовности является обязательным на всех судах, выходящих в море. При подготовке к плаванию проверяется свободное вращение пеленгатора, правильность установки его призмы и нитей, годность таблицы девиации и соответствие записанных в ней и фактических положений магнитов девиационного прибора в нактоузе. Пузырь воздуха над поплавком мартушки увеличивает ее застой, поэтому переворачивая котелок такой пузырь перегоняют в нижнюю камеру котелка. После этого проверяют картушку на застой, отклоняя ее любым магнитом в обе стороны на 1-20, фиксируя затем остаточные отклонения. Если угол застоя превышает четверть градуса, то заменяется шпилька. Гирокомпас подготавливается к плавания согласно Правил технической эксплуатации, а также соответствующей инструкции для гирокомпаса, установленного на судне. Независимо от типа гирокомпас запускают заблаговременно (не менее чем за 6 часов до отхода судна), чтобы он пришел в меридиан. После этого производится согласование всех репитеров, курсографа и других сельсин-приемников (авторулевой, РЛС, радиопеленгатор и т.п.). с основным прибором, сличается с магнитным компасом, проверяется согласование перьев курсографа, ставится отметка судового времени с датой на его ленте. До начала движения определяется поправка ГК по пеленгам удаленных ориентиров, нанесенных на карту. Измерениями на карте переходим к истинным пеленгам ориентиров и рассчитываем поправку для каждого из них. DГК = ИП – ГКП. Среднее из полученных значений поправок и принимается в качестве постоянной поправки гирокомпаса. При выходе из порта можно проверить контрольные определения постоянной поправки по всем пересекаемым створам. В плавании необходимо следить за своевременной перестановкой корректора гирокомпаса по широте, а также – при ее изменении – по скорости. Если составляющая скорости судна вдоль меридиана не более 15 узлов, то установка корректора по широте исключает скоростную девиацию с погрешностью не более 0,10. Лаг подготавливается к работа в соответствии с требованиями инструкции по его эксплуатации. Работы в шахте лага одному без освещения и страховки сверху запрещено. Когда в шахте нет людей она должна быть герметически задраена. Пускать и выключать лаг можно только по разрешению капитана. При подготовке лага к плаванию проводится его осмотр, пробное включения электросхемы по инструкции, установка нуля, проверка соответствия установки корректора записям в формуляре и наличие таблицы поправок у репитеров, заполняются формуляры. Как бы тщательно не велось счисление пути судна, оно не может обеспечить безопасность плавания. Поэтому определение места судна в море по ориентирам с известными координатами является необходимым условием обеспечения безопасности. Однако результаты измерений, используемых при визуальном определении места судна всегда содержат систематические и случайные ошибки. Возможны также и грубые ошибки – результат промахов в измерениях. Все способы определения места судна в море основаны на измерении расстояния и направления (или их комбинации). Основная характеристика точности измерения – стандартная круговая ошибка e, характеризующая радиус вероятного (68,3%) места нахождения судна. Наряду с СКО применяется и предельная ошибка (99%) равная 3*e. Измерения с ошибкой более предельной расцениваются как промахи и отвергаются. Для определения СКО рекомендуется метод размаха. Для этой цели при стоянке судна на открытом рейде выполняется не менее пяти измерений навигационного параметра. Затем определяется размах R, являющийся разностью между измеренным максимальным и минимальным значениями. Тогда стандартная ошибка одного измерения e=kп*R, а СКО серии измерений Е=Кп*R. Коэффициенты выбираются из таблицы
Например произвели пять измерений пеленга огня Румели (Приложение 7 точка 8) и получили следующие значения : 225,10 , 225,30, 224,80, 225,00, 224,90. Тогда размах R= 225,30 – 224,80 = 0,50 Для пяти измерений коэффициенты равны 0,430 и 0,192 e=0,430 * 0,50 = 0,20 Е=0,192 * 0,50 = 0,10 Для ориентировочного суждения о точности измерения навигационного параметра служит следующая таблица:
В качестве ориентировочных стандартных значений неизвестных систематических ошибок можно принимать для пеленгов s=+/-(0,5-10), для углов измеренных секстаном s=+/-(1-1,5’). При использовании визуального определения по нанесенным на карту и опознанным ориентирам выбирают по возможности наиболее близкие к судну и хорошо видимые с места наблюдения. Результаты наблюдений а также время по судовым часам и отсчет лага на момент наблюдения подлежат немедленному занесению в судовой журнал. Обработка результатов осуществляется в тетради штурманских расчетов. Рассмотрим методы визуального наблюдения, используемые для определения места судна на море. Способ определения по двум пеленгам – является одним из наиболее распространенных в навигации. Сущность его состоят в следующем. В быстрой последовательности берут пеленги двух предметов. Исправив их поправками компаса, прокладывают на карте. В точке пересечения пеленгов получаем место судна. При этом для повышения точности определения желательно чтобы угол между пеленгами был в пределах 30-1500, но лучше ближе к 900. Первым нужно брать пеленг ориентира, расположенного ближе к диаметральной плоскости судна. При скорости судна менее 18 узлов и прокладке на путевой карте пеленги, измеренные в течение одной минуты можно считать взятыми из одной точки. Если же прокладка осуществляется на картах более крупного масштаба, то тогда проводится измерение П11, П2 и снова П12. После чего рассчитывается средний П1ср=(П11+П12)/2. На карте откладывается П1ср и П2. При этом судно будет находиться в точке пересечения пеленгов на момент взятия пеленга П2. Если обсервация выполнена на конец вахты, при смене курса, постановке на якорь, в момент начала или конца дрейфа, то в журнале записывается (например): 12.00 , ОЛ=12,5 , ГКП маяка Ближний 400 , ГКМ маяка Дальний 1300 j=…0…’, l=…0….’, С=….0 - ….. миль. Чтобы убедиться в достоверности места выполняется несколько определений. Если обсервованные точки находятся на одной прямой и на расстоянии, пропорциональном изменения отсчета лага, то место считается достоверным. Оценка точности определения места произведена по формуле (2.3.1) подраздела 2.3 данного курсового и для точки составляет №8 Приложения №7 составляет R=0,171кбт (при определении по магнитному компасу). Способ определения по трем пеленгам – один из наиболее точных. Для этого в быстрой последовательности один за другим берутся пеленги предметов А, В и С, которые после исправления их поправкой компаса откладываются на карте. При выборе ориентиров для пеленгования для повышения точности определения места судна желательно, чтобы углы между ними лежали в пределах 60-1200, а лучше равнялись 1200. Если расстояние до ориентиров более 10 миль, а измерение всех пеленгов произведено менее чем за половину минуты, то можно считать, что они сделаны из одной точки. Если это условие не соблюдается, то берутся пять пеленгов трех ориентиров в последовательности КПА1, КПВ1, КПс, КПВ2, КПА2, после чего вычисляется средние арифметические пеленги на объекты А и В, которые вместе с пеленгом ориентира С откладываются на карте на момент взятия последнего. Однако из-за неизбежного действия ряда факторов пеленги обычно не пересекаются в одной точке, а образуют треугольник погрешности. В зависимости от знака этих погрешностей реальное место нахождения судна может оказаться как внутри, так и вне пределов этого треугольника. Для решения этой проблемы сознательно все три пеленга изменяются на 2-40 и на карте по новым пеленгам строится новый треугольник погрешности, после чего их соответствующие вершины соединяются. В точке пересечения этих трех линий и будет находится истинное место судна. Точность полученного места ориентировочно можно оценить R=+/-(2*0,15*Dср) Способ определения по разновременным пеленгам – обычно используется, когда на видимости судна имеется только один ориентир для взятия пеленга. Для получения удовлетворительной точности определения места судна желательно, чтобы угол между взятием пеленгов был в пределах 50-700 , но не менее 300, при этом взятие первого пеленга желательно производить до траверза ориентира а второго – после. Обработка результатов измерений состоит в исправлении взятых пеленгов поправкой компаса и расчете пройденного по лагу расстояния за время между моментами измерений. После чего от точки пересечения первого пеленга с линией курса по направлению движения линия этого пеленга параллельно самому себе переносится на пройденное по лагу расстояние. Место судна будет находиться в точке пересечения первого перенесенного пеленга и второго пеленга, чем достигается приведение разновременных пеленгов к одному месту и времени. Можно упростить процедуру определения, если наблюдать ориентир на одном из заранее рассчитанных пеленгов на КУ 45, 63 или 720 и затем на траверзе судна. С регистрацией каждый раз времени и отсчета лага В этом случае Dтр соответственно курсовым углам будет равно одно, двум или трем значениям Sл. Данный метод относится к счислимо-обсервованным, так как в процессе определения используются как обсервованные, так и счислимые параметры. Для оценки точности счислимо-обсервованной точки используется формула СКО для определения места по двум пеленгам умноженная в 1,5 – 2 раза т.е. для точки №8 Приложения №7 R=2*0,171=0,342кбт Способ определения по пеленгу и расстоянию – используется в светлое время суток на ориентиры, высоты которых известны. Метод рекомендуется для ориентировочного наблюдения, когда расстояние до ориентира больше дальности действия РЛС. Вертикальный угол измеряется секстаном, после чего процесс обработки по формуле D=h*ctga переходит в плоскость определения дистанции до ориентира. Для приближенных расчетов можно воспользоваться формулой D=1,86*h/a’(в метрах)=0,57*h/a’(в футах). Если скорость судна большая, а расстояние невелико, то измерение пеленга производится дважды – до и после измерения вертикального угла. Для приведения навигационного параметра к одному месту и времени вычисляется среднее арифметическое пеленга, а обсервованная точка считается взятой на момент определения вертикального угла. Точность измерения вертикального угла зависит от измеряемого расстояния, причем ошибки увеличиваются примерно пропорционально квадрату расстояния. Однако во многих случаях практики приходится считаться и с возможной ошибкой высоты предмета над уровнем моря из-за колебания последнего. Ошибки в измерении угла и в знании высоты независимы, поэтому формулу общей ошибки имеет вид
(3.3.2) ma – средняя квадратическая ошибка измерения секстаном равна около +/-2’ mh – средняя квадратическая ошибка в определении высоты предмета ( в районах без приливов можно принять равной +/-0,3 метра. Так высота огня Румели над уровнем моря составляет 58 метров. Секстаном измерен вертикальный угол огня равный 18053’
Дальнейший расчет осуществляется по формуле для определения погрешности пеленга и дистанции . Способ определения по двум углам – является наиболее точным. Наиболее благоприятны для такого определения ориентиры, находящиеся на одной прямой. Если при этом углы равны около 600 и расстояния примерно одинаковы, то СКО обсервованного места равна 0,01Dср (миль). Для получения обсервованной точки секстаном снимаются два горизонтальных угла между тремя ориентирами. При этом для повышения точности первый угол можно измерить дважды – до и после измерения второго с последующим вычислением его среднего арифметического значения. Для построения на карте можно воспользоваться протрактаром, отложить измеренные углы на кальке с последующим совмещением с ориентирами или решить задачу графически. Для этой цели на карте ориентиры соединяются между собой двумя линиями. Из середины каждой из них строится нормаль в направлении моря. От вершин углов, лежащих у ориентиров во внутрь каждого из треугольников откладываются углы 90-a для первой пары и 90-b для второй пары. В точке пересечения нормали и линий двух этих углов и находится центр описываемой окружности, проводимой через пару ориентиров (линии положения). В двух точках пересечения окружностей и будет находится судно. Многозначность решается логически, так как одна из точек находится гораздо ближе к берегу, чем вторая. Как показывает анализ, при получении обсервованного места судна на карте графические ошибки в 3-4 раза превышают ошибки измерений. Для оценки точности определения данным методом можно воспользоваться следующей формулой.
(3.3.3) где q - угол пересечения линий положения (окружностей). 4. Навигационное обеспечение промысловой работы и маневрирования судна. 4.1 Расчет и построение сетки промыслового планшета. Промысловый планшет построен на основании карты предполагаемого района промысла масштаба 1:200 000 и пересчитан в 2,5 раза. Окончательный полученный масштаб планшета 1:80 000. Протяженность его по меридиану составляет 30 минут, по параллели 45 минут (с захватом береговой черты). На промысловый планшет нанесена вся имеющаяся навигационная и промысловая информация (расположение береговых ориентиров, граница территориальных вод и ее защитная зона, глубины и грунты, места возможных зацепов орудий лова). 4.2 Изолиния на промысловый планшет. Измеряемые для определения места судна направления, расстояния или их производные до объектов с известными координатами называются навигационными параметрами. Геометрическое место точек, отвечающих постоянному значению навигационного параметра, называются навигационной изолинией. В районе промысла ЮВА действует две гиперболических РНС “Омега” и “Декка”. Первая, в силу своей невысокой точности определения (см. Приложение №16) не пригодная для использования в условиях промысла в прибрежной рыболовной зоне. Фазовая РНС “Декка” наоборот получила широкое распространение при плавании вблизи берегов в узкостях. В основу ее работы положен принцип измерения в точке прием разности фаз когерентных источников. Эти колебания принимаются на судне специальным прибором – фазомером. Изолиния РНС “Декка” – гипербола. Пространство на земной поверхности, заключенное между гиперболами, проведенными через точки, для которых разность расстояний от точки приема до двух рассматриваемых станций D1-D2 кратно lм, или, что то же самое, для которых разность фаз равна 0(p), называется дорожкой (грубой) и обозначается первыми десятью буквами английского алфавита. Число точных дорожек в грубых: в красной –24, в зеленой-18, в фиолетовой-30. Совокупность станций РНС называется цепочкой и состоит из трех пар станций. Ведущая станция для всех общая и располагается в центре, а ведомые носят название: красная, зеленая и фиолетовая. Все станции работают непрерывно незатухающими колебаниями. На карту наносятся гиперболы соответствующих цветов. На планшет нанесем перенесем сетку изолиний РНС “Декка” с карты 31072D9C. Произведем оценку 95%-ой круговой погрешности определения места пяти (SW, SE, NW, NE углов планшета и его центра по формуле.
mDФ – СКП измерений разности фаз, ф. ц. d1 , d2 – ширина каждой из точных дорожек вблизи места судна, мили Dt - угол между градиентами в том же месте r – коэффициент корреляции. Для измерения угла по нормали к каждой из них в точке пересечения изображаем стрелку в сторону возрастания отсчетов. Угол между этими стрелками и есть искомая величина. В качестве примера рассчитаем по формуле (4.2.1) значение 95%-ой СКП для первой точки. Полный расчет для всех пяти точек произведем в Приложении №17 с помощью программы EXCEL 4.3 Задача маневрирования на промысловом планшете. Рассмотрим решение на карте с помощью диаграммы циркуляции решение прямой задачи (Приложение №18а). Пусть судно осуществляет траление курсом 00 со скоростью 6,0 узлов. Необходимо повернуть на курс ИК=900 путем перекладки руля вправо на 150 . На момент начала маневра судно находилось в точке 22044,0’S 14000,4’E. База трала составляет 370м (2 кбт), расстояние до кутка трала 60м(1/3кбт). Построим траекторию движения судна, нанося на карту в согласно диаграммы циркуляции точки, определяемые углом по отношению к первоначальному курсу и расстоянием от начальной точки маневра для курсов судна 100, 200, … 900. При этом учтем, что после перекладки руля до начала поворота судно проходит прежним курсом около 4,5 кбт.
Таким образом, после выполнения данного маневра судно окажется в точке с координатами 22042,04’S 14002,23’E. Построим траекторию движения трала графическим методом. Для этого из точки, соответствующей курсу судна 100 проведем прямую в точку положения кутка трала в начале поворота и отложим на ней 21/3 кабельтова. Получим точку положения кутка трала при курсе судна 100. Из точки судна при курсе 200 проложим прямую, соединив ее с положением кутка трала при курсе 100 и отложим на ней 21/3 кабельтова. Получим точку положения кутка трала при курсе 200. Проведя аналогичные построения, получим полную траекторию движения трала при выполненном повороте. Рассмотрим решение обратной задачи. Пусть судно с тралом со скоростью 6,0 узлов движется курсом ИК1=1700. Параметры трала те же, что и при решении прямой задачи. При этом по курсу траления находится участок дна с высокой вероятностью зацепов и, следовательно, повреждения трала. Путем перекладки руля вправо на 150 необходимо пройти в 2 кбт. от опасности, оставив ее с левого борта. Определить точку начала поворота судна и курс, на котором будет находиться судно в момент заданного траверзного расстояния о опасности. На диаграмме циркуляции судна произведем следующие предварительные действия (Приложение №18б). Впишем отрезок, равный 2 кбт. по нормали к кривой циркуляции между ней и прежним курсом судна. Из произведенного построения видно, что заданное траверзное расстояние будет наблюдаться при выходе судна на курс 260. При этом точка траверза находится на пеленге 100 и дистанции 11 кбт от необходимой точки начала маневра. Переходя к исходному курсу получим, что в момент траверза опасности судно выйдет на курс ИК2=1700+260=1960 а точка начала поворота лежит на пеленге ИП=1700+100=1800 или ОИП=00 дистанция 11,4 кбт, что соответствует на карте точке с координатами. Отложим на карте траекторию движения судна по точкам, учитывая, что судно начнет поворот пройдя еще 4,5 кбт прежним курсом.
После проведения графических построений получаем точку начала поворота судна 22042,03’S 14004,1’E, точку на расстоянии 2 кабельтов от опасности 22043б18’S 14004,1’E. По приведенному выше методу произведем графическое построение траектории движения трала при выполнении данного маневра. Рассмотрим ситуацию расхождения двух судов, идущих с тралами на встречных курсах. Пусть наше судно движется со скоростью 6,0 узлов ИК1=00. После снятия двух пеленгов и двух дистанций на маневренном планшете определили параметры движения встречного судна В V=6,8 узлов, ИК2=1800. Полагаем, что поворот будет производиться только нашим судном. Необходимая дистанция расхождении при траверзе судов 2,0 кабельтовых. Поскольку угол отворота 150 для нас задан условием задачи, то ее решение сводится к определению минимальной дистанции между судами, при которой выполнение условия расхождения в 2-х кабельтовых еще возможно. Для ее расчета воспользуемся формулой:
D – минимальное траверзное расстояние между судами, кабельтовы, V2 – скорость встречного судна, узлы, V1 – скорость своего судна, узлы, y1 – угол перекладки руля, градусы, S – расстояние между судами на момент начала маневра, кабельтовы. Произведенная на карте предварительная прокладка показывает, что данная формула не учитывает задержку между временем перекладки руля и началом движения судна (точка А1), которая согласно графика циркуляции нашего судна составляет 4,5 кабельтова, следовательно, минимальная дистанция при исходных данных должна составлять 19,9кбт + 4,5кбт = 24,4кбт (точка А2). Во избежание расчетов при реальном расхождении судов можно составить таблицу, к которой заранее рассчитать минимальную дистанцию между сближающимися судами при заданном угле перекладки руля и различных соотношениях их скоростей. 4.4 Организация навигационного обеспечения при несении ходовой вахты на промысле. Для обеспечения оперативной радиотелефонной связи судна с другими промысловыми судами на ходовом мостике находятся две радиостанции УКВ диапазона, а также ПВ-КВ радиостанция. При работе судна в группе других промысловых судов на промысле в качестве вызывного канала как на УКВ, так и на ПВ диапазонах в качестве вызывного канала для этой группы в данном районе промысла может быть выбран канал, отличный от общепринятых международных каналов и частот вызова и бедствия. Промысловым судном при лове рыбы путем траления согласно МППСС-72 должны выставляться следующие огни и знаки: два круговых огня, расположенных один над другим, верхний из которых – зеленый, нижний – белый или знак, состоящий из двух конусов вершинами вместе, расположенных один над другим или для судна длиной менее 20 метров – корзина; топовый огонь позади и выше зеленого, судно длиной менее 50 метров может не выставлять такой огонь; если судно имеет ход относительно воды, то в дополнение к предыдущим огням выставляются бортовые и кормовой огни. Суда, занятые траление в дополнение к предыдущему пункту могут выставлять: когда они выметывают снасти – два белых огня, расположенных по вертикальной линии; когда они выбирают снасти – белый огонь над красным, расположенные по вертикальной линии; когда снасть зацепилась за препятствие – два красных огня, расположенных по вертикальной линии. Промысловые суда, находящиеся на виду друг у друга могут показывать свой маневр используя свисток или следующие световые сигналы: один короткий звук (один проблеск) – я изменяю свой курс вправо; два коротких звука (два проблеска) – я изменяю свой курс влево; три коротких звука (три проблеска) – мои движители работают на задний ход. Когда суда, находящиеся на виду друг у друга, сближаются и по какой-либо причине одно из них не может понять намерений или действий другого судна или сомневается в том, предпринимает ли это судно достаточное действие для предупреждения столкновения, оно должно немедленно сообщить об этом подачей не менее пяти коротких и частых звуков свистком (не менее пяти проблесков). В случае ограниченной видимости судно, занятое ловом рыбы должно подавать через промежутки не более двух минут один продолжительный и два коротких звука. Если же оно находится на якоре, то через промежутки не более одной минуты учащенно звонит в колокол в течение пяти секунд, а также может дополнительно подавать сигнал свистком – один короткий, один продолжительный и один короткий. При несении вахты на промысле и в особых условиях основные обязанности членов ходовой вахты заключаются в следующем: вахтенный помощник капитана удерживает судно на заданном курсе, не менее одного раза за вахту проверяет поправку компаса, проверяет состояние ходовых и навигационных огней, в течение всей вахты базотлучно находится на мостике, ведет техническое и визуальное наблюдение за окружающей обстановкой, регистрирует в судовой журнале все происходящие события, ведет счисление пути на карте и осуществляет его корректировку, в случае возникновения опасности может изменять курс и скорость судна и немедленно докладывает об этом капитану, с разрешения капитана осуществляет промысловое судовождение, определяет маневренные элементы движения встречных судов, следит за промысловой обстановкой, маневрирует при операциях с орудиями лова с целью создания благоприятных условий при их выборке и постановке, следит за соблюдением членами траловой команды правил техники безопасности, при возникновении опасности может самостоятельно объявлять судовые тревоги и немедленно ставить в известность капитана, ведет наблюдение за информацией, поступающей по каналам аппаратуры, установленной на мостике, докладывает капитану при ухудшении условий плавания и поломках на судне. матрос рулевой с разрешения вахтенного помощника принимает от сдающего курс, способ управления судном и докладывает вахтенному помощнику повторяя принятые параметры, знает и исполняет команды, даваемые рулевому, выполняет команды только вахтенного помощника капитана, капитана или лоцмана по указанию капитана, знает основные сведения о компасах, авторулевом, аварийном управлении рулем и умеет их эксплуатировать, знает назначение сигналов и знаков, немедленно докладывает вахтенному помощнику капитана об отклонениях параметров и неисправностях используемой им аппаратуры. матрос впередсмотрящий выставляется на вахту на переходах судна и в случае ухудшения навигационной обстановки и немедленно докладывает вахтенному помощнику капитана обо всем, замеченном им. матрос лебедчик осуществляет оперативное управление грузовыми и траловыми лебедками во время операций с орудиями лова и выполняет указания вахтенного помощника капитана. В случае объявления тревоги вахтенная служба действует на основании индивидуальных расписаний по тревогам. В Приложении №19 приведена типовая схема расположения вахтенной службы, а также основной, находящейся на мостике и используемой навигационной и связной аппаратуры на примере судна типа РТМ-А (Сиваш). Список литературы Ольховский В.Е. “Навигация и промысловая навигация” 1979г. Груздев Н.М. “Оценка точности морского судовождения” 1989 г. Кондрашихин “Справочник судоводителя по навигационной безопасности” 1990 г. “Каталог карт и книг. Средиземное, Черное, Азовское и Каспийское моря”. “Каталог карт и книг. Атлантический океан”. “Океанские пути мира” 1980г. Лоции “Черного моря”,“Средиземного моря”,“Мраморного моря и проливов Босфор и Дарданеллы”,Эгейского моря”, ЭЗападного побережья Африки Часть 1 віпуски 1 и 2, Часть 2”. “Огни Средиземного моря Часть 1 и 2”, “Огни западного побережья Африки” Радиотехнические средства навигационного оборудования “Черного и Средиземного морей”, “Северной части Атлантического океана”, “Южной части Атлантического океана”. “Атлантический океан” Козлов “Оценка точности определения места судна и поправки компаса” 1974г. Кондрашихин “Визуальное определение места судна и поправки компаса” 1974г. Николаев “Оценка точности плавания судов флота рыбной промышленности” 1977г. Бушляр “Организация службы на судах флота рыбной промышленности СССР” 1979г. Карапузов “Безопасность маневрирования судов при совместном траловом промысле” 1984г Лушин “Рыбопромысловые районы ЦВА и ЮВА” 1972г. “Admiralty Tables of Tides” Извещения мореплавателям и информация по корректуры карт и пособий National Geospatial Intelligence Agency, USA http://pollux.nss.nima.mil/untm/untm_i_options.html?class_flag=N Лесков “Навигация” 1986г. А.Шибанов |
||||||||||||||||||||||||||||||||||||||||||||||||||||||||||||||||||||||||||||||||||||||||||||||||||||||||||||||||||||||||||||||||||||||||


(2.3.3)
кбт






Точность вычисленного по формуле (3.2.3) коэффициента Кс оценивается СКП




