Статья: “Тёмная масса”. О механизме возникновения иллюзии нехватки массы

Название: “Тёмная масса”. О механизме возникновения иллюзии нехватки массы
Раздел: Рефераты по науке и технике
Тип: статья

“Тёмная масса” . О механизме возникновения иллюзии нехватки массы

Рындюк Константин Дмитриевич

Забегая вперёд, выскажем мнение, что иллюзия нехватки возникла вследствие недостаточно полной осведомлённости о свойствах пространства-времени. Ниже предложена статья, которая раскрывает этот тезис.

Чтобы понять суть этой проблемы, давайте ретроспективно вернёмся к тем поворотным пунктам развития научной мысли, когда были выдвинуты те или иные предположения – гипотезы.

В начале прошлого века астрономы обнаружили красное смещение в спектрах излучения объектов (звёзд, галактик и т.д.) во Вселенной. Эдвин Хаббл нашел, что это красное смещение зависит от расстояния до объекта. А по последним данным наблюдения за объектами во Вселенной, это красное смещение возрастает со временем. Как было отмечено выше, в силу неосведомлённости о свойствах пространства-времени, было выдвинуто предположение – что, это красное смещение является проявлением эффекта Доплера. А эффект Доплера предполагает движение каких-либо частей в системе. Наличие красного смещения в спектрах излучения объектов во Вселенной трактуется так, что эти объекты удаляются от наблюдателя. И все объекты во Вселенной удаляются друг от друга. А значит так, что ранее вся Вселенная представляла собой компактное плотное образование, которое в силу случившегося вселенского катаклизма “Большого Взрыва” начала расширяться.

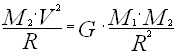
Далее, Фриц Цвикки (1933) изучая вращение отдалённой галактики вокруг скопления других галактик обнаружил, что для гравитационной устойчивости этой системы не хватает видимой массы. Остановимся и более подробно рассмотрим этот ключевой пункт развития научной мысли. Абстрагируясь, эту систему, в которой удалённая галактика вращается вокруг центра масс скопления других галактик, можно представить как Кеплерову задачу, в которой одно тело (объект) М2 вращается вокруг более массивного тела М1 . Центробежная сила инерции движения по окружности малого тела массой М2 вокруг массивного тела массой М1

уравновешивается силой их взаимного притяжения

(Закон Ньютона), ,

где G – гравитационная постоянная.

Фриц Цвикки обнаружил, что (как бы сказали бухгалтеры – не сошелся баланс – дебет с кредитом) эти две силы не равны.

Для устранения этого несоответствия учёными были выдвинуты следующие гипотезы:

- Фриц Цвикки (1933) – во Вселенной присутствует невидимая “Тёмная Масса”, - которая зрительно не обнаруживается, но своим гравитационным полем влияет на движение объектов во Вселенной.

- Мордехай Мильгром (1987) высказал другое предположение, что

закон Ньютона в межгалактических масштабах не верен и предложил ввести поправки к нему.

Но всё дело в том, что не учитывались те “новые” свойства пространства-времени, о которых тогда не было представлений, когда выдвигались эти гипотезы. (Что пространство-время комплексное, этим и породило проблему “Тёмной Массы”, но в ней же самой и находится ключ решения этой проблемы). К этой Кеплеровой задаче мы вернёмся ниже, дополнив её с учётом “новых открывшихся обстоятельств”. А сейчас расскажем о тех ранее неисследованных свойствах пространства-времени. Что мы о них знаем? Физический смысл этих “новых” свойств в том, что – “Вследствие того, что все объекты во Вселенной излучают энергию, вокруг этих объектов пространство-время меняет свои свойства. Эти изменения свойств проявляются как увеличение времени прохождения сигнала от объекта до наблюдателя. А увеличение времени прохождения сигнала от объекта равносильно тому, что этот объект наблюдается дальше. Смещение спектра в “красную” сторону свидетельствует тому, что время прохождения сигнала увеличилось. Непрерывное воздействие этого фактора приводит к тому, что этот объект наблюдается всё дальше и дальше, то есть он “удаляется” от наблюдателя. Скорость “удаления” напрямую зависит от времени воздействия этого фактора и относительной мощности излучения объекта. Чем больше времени прошло, тем выше скорость, с которой объект “удалился”. А соответственно и расстояние “удаления” до него”.

Давайте, акцентируем внимание на том, что этот объект не перемещается от наблюдателя, а наблюдается как “удаляющийся”. Здесь мы имеем дело с мнимым перемещением “удалением”. Скорость этого “удаления” в общем случае представляет собой закон Хаббла, который показывает, что – “Лучевая скорость V* любого объекта во Вселенной (галактики, квазара и т.д.) измеренная с помощью красного смещения пропорциональна расстоянию R до него”.

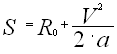
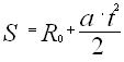
То есть , где – постоянная (константа) Хаббла. Здесь автор сделал оговорку “в общем случае”, на самом деле скорость “удаления” зависит от относительной мощности излучения объекта. А как показано в предыдущей работе автора “Новая модель эволюции Вселенной” постоянная Хаббла представляет собой среднее значение относительной мощности излучения всех объектов во Вселенной, в чём и проявляется трудность её точного вычисления. В данном случае это обстоятельство не имеет принципиального значения. Дальше для объяснения используем формулы из школьного курса физики. Приведём формулы ускоренного движения тела.

и , где

V – скорость,

a – ускорение,

t – время,

R0 – первоначальное удаление.

Преобразуем эти последние формулы, так чтобы в них присутствовали скорость и ускорение (они нам доступны). .

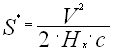
Как нам найти ускорение? Для этого в формуле закона Хаббла

заменим на выражение ,

где – скорость света,

а – время.

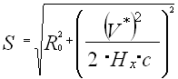
То получим , где новое выражение – является ускорение. В этом преобразованном законе Хаббла показано, что скорость “удаления” – возрастает со временем, а последние наблюдения астрономов подтверждают это. Как выше было подчеркнуто, что скорость “удаления” является величиной “кажущейся” мнимой. То по правилам проведения операций с комплексными числами – выпишем формулу наблюдаемого расстояния

,

где – комплексное значение наблюдаемого расстояния,

– действительное расстояние от объекта до наблюдателя,

– мнимое расстояние “удаления” этого объекта.

Рассматривая эту формулу, можно заметить, что наблюдаемое расстояние всегда заведомо больше действительного. Но заметное превышение, наблюдаемого расстояния над действительным, начинает сказываться только в межгалактических масштабах. Кстати, в этих же межгалактических масштабах, Фриц Цвикки “нашел” свою “Тёмную Массу”, а Мордехай Мильгром предложил вводить поправки к закону Ньютона.

Как было обещано, вернёмся к нашей Кеплеровой задаче. Дополним наш рисунок, то есть поместим наблюдателя, а от него к объектам и проведём отрезки действительных расстояний и соответственно.

А теперь представим, что плоскость этого рисунка представляет наше действительное трёхмерное пространство, а перпендикулярно ему (плоскости рисунка) расположим мнимое пространство. Тогда перпендикулярно от каждого объекта и проведём вверх – отрезки вектора – мнимых расстояний и “удалений” этих объектов. А от концов этих отрезков векторов до точки, в которой находится наблюдатель, проведём другие отрезки вектора наблюдаемых расстояний и соответственно. Как было показано выше, наблюдаемое расстояние –является геометрической суммой действительного расстояния и мнимого расстояния .

Далее, спроецируем эти наблюдаемые расстояния и на плоскость рисунка, то есть проведём отрезки равные соответствующих расстояний от точки, в которой находится наблюдатель в тех же направлениях, в которых находятся объекты и соответственно. Между этими наблюдаемыми положениями объектов и проведём отрезок наблюдаемого расстояния между этими объектами. На этом рисунке наглядно видно, что наблюдаемое расстояние больше действительного расстояния .

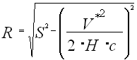
Проблема “Тёмной Массы” то есть иллюзии нехватки видимой массы возникла, вследствие того, что в уравнения баланса сил вместо действительного расстояния были подставлены значения наблюдаемого расстояния .

Для устранения этой “несуразицы” проблемы “Тёмной Массы”, автор предлагает учитывать такие факторы как лучевую скорость и относительную мощность объектов. Для этого действительное значение расстояния нужно находить из вышеприведённой формулы .

Для нахождения относительной мощности нужно знать мощность излучения

– (светимость ). ,

где – скорость света в квадрате,

– масса объекта,

– светимость (мощность излучения).

Список литературы

Л.Д. Ландау, А.И. Ахиезер, Е.М. Лифшиц “Курс общей физики” М. 1965 г.

К.Д. Рындюк “Новая модель эволюции Вселенной”http://new-idea.kulichki.net/pubfiles/060210194612.rar