Шпаргалка: Дидактические материалы по информатике
|
Название: Дидактические материалы по информатике Раздел: Рефераты по информатике, программированию Тип: шпаргалка |
1. Варианты текущих контрольных работ по темам Тема 1: “Информация . Кодирование. Инфологические задачи” Вариант 1 1. Решить уравнение : 128x-3 (К )= 64x (Г). Найти закон формирования последова тельности : 1, 9, 81 , 729, ... , . Найти неизвестные цифры А, В за минимум полных рассуждений: ABB5 + BBAA = 10A22 Найти с истему кодировки (шифр), если текст “КРА СНЫЙ АРБУЗ” б ыл з акодирован ка к текст “ЛСБТОЪК БСВФИ”. Записать с помощью этого шифра текс т " АВТОМОБИЛЬ". Решить уравнение: 32x+3 (байт) = 2 56x (М). Найти закон формирования последовательности: 1, 2 , 6, 2 4, ... . Найти неизвестные цифры А, В з а минимум полных рассужде ний : AAAB + BAA = A6BA. Найт и систему кодировки (шифр), если текст "КОТ В САПОГАХ" был закодирован как текст "МРФ Д УВОРЕВЧ". Записать с пом ощью этого шифра текст "АРБУЗ" . Вариант 1 Вычислить выражение a в десятичной сис те ме: a = 10011,012 + 257,428 + F2,816 . Осуществить пере вод и проверку пере вода: Выч ислить обычным способом и с помощь ю дополнительного кода и проверить результат: 56708 — 1578 = ?8 . Вычислить и проверить результат: 1000,001:11,01 Вариант 2 Вычислить выражение a в десятичной системе: a = 1100,112 + 166,248 + СD,416 . Осуществить перевод и проверку перевода: 11110,11011012 à ?16 à ?8 . Вычислить обычным способом и с помощью дополнительного кода и проверить результат: AB516 — F316 = ?16 . Вычислить и проверить результат: 1011,0112 : 11,012 . Темы: “А лгебра предикатов” , “Логиче ские схемы” Вариа нт 1 Упрос тить и пос троить таблицу истинности: Доказать равенство:
Построить логическую схе му для функции:
4. Определить функцию z внутри "черного ящика" по х и у: Упростить и построить таблицу истинности:
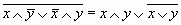
Доказать равенство:
Построить логическую схему для функции:
4. Определить функцию z внутри "черного ящика" по х и у: Вариант 1 1. С оставить алгоритм, который из строк с нечетными номерами матрицы А размерности n´ n на ходит минимум, а из с толб цов с чётными номерами - максимум. С оставить алгоритм подс чета всех с лов текс та А, начин ающихся на заданную букву В. Слова разделены одним пробелом. Вариант 2 1. Составить алгоритм нахож дения суммы всех неотрицательных чисел по четным столбцам и произве дения отрицательных чисел по нече тным строкам матрицы А размерности n´ n. С ос тавить алгоритм пр оверки, входит ли заданное слово А в заданный текст В. 5. Темы: “Проектирование алгоритмов”, “Тестирование и трассировка алгоритмов” Вариант 1 1. Разработать структуру данных и составить нисходящим методом алгоритм решения задачи: по заданным атрибутам всех школьников заданного класса (Ф.И.О., год рождения, адрес, пол, телефон) найти всех учеников заданного года рождения и записать их данные отдельно. Произвести тестирование и трассировку этого алгоритма. Привести набор тестов для наиболее полного тестирования этого алгоритма. Вариант 2 1. Разработать структуру данных и составить нисходящим методом алгоритм решения задачи: по заданным атрибутам автомобилей (марка, скорость, год выпуска, страна, объем двигателя) найти все авто заданной страны и записать их данные в отдельности. 2. Произвести тестирование и трассировку этого алгоритма. Привести набор тестов для наиболее полного тестирования этого алгоритма. 6. Тема “Исполнители алгоритмов” Вариант 1 Исполнитель “Робот” может выполнять команды: “класть”, “взять”, “вперед(а)”, “назад(а)”, “направо(b)”, “налево(b)”, где а - в метрах, b - в градусах. Составить алгоритм для переноса грузов, расположенных в вершинах прямоугольника со сторонами m и n (метров) в центр прямоугольника. В начальный момент времени “Робот” находится в центре и смотрит вдоль оси Ох (по лучу х>0). Расширить операционную среду “Робота”, составить и решить одну новую задачу для него. Вариант 2 1. Исполнитель “Чертежник” может выполнять команды: “вперед(а)”, “назад(а)”, “рисовать”, “не рисовать”, “налево(b)”, “направо(b)”, где а - в метрах, b - в градусах. Составить алгоритм рисования равностороннего треугольника со стороной m метров и с центром в точке О(0,0), одна из сторон которых параллельна Ох и расположена полностью в полуплоскости y<0. В начальный момент “Чертежник” находится в точке О(0,0) и смотрит вдоль оси Ох (луч х>0). Расширить операционную среду “Чертежника”, составить и решить одну новую задачу для него. 7. Тема “Основы компьютера” Вариант 1 З апис ать в 1 6-разрядную ячей ку памяти число 1 2,810 в б итовом изоб ражении (нумерация разрядов от нуля и слева направо): а) в форме с фиксированной точк ой ме жду 8 и 9 разрядами; б) в форме с плавающе й точко й, если под мантиссу числа в ыделяю тся разряды 2- 12. Ка кие ба йты обра зуют слова, двойные слова, если их адре са таковы: Описать функции арифм етико- логического устройства ЭВМ и нарисовать его структурную и информационную схему. Пояснить схему. Вариант 2 1. Записать в 16-разрядную ячейку памяти число 28,910 в битовом изображении (нумерация разрядов от нуля и слева направо): а) в форме с фиксированной точкой между 9 и 10 разрядами; б) в форме с плавающей точкой, если под мантиссу числа выделяются разряды 2-10. Какие байты образуют слова, двойные слова, если их адреса таковы: 211 - 230, 235 - 240. Описать функции устройства управления ЭВМ и нарисовать его структурную и информационную схему. Пояснить схему. 8. Темы: “Алгоритмические языки и методы трансляции”, “Вычислительная система” Вариант 1 З аписать на алгоритмическом языке:
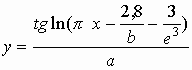
Перевести в математическую з
апись: . 3. Вычис лить y=3,8 +m ax(sin(p ), ln(ex p(2 )))+int (3,8)—m od (5,3). 4. Указ ать порядок выполнения операции в выражении задачи 3. Указать основные задачи, функции, состав ОС. Привести пример. Вариант 2 Записать на алгоритмическом языке:
2. Перевести в математиче скую з апись: y = tg(ln(p**x—2,8/b—3/exp(3)))/a. 3. Вычислить y = 6,2 — m ax(c os( 0), e xp(ln (3))+1) — div(1 3,4). 4. Указ ать порядок выпол нения опе рации в выраже нии задач и 3. 5. Указать осн овные з адачи, функции, состав ППП. Привес ти пример. 2. Варианты итоговой письменной работы Вариант 1 1 ) Решить систему: 2) Вычислить а = 11.012 ´ 5.48 - 1 В.816 . Доказать равенство: Составить алгоритм перестановки всех четных элементов последовательности х1 , х2 ,..., хn в конец этого ряда. Описать операционную среду одного исполнителя типа „Чертежник“ и разработать для него задачу (программу ). Описать одну реальную систему, моделируемую данным исполнителем. Вариант 2 1) Решить систему: 2) Вычислить а = 10.102 ´ 8F.416 - 6.28 . 3) Доказать равенство: 4) Составить алгоритм удаления из последовательности х1 , х2 ,..., хn всех нечетных чисел. Описать операционную среду одного исполнителя типа „Робот“ и разработать для него задачу (программу). Описать одну реальную систему, моделируемую данным исполнителем. Билеты устной итоговой работы Билет N 1 1. Предмет и задачи информатики. Примеры задач информатики. 2. Память ЭВМ, разрядность, представление целых и вещественных чисел. 3. Составить алгоритм вычисления суммы первых К положительных элементов массива размерности N строк и М столбцов по четным строкам. Билет N 2 1. Новые информационные технологии (НИТ). Примеры НИТ. Алгоритмические языки: уровни, назначение, атрибуты. Примеры. Составить алгоритм нахождения произведения первых К отрицательных элементов в заданной последовательности из N чисел, стоящих на нечетных местах. Билет N 3 Информатизация страны (региона). Примеры проблем и их решений. Транслятор. Интерпретация и компиляция. Их общие и различные стороны. Примеры. 3. Решить уравнение: 128x (Гигабайт) = 256 (Мегабайт). Билет N 4 1. Информация и сообщение, их связи и особенности. Примеры. 2. Основные математические функции алгоритмического языка и их запись, выполнение. Примеры. 3. Упростить логическое выражение и построить таблицу истинности:
Билет N 5 1. Единицы измерения информации. 2. Структура (классификация) программного обеспечения. 3. Упростить логическое выражение и построить таблицу истинности:
Билет N 6 Системы счисления: позиционность, перевод чисел из десятичной системы и обратно. Примеры. Вычисление выражения в алгоритмических языках, старшинство операций. Примеры. 3. Составить алгоритм вычисления значения заданного многочлена степени N по схеме Горнера (в заданной точке). Билет N 7 1. Системы счисления: выполнение арифметических операций. Примеры. 2. Классификация ЭВМ по различным критериям. Примеры. 3. Расположить по возрастанию числа: А216 , 11000112 , 7528 . Билет N 8 1. Алгебра высказываний (предикатов). Аксиомы алгебры. 2. Регистры: функции, назначения, реализация. Основные регистры ЭВМ. 3. Составить алгоритм вычисления произведения первых К положительных чисел, стоящих на нечетных столбцах заданной матрицы из N строк, М столбцов. Билет N 9 1. Логические функции. Равносильные логические функции. Примеры. 2. Структурная схема ЭВМ фон - Неймановского типа. 3. Вычислить в десятичной системе: 11012 + 278 - F416 . Билет N 10 1. Логические схемы. Примеры. 2. Файл: назначение, представление в памяти. Структура файловой системы. Примеры. 3. Составить алгоритм вычисления суммы всех чисел ряда х1 , х2 , ... , хn пока не встретится элемент ряда, не превосходящий данное число у. Билет N 11 1. Алгоритм, его основные свойства. Примеры. 2. Процессор ЭВМ фон - Неймановского типа. 3. Упростить логическое выражение Билет N 12 Базовые алгоритмические операции: ввод, вывод, описание типа, присваивание, актуализация (вызов) алгоритма, комментирование. Примеры. Внешняя память ЭВМ: основные формы реализации. Примеры. 3. Вычислить в десятичной системе 1101.12 + 6.48 - 2.416 . Билет N 13 Базовая алгоритмическая структура: следование. Примеры. Персональный компьютер: виды, особенности, формы использования. Примеры и основные характеристики. 3. Упростить и построить таблицу истинности: Билет N 14 1. Базовая алгоритмическая структура: ветвление. Примеры. 2. Программный принцип работы ЭВМ фон - Неймана. 3. Решить уравнение: 256x (бит) = 64 (Гигабайт). Билет N 15 1. Базовая алгоритмическая структура: повторение. Примеры. 2. Компьютеризация общества: смысл, значение. Примеры. 3. Составить логическую схему, соответствующую логическому выражению: Билет N 16 1. Нисходящее проектирование алгоритмов (программ). Пример. Устройства ввода информации в ЭВМ. Примеры. Составить алгоритм вычисления максимума из всех минимумов по строкам заданного массива размерности N строк и М столбцов. Билет N 17 1. Восходящее проектирование алгоритмов (программ). Пример. 2. Устройства вывода информации из ЭВМ. Примеры. 3. Составить алгоритм вычисления количества первых К простых чисел от заданного вещественного числа N до заданного вещественного числа М. Билет N 18 1. Основные типы данных: целые, вещественные, символьные, литерные, логические. Примеры. Типы операционных систем ЭВМ. Примеры ОС. Составить алгоритм вычисления первых К наибольших чисел из элементов заданного ряда чисел и их мест (индексов). Билет N 19 1. Структура данных - массив. Примеры. Инструментальные программные системы. Примеры. Составить алгоритм поиска в заданном тексте (литерная константа) заданного слова (литерная константа). Билет N 20 1. Исполнители алгоритмов. Операционная среда, операционная обстановка. Примеры. 2. Пакеты прикладных программ. Примеры. 3. Составить алгоритм инвертирования текста (изменения порядка букв в тексте на обратный; текст - литерная константа). Билет N 21 1. Модели и моделирование. Математическая модель. Примеры. 2. Этапы развития средств автоматизации вычислений. Примеры. 3. Составить алгоритм поиска всех четных чисел в заданном ряде чисел х1 , х2 , ..., хn и перезаписи их в конец этого ряда. Билет N 22 1. Типы и свойства моделей. Примеры. Электронная таблица: назначение, использование, основы работы в среде. Примеры. Составить алгоритм для проверки, является ли заданная последовательность чисел х1 , х2 , ..., хn прогрессией (арифметической или геометрической). Билет N 23 1. Жизненный цикл моделирования. Этапы, назначения. Примеры. 2. СУБД: назначение, использование. Примеры. 3. Упростить и построить таблицу истинности логической функции:
Билет N 24 Вычислительный эксперимент. Сферы применения и назначение. Примеры. Электронная почта, теледоступ, телеконференции. 3. Составить алгоритм вычисления всех целых корней уравнения Ах+Ву=С (если они существуют), а<х, у<b , целые а, b, А, В - задаются. Билет N 25 1. Значение информатики, её методов для развития общества и познания. Операционная система: назначение и функции. Примеры. Составить алгоритм проверки, есть ли заданный элемент (число) А в заданном массиве В размерности N строк и М столбцов. Билет N 26 1. Машинная графика и системы машинной графики. Сферы применения. Примеры. 2. Структурное и модульное проектирование алгоритмов. Примеры. 3. Составить алгоритм вычисления среднего арифметического всех кратных заданному числу а элементов заданной последовательности чисел х1 , х2 , ..., хn . Билет N 27 Структура данных - запись. Примеры. Интернет: назначение, приложения, особенности, основы работы в поисковых средах. Примеры. 3. Составить алгоритм перестановки местами наибольшего и наименьшего элементов заданной последовательной х1 , х2 , ..., хn . 4. Вопросы для проверки (самопроверки) знаний по всему курсу Данные вопросы могут б ыть ис пользованы для те стирования, проверки з наний учащихся по к урсу информатики, например, при проведении коллоквиумов. 2. Почему возникла на ука информатика? 3. Каково значение информатики для развития общества? 4. В ч ем состоит информатизация страны? Каковы основные элементы новых информационных технологий? Чем отличается информ ация от сообщения? Что такое информация с мировоз зренческой точки зрения? Что такое алфавит ? Как и какими единицами измеряют информацию? Каково проис хождение понятия “бит”? Че му равен один бит? Для чего вводятся байт, полуслово, слово, двойн ое слово? Чему равен один байт (одно полуслово, слово, двой ное слово)? Каковы соотношения между битами, байтами, килобайтами, м егаб айтами, гигабайтами. Что такое система счисления? Что входит в эту систе му (перечис лить составные элементы сист ем счисления)? Существует ли с истема счисле ния с осно ванием 20? Как можно задать эту систему? Какая система называется двоичной, восьмеричной, шестнадцатеричной? Как технически можно ре ализовать двоичную систему? Как переводятся целые (дроб ные) числа из десятичной сис темы счисления в другую с истему? Какая система наз ывается позиционной (непозиционной)? Как переводятс я числа из смешанных систем в одну из используемых базовых и наоборот ? Объясните переводы чисел из одной системы в другую по схемам: 2 ó 8, 8ó 2 ,2ó 16 , 16ó 2 , 8ó 16, 16ó 8. Как выполняется сложение (вычитание, умножение, деление) в р-ой системе? Что такое обратный (дополнительный) код числа? Каково правило вычитания через дополнитель ный код? Что такое алгебра предикатов? Каковы ее необходимые элементы? Что такое логическое (булево) выражение? Какая функция называется логической? Каковы её область определения, об ласть значений логиче ских функции? Какие операции определены над логиче ск ими переменными? Что такое инверсия (диз ъюнкция, конъюнкция)? К ак она опреде ляется? Что такое таблица истинн ости, для чего она исполь зуется? Каковы аксиомы алгебры логики и следствия из них? Какие две логические функции эквивалентны ? Что такое логическая (интегральная) схема, каково его назначе ние? Что такое инвертор (дизъюнктор, конъюнктор)? Как он работае т ? Что такое полусумматор, сумматор? Что такое интегральная схема? Какие операции можно осуществлят ь с логическими схемами? Как можно находить оптимальные логические схемы и по ка ким параметрам они могут быть оптимальны? Что такое алгоритм? Откуда появилось это название? Каковы свойства алгор итма? Каковы основные ба зовые а лгоритмичес кие операции, их осн овные харак теристик и, свойс тва? Каковы раз личные формы базовых алгоритмических структур? Сколько способов пре дставления алгоритмов знаете ? Какие о ни и в ч ем их суть? Как изображается а лгоритм на словесном формализованн ом языке ( подобном учебному алгоритмическому языку), на языке бл ок- схем, на языке структурограмм или на другом известном Вам язык е записи алгоритмов? Каковы основные методы разработки алгоритмов? В чем сос тоит тес тирова ние, отладка алгоритм а ? В чем состоит отличие объек та, переменной для обозна чени я этого об ъекта, типа переменной и описания типа переменной? В чем состоит процедура объявления типа переменной? В чем заключаетс я проверка типа переменной и как (где) она может бы ть ос ущест влена ?. Что такое исполнитель алгоритмов? Что входит в опе ра ционную среду исполнителя? Каковы основные этапы развития ЭВМ? Кто из отечественных и зарубежных ученых внёс наибольший вклад в развитие ЭВМ и информатики? Каковы базовые физические элементы каждого поколения ЭВМ? Каковы классы ЭВМ, представители каждого класса и его основные характеристики (память, быстродействие)? В чем состоит мировоззренческая (общеобразовательная, профоориентационная и воспитательная) составляющая компьютеризации общества? Какие классы задач решаются на ЭВМ? Какова роль ЭВМ в процессе познания? Каковы перспективы развития ЭВМ и их применения в обществе? Что понимается под архитектурой ЭВМ? Как устроена память ЭВМ? Как физически реализуется ячейка памяти? Как записываются целые, вещественные числа (с фиксированной точкой и с плавающей точкой) в ячейку памяти? Что такое адрес ячейки памяти, для чего он служит? Что такое базовый, машинный язык ЭВМ? Для чего служит? По чему на машинном языке труднее писать программы? Как взаимосвязаны объем адресуемой памяти и длина ячейки памяти? Что такое регистр ЭВМ? Каковы основные регистры ЭВМ и их функции? Для чего служит внешняя память? Чем она отличается от оперативной памяти? Как изображается структурная схема ЭВМ? Что такое ЗУ? Какие типы ЗУ можете перечислить? Что такое триггер, чип, шина, магистраль, в чем их назначение? Какие типы шин знаете, для чего они предназначены? Что такое АУ, УУ, процессор, каковы их основные функции и устр ойства ЭВМ, с кото рыми они взаимодействуют, характер их взаимодействия? Каковы известные Вам устройства ввода и вывода и принципы их работы? Что такое ПК? Че м он отлич ае тс я от других типов ЭВ М? Каковы известные ва м ПК и их основные хара ктеристики? Каковы требования, предъявляемые к ПК? Что такое тактовый генератор, как он влияет на быстроде йс твие ЭВМ? Каковы характеристики тактовых генера торов известных Ва м ЭВМ? Что такое контроллер? Как ие контролеры бывают? Что такое модем? Каковы его функции? Что такое флоппи - диск? Каковы его функции и характеристики? Что такое винчестер? Каковы его функции и хара ктеристики? Каковы основные а рхитектуры ЭВМ не фон - Неймановского типа ? Что такое алгоритмический язык и для чего он предназначен? Чем он отличается от, например, английского языка? Что такое алфавит языка, лексический анализ, синтаксический анализ и семантиче ский анализ? Что такое язык программирования? Чем от отличается от алгоритмического языка? Каково его назначение? Какие типы языков бывают? Что такое транслятор? Какие режимы трансляции бывают? Каковы их отличительные и сходные стороны? Каковы ос новные к омпоненты уче бного алгоритмиче ского языка? Какой общий вид имеет алгоритм на учебном а лгоритмическом языке ? Каково старшинство опер аций в учебном языке? Как и какие функции опр еделены в учебном алгоритмическом языке? Как и какие типы переменных определены в учебном языке? Из каких основных элементов состоит программное обеспечение ЭВМ? Что входит в понятие "вычис лительная система"? Что такое прикладное и системное программирование, в чем их суть и каковы их основные задачи? Что входит в базовое (прикладное) программное обеспечение? Какими основными элементами определяется ППП? Каковы особенности ППП (отличия от других, типов ПО)? Что такое OС, каковы его функции и основные элементы? Каковы задачи выполняемые ОС при выполнении задания? Что такое инструментальна я система, каково ее назначение? Каковы основные характеристики современных интегрированных программных систем? Ка кая модель называется математической? Каковы задачи моделирования? Каковы свойства моделей? Как эти свойства взаимосвязаны? Каковы основные этапы жизненного цикла моделирования? Что такое вычислительный или компьютер ный эксперимент? Что такое информатизация, чем она отличается от компьютеризации? Каково значение информатики для усиления межпредметных связей? Что такое база данных и СУБД? Что такое АРМ? Что такое САПР? Что такое база знаний? Что такое экспертная система? Что такое электронная почта? Что такое телеконференция? Что такое Интернет? Что такое машинная графика и система машинной графики? Что такое мультимедиа? Что такое гипертекст? Что такое гипермедиа? Что такое электронная таблица? Ответы на задачи из “Дидактических материалов” Казиева В.М. Тема 1. “Информация. Кодирование. Инфологические задачи” Вариант 1 x=41. xn =32n—2 . A=7, B=3. Система кодировки - одношаговый код Цезаря. “АВТОМОБИЛЬ” - “БГУПНУВКМЪ”. Вариант 2. x= —5/3. xn =n! =1´ 2´ ...´ (n-1)´ n. A=5, B=0. Система кодировки - двухшаговый код Цезаря, “АРБУЗ” - “ВТГРЙ”. Тема 2. “Системы счисления” Вариант 1 а=437,2812510 . 110111,01110112 ® 67,3548 ® 37,7616 . 55118 . 10,12 . Вариант 2 а=336,312510 . 11110,1101101 ® 1Е,DА16 ® 36,6648 . 9С216 . 11,12 . Тема 3. “Алгебра предикатов”, “Логические схемы” Вариант 1 z=1. 4. z= Вариант 2 z=0. 4. z= Тема 4. “Алгоритмы” Вариант 1 Тело алгоритма (для случая чётного n; для нечётного n - см. вариант 2): minx:=x[1,1] maxx:=x[2,1] i:=1 нц пока i<=n—1 нц для j от 1 до n minx:=min(minx, x[i,j]) maxx:=max(maxx, x[i+1,j]) кц i:=i+2 кц Тело алгоритма: A:=’ ‘+A; | для удобства определения слов - искусственная замена k:=0 | k - счётчик числа слов нц для i от 1 до длина(А)-1 если (A[i:i]=’ ‘) и (A[i+1:i+1] =B) то k:=k+1 кц вывод(‘Текст A содержит ‘, k, ‘ слов’) Вариант 2 Тело алгоритма (для случая нечётного n; для чётного n - см. вариант 1): s:=0 p:=1 i:=1 нц пока i<=n—1 нц для j от 1 до n если x[i,j]<0 то p:=p*x[i,j] если x[i,j+1]>0 то s:=s+x[i+1,j] кц i:=i+2 кц нц для j от 1 до n p:=p*x[n,j] кц 2. Тело алгоритма: B:=’ ‘+B; | для удобства определения слов - искусственная замена m:=длина(А) n:=длина(В) k:=0 | k - счётчик числа слов нц для i от 1 до n—m+1 если (B[i:i]=’ ‘) и (B[i+1:i+m—1] =B) и (B[i+m:i+m]=’ ‘) то k:=k+1 кц вывод(‘Cлово A входит в слово В ‘, k, ‘ раз’) Тема 5. “Проектирование алгоритмов”, “Тестирование и трассировка алгоритмов” Вариант 1 Набор тестов должен отражать случаи: есть только один искомый ученик; есть несколько искомых учеников; нет ни одного искомого ученика; файл (массив) данных пуст. Вариант 2 Набор тестов должен отражать случаи: есть только один искомый автомобиль; есть несколько искомых автомобилей; нет ни одного искомого автомобиля; файл (массив) данных пуст. Тема 6. “Исполнители алгоритмов” Вариант 1 Тело алгоритма: a:=sqrt((n**2+m**2)/2) b:=arctg(n/m)*180 i:=1 налево(b) нц пока i<=2 вперед(а) взять назад(а) взять назад(а) положить назад(а) взять вперёд(а) положить налево(180—2*b) i:=i+1 кц Вариант 2 Тело алгоритма: не рисуй налево(90) вперед(m*sqrt(3)/3) налево(150) нц для i от 1 до 3 рисуй вперед(m) налево(120) кц не рисуй Тема 7. “Основы компьютера” Вариант 1 а) 0000011001100110; б) 0011001100110100 Слова - 100-101, 102-103, ..., 118-119, 124-125, 126-127, 128-129, 130-131. Двойные слова - 100-103, 104-107, ..., 118-119, 124-127, 128-131. Вариант 2 а) 0000011100111001; б) 0011100111000101 Слова - 212-213, 214-215, ..., 228-229, 236-237, 238-239. Двойные слова - 212-215, 216-219, ..., 224-227, 236-239. Тема 8. “Алгоритмические языки и методы трансляции”, “Вычислительная система” Вариант 1 y=exp(x—2.6)+cos(p *x—2)/ln(sin(x))+2**(4—n**2)
y=6.8 sin(p ), exp(2), ln(exp(2)), max(sin(p ),ln(exp(2))), 3.8+max(sin(p ),ln(exp(2))), int(3.8), 3.8+max(sin(p ),ln(exp(2)))+int(3.8), mod(5,3), y . Вариант 2 y=ln(sin(x))+2**(x+2.8)/(tg(2*p *x—3)+exp(x—c**2)
y=—0.8 cos(0), ln(3), exp(ln(3)), exp(ln(3))+1, max(cos(0),exp(ln(3))+1), 6.2+max(cos(0),exp(ln(3))+1), div(13,4), y . Итоговая контрольная работа Вариант 1 x=0,5, y= —3,5. a= —9,62510 . 4. Фрагмент алгоритма: i:=1 нц пока i<=n если mod(x[i],2)=0 то y:=x[i] нц для j от i до n—1 x[j]:=x[j+1] кц x[n]:=y i:=i—1 все i:=i+1 кц Вариант 2 x=10, y=0. a=352,510 . 4. Фрагмент алгоритма: i:=1 нц пока i<=n если mod(x[i],2)=1 то нц для j от i до m x[j]:=x[j+1] кц n:=n—1 i:=i—1 все i:=i+1 кц |
.
.
