Статья: Эффект Ребиндера в полимерах
|
Название: Эффект Ребиндера в полимерах Раздел: Рефераты по науке и технике Тип: статья |
| Александр Львович Волынский, д.х.н., проф., г.н.с. химфака МГУ им.М.В.Ломоносова, чл.-корр. РАН. Речь пойдет о явлении, очень часто наблюдающемся и хорошо изученном, - о разрушении твердых тел. В самом общем виде его можно представить как распад тела на две или более частей, когда внешняя механическая нагрузка достигает некоего критического значения. Наш повседневный опыт подсказывает, что разрушение сопровождается прорастанием трещины через сечение объекта. На молекулярном уровне подобный процесс, даже такой грандиозный, как откалывание гигантского айсберга от края ледника или возникновение тысячекилометрового разлома в земной коре, сводится к последовательному разрыву межатомных и (или) межмолекулярных связей. Растущая трещина порождает как минимум две новые поверхности, которых не было в исходном твердом теле. Атомы (молекулы), оказавшиеся на поверхности, имеют существенно другое энергетическое состояние по сравнению с объемными, поскольку образуется большое число оборванных связей. Можно ли повлиять на энергозатраты, связанные с образованием новой поверхности, а, следовательно, и на процесс разрушения твердого тела в целом? Этот вопрос представляет не только фундаментальный, теоретический, но и чисто практический интерес - для таких важных отраслей, как бурение скважин, измельчение горных пород, обработка металлов резанием и т.д., и т.п. Капля точит не только камень! Выдающийся советский физико-химик академик Петр Александрович Ребиндер был первым, кто попытался воздействовать на работу разрушения твердого тела. Именно Ребиндеру удалось понять, каким образом это можно осуществить. Еще в 20-х годах прошлого века он использовал для этой цели так называемые поверхностно-активные, или адсорбционно-активные, вещества, которые способны эффективно адсорбироваться на поверхности даже при низкой концентрации в окружающей среде и резко снижать поверхностное натяжение твердых тел. Молекулы данных веществ атакуют межмолекулярные связи в вершине растущей трещины разрушения и, адсорбируясь на свежеобразованных поверхностях, ослабляют их. Подобрав специальные жидкости и введя их на поверхность разрушаемого твердого тела, Ребиндер добился поразительного уменьшения работы разрушения при растяжении (рис.1).
Рис. 1. Зависимость напряжения от деформации монокристаллов цинка при 400°С: 1 - на воздухе; 2 - в расплаве олова. На рисунке представлены деформационно-прочностные кривые монокристалла цинка (пластинки толщиной порядка миллиметра) в отсутствие и в присутствии поверхностно-активной жидкости. Момент разрушения в обоих случаях отмечен стрелками. Хорошо видно, что если просто растягивать образец, он разрушается при более чем 600% удлинении. Но если ту же процедуру производить, нанеся на его поверхность жидкое олово, разрушение наступает всего при ~10% удлинении. Поскольку работа разрушения - это площадь под кривой зависимости напряжения от деформации, нетрудно заметить, что присутствие жидкости уменьшает работу даже не в разы, а на порядки. Именно этот эффект и был назван эффектом Ребиндера, или адсорбционным понижением прочности твердых тел [1]. Эффект Ребиндера - универсальное явление, оно наблюдается при разрушении любых твердых тел, в том числе и полимеров. Тем не менее природа объекта вносит свои особенности в процесс разрушения, и полимеры в этом смысле не исключение. Полимерные пленки состоят из крупных целых молекул, удерживаемых вместе силами Ван-дер-Ваальса или водородными связями, которые заметно слабее, чем ковалентные связи внутри самих молекул. Поэтому молекула, даже будучи членом коллектива, сохраняет некие обособленность и индивидуальные качества. Главная особенность полимеров - цепное строение их макромолекул, которое обеспечивает их гибкость. Гибкость молекул, т.е. их способность изменять свою форму (за счет деформации валентных углов и поворотов звеньев) под действием внешнего механического напряжения и ряда других факторов, лежит в основе всех характеристических свойств полимеров. В первую очередь - способности макромолекул к взаимной ориентации. Правда, надо оговориться, что последнее относится только к тем из них, в которых мономерные звенья соединены в цепочки, - к линейным полимерам. Существует огромное количество веществ, имеющих большой молекулярный вес (например, белки и другие биологические объекты), но не обладающих специфическими качествами полимеров, поскольку сильные внутримолекулярные взаимодействия мешают их макромолекулам сгибаться. Более того, типичный представитель полимеров - натуральный каучук, - будучи "сшитым" с помощью специальных веществ (процесс вулканизации), может превратиться в твердое вещество - эбонит, не подающий вообще никаких признаков полимерных свойств. Ориентационные эффекты в полимерах легко наблюдать в быту. Каждый из нас растягивал руками кусок полиэтиленовой ленты или край пленки. В этом случае происходит образование так называемой шейки (материал резко суживается). Шейка, в отличие от исходной недеформированной пленки, содержит развернутые взаимно ориентированные макромолекулы. Ориентация молекул придает полимеру в целом высокие механические показатели в направлении ориентации. Это явление широко используется в промышленности (ориентационное вытягивание), например для улучшения механических свойств химических волокон. Взаимное ориентирование макромолекул делает полимеры рекордсменами среди твердых тел по способности к обратимой деформации. Действительно, полимер вроде часто используемой в быту канцелярской резинки может быть растянут на многие сотни и даже тысячи процентов как раз потому, что молекулярные клубки умеют разворачиваться и выстраиваться. Отпустив растянутую резинку, мы наблюдаем обратный процесс - немедленное ее сокращение до первоначальных размеров. Он обусловлен самопроизвольным переходом ориентированных макромолекул к исходному неориентированному состоянию под действием теплового движения (после нагревания до определенной температуры и вытянутая шейка полимера, подобно канцелярской резинке, восстановит свои размеры). Именно способность макромолекул изменять форму придает полимерам высокую стойкость к разрушению. Не случайно стеклянная бутылка, упав на кафельный пол, разбивается на множество осколков, в то время как пластиковая бутылка всего лишь отскочит от пола на значительную высоту и останется целой. Причуды полимеров Возвращаясь к теме нашей статьи, отметим, что в полимерах эффект Ребиндера проявляется весьма своеобразно. В адсорбционно-активной жидкости возникновение и развитие новой поверхности наблюдается не только при разрушении, а значительно раньше - еще в процессе деформации полимера, которая, как было отмечено выше, сопровождается ориентацией макромолекул. На рис.2 представлены изображения двух образцов одного и того же полимера (конкретно - лавсана, из которого изготавливают, в частности, столь хорошо всем знакомое текстильное волокно), один из которых был растянут на воздухе, а другой - в адсорбционно-активной жидкости. Хорошо видно, что в первом случае в образце возникает шейка, о которой речь шла выше. Во втором случае пленка не сужается, зато становится молочно-белой и непрозрачной.
Рис. 2. Внешний вид образцов полиэтилентерефталата, растянутых на воздухе (а) и в адсорбционно-активной среде (н-пропаноле) (б). Причины наблюдающегося побеления становятся понятными при микроскопическом исследовании. Оказывается, вместо монолитной прозрачной шейки в полимере образуется уникальная фибриллярно-пористая структура (рис.3), состоящая из нитеобразных агрегатов макромолекул (фибрилл), разделенных микропустотами (порами). В этом случае взаимная ориентация макромолекул достигается не в монолитной шейке, а внутри фибрилл. Поскольку фибриллы разобщены в пространстве, такая структура содержит огромное количество микропустот, которые интенсивно рассеивают свет и придают полимеру молочно-белый цвет. Поры заполняются жидкостью, поэтому гетерогенное строение сохраняется и после снятия деформирующего напряжения. Фибриллярно-пористая структура возникает в особых зонах и по мере деформировании полимера захватывает все больший объем. Возникновение и развитие этих зон оказалось столь неожиданным и удивительным, что они получили английское название crazes (крейзы), а само явление - crazing (крейзинг), что, видимо, подчеркивает его сводящие с ума особенности (crazy (англ.) - сумасшедший, безумный).
Рис. 3. Электронная микрофотография образца полиэтилентерефталата, деформированного в н-пропаноле. (Увел. 1000.) Мы подробно изучили эволюцию структуры полимера в процессе его вытяжки в активных жидкостях [2,3]. С этой целью образцы различных полимеров растягивали в адсорбционно-активных средах, прикладывая контролируемую нагрузку, после чего их исследовали в оптическом и электронном микроскопах. Анализ микроскопических изображений позволил установить особенности структурных перестроек в полимере, подвергаемом крейзингу (рис.4). Зародившись на каком-либо дефекте (неоднородности структуры), которые имеются в изобилии на поверхности любого реального твердого тела, крейзы растут через все сечение растягиваемого полимера в направлении, нормальном оси растягивающего напряжения, сохраняя постоянную и весьма малую (~1 мкм) ширину. В этом смысле они подобны истинным трещинам разрушения. Но когда крейз "перерезает" все поперечное сечение полимера, образец не распадается на отдельные части, а остается единым целым. Это обусловлено тем, что противоположные края такой своеобразной трещины соединены тончайшими ниточками ориентированного полимера (рис.3). Подчеркнем: размеры (диаметры) фибриллярных образований, так же как и разделяющих их микропустот, - 1-10 нм. А ведь измельчить любое твердое тело до столь малых агрегатов чрезвычайно трудно - свободная поверхность всегда "хочет" самопроизвольно уменьшиться, чтобы понизить свою энергию. Простой пример: чтобы взболтать в бутылке воду до образования пузырей, нужно затратить некоторую работу. Обратный же процесс слияния межфазных поверхностей (исчезновение пузырей) произойдет самопроизвольно, без нашего участия.
Рис. 4. Схематическое изображение отдельных стадий крейзинга полимера: I - инициирование крейзов, II - рост крейзов, III - уширение крейзов. По существу, с помощью эффекта Ребиндера мы элементарным путем (растяжением полимерной пленки в жидкости) придаем полимеру совершенно уникальную структуру с очень высоким уровнем межфазной поверхности. Легко подсчитать: фибриллярно-пористый материал с нанометровыми размерами структурных элементов имеет удельную поверхность, достигающую нескольких сотен квадратных метров на грамм исходного вещества. И все-таки, невыгодный в энергетическом отношении прирост межфазной поверхности полимера не может продолжаться слишком долго. Когда фибриллы, соединяющие противоположные стенки крейзов, становятся достаточно длинными, начинается процесс их слияния (при этом площадь поверхности уменьшается, рис.5). Другими словами, полимер претерпевает своеобразный структурный переход от рыхлой структуры к более компактной, состоящей из плотно упакованных агрегатов фибрилл, которые ориентированы в направлении оси растяжения.
Рис. 5. Схема, иллюстрирующая коллапс структуры полимера, происходящий при больших значениях деформации в адсорбционно-активной жидкости, на различных стадиях растяжения. Ловушки для молекул Итак, простое растяжение полимера в жидкости приводит к возникновению развитой межфазной поверхности, обладающей значительной площадью. Как упоминалось в начале, атомы (молекулы), оказавшиеся на поверхности, имеют большое число оборванных связей - вакансий для образования новых связей. Эти вакансии могут быть заполнены свободными молекулами из окружающего пространства. Такое связывание молекул твердой поверхностью называется адсорбцией; она широко используется в практике для очистки газов и жидкостей, в том числе для очистки воздуха с помощью, например, противогаза.Естественно предположить, что полимеры, подвергнутые крейзингу, тоже должны быть способны к адсорбции. Так ли это, мы проверили с помощью специального цикла экспериментов. Образец полимера растягивали в адсорбционно-активной жидкости на необходимую величину, после чего его извлекали из зажимов растягивающего устройства, помещали в раствор адсорбата (йода или органического красителя родамина С) и оценивали степень адсорбции путем измерения концентрации адсорбата в растворе.
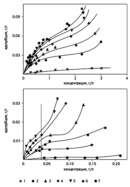
Рис. 6. Изотермы сорбции йода (а) и родамина С (б) из их водных растворов образцами полиэтилентерефталата, растянутыми в н-пропаноле до различных степеней вытяжки: 1 - 20%, 2 - 50%, 3 - 100%, 4 - 150%, 5 - 200%, 6 - 300%, 7 - 400%. На рис.6 представлены изотермы адсорбции двух веществ - йода (а) и родамина С (б) - из их водных растворов. Хорошо видно, что полимер, растянутый в жидкости, действительно становится эффективным адсорбентом, способным поглощать любые низкомолекулярные вещества из их растворов. Причем эффективность адсорбции зависит как от величины деформации полимера, так и от молекулярных размеров сорбируемого вещества (молекулы йода имеют размер ~0.5 нм, а молекулы родамина С - 17.5 нм), рис.7. Из рисунка хорошо видно, что адсорбция йода при малых степенях удлинения возрастает, а затем, достигнув максимума, перестает изменяться, в то время как более объемные молекулы родамина С в области 200%-го удлинения демонстрируют резкий спад адсорбции. Очевидно, крейзы, возникающие на первых этапах растяжения, содержат пустоты больших размеров, легко доступные даже крупным молекулам родамина С. По мере вытяжки крейзы разрастаются, что увеличивает площадь межфазной поверхности полимера, и, соответственно, возрастает адсорбция. Но когда начинается описанный выше структурный переход, приводящий к сжатию структуры и уменьшению эффективного диаметра пор, сокращается число пустот, доступных молекулам сначала родамина С (начиная со 250%-го удлинения), а затем и йода (с 300%-го). Таким образом, существует метод разделения молекул путем адсорбции из раствора тех из них, которые способны проникать в поры данного размера (молекулярно-ситовый эффект). Поскольку размер пор можно легко регулировать, изменяя степень вытяжки полимера в адсорбционно-активной среде (используя эффект Ребиндера), легко добиться избирательной адсорбции.
Рис. 7. Зависимость величины адсорбции от степени вытяжки полиэтилентерефталата в н-пропаноле: а - водные растворы йода; б - водные растворы родамина С. Важно отметить, что используемые в практике адсорбенты обычно представляют собой некий порошок или гранулят, которым заполняют разного рода емкости (например, сорбент в том же противогазе). С помощью эффекта Ребиндера легко получить пленку или волокно со сквозной нанометрической пористостью. Другими словами, открывается перспектива создать конструкционный материал, обладающий оптимальными механическими свойствами и одновременно являющийся эффективным сорбентом. Более того, полимеры, деформированные в адсорбционно-активной среде, - это готовые разделительные мембраны. Мембраны, имеющие размер пор 1-10 нм, служат для очистки жидкостей и газов, для разделения разного рода смесей, в частности для опреснения морской воды путем обратного осмоса. Самые распространенные разделительные мембраны получают с помощью сложных и трудоемких процедур. Так, ядерные фильтры изготавливают, облучая полимерную пленку потоком тяжелых ионов, а затем протравливая места их проникновения (треки) с помощью агрессивных химических веществ [4]. В результате пленки приобретают сквозные цилиндрические отверстия. Широко используются мембраны, получаемые при фазовом разделении растворов полимеров. В этом случае в строго контролируемых условиях в раствор полимера добавляют осадитель, в результате чего полимер выделяется в осадок. Последующая сушка осадка дает пористую полимерную пленку, которая и работает затем разделительной мембраной. Регулируя условия фазового разделения, можно получать пористые пленки с порами различных размеров [5]. С помощью эффекта Ребиндера элементарным путем (простым растяжением полимерной пленки в адсорбционно-активной среде) удается делать пористые полимерные пленки на основе практически любых синтетических полимеров. Размеры пор в таких пленках легко регулировать, изменяя степень деформации полимера, что позволяет изготавливать разделительные мембраны для решения самых разных практических задач. Наши полимеры могут работать не только как мембраны. Когда полимер последовательно проходит все структурные перестройки при вытяжке (рис.4, 5), рыхлая структура сменяется на более компактную и радиус пор уменьшается, объем полимера уменьшается тоже, и часть жидкости, захваченной полимером на первых этапах его деформации, выделяется в окружающее пространство (явление синерезиса). Как видно из адсорбционных данных, размеры пор в конце концов становятся соизмеримыми с молекулярными размерами низкомолекулярных веществ. Такого рода уменьшение межфибриллярных расстояний должно прежде всего затруднять выделение в окружающее пространство больших, громоздких молекул. Данный эффект отчетливо заметен, если деформирование полимера проводят в жидкости, представляющей из себя смесь молекул различного размера. Наиболее удобно продемонстрировать явления, которые происходят при деформировании полимера в такой двухкомпонентной среде, с помощью растворов органических красителей в адсорбционно-активной жидкости. Схема структурных перестроек, имеющих место в деформируемом полимере в этом случае, представлена на рис.8. На первых стадиях растяжения происходит рост крейзов, вследствие чего увеличивается общий объем микропустот, заполненных раствором красителя (рис.8,а).
Рис. 8. Схема структурных перестроек, сопровождающих крейзинг полимера в двухкомпонентной жидкости, составляющие которой имеют разный молекулярный вес. Стрелками указано направление массопереноса жидкости на различных этапах (а, б) растяжения полимера. Чем сильнее мы вытягиваем полимер, тем больше красителя оказывается в порах. По достижении той степени вытяжки, когда начинается коллапс фибриллизованного материала крейзов и переход от рыхлой структуры к компактной, пойдет обратный процесс - растворитель станет выдавливаться из объема крейзов в окружающее пространство через микропоры (рис.8,б). Расстояния между фибриллами из-за их слипания в процессе вытяжки непрерывно уменьшаются и в конце концов оказываются соизмеримыми с размерами молекул красителя. В итоге происходит своеобразная ультрафильтрация раствора красителя на молекулярном уровне, в результате которой молекулы красителя захватываются в объеме полимера по чисто геометрическим (стерическим) причинам, а в окружающее пространство отфильтровывается в основном чистый растворитель. Ситуация полностью аналогична ловле рыбы сетью с ячейками определенного размера: мелкая рыба свободно проходит через такую сеть, а крупная не может этого сделать и остается в ней. По сути дела, эффект Ребиндера позволяет простейшим путем внедрять и фиксировать в структуре полимера практически любые нужные добавки. "Пустотный" транспорт Введение разнообразных низкомолекулярных добавок в полимеры - важнейшая технологическая задача, поскольку в практике чистые, не содержащие различных целевых примесей полимеры практически не используются. Но ввести в полимер добавку весьма непросто. Проиллюстрируем это на примере такого хорошо разработанного процесса, как крашение текстильных волокон. Как известно [6], при крашении краситель самопроизвольно переходит из раствора в волокно до установления равновесия, а скорость процесса и количество красящего вещества, поглощаемого волокном, определяются законами активированной диффузии и сорбции. Таким образом, чтобы ввести в полимер низкомолекулярное вещество, необходимо обеспечить, по крайней мере, два условия. Во-первых, должен быть какой-то путь для диффузии красителя в объем полимера, и, во-вторых, у полимера и красителя должны иметься активные функциональные группы, способные взаимодействовать друг с другом. Сорбция и диффузия - процессы довольно медленные, в связи с чем сформованное волокно окрашивают в специальных чанах при повышенной температуре. Активные функциональные группы нужны, чтобы удержать введенную добавку в структуре волокна. В противном случае краситель будет выделяться из текстильного изделия при стирках (линять). Если же необходимо ввести какую-либо добавку в гидрофобное волокно (полиэфир, полиолефин, поливинилхлорид), не содержащее активных функциональных групп, приходится использовать достаточно сложные и трудоемкие процедуры. Например, такую: волокно сначала пропитывают слегка загущенной дисперсной суспензией красителя, сушат, а затем прогревают при 200-210°С (термозоль-процесс) или подвергают воздействию паров трихлорэтилена (вапокол-процесс) [6]. Очевидно, что при этом краситель включается в основном в поверхностный слой волокна, в то время как его сердцевина остается неокрашенной. Наши исследования позволяют рассматривать крейзинг как универсальный метод введения в полимеры модифицирующих добавок. Этот метод основан на принципиально других механизмах "доставки" примеси и ее удержания в структуре полимера. Доставка осуществляется не путем диффузии, а значительно более быстрым способом переноса вещества - путем вязкого течения по системе взаимосвязанных пор в системе крейзов. Для удержания (фиксации) добавки в структуре волокна не требуется наличия у полимера и низкомолекулярного компонента взаимодействующих функциональных групп. Фиксация происходит путем механического захвата низкомолекулярного компонента в объеме полимера из-за соизмеримости его молекулярных размеров с размерами пор. Последнее обстоятельство практически неограниченно расширяет круг вводимых добавок [7]. Напомним, что крейзинг полимера является по существу разновидностью холодной или ориентационной вытяжки полимеров. Ориентационное вытягивание полимеров - один из важнейших технологических приемов, широко используемых в производстве синтетических волокон и пленок для оптимизации их механических и прочностных свойств. Поэтому уже существует высокопроизводительное промышленное оборудование, работающее в непрерывном режиме, которое можно приспособить для крейзинга при незначительной модификации. И, наконец, еще одна особенность: оказывается, с помощью крейзинга можно придавать полимерным пленкам и волокнам поперечный рельеф. Вообще говоря, создание рельефа не представляет серьезной проблемы в случае волокон и пленок, формуемых из расплава. Обычно изготовление синтетического волокна имеет две стадии. На первом этапе расплав синтетического полимера продавливают под давлением через пластину, имеющую маленькие отверстия (фильеру), после чего этот расплав твердеет при остывании. В результате полимер превращается в большое количество тоненьких (10-100 мкм) ниточек. Это так называемая стадия формования волокна. Затем полученные ниточки вытягивают для улучшения их механических свойств (стадия ориентационного вытягивания). Так вот, если на первой стадии формования расплав полимера продавливать через отверстия, имеющие сложную конфигурацию, например в виде звездочек, то образующееся волокно также будет иметь на поверхности рельеф, соответствующий этой конфигурации. Однако в этом случае волокно приобретает только продольный рельеф. Наиболее же ценные с точки зрения потребительских свойств природные волокна имеют хорошо выраженный поперечный рельеф.
Рис. 9. Микрофотографии природных шерстяных волокон овцы (а), собаки (б), синтетических волокон полиэтилентерефталата, испытавших крейзинг (в, г), полученные с помощью сканирующего электронного микроскопа. (Увел. 500.) На рис.9,а,б представлены типичные примеры рельефа природных шерстяных волокон. Хорошо видно, что Природа старательно наносит на поверхность "изготовляемых" ею волокон регулярный поперечный рельеф. Возможно, полезные потребительские качества таких волокон обусловлены именно этим специфическим рельефом. А крейзы как раз распространяются всегда нормально оси растягивающего напряжения (рис.3). В результате на поверхности вытянутого волокна возникает поперечный рельеф, который принципиально невозможно создать при традиционном методе изготовления синтетических волокон. С помощью крейзинга поперечный рельеф легко реализуется в непрерывном режиме. * * * Подытожим вышеизложенное: эффект Ребиндера в полимерах несет в себе большой прикладной потенциал. Во-первых, простой вытяжкой полимера в адсорбционно-активной жидкости можно получать разнообразные полимерные сорбенты, разделительные мембраны и полимерные изделия, имеющие поперечный рельеф, и, во-вторых, эффект Ребиндера дает химику-технологу универсальный непрерывный метод введения модифицирующих добавок в полимеры. Список литературы 1. Горюнов Ю.В., Перцов Н.В., Сумм Б.Д. Эффект Ребиндера. М., 1966. 2. А.Л.Волынский, Н.Ф.Бакеев. Высокодисперсное ориентированное состояние полимеров. М., 1985. 3. Volynskii A.L., Bakeev N.F. Solvent Crazing of Polymers. Amsterdam, 1995. 4. Дубяга В.П., Перепечкин Л.П., Каталевский Е.Е. Полимерные мембраны. М.,1981. 5. Дытнерский Ю.И. Мембранные процессы разделения жидких смесей. М., 1975. 6. Мельников Б.Н. Крашение волокон // Энциклопедия полимеров. Т.1. М., 1972. С.1135. 7. Волынский А.Л., Микушев А.Е., Ярышева Л.М., Бакеев Н.Ф. // Рос. хим. журн. (Журн. Рос. хим. об-ва им. Д.И.Менделеева). 2005. Т.50. .№6. С.118-128. |








