Реферат: Генетический алгоритм
|
Название: Генетический алгоритм Раздел: Рефераты по математике Тип: реферат |
Генетический алгоритм (ГА) разработан Джоном Голландом (John Holland) в 1975 году в Мичиганском университете. В дальнейшем Д. Голдберг (D. Goldberg) выдвинул ряд гипотез и теорий, помогающих глубже понять природу генетических алгоритмов. К.ДеДжонг (K. DeJong) первым обратил внимание на важность настройки параметров ГА для общей эффективности работы и предложил свой оптимальный вариант подбора параметров, который послужил основой для всех дальнейших исследований. Существенный вклад в эти исследования внесли Дж. Грефенстетт (J. Greffenstett) и Г. Сесверда (G. Syswerda). Генетический алгоритм был получен в процессе обобщения и имитации в искусственных системах таких свойств живой природы, как естественный отбор, приспособляемость к изменяющимся условиям среды, наследование потомками жизненно важных свойств от родителей и т.д. Так как алгоритм в процессе поиска использует некоторую кодировку множества параметров вместо самих параметров, то он может эффективно применяться для решения задач дискретной оптимизации, определённых как на числовых множествах, так и на конечных множествах произвольной природы. Поскольку для работы алгоритма в качестве информации об оптимизируемой функции используются лишь её значения в рассматриваемых точках пространства поиска и не требуется вычислений ни производных, ни каких-либо иных характеристик, то данный алгоритм применим к широкому классу функций, в частности, не имеющих аналитического описания. Использование набора начальных точек позволяет применять для их формирования различные способы, зависящие от специфики решаемой задачи, в том числе возможно задание такого набора непосредственно человеком. Сила генетических алгоритмов в том, что этот метод очень гибок, и, будучи построенным в предположении, что об окружающей среде нам известен лишь минимум информации (как это часто бывает для сложных технических систем), алгоритм успешно справляется с широким кругом проблем, особенно в тех задачах, где не существует общеизвестных алгоритмов решения или высока степень априорной неопределенности. Генетический алгоритм: описание Генетический алгоритм работает с представленными в конечном алфавите строками S конечной длины l, которые используются для кодировки исходного множества альтернатив W. Строки представляют собой упорядоченные наборы из l элементов: S=(s1
, s2
, ..., sl
), каждый из которых может быть задан в своём собственном алфавите Vi
, Для работы алгоритма необходимо на множестве строк Если на множестве W задана целевая функция f(w), то функцию F(S) на множестве строк Генетический алгоритм за один шаг производит обработку некоторой популяции строк. Популяция G(t) на шаге t представляет собой конечный набор строк: Анализ работы алгоритма удобно производить, используя аппарат схем. Схемой в генетическом алгоритме называют описание некоторого подмножества строк. Схема H=(h1
, h2
, ..., hm
) может рассматриваться как строка, алфавиты для элементов которой дополнены специальным символом “#”: Например, для множества строк Часть популяции Суть генетического алгоритма заключается в следующем. Пусть на шаге t имеется популяция G(t), состоящая из N строк. Для популяции вводится понятие средней ценности популяции Fср
(G(t)): Аналогично для подпопуляции GH
(t), удовлетворяющей схеме H, вводится понятие средней ценности подпопуляции Fср
(GH
(t)): Генетический алгоритм осуществляет переход от популяции G(t) к популяции G(t+1) таким образом, чтобы средняя ценность составляющих её строк увеличивалась, причём количество новых строк в популяции равно KЧ N, где K - коэффициент новизны. Если K<1, то популяция будет перекрывающейся, т.е. в новой популяции сохраняются некоторые строки из старой, а если K=1, то она будет неперекрывающейся, т.е. подвергнется полному обновлению. Генетический алгоритм включает три операции: воспроизводство, скрещивание, мутация. Генетический алгоритм: блок-схема
Генетический алгоритм: основные операции Генетический алгоритм включает три операции: воспроизводство, скрещивание, мутация. Воспроизводство представляет собой процесс выбора K*N N строк популяции G(t) для дальнейших генетических операций. Выбор производится случайным образом, причём вероятность выбора строки Si
t
пропорциональна её ценности: Процесс выбора повторяется K*N N раз. Предполагаемое количество экземпляров строки Si
t
в популяции G(t+1) равно Операция воспроизводства увеличивает общую ценность последующей популяции путём увеличения числа наиболее ценных строк. Пусть в популяции G(t) содержится n(H, t) строк, удовлетворяющих схеме H. Тогда в результате воспроизводства количество строк, удовлетворяющих схеме H в популяции G(t+1) будет равно n(H, t+1):
Используя выражения для средней ценности популяции Fср (G(t)) и подпопуляции Fср (GH (t)), можно записать формулу (1) в виде:
Средняя ценность подпопуляции, соответствующей схеме H, может быть представлена в следующем виде:
Предположим, что величина c при изменении t не изменяется; тогда, начиная с t=0, получим: Таким образом, в результате операции воспроизводства те схемы, для которых соответствующие подпопуляции имеют среднюю ценность выше средней в популяции, увеличивают количество своих представителей. Воспроизводство оперирует со строками, уже присутствующими в рассматриваемой популяции, и само по себе не способно открывать новые области поиска. Для этой цели используется операция скрещивания. Скрещивание представляет собой процесс случайного обмена значениями соответствующих элементов для произвольно сформированных пар строк. Для этого выбранные на этапе воспроизводства строки случайным образом группируются в пары. Далее каждая пара с заданной вероятностью pскр подвергается скрещиванию. При скрещивании происходит случайный выбор позиции разделителя в (d=1, 2, ..., l-1, где l - длина строки). Затем значения первых в элементов первой строки записываются в соответствующие элементы второй, а значения первых в элементов второй строки - в соответствующие элементы первой. В результате получаем две новых строки, каждая из которых является комбинацией частей двух родительских строк. Операция скрещивания создаёт новые строки путём некоторой комбинации значений элементов наиболее ценных в популяции G(t) строк. Получившиеся в результате строки могут превосходить по ценности родительские строки. Рассмотрим некоторую схему H, для которой определим порядок o(H) - число фиксированных позиций схемы и определяющую длину в (H) - расстояние (число позиций) между первой и последней фиксированными позициями. Допустим, что до операции скрещивания строка S была представителем схемы H, т.е. Учтём, что скрещивание происходит с вероятностью pc
, а также то, что даже если позиция разделителя окажется между фиксированными позициями схемы, строка S1
может являться представителем схемы H, если данная строка была получена скрещиванием двух представителей схемы H. Тогда вероятность ps,1
того, что строка S1
является представителем схемы H, определяется выражением: Полагая независимость операций воспроизводства и скрещивания, оценим совокупный эффект от этих операций, т.е. число представителей схемы H в популяции G(t+1):
Так как открытие новых областей поиска в операции скрещивания происходит лишь путём перегруппирования имеющихся в популяции комбинаций символов, то при использовании только этой операции некоторые потенциально оптимальные области могут оставаться не рассмотренными. Для предотвращения подобных ситуаций применяется операция мутации. Мутация представляет собой процесс случайного изменения значений элементов строки. Для этого строки, получившиеся на этапе скрещивания, просматриваются поэлементно, и каждый элемент с заданной вероятностью мутации pмут может мутировать, т.е. изменить значение на любой случайно выбранный символ, допустимый для данной позиции. Операция мутации позволяет находить новые комбинации признаков, увеличивающих ценность строк популяции. Допустим, что до мутации строка S1
была представителем схемы H, т.е. Учитывая, что мутация происходит с вероятностью pмут
, вероятность ps2
того, что строка S2
является представителем схемы H, определяется выражением: Полагая независимость операций воспроизводства, скрещивания и мутации оценим совокупный эффект от этих операций, т.е. число представителей схемы H в популяции G(t+1):
Так как, при малых значениях pm
приближенно можно считать
или
Таким образом, схемы, у которых малы определяющая длина и порядок, и для которых соответствующая подпопуляция имеет среднюю ценность, превышающую среднюю ценность популяции, экспоненциально увеличивают число представителей в последующих поколениях. Очевидно, что эффективность описанной операции скрещивания значительно зависит от способа кодировки строк. Это свойство оказывается полезным для задач оптимизации функций, заданных на числовых множествах. Однако, если функция задана на произвольном множестве, например, на множестве комбинаций значений признаков объекта, где все признаки одинаковы по предпочтительности, то описанный выше способ скрещивания оказывается не вполне корректным, так как вероятность сохранения значений для групп признаков зависит от расстояния между элементами группы в кодовой строке, а это нарушает принцип равной предпочтительности признаков. Поэтому для таких задач операцию скрещивания предполагается производить путём обмена не частями строк, а отдельными элементами. При этом задаётся некоторое число позиций nП (nПО {1, 2, …, l}), которое определяет количество элементов строк, для которых производится обмен значениями. Число позиций nП может быть задано непосредственно или определяться случайно для каждой пары строк. Далее для каждой пары строк (S1 , S2 )i , где i - номер пары, случайно выбираются nП номеров ni,j (ni,j О {1, 2, …, l}; jО {1, 2, …, nП }). Затем для строк пары (S1 , S2 )i производится обмен значениями элементов с номерами ni,j , т.е. каждому элементу с номером ni,j строки S1 присваивается значение элемента с номером ni,j строки S2 , а элементу с номером ni,j строки S2 присваивается значение элемента с номером ni,j строки S1 . Допустим, что до операции скрещивания строка S была представителем схемы H, т.е.
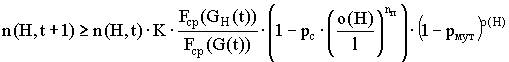
где o(H) - число фиксированных позиций схемы H. Совокупный эффект от операций воспроизводства и поэлементного скрещивания, и мутации, т.е. число представителей схемы H в популяции G(t+1) определяется выражением:
Таким образом, при поэлементном скрещивании скорость увеличения представителей схемы в последующих поколениях зависит от средней ценности схемы и количества фиксированных позиций и не зависит от расстояния между ними, а значит, не зависит от порядка расположения элементов в строке. Итак, в результате описанных выше операций получаем K*N N новых строк, которые либо полностью формируют новую популяцию G(t+1) (при K=1), заменяя при этом все строки популяции G(t), либо составляют часть популяции G(t+1), заменяя собой K*N N наименее ценных строк предыдущей популяции. Как видно из описания алгоритма, закон |

где I[1, m]
- множество целых чисел отрезка [1, m]. 
. 

. (1)
. (2)
.
.
. (3) 
.
,
.