Реферат: Некоторые аспекты накопления 90Sr и 90Y в березовом соке
|
Название: Некоторые аспекты накопления 90Sr и 90Y в березовом соке Раздел: Рефераты по экологии Тип: реферат | |||||||||||||||||||||||||||||
Некоторые аспекты накопления 90 Sr и 90 Y в березовом соке к.с-х.н. Переволоцкий А.Н., к.с-х.н. Булавик И.М., Диденко Л.Г. Радионуклиды в экологических исследованиях часто используются в качестве метки, с помощью которой удобно отслеживать движение их химических и изотопных аналогов. Так, 137 Cs отражает миграцию калия и стабильного цезия, 90 Sr v кальция и стабильного стронция. Поэтому изучение перераспределения искусственных радионуклидов в экосистемах имеет важное значение для более глубокого понимания механизмов функционирования природных сообществ. В данном аспекте удобным объектом исследования корневого поступления радионуклидов для березы обыкновенной является ее сок в период интенсивного весеннего сокодвижения. В его составе находятся не только сахара и аминокислоты, запасенные в предыдущий вегетационный период, но и минеральные и органические соединения, поступившие из почвы. Именно это и позволяет оценить корневую доступность широкого спектра веществ. Однако, если концентрация основных минеральных элементов, имеющих биогенное значение, в соке изучена в достаточной степени /1-3/, то для радионуклидов подобные исследования начали проводится только в последние годы и связано это с радиоактивным загрязнением окружающей среды в результате аварии на ЧАЭС. Причем, при довольно подробном изучении закономерностей корневого поступления 137 Сs в березовый сок /4-6/, эти вопросы для 90 Sr и для его дочернего радионуклида - 90 Y практически не изучены. Поэтому целью данного исследования являлось изучение особенностей накопления радионуклидов 90 Sr и 90 Y в березовом соке. Объекты и методика исследований Исследования проводились на стационарных опытных объектах сектора радиологии леса Института леса НАНБ в дальней зоне радиоактивного загрязнения в кв.340 Добрушского лесничества Гомелского лесохоза и кв.168 Ветковского лесничества Ветковского спецлесхоза (170 км северо-западнее ЧАЭС). Сосново-березовые насаждения на пробных площадях относятся к мшистому типу леса, их возраст составляет 40-60 лет. Радиометрический анализ почвы показал, что поверхностная активность 90 Sr в пределах указанных кварталов составляла 24-41 кБк/м2 . На каждой пробной площади подсачивалось 3-5 деревьев. При подсочке в каждом из них специальным буравом в комлевой части просверливалось отверстие диаметром 1,5 см и на глубину 1 см непосредственно под которым закреплялся металлический желобок. В месте отбора прикреплялся полиэтиленовый пакет, что позволило до минимума сократить привнесение радиоактивности извне. Длительность отбора одной пробы составляла около 1 суток и за это время объем заготовленного сока составлял 2-3 литра. После завершения отбора пробы подкислялись, переливались в полиэтиленовые емкости и доставлялись в лабораторию. В кв. 168 отбор был произведен 8 апреля, а в кв. 340 - 13 апреля. Определения объемной концентрации радионуклидов в березовом соке производилось Результаты и обсуждение При проведении повторных радиометрических анализов проб березового сока, отобранных в кв. 168 8 апреля, было замечено, что суммарная объемная активность 90 Sr+90 Y в них снизилась от 195-240 Бк/л до 105-151 Бк/л примерно за трое суток (табл.1). Схожий характер уменьшения объемной концентрации указанных радионуклидов был зафиксирован и на 10 других опытных объектах в Ветковском и Гомельском лесхозах, где нами проводятся многолетние мониторинговые исследования за накоплением радионуклидов в березовом соке. Причиной этого явления, по нашему мнению, могло быть нарушение в березовом соке радиоактивного равновесия между 90 Sr и 90 Y в пользу дочернего радионуклида. Для подтверждения этой гипотезы и установления временных параметров изменения объемной активности был проведен специальный эксперимент, при котором пробы сока, отобранные в кв.340, подвергались радиометрическому анализу в течение месяца. Первоначально измерения проводились ровно через сутки, а после 18 апреля через двое-трое суток. Сроки между измерениями и их результаты приведены в табл. 1. Согласно данным, приведенным в таблице 1, суммарная объемная активность 90 Sr+90 Y в березовом соке из кв. 340 через 10 часов после отбора проб составляла 200-280 Бк/л. Оценивая временную динамику объемной концентрации радионуклидов, нетрудно заметить во всех пробах монотонное снижение этого показателя с последующим выходом на плато при 45-50 Бк/л по истечению 200-250 часов после отбора пробы. При этом наиболее интенсивно объемная активность уменьшается в первые трое суток. Очевидно, что выявленное уменьшение объемной активности 90 Sr+90 Y в березовом соке при указанных в методике особенностях измерении данным прибором, может быть определено как раз нарушением радиоактивного равновесия между этими генетически связанными радионуклидами в сторону дочернего радионуклида. В противном случае возможны были бы два варианта: объемная активность не претерпевала никаких изменений во времени. Этому случаю соответствовало бы поступление обоих радионуклидов из почвы в березовый сок в равных количествах; объемная активность увеличивалась во времени с последующим выходом на плато. Этому случаю соответствует более интенсивное поступление 90 Sr в березовый сок из почвы по сравнению с 90 Y. В дальнейшем, по мере распада материнского радионуклида, количество дочернего будет возрастать до установления состояния радиоактивного равновесия между ними. Подобное увеличение могло быть зафиксировано радиометром при измерении одних и тех же пробы в течение длительного времени. Можно предположить, что корневое поступление генетически связанных 90
Sr и 90
Y в березу происходит по различным закономерностям, из-за чего радиоиттрий поступает более интенсивно, чем радиостронций. Поэтому, непосредственно после отбора объемная Фактически, задача сводится к классическому в ядерной физике случаю исследования динамики объемной активности смеси материнского и дочернего радионуклидов, для которой характерно смещение радиоактивного равновесия в сторону последнего. Для более точного определения соотношения радионуклидов на момент отбора, позволяющего оценить уровни их поступления в березовый сок, динамика объемной активности для радиоиттрия была смоделирована математически: Act
Y
= Ac0
Y
exp(-0.693 t / T)+ Ac0
Sr
[1-exp(-0.693 t/T)], где Act
Y
v объемная Ac0
Y
v объемная Ac0
Sr
- объемная t v время в часах с начала отбора сока; T v период полураспада радиоиттрия в часах (64 часов). Данное уравнение состоит из слагаемых, отражающих прохождение двух разновекторных процессов. Первый член соответствует радиоактивному распаду ?избыточно¦ поступившего в сок (по отношению к материнскому 90 Sr) дочернего 90 Y, второй v накоплению радиоиттрия, вызванного распадом материнского радиоизотопа. Нетрудно заметить, что при времени t значительно меньшем за период полураспада материнского радионуклида этот случай подвижного равновесия можно рассматривать как вековое равновесие. Необходимыми условиями при этом является соблюдение отношений постоянных распада На рис. 1 приведена графическая интерпретация расчета динамики активности радиоиттрия в смеси 90 Y+90 Sr при отношении их активностей как 50:10. Суммарная активность 90 Y (линия 4) изменяется, как уже говорилось выше, за счет прохождения двух разнонаправленных процессов. С одной стороны, избыточно поступившая в сок (по отношению к материнскому 90 Sr) доля радиоиттрия претерпевает радиоактивный распад, что отмечено линией 1. Но с другой стороны, идет накопление дочернего радионуклида в соке за счет распада материнской фракции (линия 3). Суммирование этих двух разновекторных процессов, в итоге, приводят к более медленному изменению суммарной активности, отраженному линией 4. При этом нетрудно заметить, что динамика активности будет зависеть от начального соотношения активностей 90 Y/ 90 Sr в отобранной пробе v чем оно выше, тем более резкими будут изменения. Важность оценки этого соотношения активностей в момент отбора сока состоит в том, что оно отражает фактические концентрации радионуклидов в растении.
Рис.1. Графическая интерпретация расчетной активности смеси изотопов 90 Y и 90 Sr Параметры для уравнения 1 несложно определить из табл.1 исходя из условия предполагаемого радиоактивного равновесия в пробе [7]. Так, Act
Y
=Act
/2 может быть вычислена из табл. 1 для любого момента измерения t. В нашем случае, для деревьев в кв.340, она снижается от 100-140 Бк/л при t=10 часов до 20-30 Бк/л при t=250-710 часов. Ac0
Sr
также равна Act
/2, однако, эта величина может быть корректно определена при фактически установившемся радиоактивном равновесии между радиостронцием и радиоиттрием, т.е., как минимум, по истечении 250-300 часов после отбора пробы. Для деревьев в кв. 340 она будет находится на уровне 20-30 Бк/л. В целом же, учитывая большой период полураспада 90
Sr можно принять Ac0
Sr
=const в течение всего времени эксперимента. Таким образом, с помощью представленных величин и данных табл. 1 по уравнению (1) была рассчитана начальная объемная Начальная объемная активность радионуклидов в березовом соке, Бк/л
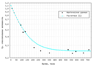
После того, как были определены все неизвестные величины в уравнении 1, Act Y была рассчитана теоретически для произвольного момента времени t. На рис. 2 приведено среднее значение, нормированных объемных активностей на момент первого измерения (примерно 10 часов после отбора). О высокой адекватность теоретических данных фактическим результатам свидетельствуют высокие значения корреляционных отношений между ними
Рис. 2. Динамика объемной Таким образом, установленное нами отношение Ac0 Y / Ac0 Sr =4,6-4,9 позволяет однозначно утверждать о превышение поступления радиоиттрия в березу по сравнению с материнским 90 Sr, традиционно считающимся высокомобильным в системе почва-растение. Если же рассматривать 90 Y как радиоактивную метку стабильного иттрия, то становится очевидным, что потоки последнего в экосистеме березового леса могут быть достаточно интенсивными. Вероятно, подобное явление может быть связано со способностью иттрия к комплексообразованию с различными органическими веществами, обладающими высокой растворимостью и подвижностью. Кроме того, ионный радиус данного элемента ниже, чем у стронция, с чем также может быть связано несколько большее поступление в растения. Пока сложно говорить и переносимости полученных результатов на другие древесные растения, в дальнейшем планируется продолжить исследования по этой теме. Выводы: Измерение концентрации 90
Sr методами Поступление 90 Y в березовый сок происходит в 4,6-4,9 ( в среднем в 4,75) раза более интенсивно, чем, 90 Sr. Это позволяет говорить о более высокой биологической активности в экосистеме березового леса радиоиттрия. Список литературы 1. Орлов И.И., Рябчук В.П. Березовый сок. // М.: Лесная промышленность. - 1982. - 55 с. 2. Рябчук В.П. Соки лиственных деревьев (Получение и использование). // Львов: Вища школа, 1988. - 150 с. 3. Leaf A.L. Watterston K.C. Chemical analysis of sugar maple sap and foliage as related to sap and sugar yields // Foresn Science. 1964. Vol.10 ¦3. - P.228-292. 4. Кучма Н.Д., Архипов Н.П., Федотов И.С. и др. Радиоэкологические и лесоводственные последствия загрязнения лесных экосистем зоны отчуждения // Чернобыль., 1994. - 53 с. 5. Мухамедшин К.Д., Чилимов А.И., Мишуков Н.П. и др. Лесное хозяйство в условиях радиации. - М.:ВНИИХлксхоз. - 1995. - 53 с. 6. Лес, Человек, Чернобыль. Лесные экосистемы после аварии на Чернобыльской АЭС: состояние, прогноз, реакция населения, пути реабилитации.// Под общ. ред Ипатьева В.А. - Гм. 1999. - 454 с . 7. Методика выполнения измерений содержания радионуклидов стронция-90 и цезия-137 в продуктах питания, питьевой воде, почве, сельскохозяйственном сыре и кормах, продукции лесного хозяйства и других объектах окружающей среды на бета-гамма-радиометре МКС-1311 (El-1311) МВИ МН 977-99. v НПП ?Атомтех¦, утверждена 20.03.99 г. v Мн. 1999. v 36 с. |
|||||||||||||||||||||||||||||

