Состояние рынка земли в России
PAGE \* MERGEFORMAT32
Содержание
Введение 3
Глава I. Теоретический аспект рынка земли 5
1.1 Общие положения рынка земли 5
1.2 Система рынка земли 7
1.3 Современные направления рынка земли 17
Глава II. Состояние рынка земли в России 19
2.1 Особенности земельного рынка в России 19
2.2 Актуальные проблемы современного рынка земли в России 22
2.3 Пути совершенствования российского земельного рынка 26
Заключение 32
Список литературы 34
Введение
Как экономического ресурса особенностью земли является ограниченность, так как в отличие от капитала она неподвижна.
Актуальность. Именно проблема частной собственности легла в основу появления рынка земли, так как с одной стороны, выступают собственники земельных ресурсов, а с другой люди, владеющие деньгами и желающие свои деньги и свой труд вложить в использование земельных угодий и стать предпринимателями. Собственники земли предлагают свои земли в аренду, таким образом, формируя предложение на землю. Потенциальные сельскохозяйственные землепользователи (арендаторы) вступают в переговоры об аренде земли, тем самым формируют спрос на землю, вследствие чего в обществе возникают аграрные отношения. В роли землевладельца может выступать физическое лицо, государство, фирма. Арендатор, предприниматель, получающий обычную прибыль, является землепользователь. Иногда функции собственника земли и землепользователя совпадают, эта ситуация возникает, когда землевладелец сам обрабатывает свой участок или когда землепользователь стал хозяином данной земли.
Проблема совершенствования правового регулирования земельных отношений в России в последнее время стала одной из самых актуальных, и широко обсуждается не только среди юристов, законодателей и политиков, но и в обществе в целом. Мнения сторон, участвующих в обсуждении иногда противоречивы, но все сходятся в одном: действующее законодательство о земле не отвечают современным потребностям регулирования земельных отношений, так как Россия перешла на качественно новые отношения, поэтому, изменилось отношение к земле. Есть множество инноваций, например, одна из них это свободная продажа и покупка земли.
Основным национальным ресурсом является земля. Земля, особенно сельскохозяйственный свободный рынок не являются обязательным, во всех странах введены определенные ограничения, чем земля ценнее по местоположению, тем больше ограничений. Практика в землепользовании России показала, что отсутствие таких ограничений, особенно в естественных и курортных зонах, а также в населенных пунктах привело к появлению феномена огромного теневого рынка земли.
Россия является одним из немногих стран в мире, с его уникальным земельным участком, но не имеет на сегодняшний день специализированную систему землепользования. Таким образом, вопросы, связанные с функционированием и использованием земли находятся в общественных интересах.
Цель работы охарактеризовать состояние рынка земли в России.
Задачи работы:
- раскрыть теоретический аспект рынка земли ;
- охарактеризовать систему рынка земли ;
- выявить современные направления рынка земли;
- рассмотреть особенности земельного рынка в России;
- раскрыть актуальные проблемы современного рынка земли в России ;
- изучить пути совершенствования российского земельного рынка.
Глава I. Теоретический аспект рынка земли
1.1 Общие положения рынка земли
Рынком земли является сфера товарного оборота земельных угодий, которые можно использовать либо для земледелия, либо для строительства зданий, сооружений, объектов инфраструктуры. При этом следует иметь в виду, что под земельным рынком понимается оборот земли, включающий как непосредственную ее куплю-продажу, так и иные сделки с землей (аренда земельных участков).
Земля как экономический ресурс, имеет ряд особенностей. Во-первых, земля не имеет производственных затрат. Земля доступна в качестве природного объекта. Это бесплатно и не воспроизводимый дар природы. Во-вторых, ограниченность земли ли. Все другие экономические ресурсы (труд и капитал) также ограничены, но они могут сохранить или воспроизвести. Изменение размера земли человечество не в силах.
Поскольку количество совокупного предложения земли в любой момент времени не может быть увеличено, то кривая не эластична к предложению земли. Это означает, что предложение земли не может быть увеличено даже к значительному увеличению цен на землю. Тем не менее, следует иметь в виду, что в долгосрочной перспективе предложение земли может измениться. Например, в связи с нерациональным использованием природных ресурсов могут быть потеряны земли сельскохозяйственного назначения. Из-за эрозии из сельскохозяйственного производства в мире каждый год 6-7 млн. га приходится на заболачивание и засоление.
Это означает, что в кривой краткосрочным предложением является вертикальная линия, а в долгосрочном - косая (слева).

Земельные угодья можно использовать как для сельскохозяйственных, так и для несельскохозяйственных нужд (земля используется для строительства жилья, объектов инфраструктуры, производственных корпусов и пр.). Совокупный спрос на землю складывается из сельскохозяйственного и несельскохозяйственного спроса: DN = D1 + D2, где DN совокупный спрос на землю; D1 сельскохозяйственный спрос; D2 несельскохозяйственный спрос (рисунок справа).

В отличие от сельскохозяйственного спроса на землю несельскохозяйственный спрос демонстрирует сегодня устойчивую тенденцию к росту. Например, все земельные ресурсы России составляют 1709,8 млн. га, из них на сельскохозяйственные земли приходится только 662,2 млн. га.
На рынке земли действует тот же, что и на всех прочих рынках, механизм Спроса и предложения. Однако прежде чем его рассматривать, необходимо определить некоторые экономические категории, без понимания которых изучение данного факторного рынка было бы затруднительно. Необходимо четко различать понятия аренды и ренты, землевладения и землепользования. Субъектами экономических отношений на рынке земли выступают два типа собственников полный собственник и собственник по пользованию. Полный собственник (землевладелец) обладает всеми правами собственности на земельный участок и определяет его дальнейшее использование. После заключения сделки по аренде определяется конкретный пользователь земли землепользователь. Землевладение владение землей на правах собственности и отдача ее в пользование предпринимателям. Землепользование пользование землей в установленном законом порядке. Землевладелец может сам заниматься производительным использованием земли, тогда землевладелец и землепользователь едины в одном лице. Пользователь же земли не обязательно является ее собственником.
Особенностью механизма ценообразования на рынке земли является необходимость различать земельный участок как таковой и производственную функцию земли. У землевладельца существует три варианта использования своей собственности: земельный участок можно продать, выручив за него соответствующую цену; на данном участке можно вести хозяйственную деятельность, получая при этом регулярный доход в виде прибыли; земля может быть сдана в аренду, что принесет ее владельцу регулярный доход в виде ренты.
1.2 Система рынка земли
При рассмотрении системы рынка земли, следует учесть его индивидуальности. Во-первых, через систему рыночных отношений в каждый данный период времени проходит небольшая дробь земляного фонда. Во-вторых, земля закладывается, сдается в аренду и продается на определенных условиях. В-третьих, большая часть земляных участков изредка меняет своего владельца. В рыночной системе земельный рынок играет двоякую роль: с одной стороны, он формирует и поддерживает отношение к земле как к особенной ценности, побуждает очень продуктивно ее применять, формирует механизмы перехода земли в руки такого, кто способен наиболее отлично ею распоряжаться.
С иной стороны, он не формирует запрет бесхозяйственному отношению к земле, так как в погоне за выгодностью земельных сделок не учитываются интересы сохранения земельного потенциала сообщества.
Земля, как специфическое средство производства, выступает одновременно и как лекарство труда, и как объект труда. Как народнохозяйственный ресурс земля не имеет трудового происхождения, количественно ограничена, незаменима иными средствами изготовления, владеет постоянством местоположения, не изнашиваема при верном применении, обладает различными свойствами по плодородию и местоположению. Ограниченность земли означает, что её предписание совсем неэластично, т. е. не может быть увеличено даже в критериях значимого роста цен на землю. Для такого чтоб найти, какая стоимость действительно установится, нужен анализ спроса, который в предоставленном случае играет функциональную роль [7].
Неотъемлемой частью механизма рынка земли является спрос на землю. Спрос на землю неоднороден. Он подключает два главных элемента - аграрный и несельскохозяйственный спрос:
D = Dсх + Dнесх,
где D - совокупный спрос;
Dсх - сельскохозяйственный спрос;
Dнесх - несельскохозяйственный спрос.
Сельскохозяйственный спрос на землю является в условиях развитого рыночного хозяйства производным от спроса на продовольствие. Он складывается из спроса на продукцию растениеводства, животноводства и т.д.
Сельскохозяйственный спрос на землю учитывает уровень плодородия почвы и возможности его повышения, а также местоположение - степень удаленности от центров потребления продовольствия и сырья. Сельскохозяйственная спрос на землю определяется особенностями спроса на продукты питания. Для пищевой типичной ситуации, близкой к совершенной конкуренции, как во власти семейных ферм. Страна в развитых странах, как правило, не ограничивает право граждан на продажу земли и практически не влияет на его цену. Исключение составляют лишь ряд стран (с высокой долей аренды, таких как Бельгия), в случае его предоставления преимущественного права на приобретение земельных постоянных арендаторов. Тем не менее, в этом случае, сделка по продаже земли осуществляется по рыночным ценам. [7]
Сельскохозяйственный спрос на землю оказывает серьезное воздействие такой важный фактор, как постепенное снижение доли продуктов питания в бюджете потребителя - типичное явление для подавляющего большинства населения стран. Это долгосрочная тенденция. Таким образом, доля сельского хозяйства в национальном доходе сокращается.
Естественно, это в конечном счете повлияет на спрос земли сельскохозяйственного назначения, и на ее предложении. В отличие от сельскохозяйственного спроса на землю несельскохозяйственного назначения спрос постоянно растет. Несельскохозяйственный спрос на землю также объединяет различные типы спроса. Он стоит из спроса на земли для жилищного строительства, инфраструктуры и промышленного спроса даже инфляционного спроса на землю. В условиях высокой инфляции борьба амортизации денежного богатства подталкивает спрос на недвижимость. Земля действует как один из гарантий для сохранения и улучшения благосостояния. Несельскохозяйственный спрос, как правило, равнодушен к уровню плодородия земли. Главное для него - местоположение земли. Это имеет особое значение в крупных городах. В различных частях города цены земельного участка варьируется и обычно достигает максимума в центре города. Не случайно в центре многих американских городах небоскребы. Они позволяют размещать значительную производственную (или непродуктивную) область на ограниченной территории земли.
Земля, как и другие экономические выгоды имеет свою цену. Цена земли определяется путем капитализации ренты.
Следовательно, цена земли это текущая стоимость будущей земельной ренты. На практике цена земли зависит от многих факторов. Например, цены на землю могут быть связаны с растущим спросом на нее для несельскохозяйственных нужд. Резко возрастает спрос на землю в условиях инфляции и особенно гиперинфляции, которые, следовательно, приводит к увеличению цен на землю. В целом, динамика цен на землю в странах с рыночной экономикой с начала ХХ века неуклонно увеличивается.
В развитом рыночном хозяйстве земля становится предметом купли-продажи. Что же в этом случае лежит в основе цены на земли?
При продаже земли ее собственник заботится о том, чтобы не потерять получаемый им рентный доход. Он, по-видимому, стремится получить за участок по крайней мере такую сумму денег, которая, будучи помещена в банк, принесла бы ему годовую величину процента, равную ренте. В свою очередь, покупатель земли, прежде чем стать ее собственником, сравнивает приносимую землей сумму ренты с процентом, который он может получить, если положит свои деньги в банк. Стало быть, цена земли есть капитализированная (превращенная в денежный капитал) рента.
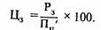
Цена земли (Цз) прямо пропорциональна величине ренты (Рз) и обратно пропорциональна ставке депозитного процента (Пц):
При неизменном рентном доходе цены на землю могут возрастать, когда снижается ставка процента. На рыночную цену земли определенное влияние оказывает соотношение предложения и спроса на данный товар. При этом важно отметить, что количество предлагаемой земли не может вообще измениться под воздействием повышения или снижения цены: общее количество освоенной земли невозможно увеличить. Только при очень высоких ценах на землю становится выгодным вовлекать в оборот заболоченные, пустынные и им подобные территории, но и их количество имеет непреодолимые пределы. Для современных условий характерна тенденция уменьшения предложения земли вследствие ряда обстоятельств. Так, непрерывно усиливается процесс урбанизации (роста городов) и использования земли для других несельскохозяйственных целей (добычи полезных ископаемых, строительства аэродромов и т. п.). В связи с этим государство в ряде стран идет на национализацию части земель (выкупая ее у собственников), создает национальные парки и заповедники, в которых в экологических целях сохраняется в неприкосновенности природная среда. Оно улучшает использование земель для городского строительства и рационального развития отдельных регионов страны. Все это, естественно, ограничивает предложение на рынке земли [8].
Одновременно возрастает спрос на землю. Его предъявляют крупные сельскохозяйственные предприятия, стремящиеся расширить свою деятельность. Активными покупателями выступают те, кто строит дома за пределами городов и использует землю для иных несельскохозяйственных нужд. В итоге для соотношения предложения и спроса на землю сейчас типична ситуация, изображенная на рис. 1.

Рис. 1. Изменение цены земли при разных соотношениях предложения и спроса на нее.
На рис. 1. показано, что происходит с ценой при сокращении земельных угодий, являющихся объектом купли-продажи на рынке земли, и при увеличении спроса на нее. Во многих случаях кривая предложения является строго фиксированной и принимает вертикальное положение, поскольку не изменяется под воздействием спроса. Первоначально эта кривая (П1 П2) пересекается с кривой спроса (С1-С2) в равновесной точке Р1, что приводит к образованию цены земли Ц1.
Однако при уменьшении количества земли с З1 до З2 кривая предложения (П3-П4) пересекается с кривой спроса в равновесной точке Р2, вследствие чего цена земли повышается с уровня Ц1 до уровня Ц2.
Не случайно во второй половине XX в. в странах Запада сложилась устойчивая тенденция к росту цены земли. Показательно, например, что в ряде регионов США цена земли выросла по сравнению с 1940 г. более чем в 35 раз. Сопутствующим этому следствием является еще более быстрое повышение цены на жилые дома. Так, в тех же США в начале 50-х годов цена традиционного односемейного дома равнялась 8 тыс. долл., а в середине 80-х годов она возросла более чем в 10 раз. Для приобретения дома американская семья может получить ссуду в размере 70% его товарной цены с рассрочкой на 2540 лет. Между тем выплачиваемая по процентам сумма оказывается больше первоначального займа в 2 или более раза. Инвестировать деньги и имущество - земельные участки, дома и другие объекты капитала, цены, как правило, растут быстрее, чем другие продукты, был особенно выгодно с точки зрения инфляции. Наконец, мы подошли к важному выводу. Эффективное использование собственности на землю (прибыль) может быть в разных формах землепользования. Это означает, что сельское хозяйство может процветать в плюралистических формах собственности на землю. Решающее значение для нормального дохода имеют технические, организационные и экономические условия производства. Такие условия процветает в крупных хозяйствах. [10]
В свою очередь, что касается мелких хозяйств, они нуждаются в поддержке государства: они нуждаются в финансовой помощи, серьезные экономические стимулы и современная инфраструктура сельскохозяйственного производства, которая обеспечивает агробизнес.
Поставка земли зависит от спроса на землю. Ограниченное предложение земли, не только на макро, но и на микроуровне. Для большинства расширения ферм не только в краткосрочной перспективе, но в долгосрочной перспективе сталкивается с определенными трудностями. Факторы, влияющие на предложение земли, являются плодородие и положение. Таким образом, когда речь идет об ограниченности земли, имеют в виду определенное качество земли, расположенный в определенном месте. Естественно, количество хорошей земли вокруг конкретного города или даже большой частной ферме вдвойне ограничен: как качество и количество. Рождаемость, например, зависит от качества почвы, климата, характера используемого метода, трудовых навыков и производственного опыта тех, кто работает на земле, и т.д.
Многие часто ищут другие формы дохода (работы разделения, аренда комнаты или части арендной платы, и т.д.), но эти источники являются лишь дополнением к их базовой прибыли, связанных с сельским хозяйством. Даже ограниченная подвижность сотрудников. Тот факт, что прибыль сельскохозяйственных рабочих, как правило, ниже, чем промышленных рабочих. Кроме того, многие из них получают различные формы «неденежного вознаграждения» в виде имущества (которое часто предоставленной вместе с работой), сельскохозяйственной продукции и т.д. Однако, как правило, есть определенные положения повысить качество и производительность земли, которые зависят от форм управления. По традиции этот вид производства не может быть изменен[14].
Поставка земли осуществляется арендой. Это является важным звеном в механизме рынка земли. Прежде чем определить арендную плату, необходимо различать две экономических категорий - собственности на землю и пользования. Собственность на землю означает признание права человека (физического или юридического) в течение определенного отрезка земли на исторических основаниях.
Землепользование относится к использованию земли в установленном обычаи или законом. В реальной экономической жизни пользователь и собственник - часто разные лица. Аннуитет - цена за использование земли и других природных ресурсов. Если фактор производства не имеет альтернативного использования, его альтернативная стоимость равна нулю, а все доходы от его использования представляются в виде арендной платы.
В экономической литературе широкое распространение получила точка зрения, согласно которой экономическая рента на рынке факторов производства представляет собой выигрыш (излишек) производителя на рынке товаров: она показывает, насколько реальная цена экономического ресурса выше цены, достаточной для привлечения ресурса в данную экономическую сферу (т.е. по сравнению с альтернативной стоимостью предложения ресурсов).
В экономической литературе, экономическая рента, трактуется как любой доход, относимый к производственным затратам ресурса, который превосходит его альтернативную стоимость. Этот доход возможен лишь при фиксированном предложении ресурса. Ресурсы производства всегда имеют определённое ограничение в краткосрочном периоде. В долгосрочном периоде положение может меняться. Единственным ресурсом, предложение которого неэластично даже в долгосрочных временных интервалах, является земля (с точки зрения всего общества). Доход, получаемый от её использования, называют чистой экономической рентой.
Независимо от качества земли и ее расположения, его владелец будет по-прежнему получать доход от ее реализации. Эта опция называется чистой арендой земли или абсолютная рента. Экономическую ренту следует отличать от квази- ренты. Платежи владельцам факторов производства, поставки которых закреплены в краткосрочной перспективе, называются квази- рента, которая называется остаточная оплаты. Квази- рента в долгосрочной перспективе, когда все факторы производства становятся переменными. Экономическая рента сохраняется в долгосрочной перспективе.
Спрос на землю (или, скорее, на использование земли) интересует всех тех, кто желает использовать плодородие почвы для сельскохозяйственного производства, и те, кто нуждаются в земле для промышленного производства (добыча), строительных или иных целях, не связанных с использованием плодородия. Эти лица являются арендаторы. Для использования земельного участка арендатор платит арендную плату арендодателю. Таким образом, земельная рента является доходом физических ресурсов, полученных от сдачи в аренду этих ресурсов предпринимателей (арендаторов). Рента как экономическая категория это не только доходы от факторов производства. Это доход от любого фактора производства. Принцип установления ставок аннуитета как противовес таким же, как в случае заработной платы и процента.
Поскольку общее количество земли фиксировано, то его общая ставка неэластичена. [7]
Итак, величина земельной ренты определяется в первую очередь спросом на землю. При этом рента различна в зависимости от качества земли:
1) природных условий (тип почвы, климат, рельеф);
2) плодородия почвы;
3) местоположения земли.
Ограниченность земли ведет к возникновению монополии хозяйства на земле. Это означает, что каждый участок как объект хозяйства монополизирован определенным собственником, который не допустит приложения к этой земле чужого капитала. Земли, лучшие по качеству, приносят и большую ренту. Кроме монополии хозяйства на земле, существует монополия частной собственности на землю. В связи с этим выделяют две формы земельной ренты:
- абсолютная рента это тот минимальный доход, который получают владельцы всех участков земли независимо от ее качества; она порождена монополией частной собственности на землю;
- дифференциальная рента - это уже добавочный доход, полученный только собственниками средних и лучших земельных участков (лучшие. Средние и худшие - условное деление участков).
Дифференциальная земельная рента связана с различиями в естественном плодородии участков земли, что обуславливает их различную предельную производительность, а следовательно, и получение более высокого дохода при одинаковых затратах.
1.3 Современные направления рынка земли
Ключевую роль играет определение цен на землю. При определении цены на землю, конечно, последнее слово в спросе и предложении. Тем не менее, те, кто хочет купить землю, рассматривают альтернативы. На самом деле, цена земли - это не цена покупки земли, а это земельная рента, и то что она приносит.
Земле в России так и не удалось стать полноценным продуктом. Одним из них является цена земли, а во-вторых, есть только арендная плата. Например, земля в окрестностях города, вы можете легко купить или продать. И любая операция с сельскохозяйственными землями связана с огромном количеством законодательных «если» и «но», разбросанных по нескольким документам.
Сегодня, в соответствии с сельскохозяйственным институтом Российской академии сельскохозяйственных наук, имущество граждан составляет более 60 % сельскохозяйственных земель в России.
Цена родилась на рынке. "Открытие " цены, происходит тогда, когда покупатель и продавец соглашаются на спрос и предложение. В России этот процесс идет, но очень неравномерно. Уже давно идет бойкая торговля, и цена определяется рынком. Это в основном участки, земельный участок под жилье, некоторые виды земли в городских районах (например, земля под строениями приватизированных предприятий).
Но большую часть рынка земли потенциала у нас есть, а именно - земли сельскохозяйственного назначения, общая стоимость которых, по словам директора Американского Института сельского развития Роя Простермана составляет $ 5 триллионов. И эта земля практически вне рынка и, следовательно, не имеет рыночной цены. [9]
Закон «О земле» в ст. 25 указывает, что нормативная цена земли - это мера стоимости земли и расположение определенного качества, на основе потенциального дохода за Расчетный срок окупаемости [4].
Земля в соответствии с Земельным кодексом, который будет использоваться только по их прямому назначению, он не может продать любую компанию, скажем, строительство завода. В свою очередь сделка с акциями еще не являются, как правило, между родственниками в деревне, и это потому, что продажа организовать выгодно с точки зрения налогообложения, чем подарок.
Глава II. Состояние рынка земли в России
2.1 Особенности земельного рынка в России
Рынок земли в России зарождался постепенно и этому способствовали многочисленные законы и нормативные акты. Для начала следует напомнить о главных нормативных актах. Первый - это Конституция РФ, которая дает собственнику земельного участка право свободного распоряжения им, если это не наносит ущерба окружающей среде и не затрагивает интересов других лиц. Это означает возможность заключения сделок, предусмотренных государственным законодательством [1].
В трансформации аграрных отношений центральное место занимает земельная реформа. Ее реализация в России до недавнего времени была проведена без четкого научного понятия, и сопровождается неоправданным экономическим затратам, социальной напряженности, формальных изменений в владения, пользования и распоряжения землей. Не полностью сформирован правовая база земельной реформы, адекватные рыночные принципы, о чем свидетельствует длительная работа Земельного кодекса.
С начала развития аграрной реформы понятие земельной реформы вызвало некоторые расхождения. Различия сводились к вопросу о земле, в первую очередь частного оборота рынка недвижимости структуры землепользования и, соответственно, общей сельскохозяйственной структуры, роли и места в ее ферме и других форм частной собственности на землю. В то же время оставался на фоне необходимого для последовательного формирования новой системы земельных отношений с региональной точки зрения переходного периода. Целевые реформы в земельных отношений затрудняет теоретическое путаницу в собственности на землю, и это все еще скрывает полный аграрную реформу.
Таким образом, в 1990 году, началось формирование частной собственности, которая стала основой аграрной политики России в ближайшие годы. В начале реформы было предпринято сильное давление на существующую систему коллективных и государственных земельных отношений. Сопротивление этого натиска, система начала адаптировать, изменяя внешнюю оболочку, но поддерживая внутреннюю устройства. Это было особенно характерно для периода 1992-1994 гг. В последующие годы, сельского хозяйства, и его компонент земельная реформа, стали заложниками общего экономического кризиса, который был препятствием для осуществления аграрной реформы в стране.
Можно выделить пять целевых приоритетов переходного периода в реформировании системы земельных отношений в аграрном секторе России:
- Переход от монополии государственной собственности на сельскохозяйственные угодья к сочетанию ее с частной и муниципальной собственностью, что открывает возможности для развития различных форм сельскохозяйственного производства.
- Социально-ориентированное первичное распределение земли в ходе приватизации государственных земель путем установления норм бесплатной передачи земли работникам хозяйств, пенсионерам и работникам сельской социальной сферы
- Введение платности землепользования, что связано с экономической реализацией функции земли как составной части национального богатства страны.
- Развитие рыночного и внерыночного земельного оборота, который должен содействовать разумной концентрации в руках эффективных собственников сельскохозяйственных угодий и повышению результативности их использования в сельском хозяйстве.
- Усиление экологических требований при использовании сельскохозяйственных угодий и государственного контроля за соблюдением земельного законодательства.
- Для реализации этих задач необходимо было создать правовой, организационный и экономический механизмы и определить переходный период проведения реформы в России в целом и в ее регионах. Однако было предпринято неоднозначное ускоренное решение вопроса о собственности на землю в стране, которая в течение 70 лет жила в условиях только лишь государственной формы.
Переходное состояние объективно предполагало, что земельная реформа должна исходить из постепенной и последовательного видоизменения сложившейся системы земельной собственности, исключать социальную напряженность или угрозу экологических бед. Несмотря на непоследовательность и издержки земельных преобразований в процессе их осуществления достигнуты определенные позитивные результаты. Основной из них - формирование новой достаточно устойчивой, ориентированной на рынок структуры земельной собственности и структуры землепользования в аграрном секторе экономики и в сельской местности страны.
Таким образом, несмотря на все преграды и затруднения, аграрная реформа в России реализовалась и основной формой собственности земли стала частная собственность, о чём говорит приведённая выше статистика. И это послужило основой для дальнейшего развития рынка земли в России.
2.2 Актуальные проблемы современного рынка земли в России
В результате аграрных реформ, осуществляемых в стране с 1990 года, родился рынок земли в России. Гражданский кодекс [2], Земельный кодекс [3], ряд федеральных нормативных актов и подобных актов Федерации установления права собственности физических и юридических лиц на том основании, что дает возможность покупать и продавать землю, арендовать их, дарение, залог и т.д.
Но проблема в том, что русский рынок земли еще очень слаб. Существует два аспекта: во-первых, общие земельные ресурсы России не безграничны, а во-вторых, что самое главное, главный администратор земли в России является также государством. Цены на аренду государственных земель были созданы постепенно, по мере вовлечения земли в рыночный оборот. Факторы, которые зависят от этих цен трудно определить, особенно земли, предназначенные для сельскохозяйственного производства. Формирование цен продолжают оказывать большое влияние субъективные причины, которые не поддаются анализу и обобщению. В общем, большинство из администрации Федерации в формировании цены на аренду руководствуются текущим ставкам земельного налога и соответствующих коэффициентов, стоимость которых зависит от величины площади, целевые категории землепользования и арендаторов.
Конечно, Россия - крупнейший в мире владелец земельных ресурсов. Земельный фонд Российской Федерации составляет 1 709 800 000 га, расположенных на его территории почти все природные минералы планеты, в зоне влияния составляет около 45 % пресной воды и около 20% морской воды, около 70% территория расположена в сейсмических районах. Тем не менее, эффективность самой богатой земли в России остается низким [6].
В течение двадцатого века цены на землю радикально менялись дважды: в 1917 году земля была национализирована и полностью исключена из рынка, в 1993 году Конституция Российской Федерации определяет различные виды собственности на землю, в том числе частные.
Только в 2001 году, после длительных споров Государственная Дума приняла новый вариант Земельного кодекса, в соответствии с новыми конституционными положениями. В то же время, споры вокруг Земельный кодекс не истекает до сих пор.
Тем не менее, формирование института частной собственности на землю в России активно развивается. Показатели государственной отчетности показывают, что земля входит в рыночный оборот, т.е. землю, сделок, предусмотренных гражданским законодательством. В то же время, земля как пространственный основы для существования государства и его граждан, в качестве связующего звена в экосистеме требует пристального внимания со стороны государства для обеспечения политической, экономической, экологической, безопасности, социальной защиты, охраны историко и культурные основы существования страны и ее граждан.
Одним из основных факторов социально- экономического развития России является более эффективное использование земли и сооружений имущественного комплекса и управления национального богатства путем развития различных форм собственности. Высокий эффект может быть получен в основном из городского землепользования, поскольку, во-первых, в городской рыночных отношений развиваются хорошо вперед в отношению к деревне. Во-вторых, положение науки и общества для интеграции городских земель в рыночный оборот достаточно определенный характер, который не верен по отношению к сельскохозяйственной земли. В-третьих, несмотря на то, что доля городских земель незначительна, он ориентирован на них жизненно производство, они сосредоточены в пределах своих границ до 75% социально-демографической и производства и экономического потенциала России. Таким образом, социально-экономическое значение городских земель в последние годы значительно возросло, возникла острая необходимость формирования цивилизованного рынка городской земли.
Важная область государственного регулирования имущественных отношений (и особенно для стран с переходной экономикой) - процесс формирования и воспроизводства эффективного собственника. В условиях рыночной экономики, городские земли считается не только как пространство для экономической деятельности и жизни населения, но и как важный источник прибыли для предпринимателей, регулярный поток средств в региональных и муниципальных бюджетов.
В России с начала 90-х годов осуществляется земельная реформа, но никаких юридических оснований, ни общая концепция этой реформы не до конца еще не создана. Земельные Разработка стратегии и имущественных отношений не согласуется с целями реструктуризации экономики в целом. Решение многих проблем в этой области дается в руки местных властей, что привело к концу 90-х годов. Осведомленность населения и его " правовой грамотности" вопросы владения, управления и использования земель, по мнению большинства экспертов, является низкой, что, несомненно, окажет негативное влияние на развитие рынка земли. [8]
По мнению экспертов, развитие рынка земли может привести к ряду негативных и позитивных эффектов природы. Большинство экспертов связана с деградацией земель и повышение социальной напряженности в результате перераспределения собственности на землю. Кроме того, вполне вероятно, что в результате рыночных отношений будет увеличить количество земельных платежей и количество землевладельцев. Не серьезно погашение крупных участков земли иностранцами российских. Что касается ли рынок выделять землю в руках наиболее эффективных собственников, эксперты были далеко не уникален.
Чтобы создать благоприятные условия для более эффективного использования земельных ресурсов, необходимых для продолжения приватизации землеустройства, за счет упрощения процедуры предоставления земельных участков и значительно увеличить долю частной собственности (50-70 %) для этой категории земель. И оборот землеустройства должны в значительной степени регулируется рыночными механизмами. Что касается приватизации экспертов сельскохозяйственных земель выразил более сдержанным, учитывая, что доля частной собственности на земли сельскохозяйственного назначения не должна быть более 25%. Правительство должно внимательно следить за оборот сельскохозяйственных земель. Деятельность федеральных и региональных органов власти, по мнению большинства экспертов, оказали положительное влияние на развитие рынка земли. В то же время, менее положительным для специалистов земельной реформы оценили деятельность муниципальных органов власти.
Полное участие в хозяйственном обороте земли препятствует ряд факторов, одним из наиболее важных является наличие административных барьеров для предпринимателей на приобретение земли для хозяйственной деятельности. Ценовая ситуация на частном земельном рынке характеризуется сильными сайтов переоценка, в то время как рынок частных компаний, предоставляющих брокерские услуги в сфере земельных отношений ограничивается тем, что предполагает существование барьеров для создания новых компаний. Существование таких барьеров неизбежно приведет к монополизации, которая создает предпосылки для подрыва конкурентной среды и постепенное сокращение стимулов для повышения конкурентоспособности предприятий. Среди причин существования ограничения на свободу рынка, в первую очередь должна включать деятельность бюрократии, которая характеризуется низким уровнем компетенции, а в некоторых случаях - преднамеренное, удобные поведения сотрудников, направленных на извлечение рента от административного ресурса. Подводя итоги анализ проблем земельного рынка России можно сделать вывод, что рынок земли еще очень слаб, но быстро растет.
2.3 Пути совершенствования российского земельного рынка
За время появления земельного рынка в России накопились некоторые проблемы. С принятием Земельного кодекса большинство накопившихся проблем было разрешено, в частности содержащие нормы земельного права законодательные акты Союза ССР со дня введения в действие нового Земельного кодекса не применяются.
Иные нормативные акты земельного законодательства, как федеральные, так и субъектов РФ, а также нормативные акты органов местного самоуправления, подлежат приведению в соответствие с ЗК РФ. Приведению в соответствие с ЗК РФ подлежат и нормативные правовые акты Президента РФ, Правительства РФ, а также договоры между Российской Федерацией и субъектами РФ в области регулирования земельных отношений.
Итак, обратимся к современному законодательству регулирующему земельные правоотношения.
Современная теория права допускает трактовку понятия «законодательство» и в широком смысле в качестве совокупности всех нормативных правовых актов, посвященных регулированию той или иной сферы общественных отношений, и в узком когда речь идет только и непосредственно о законах как актах высшей юридической силы. Земельный кодекс вслед за Гражданским (ст. 3 ГК РФ) исходит из понятия законодательства в узком смысле, определив в п. 1 статьи 3, что земельное законодательство представляет собой совокупность Земельного кодекса, федеральных законов и законов субъектов Российской Федерации [2].
Конституция РФ в ст. 72 определяет, что в совместном ведении Российской Федерации и ее субъектов находится земельное законодательство (п. «к»), а также вопросы владения, пользования и распоряжения землей (п. «в») [1].
Земельный кодекс в ст. 9 и 10 разграничивает полномочия Российской Федерации и полномочия ее субъектов в области земельных отношений. Вместе с тем необходимо иметь в виду, что имущественные отношения по владению, пользованию и распоряжению земельными участками, а также по совершению сделок с ними являются, по существу, гражданско-правовыми, и регулируются гражданским законодательством (ст. 3 ЗК РФ) [3].
А гражданское законодательство согласно ст. 71 Конституции РФ отнесено к исключительному ведению Российской Федерации. Поэтому субъекты Федерации не могут принимать акты, регулирующие перечисленные выше отношения [1].
Таким образом, правовое регулирование рынка земли прерогатива Российской Федерации. Статья 3 ЗК РФ выстраивает четкую иерархию земельных нормативных правовых актов в зависимости от их юридической силы. Во главе ее, как и во многих других отраслях права, находится Кодекс [3].
Нормам Земельного кодекса должны соответствовать не только нормы законов, входящих в систему земельного законодательства, но и земельно-правовые нормы, содержащиеся в законах других отраслей (например, лесного, водного, аграрного законодательства). Во многих статьях Земельный кодекс дает отсылки к тем или иным федеральным законам или же, не называя конкретного закона, определяет, что тот или иной вопрос регулируется федеральным законом. В других случаях Кодекс указывает на совместное регулирование вопроса законодательством Российской Федерации и ее субъектов.
Субъекты Российской Федерации могут принимать законы, регулирующие земельные отношения, кроме вопросов, представляющих сделок с землей и других имущественных отношений на местах. Ряд вопросов, которые будут регулируемых законодательством РФ, непосредственно указанных в Земельном кодексе - например, настройка ограничивает размер земельного участка, предоставленного гражданам в собственность земельного участка, принадлежащего государственной или муниципальной собственности, для крестьянского хозяйства, садоводства, огородничества, животноводства, дачного строительства (п. 1 ст. 33). [3]
Закреплены в законе, что правила земельные права, содержащиеся в законах Российской Федерации, должны соответствовать Земельному кодексу Российской Федерации. Но следует иметь в виду, что общий закон Федерации не должны противоречить федеральным законам.
На это указывает пункт. 4 (часть 2) Конституции Российской Федерации: " Конституция Российской Федерации и федеральные законы имеют верховенство на всей территории Российской Федерации", - и искусство. 72 (пункт "а" части 1), который устанавливает, что совместная юрисдикция Российской Федерации и ее субъектов является обеспечение соответствия конституций и законов республик; нормативные акты, законы и иные нормативные правовые акты территорий, областей, городов федерального значения, автономных районов, автономных округов Конституции и федеральных законов. [1]
Следовательно, законы Российской Федерации, регулирующие земельные отношения должны не только соответствовать Земельному кодексу, но и другими федеральными законами.
Среди актов, направленных на регулирование земельных отношений необходимо выделить законодательные нормы. Гражданское право в первую очередь регулируется оборот земельной собственности. Последовательное применение правил земельного и гражданского права отражены в содержании многих составах Земельного кодекса, с формулировкой Гражданского кодекса в ГЦК не дублируются, они сослались на конкретные статьи Гражданского кодекса. Нормы, отражающие конкретные землю как объект земельных отношений, найденных в ГЦК дальше.
В частности, примером является статья 46 Земельного кодекса. Пункт 1 этой статьи содержит ссылки на " здание аренда прекращается по основаниям и в порядке, предусмотренном в гражданском праве ". [3] Нормы установлены стр.2 ряд дополнительных оснований для расторжения договора аренды земли, наличие которых предопределено спецификой земли как природного объекта и природного ресурса, например, основания, такого как использование земли, что приводит к значительному снижению плодородия сельскохозяйственных земель или значительному ухудшению экологической ситуации.
На данный момент, первый вариант является менее дорогостоящим с точки зрения денежных инвестиций и каких-либо усилий со стороны государства, и приносит большую пользу с точки зрения пользователей и меньше для государственных побед. В заключение дефектности числа операций на суше залога.
Глубокие преобразования, что в настоящее время ведутся с земельных отношений, в том числе появлением официального рынка земли, а его перераспределение по-прежнему много нерешенных научно-практические проблемы в этой области требуют серьезного и всестороннего исследования в области земельных отношений и земельного рынка в России, на основе анализа предложения следующим образом:
- Надо дать новую интерпретацию понятия абсолютной земельной ренты с объяснением этого явления с действующими теоретических положений, на основе ограниченных земельных ресурсов и низкой эластичности предложения земли как фактора производства.
- В отличие от традиционно сложившихся представлений о необходимости существования дифференциального механизма аренды и создать равные условия производства можно сформулировать принцип концентрации рациональность факторов искусственного плодородия в районах с высоким естественным плодородием, с тем чтобы оптимизировать использование ресурсов и более полно реализовать преимущества дифференциальной ренты в лучших районах.
- Основанием для повышения рентабельности сельскохозяйственного производства, в том числе путем государственной поддержки, чтобы создать благоприятные условия для установления цен на землю, потому что под низкорентабельных или невыгодно хозяйство земельной ренты не может служить в качестве основы для капитализации стоимости собственности на землю.
- Определить, что современная частная собственность на землю следует рассматривать не как абсолютное и безусловное и условное, ограничивается многими факторами, такими как:
- Возможность покупки земли только реальными сельхозпроизводителями;
- Запрещение или ограничение максимального выходного сельскохозяйственных земель из оборота или передавать их на другие цели;
- Как правило, предотвращая иностранную собственность земли сельскохозяйственного назначения;
- Запрет на приобретение сельскохозяйственных земель финансовых учреждений и юридических лиц;
- Ограничения экологического характера.
Заключение
Таким образом, в настоящее время наиболее значимым и в то же время объективно непреодолимыми на современном этапе причиной государственного рынке земельной проблемы в России выступает высокая стоимость освоения земель, неразвитой промышленной инфраструктуры в сельской местности, отсутствие инвестиций в сельскохозяйственное производство и рекультивацию земель. Тем не менее, есть такие причины, которые препятствуют формированию полноценного рынка земли. К ним относятся: недостаточная государственная поддержка землевладельцев; недоверие к властям и их по экономической политике; неразвитость системы средне-и долгосрочных кредитов; коррупция властей.
Для решения проблем в сфере землепользования необходимо продолжить дальнейшее совершенствование процессов регулирования землепользования.
Кроме того, целесообразно организовать институт соответствующего профиля, создать Министерство земли и недвижимого экономического ресурса. Принципиальное значение в развитии рынка земли в России станет создание надлежащих финансовых инструментов и земельных единиц: земельных долей, облигаций, векселей, сертификатов и других ценных бумаг, обеспечивая реальную приток инвестиций. Создание структур, таких как Земельный банк, гарантийного фонда суше, сделок страхового мошенничества риска земли и недвижимых объектов.
Главной задачей в создании инфраструктуры полноценного рынка, является прогнозирование перспектив развития рынка земли, сегмента и определить его региональные диспропорции, разработку и реализацию мер контроля по нейтрализации отрицательного смещения в его функционирует.
Проанализировав рынок земли, важно отметить, что русский рынок земли еще очень слаб, это свидетельствует о хаотичности производительности рынка земли. Он в условиях рыночной экономики является своеобразным индикатором экономической системы и эффективности ее функционирования. Заключение многочисленных реформ и правил может служить необходимость политики, влияющей на структуру рынка земли, его инструменты должны служить налоговой, финансы и кредит, инвестиционную политику, гарантирует предпринимательский риск, страховой поддержки, консалтинга и других видов деятельности в области инфраструктуры в рынок земли.
Создание земельных банков (федеральных или областных) позволило бы, начинающим землепользователям, путем залога земли, получить средства на приобретение техники, семян и т. п. Необходимо проводить широкую разъяснительную и рекламную кампанию, что позволило бы привлекать большее количество граждан к землепользованию, что возможно послужило бы формированию нового аграрно-промышленного комплекса России. Это, в свою очередь, стимулировало бы реанимацию промышленности, ориентированной на сельское хозяйство.
Список литературы
- Конституция РФ от 12.12.1993 // СПС Консультант +
- Гражданский кодекс РФ от 30.11.1994 N 51-ФЗ // СПС Консультант +
- Земельный кодекс Российской Федерации от 25.10.2001 N 136-ФЗ // СПС Консультант +
- Закон Российской Федерации от 11 октября 1991 г. N 1738-1"О плате за землю" // СПС Гарант
- Базылев Н.И., Гурко С.П., Базылева М.Н. Экономическая теория. Учебник. - М.: Инфра - М, 2013.
- Журавлева, Мамедова. Актуальные проблемы земельного законодательства// "Государство и право", 2012,№ 7Ивашковский С.Н. Микроэкономика: учеб. - М: Дело, 2012.
- Земля и право: Сборник нормативных актов / Под ред. Улюкаева И.А. М.: Былина, 2011.
- Иохин В.Я.. Учебник Экономическая теория. М. Юрист. 2011г.
- Курс экономической теории: Учебник/М.И. Плотницкий, Э.Н. Лобкович - Мн: Интерпрессевис, 2013.
- Мусин Б.М. Современные агроэкономические отношения в сфере теории ренты / Экономические науки, 2011.
- Сборник "Малый бизнес в России: ретроспектива и перспектива", 2011.
- Слагода В.Г. Основы экономической теории. - М.: Форум - Инфра-М., 2011.
- Современный земельный рынок России: Практическое пособие - М: "Издательско-торговая корпорация", 2011.
- Экономическая теория вводный курс. Микроэкономика/под ред. И.Е. Рудановой - М: Инфра - М - 2011.
- Экономическая теория. Учебник / Под ред. В.Д. Камаева, Е.Н. Лобачевой. М., Юрайт-Издат, 2011.
- http://er.ru //Единая Россия официальный сайт партии / Новости
- http://uragenstvo.ru/Официальный сайт Юридическое агентство "Право-эксперт" //
Состояние рынка земли в России