Педагогический контроль обученности младших школьников
PAGE \* MERGEFORMAT38
Содержание
Введение 3
1. Сущность понятий: педагогическая диагностика, контроль. Функции и виды контроля 5
2. Возможность тестирования как средства педагогической диагностики 9
3. Требования к педагогическим тестам 19
4. Педагогический опыт учителей начальных классов по применению тестирования 26
Заключение 30
Список использованной литературы 31
Приложение 33
Введение
В настоящее время во всех странах мира стоит проблема повышения надёжности и эффективности контроля качества образования. Для её решения разрабатываются и апробируются различные системы педагогического мониторинга, построенные преимущественно на нормативном тестовом контроле знаний младших школьников. Проводятся сравнительные международные исследования учебных достижений младших школьников в различных областях знаний. Тестовые технологии прочно укрепились в международной образовательной практике как инструмент для объективной оценки знаний. Последнее десятилетие по этому пути идёт и российская система образования, активно осваивающая тестовые технологии.
Однако, если в развитых странах имеются отлаженные, стандартизированные тестовые системы контроля почти по всем основным предметам общеобразовательной школы, то в Российской Федерации их недостаточно. Разработка государственных образовательных стандартов, внедрение новых технологий обучения и контроля знаний младших школьников привлекли интерес широкой педагогической общественности к тестам. Являясь частью многих педагогических новаций, тестирование позволяет получить объективные оценки уровня знаний, проверить соответствие требований подготовке выпускников заданным стандартам, выявить пробелы в подготовке младших школьников. В сочетании с компьютерными и программно-педагогическими средствами тестовые технологии позволяют перейти к созданию современных систем адаптивного обучения и адаптивного контроля наиболее эффективных, и к сожалению, наименее применяемых у нас форм организации учебного процесса.
Тестирование является значительным шагом на пути развития методики контроля за усвоением младшими школьниками учебного материала. Введение тестирования позволяет осуществить плавный переход от субъективных и во многом интуитивных оценок к объективным. Однако, как и любое другое педагогическое нововведение, этот шаг должен осуществляться на строго научной базе, опираясь на результаты педагогических экспериментов и научных исследований. Тестирование не должно заменить традиционные методы педагогического контроля, а должно лишь в некоторой степени дополнить их. Это позволит способствовать присоединению России к Болонскому процессу и тем самым предоставить младшим школьникам российских школ возможность поступления в учебные заведения других стран, а с другой стороны, сохранить специфику российского образования.
Объект педагогический контроль обученности младших школьников.
Предмет - метод тестирования как средство педагогического контроля обученности младших школьников.
Целью работы является изучение особенностей педагогического тестирования как средства контроля знаний младших школьников.
Задачи исследования:
- Определить значимость понятия педагогической диагностики и контроля знаний младших школьников;
- раскрыть сущность тестирования как педагогической диагностики;
- рассмотреть требования к педагогическим тестам;
- охарактеризовать педагогический опыт учителей начальных классов по применению тестирования;
1. Сущность понятий: педагогическая диагностика, контроль. Функции и виды контроля
Диагностика особый вид познания, находящийся между научным знанием сущности и опознаванием единичного явления. Результат такого познания - диагноз (гр. dagnoss распознавание, определение).
Диагноз заключение о принадлежности сущности, выраженной в единичном, к определенному установленному наукой классу. Данное понятие широко представлено и в современной педагогической науке. Однако в педагогике диагностика изменила свое содержание. Так, если, к примеру, психодиагностика стремится оценить личность и отдельные ее стороны как относительно устойчивые образования, то педагогическая диагностика направлена, прежде всего, на результаты формирования личности воспитанника, поиск оптимальных путей достижения этих результатов и характеристику целостного педагогического процесса [11].
Педагогический диагноз заключение о тех проявлениях и качествах личности, коллектива, на которые может быть направлено педагогическое воздействие, или которые могут быть исследованы в воспитательных целях, а также о педагогически значимых факторах, оказывающих влияние на воспитанников. Он должен содержать:
а) описание действий, состояний, отношений объекта воспитания в педагогических и психологических понятиях;
б) их объяснение на основе педагогической и психологической теории;
в) прогноз развития событий в данной ситуации и в будущем;
г) аргументированную педагогическую оценку имеющих место и прогнозируемых фактов;
д) заключение о педагогической целесообразности принимаемого решения.
Контроль знаний младших школьников является одним из основных элементов оценки качества образования. Учителя ежедневно контролируют учебную деятельность младших школьников путем устных опросов в классе и оценки письменных работ.
Педагогический контроль (ПК) является важнейшим компонентом педагогической системы и частью учебного процесса. До сих пор результатом ПК безоговорочно считается оценка успеваемости младших школьников. Оценка определяет соответствие деятельности младших школьников требованиям конкретной педагогической системы и всей системы образования.
Анализируя особенности состояния проблемы контроля и оценки знаний, следует отметить, что эта проблема многогранна и рассматривалась исследователями в самых различных аспектах. В нашей стране опубликовано большое количество работ, касающихся функций, методов, принципов контроля и оценки знаний, общих и частных вопросов оценки. Можно выделить несколько основных направлений в изучении этой проблемы.
Большую группу представляют работы, в которых исследовались функции контроля и оценки знаний в учебном процессе, требования к формируемым знаниям, умениям, навыкам, методы контроля младших школьников, виды учета знаний в традиционной системе обучения. В опубликованных работах показаны контролирующие, обучающие и воспитывающие функции проверки и оценки знаний, раскрыта методика проведения письменного, устного, графического и практического контроля знаний, индивидуального, фронтального, тематического и итогового опроса, сформированы требования к качеству знаний школьников, к оценке их устных и письменных ответов по различным учебным предметам.
В работах методистов общим родовым понятием выступает «контроль», означающий выявление, измерение и оценивание знаний, умений обучаемых. Выявление и измерение называют проверкой. Поэтому проверка - составной компонент контроля, основной дидактической функцией которого является обеспечение обратной связи между учителем и младших школьников, получение педагогом объективной информации о степени освоения учебного материала, своевременное выявление недостатков и пробелов в знаниях.
Основой для оценивания успеваемости младшего школьника являются итоги (результаты) контроля. Учитываются при этом как качественные, так и количественные показатели работы младших школьников. Количественные показатели фиксируются преимущественно в баллах или процентах, а качественные - в оценочных суждениях типа «хорошо», «удовлетворительно» и т.п. Диагностировать, контролировать, проверять и оценивать знания, умения младших школьников нужно в той логической последовательности, в какой проводится их изучение [14].
Первым звеном в системе проверки следует считать предварительное выявление уровня знаний обучаемых. Как правило, оно осуществляется в начале учебного года, чтобы определить знания младших школьников важнейших (узловых) элементов курса предшествующего учебного года. Предварительная проверка сочетается с так называемым компенсационным (реабилитационным) обучением, направленным на устранение пробелов в знаниях, умениях. Такая проверка возможна и уместна не только в начале учебного года, но и в середине, когда начинается изучение нового раздела (курса).
Вторым звеном проверки знаний является их текущая проверка в процессе усвоения каждой изучаемой темы. Главная функция текущей проверки - обучающая. Методы и формы такой проверки могут быть различными, они зависят от таких факторов, как содержание учебного материала, его сложность, возраст и уровень подготовки обучаемых, уровень и цели обучения, конкретные условия.
Третьим звеном проверки знаний, умений является повторная проверка, которая, как и текущая, должна быть тематической. Параллельно с изучением нового материала младшие школьники повторяют изученный ранее.
Четвертое звено в системе - периодическая проверка знаний, умений обучаемых по целому разделу или значительной теме курса. Цель такой проверки - диагностирование качества усвоения младшими школьниками взаимосвязей между структурными элементами учебного материала, изучавшимися в разных частях курса. Главные функции периодической проверки - систематизация и обобщение.
Пятым звеном в организации проверки является итоговая проверка и учет знаний, умений обучаемых, приобретенных ими на всех этапах дидактического процесса. Итоговый учет успеваемости проводится в конце каждой четверти и по завершении учебного года.
Специальным видом является комплексная проверка. С ее помощью диагностируется способность обучаемых применять полученные при изучении различных учебных предметов знания, умения для решения практических задач (проблем). Главная функция комплексной проверки - диагностирование качества реализации межпредметных связей, практическим критерием комплексной проверки чаще всего выступает способность обучаемых объяснять явления, процессы, события, опираясь на комплекс сведений, полученных из всех изученных предметов [13].
Проблема соотношения устных и письменных форм контроля разрешается в большинстве случаев в пользу последних. Считается, что хотя устный контроль больше способствует выработке быстрой реакции на вопросы, развивает связную речь, он не обеспечивает надлежащей объективности. Письменная проверка, обеспечивая более высокую объективность, кроме того, способствует развитию логического мышления, целенаправленности: обучаемый при письменном контроле более сосредоточен, он глубже вникает в сущность вопроса, обдумывает варианты решения и построения ответа. Письменный контроль приучает к точности, лаконичности, связности изложения мыслей.
Таким образом, контроль и оценка знаний младших школьников является составной частью, компонентом учебного процесса, органически связанным с изучением программного материала, его осмыслением, закреплением, применением. Контроль позволяет выявить уровень сформированности знаний младших школьников в определённой области, установить недостатки в овладении учебным материалом. Отсюда вытекает необходимость постоянного системного контроля результативности обучения.
2. Возможность тестирования как средства педагогической диагностики
Изучение генезиса тестирования убеждает, что донаучный этап берёт своё начало еще от практики древних сообществ, которые выработали своеобразные системы испытаний, наиболее ярко выраженные в обрядах инициации. В системе испытаний древних сообществ были и такие, как постижение смысла рисунков, обучение пословицам, решение метафизических загадок и т.п. В модернизированном виде подобные приемы обучения находят применение и в современной тестологии.
В период, когда цивилизационное развитие привело человечество к созданию более крупных сообществ (государств), люди стали задумываться о подборе управителей (чиновников).
Определить точное время возникновения тестов трудно. Однако, ещё в середине III тысячелетия до н.э. в Древнем Вавилоне проводились испытания выпускников в школах, где готовились писцы. Благодаря обширным по тем временам знаниям профессиональный писец был центральной фигурой месопотамской цивилизации; он умел измерять поля, делить имущество, петь, играть на музыкальных инструментах. Во время испытаний проверяли его умение разбираться в тканях, металлах, растениях, а также знание всех четырёх арифметических действий и, естественно, умение писать.
В Древнем Египте искусству жрецов обучили только тех, кто выдерживал систему определённых испытаний. Вначале кандидат проходил процедуру, которую сейчас можно было бы назвать собеседованием. При этом выясняли биографические данные, уровень образованности, оценивали внешность, умение вести беседу. Затем проверяли умения трудиться, слушать, молчать, испытывали огнём, водой и угрозой смерти. Сообщается, что эту суровую систему испытаний и отбора успешно преодолел в молодые годы Пифагор. Вернувшись после учёбы в Грецию, он основал свою школу, допуск в которую открывал только после серии различных испытаний, похожих на те, которые выдержал он сам [16].
Есть немало свидетельств проведения различных испытаний в Древней Греции и Спарте. В Спарте была создана система воспитания воинов, в Риме гладиаторов.
Если использование письменных контрольных работ в странах Востока уже в те годы считалось вполне нормальным и естественным делом, то этого нельзя сказать о странах Запада. Там возникли трудности психологического характера, вызванные попытками заменить привычные устные формы контроля письменными.
Крупный шаг в развитии тестирования был сделан французским психологом А. Бине, который в 1905 г. Разработал серию тестов по изучению особенностей мышления, диагностике умственного развития детей. После этого тесты всё чаще стали применяться не только в психологии, но и в педагогике. В связи с этим возникла необходимость разделения тестов на педагогические и психологические [14].
В России конца XIX начала XX века вопрос разработки тестов и их применения не ставился и не обсуждался. Проверка знаний, - считали некоторые авторы, - представляется скучным, бесполезным и даже вредным занятием. С той поры в российской педагогике стихийно сформировались две противоречивые тенденции: одна за контроль знаний младших школьников , другая против.
В последнее время популярность тестовой системы контроля сильно возросла и в нашей стране. Всё большее число педагогов обращается к этой системе как инструменту, который позволяет учителю получить анализ качества знаний младших школьников; директору школы иметь общую картину качества знаний по всей школе.
Краткий исторический экскурс позволяет сделать вывод о необходимости рассматривать испытания как важную часть жизни многих - если не всех народов мира, со времён древнейших цивилизаций и до наших дней. Однако можно ли на основании приведённых данных говорить о раннем историческом периоде возникновения тестов? Если согласиться с наиболее распространёнными сейчас определениями теста, как перевода с английского слова «test» (испытание, проверка, проба), то на поставленный вопрос надо будет ответить утвердительно. А если не согласиться? Тогда надо допустить, что настоящие тесты появились позже: в конце XIX - начале XX века. [14]
В настоящее время в системе общего образования России широкое распространение получают нетрадиционные формы обучения и контроля. К таким формам можно отнести педагогические тесты. Однако при применении тестов педагоги сталкиваются с множеством проблем объективного и субъективного характера. Проблемы субъективного характера, прежде всего, связаны с личностью самого педагога, его отношением к использованию тестов. Проблемы объективного характера связаны с отсутствием методической литературы, которая позволила бы педагогу самому научиться составлять тесты, отвечающие определённым требованиям.
Несмотря на то, что многие преподаватели интуитивно правильно понимают процесс тестового контроля, необходимо дать четкое определение педагогического теста. Это позволит избежать терминологической путаницы.
Слово «тест» английского происхождения и на языке оригинала означает «испытание», «проверка».
Необходимо сделать некоторые пояснения, к вышеприведенному определению. Педагогический тест рассматривается именно как система, как упорядоченное множество тестовых заданий. Задания - это те элементы, "кирпичики" из которых составляется педагогический тест.
В нашей стране к тестам в образовании отношение не однозначное. В связи с информационной насыщенностью учебного процесса тестовая форма контроля знаний значительно экономит и позволяет во многих случаях преодолеть субъективизм выставления оценок, повышают мотивационную сторону обучения. Применение тестового контроля способствует рассмотрению достижений младших школьников в процессе продвижения от одного уровня усвоения материала к другому.
Что касается классификации тестов, то анализ зарубежной и отечественной литературы показывает, что существуют несколько подходов к этой проблеме. Приведем краткое описание различных видов педагогических тестов (см. таблица 1).
Таблица 1 Классификация педагогических тестов
|
Вид педагогического теста |
Описание |
|
по методологии интерпретации:
|
Нормативно-ориентированный педагогический тест позволяет сравнивать учебные достижения (уровень подготовки, уровень профессиональных знаний и умений) отдельных испытуемых друг с другом. |
|
Нормативно-ориентированные педагогические тесты используются для того, чтобы получить надежные и нормально распределенные баллы для сравнения тестируемых. |
|
|
Критериально-ориентированные педагогические тесты применяются для того, чтобы интерпретировать результаты тестирования в соответствии уровнем обученности испытуемых на хорошо определенной области содержания. |
|
по степени однородности задач:
|
Гомогенный педагогический тест основывается на содержании какого-либо одного предмета. При его разработке авторы должны четко отслеживать, чтобы каждое задание не выходило по своему содержанию за рамки данного учебного предмета. Гомогенный тест может быть как нормативно- ориентированным, так и критериально - ориентированным, в зависимости от цели его создания. Такой тип педагогического теста наиболее распространен в учебном процессе. |
|
Гетерогенный педагогический тест основывается на содержании нескольких учебных предметов. Гетерогенный педагогический тест является по своему существу междисциплинарным. В большинстве случаев каждое задание гетерогенного теста включает в себя элементы содержания нескольких предметов. |
|
по форме предъявления:
|
Бумажные педагогические тесты, предъявляемые выборке испытуемых, на бумажном носителе в виде распечатки наиболее распространены и традиционны, как у нас, так и за рубежом. Однако, хранение, редактирование и вариативная распечатка педагогического теста в современных условиях должна происходить с помощью специализированных программных средств. Особое внимание разработчиков и пользователей педагогического теста на бумажной основе должно привлекать качество печати, отсутствие дефектов, грамотное расположение заданий. С экономической точки зрения бумажные тесты продолжают оставаться наиболее доступными и дешевыми. |
|
Компьютерные педагогические тесты имеют свои особенности, которые необходимо учитывать при их разработке. Анализ информации на экране монитора компьютера часто бывает затруднен из-за неправильной подачи материала. Хотя именно компьютеризованное тестирование имеет свои преимущества и перспективы применения в образовании. Особенная роль здесь принадлежит компьютерно-адаптивному тестированию, когда каждому испытуемому предъявляется уникальный набор заданий. |
|
Результативность выполнения предметных тестов зависит от скорости и правильности выполнения задания. |
|
Тесты с использованием устройств для изучения особенностей внимания, восприятия, памяти и мышления. |
|
по направленности:
|
Тесты интеллекта выявляют особенности интеллектуальных способностей. |
|
Личностные тесты предназначены для диагностики мотивационно-потребностной сферы личности. |
|
по целям использования:
|
Предварительный определяющий тест предназначен для оценки начальных способностей, охватывает очень небольшой диапазон знаний. |
|
Формирующий тест затрагивает ограниченный сегмент обучения (главу, раздел). |
|
Диагностический тест больше фокусируется на распространенных ошибках |
|
Суммирующий тест обычно содержит вопросы, которые представляют более высокий уровень сложности. |
|
по назначению:
|
Базовые тесты позволяют проверить усвоение базовых понятий на репродуктивном и алгоритмическом уровнях. |
|
Диагностический тест даёт возможность выявить не только пробелы в знаниях по теме, но и уровень усвоения, учебные возможности обучаемого. |
|
Тематический тест проводится в конце изучения темы, позволяет зафиксировать объём и уровень усвоения. |
|
Итоговый тест проводится в конце полугодия, года, за курс основной (средней) школы с целью выявления объёма и уровня усвоения материала. |
Разработка педагогического теста включает следующие этапы:
- определение целей тестирования (прогностические связаны с профильной ориентацией младших школьников , диагностические связаны с уровневой дифференциацией обучения, ориентированные на обратную связь);
- отбор и упорядочивание тестового материала;
- разработка тестовых заданий;
- оформление теста;
- апробация теста;
- рассмотрение тестовых заданий на методическом совете;
- проведение тестирования;
- проверка качества теста.
Этапы разработки теста удобно представить в виде блок-схемы
Рисунок 1 Разработка педагогического теста
Рассмотрим наиболее популярную классификацию тестовых заданий. В рамках данной классификации тестовые задания можно разделить на две группы:
- тестовые задания закрытого типа (каждый вопрос сопровождается готовыми вариантами ответов, из которых необходимо выбрать один или несколько правильных);
- тестовые задания открытого типа (на каждый вопрос испытуемый должен предложить свой ответ: дописать слово, словосочетание, предложение, знак, формулу и т.д.).
Выбор типа и вида тестового задания определяется, прежде всего, целями, в соответствии с которыми проводится тестирование, характером материала, усвоение которого необходимо выявить, возрастными особенностями испытуемых. Немаловажное значение играет финансовое, кадровое и ресурсное обеспечение, а также запас времени, которым располагает разработчик.

- Множественный выбор - испытуемому необходимо выбрать один или несколько правильных ответов из приведенного списка
- Альтернативный выбор - испытуемый должен ответить «да» или «нет»
- Установление соответствия - испытуемому предлагается установить соответствие элементов двух списков
- Установление последовательности - испытуемый должен расположить элементы списка в определенной последовательности
- Свободное изложение - испытуемый должен самостоятельно сформулировать ответ; никакие ограничения на них в задании не накладываются
- Дополнение - испытуемый должен сформулировать ответы с учетом предусмотренных в задании ограничений (например, дополнить предложение)
Таким образом, тестовый контроль имеет важное образовательное и развивающее значение, способствуя всестороннему изучению программы, расширению, углублению и совершенствованию знаний, развитию познавательных интересов младших школьников . Роль тестирования как одного из универсальных инструментов педагогического контроля знаний стремительно возрастает, что создаёт предпосылки для создания конструктивной и, хочется надеяться, эффективной системы управления качеством образования. Развитие технологической базы обучения позволяет тестированию становится не только средством обучения, но и самообучения. Хорошо составленные тесты по разным областям знания становятся необходимой частью любого учебного процесса. Примеры тестов в приложении (1-3).
3. Требования к педагогическим тестам
Современная теория моделирования педагогических тестов рассматривает процедуру тестирования и оценку знаний испытуемых как процесс объективного измерения, а результаты таких измерений, получаемые стандартными математическими методами, сопровождает стандартными характеристиками точности. В литературе, посвящённой тестированию, требованиям к педагогическим тестам уделено немало внимания. Среди них следует отметить такие требования, как соответствие содержания теста целям тестирования, определение значимости проверяемых знаний, взаимосвязь содержания и формы представления тестовых заданий, соответствие содержания теста уровню современного состояния науки, комплексность, системность содержания теста. Согласно классической теории тестирования, наиболее значимыми понятиями, которым должен отвечать профессионально составленный педагогический тест являются надёжность, валидность и эффективность [16].
Надёжность теста характеризуется стабильностью, устойчивостью показателей при повторных измерениях с помощью того же теста или его равноценного заменителя. Отмечается, что чем выше тематическое, содержательное разнообразие тестовых заданий, тем ниже надёжность теста. Тест, направленный на проверку усвоения конкретной темы, всегда будет более надёжным, чем тест, направленный на проверку всего раздела (курса), охватывающий значительное количество материала закономерностей, концепций, фактов.
Надёжность тестов значительно зависит от трудности их выполнения, которая определяется соотношением правильных и неправильных ответов на тестовые задания. Включение в состав тестов таких заданий на которые все обучаемые отвечают правильно или же, наоборот, неправильно, резко снижает надёжность теста в целом. Наибольшую практическую ценность имеют задания, на которые правильно отвечают 45-80% младших школьников .
Надёжность теста это характеристика, отражающая точность измерения и устойчивость результатов к воздействию посторонних случайных факторов. Это означает, что небольшое изменение условий тестирования и состояния испытуемых должно привести к несущественному изменению конечных результатов.

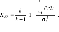
Наибольшее практическое распространение для расчёта надёжности теста получило применение формулы Кьюдера-Ричардсона.

где K коэффициент надёжности, k число заданий в тесте, pj доля правильных ответов на j-ое задание, qj доля неправильных ответов на j-ое задание, - дисперсия индивидуальных баллов n тестируемых, вычисляемая по формуле:
где bi индивидуальные баллы i-ого испытуемого.
Если величина коэффициента надёжности К находится в пределах от 0,9 до 0,99, то тест имеет отличную оценку надёжности, если от 0,8 до 0,89, то хорошую, от 0,7 до 0,79 удовлетворительную, менее 0,69 - неудовлетворительную надёжность [9].
Следует отметить, что повышению надёжности способствует увеличение количества заданий теста. Однако, для реального тестирования проблематично составить тест с достаточно большим количеством заданий. Это связано с ограничениями во времени, санитарными нормами, материальными затратами, возможностями человека и т.д.
Валидность теста по своему содержанию близка к требованию полноты, всесторонности проверки, пропорционального представления всех элементов изучаемых знаний, умений. Термин «валидность» от англ. valid имеющий значение, ценный. Всегда имеется в виду, что составитель теста обязан тщательно изучить все разделы учебной программы, учебные книги, хорошо знать цель и конкретные задачи обучения. Лишь тогда он сможет составить тесты, которые будут действенными для определённой категории обучаемых.
Чёткая и ясная постановка вопроса в пределах освоенных знаний неотъемлемое условие валидности теста. Если тест выходит за пределы освоенного содержания или же не достигает этих пределов, превышает запроектированный уровень обучения, то он не будет действенным для тех обучаемых, которым он адресован.
Валидность считается достаточно высокой, если коэффициент корреляции будет более 0,6. При значении коэффициента корреляции 0,45 0,65 валидность считается вполне удовлетворительной.
Кроме рассмотренных требований используется и показатель эффективности теста. Тест, обеспечивающий при прочих равных условиях большее количество ответов за единицу времени, считается более эффективным. Например, за 10 минут тестирования от младших школьников можно получить и 5, и 8, и 10 ответов при использовании различных методик составления тестовых заданий [9].
Преимущество тестового контроля состоит в том, что он является научно обоснованным методом эмпирического исследования и в определенной сфере позволяет преодолеть умозрительные оценки знаний. Следует отметить, что задания, используемые многими преподавателями и называемые ими тестовыми, на самом деле таковыми вовсе не являются. В отличие от обычных задач тестовые задания имеют четкий однозначный ответ и оцениваются стандартно на основе ценника. В самом простом случае оценка младшего школьника есть сумма баллов за правильно выполненные задания. Тестовые задания должны быть краткими, ясными и корректными, не допускающими двусмысленности. Сам же тест представляет собой систему заданий возрастающей трудности. Тестовый контроль может применяться как средство текущего, тематического и рубежного контроля, а в некоторых случаях и итогового.
Разумеется, где знания и учебный материал структурируются и формализуются легче, как, например, в естественных науках, составлять тестовые задания легче. Вместе с тем все учебные дисциплины, в том числе и такие, как исторические, основываются на базовых знаниях. В истории сюда относится знание событий, дат, имен, определений основных понятий и многого другого. Проверка базовых знаний средствами тестового контроля позволяет преподавателю в оставшееся время уделить больше внимания общению с младшими школьниками на уровне концепций и выводов, проверить традиционными формами не столько знание, сколько понимание проблематики той или иной учебной дисциплины. Следует подчеркнуть, что именно проверка базовых знаний является сферой тестового контроля.
Тестовый контроль без особых затрат времени позволяет опросить всех младших школьников по всем разделам учебного предмета. Сумма оценок может составить рейтинг знаний, который, по усмотрению преподавателя, может служить основой освобождения младших школьников от итоговых работ. Тесты привлекают младших школьников своей необычностью по сравнению с традиционными формами контроля, побуждают к систематическим занятиям по предмету, создают дополнительную мотивацию обучения.
К преимуществам тестового контроля относятся:
- Индивидуальный характер контроля, возможность осуществления контроля над работой каждого младшего школьника, за его личной учебной деятельностью.
- Возможность регулярного систематичного проведения тестового контроля на всех этапах процесса обучения.
- Возможность сочетания ее с другими традиционными формами педагогического контроля.
- Всесторонность, заключающаяся в том, что педагогический тест может охватывать все разделы учебной программы, обеспечивать полную проверку теоретических знаний, интеллектуальных и практических умений и навыков.
- Объективность тестового контроля, исключающая субъективные (часто ошибочные) оценочные суждения и выводы учителя, основанные на недостаточном изучении уровня подготовки младших школьников или предвзятом отношении к некоторым из них.
- Учет специфических особенностей каждого учебного предмета и отдельных его разделов за счет применения современных методик разработки и многообразия форм тестовых заданий.
- Возможность проведения традиционного ("бумажного") и компьютеризованного (в локальной сети) тестирования.
- Возможность применения современной технологии компьютерного тестирования.
- Возможность массового широкомасштабного стандартизованного тестирования путем распечатки и тиражирования параллельных форм (вариантов) теста.
- Учет индивидуальных особенностей специфической выборки испытуемых, требующий применения в соответствии с этими особенностями различной методики разработки теста и тестовых заданий.
- Единство требований ко всем испытуемым, вне зависимости от их прошлых учебных достижений.
- Стандартизованность тестового контроля.
- Дифференцированность шкалы тестовых баллов, позволяющей в широком диапазоне ранжировать уровень учебных достижений.
- Высокая надежность тестового контроля, позволяющая говорить о полноценном педагогическом измерении уровня обученности.
- Высокая содержательная валидность тестового контроля, основанная на включении всех дидактических единиц программы обучения в задания теста.
- Высокая прогностическая валидность вступительных тестовых испытаний, позволяющая предвидеть успехи младших школьников в будущем.
- Высокая критериальная (текущая) валидность итоговых аттестационных тестов.
- Эффективность педагогического теста, позволяющая проводить контроль любой выборки испытуемых, за короткое время с минимальными затратами.
- При правильной организации проведения тестирования и применение методов информационной безопасности можно исключить недобросовестное отношение некоторых младших школьников к выполнению письменных контрольных испытаний (списывание, использование подсказок, шпаргалок и т.п.).
- Тестовый контроль стимулирует постоянную работу всех младших школьников, и это в известной степени достигается проведением широкомасштабного неожиданного для испытуемых тестирования.
- Возможность учета при тестировании региональных особенностей.
К недостаткам тестирования относят следующее:
- В тестовых заданиях знания догматизированы, в них нет творчества, совместного поиска истины.
- Решение любого тестового задания содержит элемент случайности.
- Тестовый контроль способствует фрагментарности знаний.
- Тестирование стандартизирует знания и в неполной степени развивает мыслительные навыки младших школьников .
- Тестирование проверяет информированность учащегося о тех или иных фактах и не даёт представления о способностях и навыках школьника.
Таким образом, реализация достоинств педагогического тестирования может быть выполнена только при учёте требований классической тестовой теории, на основе которой можно обеспечить надёжность, валидность и эффективность тестового контроля знаний младших школьников . Естественно, не все необходимые характеристики усвоения можно получить средствами тестирования. Такие, например, показатели, как умение конкретизировать свой ответ примерами, знание фактов, умение связно, логически и доказательно выражать свои мысли, некоторые другие характеристики знаний, умений, навыков диагностировать тестированием невозможно. Это значит, что тестирование должно обязательно сочетаться с другими (традиционными) формами и методами проверки.
4. Педагогический опыт учителей начальных классов по применению тестирования
Тестировать или не тестировать младших школьников, и если тестировать, то как это сделать с максимальным эффектом? Чтобы ответить на этот вопрос, рассмотрим мнения и опыт педагогов и директоров школ. Кто-то считает, что тестирование позволяет объективно оценить знания младших школьников, кто-то - что не только не позволяет, но и вредно для их психологического здоровья.
Рассмотрим опыт российских учителей начальных школ 1-3 классов.
О.В. Герасимова,
учитель начальных классов ГБОУ "СОШ № 531" г. Москва
"В настоящее время учебная программа в первом классе рассчитана на 33 недели, во втором, третьем и четвертом - на 34 недели. При этом многие учителя ведут не только основные предметы - русский язык, математику, окружающий мир, литературное чтение, но и технологию, изобразительное искусство и ряд других предметов по выбору.
Из этого вытекает следующий вывод: только за один учебный день учитель находится в непосредственном общении с детьми в среднем 5 часов, а в неделю - 25 часов. Простым математическим способом умножаем 25 на 33 или на 34 и получаем 825 или 850 часов. Добавим сюда ежедневную поверку домашних заданий, самостоятельных и контрольных работ, общение на переменах... Думаю, ни у кого не осталось сомнений в том, что учитель начальных классов может сам оценить уровень готовности своих младших школьников к переходу в среднюю школу.
Какова же тогда необходимость в тестировании? В чем целесообразность переводных экзаменов?
Кто-то забыл или вовсе не понимает, что младшие школьники четвертых классов - это не студенты, а десятилетние дети, которые лишь учатся учиться. К их психике нужно относиться очень внимательно.
Для младших школьников важно все: в своем классе они чувствуют себя комфортно, в чужом - начинают волноваться. Обычный урок для них - нормальный рабочий процесс, зачет или экзамен - катастрофа!
Я работала с младшими школьниками 1-3 классов. Как им было тяжело привыкать к новому способу диктовки другого учителя, как они долго не могли успокоиться после перехода в другой кабинет!
Или это нововведение - знак недоверия к учителю? В таком случае нужно менять методы подготовки и контроля учителей, а не нервировать детей страшным словом "тестирование".
А.Ф. Бирулина,
директор МАОУ "СОШ № 16", г. Калининград
"Эффективно ли тестирование младших школьников? Да, конечно! Очень важно знать детей, которые придут в среднее звено. Проблема преемственности часто обсуждается в учительской среде, но, к сожалению, практически не решается.
В 1-3 классах обязательно должен работать психолог. Он может не только проводить психологическую диагностику младших школьников, определять факторы, препятствующие развитию их личности, но и оказывать консультативную помощь педагогам в решении конкретных проблем.
Очень важно также поддерживать связь с родителями. Во время индивидуальной беседы по результатам мониторинга психолог и педагог могут давать рекомендации предметно, опираясь на данные конкретного ребенка, не сравнивая его результаты с результатами одноклассников. Опыт показывает, что такие беседы гораздо эффективнее, чем выступления на родительских собраниях, где, как правило, демонстрируется диаграмма тестирования по классу и выводятся средние показатели, ничего не говорящие об отдельных младших школьников.
В нашей школе система предметного мониторинга в сочетании с психологическим сопровождением была создана благодаря сотрудничеству с кафедрой образовательной технологии Академии повышения квалификации и профессиональной переподготовки работников образования (г. Москва). Доцент кафедры Михаил Евгеньевич Бершадский помог нам подобрать педагогические методики, в том числе разработанной им когнитивной технологии обучения. Результаты оказались положительными.
За семь лет работы мы пришли к выводу, что в старших классах можно учитывать имеющиеся недостатки в развитии и обучении младших школьников, но корректировать их практически невозможно, поэтому мониторинг лучше начинать с первых классов.
Таким образом, тестирование в 1-3 классах возможно, но его целью должен быть не контроль деятельности учителя, а выявление проблем в развитии младших школьников и поиск путей их решения. При этом проводить тестирование должны не представители администрации школы или органов управления образованием, а учитель совместно с психологом. Практика показывает, что внешний контроль больших результатов не дает."
И.С. Мичева,
директор МКОУ "СОШ № 2, г. Пятигорск
"В нашей школе отношение к тестированию в 1-3 классах скорее отрицательное, чем положительное. Это доказывают результаты опроса, который мы провели среди педагогов и родителей. Привожу некоторые, наиболее интересные ответы.
Учитель 1-3 классов: "Задача школы - не только научить читать, писать и считать, но и логически мыслить, рассуждать, красиво и выразительно говорить. Эти навыки при тестировании проверить нельзя, а значит, и оценка знаний младших школьников будет необъективной. По итогам тестирования по русскому языку мои дети чуть ли не все отличники, а когда пишут диктант или изложение, сразу видно, что пробелов в знаниях немало. То же и с контрольными по математике. На тестировании можно просто угадать ответ и получить хорошую оценку, а на контрольной нужно уметь решать. По моему мнению, тестирование в 1-3 классах может быть лишь элементом итогового контроля".
Заместитель директора по учебно-воспитательной работе: "Такая форма контроля, как тестирование, в начальной школе используется лишь эпизодически, и на итоговом экзамене дети могут растеряться. Стресс не даст им показать весь багаж знаний, да и проверить тестами все умения и навыки невозможно. Для педагогов тестирование 1-3классников - это еще и дурдом с бумаготворчеством. Нынешняя подготовка к ГИА и ЕГЭ совсем отстранила замов по УВР от внутришкольного контроля. Они только и делают, что пишут бумажки и подшивают инструкции. А ведь если учебный процесс не контролировать, то ничего хорошего из этого не выйдет. И еще: не было ЕГЭ - не было в школах коррупции. Теперь же она появится и в 1-3 классах".
Н.В. Тамарская,
директор МАОУ "СОШ № 14", г. Калининград
"Тестирование - одна из форм контроля, не лучше и не хуже других. Официально она используется в нашей системе образования с 2002 г., т. е. с начала введения ЕГЭ. Собственно, поэтому ее пришлось ввести и в других классах, иначе подготовить ребенка к этой процедуре просто невозможно. Думаю, что вопрос об эффективности тестирования является в настоящее время дискуссионным из-за плохого качества тестов и некорректного использования результатов: с целью жесткой дифференциации детей, для манипулирования родителями, наказания педагогов и т. д." [12].
Заключение
Образовательные уровни определяются на основе разрабатываемых и вводимых государственных образовательных стандартов, а констатация опирается на результаты аттестационных мероприятий.
Образовательные стандарты и способы оценки их достижения являются ключевыми моментами, определяющими качество образования и процедуры его оценки.
Перед педагогами школ поставлена задача подготовки детей к тестированию.
Тестирование является одним из важных элементов итоговой и промежуточной аттестации младших школьников в образовательных учреждениях.
Объективность достигается путем стандартизации и проверки показателей качества заданий и тестов целиком. Форма оценки, используемая при тестировании, позволяет соотнести уровень их достижений по предмету с требованиями ГОС.
Выполняя свои многогранные функции (контролирующую, диагностическую, обучающую, прогностическую, развивающую и воспитывающую) тестовый контроль повышает эффективность и продуктивность учебного процесса. Являясь неотъемлемой частью системы контроля, тестирование наряду с традиционными методами контроля используется в целях и внешнего, и внутреннего мониторинга.
Список использованной литературы
- Аванесов В.С. Композиция тестовых заданий. - М.: Ассоциация инженеров-педагогов, 2011. 330 с.
- Аванесов В.С. Методологические и теоретические основы тестового педагогического контроля: Автореф. д-ра пед. Наук. - СПб.: Питер, 2011. 369 с.
- Аванесов В.С. Научные проблемы тестового контроля знаний. - М.: Педагогика, 1994. 427 с.
- Айнштейн В.Г. Об адекватности экзаменационных оценок / В.Г. Айнштейн, И.Г. Гольцова // Высшее образование в России. -№3.- 2010. -С. 40-42.
- Алешин Л.И. Компьютерное тестирование студентов библиотечного факультета МГУК // Л.И. Алешин. М.: Просвещение, 2011. 352 с.
- Аллахвердиева Д.Т. Опыт применения тестов для дидактической экспертизы обучения // Высшее образование в России. -№2.- 2012. -С. 102.
- Андреев А.Б. Компьютерное тестирование : системный подход к оценке качества знаний студентов. - М.: Педагогика, 2011. 164 с.
- Балыкина Е. Н. Формирование тестовых заданий для компьютерного контроля знаний. - Минск: БГУ, 2012. 31 с.
- Звонников В.И. Современные средства оценивания результатов обучения. - М.: Педагогика, 2011. 280 с.
- Зимняя, И.А. Педагогическая психология. - М., 2011
- Ингенкамп К. Педагогическая диагностика. М.: Педагогика, 2011. 240с.
- Майоров А.Н. Тесты школьных достижений: конструирование, проведение, использование. - СПб.: Образование и культура, 2010. 304 с.
- Общая психология: учебное пособие для студентов пединститутов / Под ред. В.В. Богославского. - М.: Просвещение, 2011. 221 с.
- Педагогика. Учебное пособие для студентов педагогических вузов и педагогических колледжей / Под ред. П.И. Пидкасистого. М.: Педагогическое общество России, 2010. 640 с.
- Подласый И.П. Новый курс: Учебник для студентов педагогических вузов: В 2 кн. М.: Гуманит. изд. центр ВЛАДОС, 2011. 576 с.
- Родионов Б.У., Татур А.О. Стандарты и тесты в образовании. - М.: Педагогика, 2011. 335 с.
- Шмелев А.Г. Компьютеризация экзаменов: проблема защиты от фальсификаций. - М.: Педагогика, 2012. 712 с.
- Щапов А. Тестовый контроль в системе рейтинга / А. Щапов, Н. Тихомирова, С. Ершиков, Т. Лобова // Высшее образование в России. - №3.- 2011. - С. 100-102.
Приложение
Приложение 1
Тест по русскому языку
1.Укажи верное утверждение:
а) Окончание это часть слова, которая служит для образования новых слов.
б) Окончание это часть слова, которая служит для связи слов в предложении.
в) Окончание это неизменяемая часть слова.
2.Укажи группу слов, в которых пропущена звонкая согласная.
а) Ни…кий, но…ка, коло…; б) ду…ло, пу…ка, ли…кий; в) варе…ка, бере…ка, мя…кий.
3.Найди слово с непроизносимой согласной.
а) Пас…бище, б) крас…ный, в) опас…ный.
4.Укажи слово с разделительным Ь знаком.
а) С…ёмка, б) с…едобный, в) ш…ём.
5.Укажи неодушевлённое существительное множественного числа.
а) Задумчивый, б) говорить, в) мир, г) города
6.Укажи слитное написание.
а) (от)говорил б) (со) стола в) (не) входить г) (под)окном
7.Укажи слова, в которых пропущена буква “а”.
а) С…поги, зак…тал, кр…сивый; б) засм…трелся, …дежда, л…пата.
8.Имена существительные изменяются:
а) по родам и числам; б) по числам, родам, падежам; в) по числам и падежам.
9.В каком падеже существительные не употребляются с предлогом:
а) в И.п.; б) в Р.п.; в) в В.п.; г) в Д.п.
10.Укажи группу существительных с окончанием “е”.
а) Жил в деревн…, скакал на лошад…, лежит на ладон…;
б) увидел в окошк…, работал на завод…, по зелёной равнин…;
в) из кустов чащ…, высоко в неб…, на краю лужайк…
11.Укажи слово, соответствующее схеме:
а) переписка; б) удачный;
в) охранник; г) нет такого слова
12.Укажи предложение с однородными сказуемыми.
а) На озере летом живут дикие утки и лебеди.
б) Отпустил он рыбку золотую и сказал ей ласковое слово.
в) Речка была неглубокая, но широкая.
г) Нет правильного ответа.
13.Укажи слово с удвоенной согласной.
а) Рас…тение, б) длин…а, в) ран…о, г) ал…ея
14.Укажи нераспространённое предложение.
а) Подул холодный ветер. б) На небе сияла луна.
в) Птицы улетают на юг. г) Наступила зима.
15. Укажи глагол настоящего времени.
а) Напишу; б) улетает; в) скрыла
16.Выбери верное утверждение:
а) Суффиксы онок, -ёнок используются при названии детёнышей.
б) Суффиксы онок, -ёнок используются при названии профессии.
Приложение 2
Тест по естествознанию
Вариант 1 Проверочная работа N 1 ЕСТЕСТВОЗНАНИЕ 1 класс
1. Раздели на группы:
Дуб, горы, озеро, голубь, лисица, льдина, подснежники.
I группа:___________________ II группа:_________________________
_________________ ________________________
___________________ ________________________
___________________ _______________________
|
2. Соедини соответствующие части |
3. Подпиши известные тебе |
|
|
Дерево Трава Кустарник |
• нет главного ствола, несколько деревянистых стволов растут прямо от корня, ветки начинаются близко от земли. • не имеет деревянистого ствола, верхняя часть, а часто и всё растение отмирает на зиму • имеет один ствол и ветки; деревянистые ветки начинаются далеко от земли. |
|
Вариант 2 Проверочная работа N 1 ЕСТЕСТВОЗНАНИЕ 1 класс
1. Раздели на группы:
Осина, родник, самолёт, рыба, шкаф, земляника, свитер.
I группа:___________________ II группа:________________________
__________________ _________________________
___________________ __________________________
____________________ _________________________
|
2. Соедини соответствующие части |
3. Подпиши известные тебе |
|
|
Корень Стебель |
• производит питательные вещества, осуществляет процесс фотосинтеза; • удерживает растение в земле, обеспечивает поглощение питательных веществ и влаги. |
|
Приложение 3
Тест по математике
1. Укажи числа, состоящие только из сотен и единиц:
а) 596 б) 604 в) 830 г) 905
2. Укажи ряд чисел, расположенных в порядке убывания:
а) 935, 928, 876, 729, 627, 604, 564, 357
б) 357, 564, 604, 627, 729, 876, 928, 935
3. Укажи только чётные числа:
а) 45 б) 94 в) 70 г) 66 д) 13 е) 53
4. Укажи верные неравенства:
a) 968 - 217 < 968 - 216 б) 240 : 3 > 240 : 2 в) 14 3 < 14 4
5. Укажи правильный ответ к примеру:
|
114 - 57 : 19 + 13 5 = |
52 - 36 : ( 62 - 58 ) = |
|
а) 68 б) 176 в) 118 |
а). 33 б) 4 в) 43 |
6. Отметь запись, которая соответствует выражению:
“сумму чисел 19 и 48 увеличить в 3 раза”
а) 19 + 48 3 в) (19 + 48) 3 г) 19 48 + 3
7. Укажи верные равенства:
а) 5 дм 2 см < 5 дм 3 см б) 1 кг = 1000 г
в) 1 ч. 30 мин. = 130 мин.
8. Укажи верные неравенства:
а) > ; б) > ; в) 1 >
9. Укажи правильный ответ:
доля всей ткани составляет 30 метров. Сколько всего ткани
в рулоне? а) 6 метров б) 150 метров в). 30 метров
10. Длина прямоугольника 6 см, ширина в 3 раза меньше.
Чему равна сумма длин сторон прямоугольника?
а) 14 см 6) 18 см в) 16 см
11. В магазине 4 метра ткани стоят 64 рубля. Сколько стоят
2 метра такой ткани?
а) 16 рублей б) 32 рубля в) 128 рублей
12. В книжном шкафу стояло 140 книг. Когда 50 книг забрали, то
оставшиеся книги расставили на 9 полок поровну. Сколько книг
поставили на каждую полку?
а) 9 книг б) 10 книг в) 90 книг
13. Собрали 43 ящика с яблоками, с грушами - на 27 ящиков
меньше, чем с яблоками, а с вишнями - в 2 раза больше, чем
с грушами. Сколько собрали ящиков с вишнями ?
а) 70 ящиков б) 54 ящика в) 32 ящика
EMBED Equation.3
EMBED Equation.3
Педагогический контроль обученности младших школьников

